Sign in to use this feature.

Years

Between: -

Subjects

remove_circle_outline
remove_circle_outline
remove_circle_outline
remove_circle_outline
remove_circle_outline
remove_circle_outline
remove_circle_outline
remove_circle_outline
remove_circle_outline

Journals

Article Types

Countries / Regions

remove_circle_outline
remove_circle_outline
remove_circle_outline
remove_circle_outline

Search Results (383)

Search Parameters:
Keywords = warming and wetting climate

Order results
Result details
Results per page
Select all
Export citation of selected articles as:
24 pages, 1858 KB  
Article
Identification and Analysis of Compound Extreme Climate Events in the Huangshui River Basin, 1960–2022
by Zhihui Niu, Qiong Chen, Fenggui Liu, Ziqian Zhang, Weidong Ma, Qiang Zhou and Yanan Shi
Atmosphere 2025, 16(12), 1412; https://doi.org/10.3390/atmos16121412 - 18 Dec 2025
Abstract
With the increasing volatility and extremity of global climate change, the frequency, intensity, and associated impacts of compound extreme climate events have escalated substantially. To investigate the temporal trends and characteristics of such events, we identified compound extreme climate events in the Huangshui [...] Read more.
With the increasing volatility and extremity of global climate change, the frequency, intensity, and associated impacts of compound extreme climate events have escalated substantially. To investigate the temporal trends and characteristics of such events, we identified compound extreme climate events in the Huangshui River Basin, located in the northeastern Qinghai–Tibet Plateau, using daily mean temperature and precipitation records from eight meteorological stations. Compound warm–wet, warm–dry, cold–wet, and cold–dry events from 1960 to 2022 were detected based on cumulative distribution functions, and their long-term trends and intensity structures were examined. The results show that: (1) Warm–dry events dominate the basin, with an average annual frequency of 32.84 days per year, occurring frequently across all seasons; cold–dry events rank second (22.38 days per year) and are particularly frequent in winter. (2) Warm–dry events are highly concentrated in the river valley region (e.g., Minhe station), whereas cold–dry and warm–wet events mainly occur in the low-mountain areas (e.g., Huangyuan and Datong). (3) From 1960 to 2022, warm–dry and warm–wet events exhibit a highly significant increasing trend (p < 0.001), cold–dry events show a significant decreasing trend, and cold–wet events display no statistically significant trend. (4) In terms of intensity, all four types of compound events—warm–wet, warm–dry, cold–wet, and cold–dry—are dominated by weak to moderate grades. Overall, the basin is undergoing a compound-risk transition from historically “cold–dry dominated” conditions toward a regime characterized by “warm–dry predominance with emerging warm–wet events.” By identifying compound extreme climate events and analyzing their spatiotemporal variability and intensity characteristics, this study provides scientific support for disaster prevention, daily management, and risk mitigation in climate-sensitive regions. It also offers a useful reference for developing strategies to address compound extreme events induced by climate change and for implementing regional risk-prevention measures. Full article
(This article belongs to the Section Climatology)
21 pages, 3816 KB  
Article
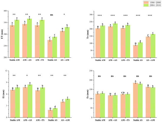
Discrepant Pathway in Regulating ET Under Change in Community Composition of Alpine Grassland in the Source Region of the Yellow River
by Shuntian Guan, Longyue Zhang, Yunqi Xiong, Congjia Li, Zhenzhen Zheng, Shibo Huang, Ronghai Hu, Xiaoming Kang, Jianqin Du, Kai Xue, Xiaoyong Cui, Yanfen Wang and Yanbin Hao
Remote Sens. 2025, 17(24), 4046; https://doi.org/10.3390/rs17244046 - 17 Dec 2025
Abstract
Understanding evapotranspiration (ET) dynamics under community composition transitions in grasslands is crucial for interpreting alpine ecosystem responses to climate change. We investigated variations in ET and its components during the growing season across five alpine grassland transition types in the Source Region of [...] Read more.
Understanding evapotranspiration (ET) dynamics under community composition transitions in grasslands is crucial for interpreting alpine ecosystem responses to climate change. We investigated variations in ET and its components during the growing season across five alpine grassland transition types in the Source Region of the Yellow River (SRYR) from 1986 to 2018, integrating climatic, vegetation, and soil factors. Under warming and wetting conditions, ET increased significantly by 1.17 mm yr−1, accounting for 79.39% of annual precipitation, while soil moisture declined slightly. A pronounced temperature–precipitation decoupling emerged between alpine meadow-origin (AM-origin) and alpine steppe-origin (AS-origin) transitions, indicating differential hydrological responses driven by community composition. Vegetation growth increased across all transitions, yet its regulation of ET components varied by transition type. Transpiration dominated ET increases, contributing over 80% in AM-origin and 100% in AS-origin transitions. Soil evaporation exhibited contrasting trends: decreasing in AS-origin transitions due to enhanced soil insulation from vegetation growth, but increasing in AM-origin transitions, thereby reducing soil moisture. Interannual ET growth rates and seasonal fluctuations were greater in AM-origin than in AS-origin transitions. A critical turning point in ET trends, caused by changes in precipitation, revealed the divergent hydrological trajectories among the transitions. In AM-origin transitions, temperature primarily drove ET increases, causing soil drying (strongest in AM to TS), whereas in AS-origin transitions, precipitation dominated, resulting in soil wetting (more pronounced in AS to AM). These findings demonstrate that the directionality of compositional transitions governs hydrological responses more strongly than absolute vegetation states. Full article
(This article belongs to the Section Ecological Remote Sensing)
Show Figures

Figure 1

19 pages, 12894 KB  
Article
Study on Rainfall-Induced Rock Weathering and the Mechanism of Its Related Landslides
by Ya Chu Chiu, Chen Yu Liu, Yu Lin Tsai and Hsin Chieh Lin
Water 2025, 17(24), 3556; https://doi.org/10.3390/w17243556 - 15 Dec 2025
Viewed by 116
Abstract
The primary strata of western Taiwan are Cenozoic sedimentary rocks. Characterized by low cementation and high porosity, these rocks exhibit a pronounced wetting–softening effect. Long-term exposure to warm, humid tropical and subtropical climates significantly degrades their engineering geological properties due to weathering. This [...] Read more.
The primary strata of western Taiwan are Cenozoic sedimentary rocks. Characterized by low cementation and high porosity, these rocks exhibit a pronounced wetting–softening effect. Long-term exposure to warm, humid tropical and subtropical climates significantly degrades their engineering geological properties due to weathering. This study, based on a sandstone-shale interbedded highway slope in central Taiwan that has repeatedly collapsed, investigated the slope’s failure mechanism using remote-sensing image interpretation of previous landslides, surface geological surveys, kinematic analysis, photogrammetric mapping, laboratory artificial weathering experiments, and Distinct Element Method (DEM) simulations. The study revealed that the fundamental cause of collapse on this type of oblique-slope interbedded sandstone-shale is the sliding and toppling of sandstone blocks, driven by weathering and erosion of the shale. Based on artificial weathering experiments, the strength loss rate of the shale in the Kuantaoshan Sandstone Member of the Kueichulin Formation after weathering is 6.6 times that of the sandstone. The estimated collapse area from the two-dimensional Distinct Element Method analysis is consistent with the actual value from the photogrammetric model. This type of landslide caused by rock weathering always forms stepped surface where sandstone overhangs above shale. A shale erosion amount of 0.78–0.91 of the spacing of the joint approximately parallel to the slope surface was found to be the critical erosion before collapse and can serve as the early warning indicator. Full article
Show Figures

Figure 1

19 pages, 6099 KB  
Article
Multi-Scale Assessment and Prediction of Drought: A Case Study in the Arid Area of Northwest China
by Tingting Pan, Yang Wang, Yaning Chen, Jiayou Wang and Meiqing Feng
Remote Sens. 2025, 17(24), 3985; https://doi.org/10.3390/rs17243985 - 10 Dec 2025
Viewed by 219
Abstract
Accurate prediction of meteorological drought is essential for climate adaptation and sustainable water management in arid regions. Using the Standardized Precipitation Evapotranspiration Index (SPEI) derived from 1962–2021 meteorological observations, this study analyzed multi-scale drought evolution in the Arid Area of Northwest China (AANC) [...] Read more.
Accurate prediction of meteorological drought is essential for climate adaptation and sustainable water management in arid regions. Using the Standardized Precipitation Evapotranspiration Index (SPEI) derived from 1962–2021 meteorological observations, this study analyzed multi-scale drought evolution in the Arid Area of Northwest China (AANC) and revealed a distinct shift from wetting to drying after the 1997 abrupt warming. Correlation analysis indicated that the rapid temperature rise significantly enhanced evapotranspiration, offsetting the humidification effect of precipitation. To improve predictive performance, a Stacking ensemble framework was developed by integrating Elastic Network, Random Forest, and Prophet + XGBoost models, with the outputs of the base learners serving as inputs to a meta-regression layer. Compared with single models (NSE ≤ 0.742), the integrated model achieved superior accuracy (NSE = 0.886, MAE = 0.236, RMSE = 0.214), and its residuals followed a near-normal distribution, indicating high robustness. Future projections for 2022–2035 show consistent declines in SPEI1, SPEI3, SPEI6, SPEI12, and SPEI24, suggesting that the AANC will experience increasingly frequent and severe droughts as warming-induced evaporation continues to outweigh the humidification effect of precipitation. This integrated framework enhances drought predictability and provides theoretical support for climate risk assessment and adaptive water management in arid environments. Full article
Show Figures

Figure 1

18 pages, 9598 KB  
Article
Ephemeral Channel Expansion: Predicting Shifts Toward Intermittency in Vulnerable Streams Across Semi-Arid CONUS
by Lea J. Davidson and Adam M. Milewski
Water 2025, 17(23), 3445; https://doi.org/10.3390/w17233445 - 4 Dec 2025
Viewed by 280
Abstract
Broad trends point to the slow drying of streams, with warming temperatures and altered precipitation fueling declines in discharge across the Western United States. Sustained reductions in streamflow have the potential to drive the expansion of non-perennial channel networks, yet this process remains [...] Read more.
Broad trends point to the slow drying of streams, with warming temperatures and altered precipitation fueling declines in discharge across the Western United States. Sustained reductions in streamflow have the potential to drive the expansion of non-perennial channel networks, yet this process remains poorly characterized, with limited understanding of the variables which control stream vulnerability to intermittency or the spatial and temporal extent of these shifts. This research identifies significant trends toward novel intermittency across semi-arid regions of CONUS from 1980 to 2024. Of the 483 stream gages analyzed, more than half demonstrated reductions in discharge and increases in the frequency and duration of flow cessation. The relationship between flow intermittency and physical, hydrologic, climatic, and agricultural variables was further explored through discriminant function analysis (DFA). The timing of wet-season moisture, specifically December and January precipitation, was identified as the primary factor controlling the development of intermittency in semi-arid zones. With forecasted reductions in precipitation across CONUS, many currently perennial systems are vulnerable to developing intermittency. As a result, intermittent flow regimes are projected to expand further into previously perennial streams, as well as exacerbate dry-down across vulnerable channels. Full article
(This article belongs to the Section Water and Climate Change)
Show Figures

Graphical abstract

24 pages, 4102 KB  
Article
Carbon Reduction Potential of Modular Bathroom Systems in the A1–A3 Life-Cycle Stages
by Sang-Heon Lee, Joo-Hyeun Jung, Jin-Chul Park and Yong-Woo Song
Buildings 2025, 15(23), 4282; https://doi.org/10.3390/buildings15234282 - 26 Nov 2025
Viewed by 322
Abstract
Efforts to reduce greenhouse gas (GHG) emissions across various sectors are on-going to overcome the global climate crisis induced by global warming. The construction sector is a significant contributor of GHG emissions due to the complexity of its diverse processes and the extensive [...] Read more.
Efforts to reduce greenhouse gas (GHG) emissions across various sectors are on-going to overcome the global climate crisis induced by global warming. The construction sector is a significant contributor of GHG emissions due to the complexity of its diverse processes and the extensive use of various materials. Consequently, simplifying construction processes and adopting low-carbon materials and processes through the rigorous review of material carbon footprints is urgently needed. This study focused on bathrooms (wet areas), which are characterized by complex procedures, the use of diverse materials, and the significant carbon emissions and material waste often resulting from high defect rates. We conducted a comparative analysis of the carbon reduction effects between the conventional wet construction method and the modular construction method specifically for bathroom construction. The analysis involved selecting materials, assessing their suitability against performance standards using a mock-up evaluation, and evaluating the construction applicability of modular bathrooms. Furthermore, through a Life Cycle Assessment, it was confirmed that the selected materials and the modular construction method could significantly reduce carbon emissions compared to the existing wet construction method. The findings of this study provide a crucial direction for the expanded application and use of modular construction methods in future building projects. Full article
(This article belongs to the Topic Sustainable Building Materials)
Show Figures

Figure 1

18 pages, 4604 KB  
Article
Evaluating Terrestrial Water Storage, Fluxes, and Drivers in the Pearl River Basin from Downscaled GRACE/GFO and Hydrometeorological Data
by Yuhao Xiong, Jincheng Liang and Wei Feng
Remote Sens. 2025, 17(23), 3816; https://doi.org/10.3390/rs17233816 - 25 Nov 2025
Viewed by 369
Abstract
The Pearl River Basin (PRB) is a humid subtropical system where frequent floods and recurrent droughts challenge water management. GRACE and GRACE Follow-On provide basin-scale constraints on terrestrial water storage anomalies (TWSA), yet their coarse native resolution limits applications at regional scales. We [...] Read more.
The Pearl River Basin (PRB) is a humid subtropical system where frequent floods and recurrent droughts challenge water management. GRACE and GRACE Follow-On provide basin-scale constraints on terrestrial water storage anomalies (TWSA), yet their coarse native resolution limits applications at regional scales. We employ a downscaled TWSA product derived via a joint inversion that integrates GRACE/GFO observations with the high-resolution spatial patterns of WaterGap Global Hydrological Model (WGHM). Validation against GRACE/GFO shows that the downscaled product outperforms WGHM at basin and pixel scales, with consistently lower errors and higher skill, and with improved terrestrial water flux (TWF) estimates that agree more closely with water balance calculations in both magnitude and phase. The TWSA in the PRB exhibits strong seasonality, with precipitation (P) exceeding evapotranspiration (E) and runoff (R) from April to July and storage peaking in July. From 2002 to 2022, the basin alternates between multi-year declines and recoveries. On the annual scale, TWSA covaries with precipitation and runoff, and large-scale climate modes modulate these relationships, with El Niño and a warm Pacific Decadal Oscillation (PDO) favoring wetter conditions and La Niña and a cold PDO favoring drier conditions. extreme gradient boosting (XGBoost) with shapley additive explanations (SHAP) attribution identifies P as the primary driver of storage variability, followed by R and E, while vegetation and radiation variables play secondary roles. Drought and flood diagnostics based on drought severity index (DSI) and a standardized flood potential index (FPI) capture the severe 2021 drought and major wet-season floods. The results demonstrate that joint inversion downscaling enhances the spatiotemporal fidelity of satellite-informed storage estimates and provides actionable information for risk assessment and water resources management. Full article
Show Figures

Figure 1

20 pages, 4688 KB  
Article
Characteristics and Mechanisms of the Dipole Precipitation Pattern in “Westerlies Asia” over the Past Millennium Based on PMIP4 Simulation
by Shuai Ma, Yan Liu, Guoqiang Ding and Xiaoning Liu
Atmosphere 2025, 16(12), 1315; https://doi.org/10.3390/atmos16121315 - 21 Nov 2025
Viewed by 293
Abstract
Westerlies Asia, which includes arid Central Asia (ACA) and arid West Asia (AWA), is characterized by water vapor transport primarily controlled by the westerlies. Recent studies have identified a dipole pattern in hydroclimate variability between ACA and AWA during both the Holocene and [...] Read more.
Westerlies Asia, which includes arid Central Asia (ACA) and arid West Asia (AWA), is characterized by water vapor transport primarily controlled by the westerlies. Recent studies have identified a dipole pattern in hydroclimate variability between ACA and AWA during both the Holocene and modern period. However, it remains unclear whether such a dipole pattern persisted over the past millennium. Our findings demonstrate that the PMIP4 multi-model simulations reveal a dipole precipitation pattern between arid Central Asia and arid West Asia over the past millennium. During the Little Ice Age (LIA), annual precipitation increased in ACA but decreased in AWA, while the opposite pattern occurred during the Medieval Climate Anomaly (MCA). This dipole precipitation pattern is attributed to seasonal differences: increased spring precipitation in ACA together with decreased summer precipitation in AWA shaped the annual precipitation anomaly during the Little Ice Age, with a reversed regime during the Medieval Climate Anomaly. Mechanistically, a negative North Atlantic Oscillation (NAO) phase during LIA springs shifted the westerly moisture transport southward, enhancing moisture supply to ACA and increasing the precipitation there. In contrast, during LIA summers, a positive NAO phase displaced the westerly northward, reducing moisture advection to AWA, while a strengthened Azores High promoted moisture outflow and descending motion, suppressing precipitation. These findings offer a paleo-hydroclimatic basis for anticipating alternating dry-wet regimes between subregions, which can inform adaptive water allocation strategies, drought and flood preparedness, and long-term infrastructure planning across Westerlies Asia in a warming world. Full article
Show Figures

Figure 1

18 pages, 2527 KB  
Article
Monitoring Wet-Snow Avalanche Risk in Southeastern Tibet with a UAV-Based Multi-Sensor Framework
by Shuang Ye, Min Huang, Zijun Chen, Wenyu Jiang, Xianghuan Luo and Jiasong Zhu
Remote Sens. 2025, 17(22), 3698; https://doi.org/10.3390/rs17223698 - 12 Nov 2025
Viewed by 348
Abstract
Wet-snow avalanches constitute a major geomorphic hazard in southeastern Tibet, where warm, humid climatic conditions and a steep, high-relief terrain generate failure mechanisms that are distinct from those in cold, dry snow environments. This study investigates the snowpack conditions underlying avalanche initiation in [...] Read more.
Wet-snow avalanches constitute a major geomorphic hazard in southeastern Tibet, where warm, humid climatic conditions and a steep, high-relief terrain generate failure mechanisms that are distinct from those in cold, dry snow environments. This study investigates the snowpack conditions underlying avalanche initiation in this region by integrating UAV-based multi-sensor surveys with field validation. Ground-penetrating radar (GPR), infrared thermography, and optical imaging were employed to characterize snow depth, stratigraphy, liquid water content (LWC), snow water equivalent (SWE), and surface temperature across an inaccessible avalanche channel. Calibration at representative wet-snow sites established an appropriate LWC inversion model and clarified the dielectric properties of avalanche-prone snow. Results revealed SWE up to 1092.98 mm and LWC exceeding 13.8%, well above the critical thresholds for wet-snow instability, alongside near-isothermal profiles and weak bonding at the snow–ground interface. Stratigraphic and UAV-based observations consistently showed poorly bonded, water-saturated snow layers with ice lenses. These findings provide new insights into the hydro-thermal controls of wet-snow avalanche release under monsoonal influence and demonstrate the value of UAV-based surveys for advancing the monitoring and early warning of snow-related hazards in high-relief mountain systems. Full article
Show Figures

Figure 1

52 pages, 9766 KB  
Article
Vegetation Phenological Responses to Multi-Factor Climate Forcing on the Tibetan Plateau: Nonlinear and Spatially Heterogeneous Mechanisms
by Liuxing Xu, Ruicheng Xu and Wenfu Peng
Land 2025, 14(11), 2238; https://doi.org/10.3390/land14112238 - 12 Nov 2025
Viewed by 651
Abstract
The Tibetan Plateau is a globally critical climate-sensitive and ecologically fragile region. Vegetation phenology serves as a key indicator of ecosystem responses to climate change and simultaneously influences regional carbon cycling, water regulation, and ecological security. However, systematic quantitative assessments of phenological responses [...] Read more.
The Tibetan Plateau is a globally critical climate-sensitive and ecologically fragile region. Vegetation phenology serves as a key indicator of ecosystem responses to climate change and simultaneously influences regional carbon cycling, water regulation, and ecological security. However, systematic quantitative assessments of phenological responses under the combined effects of multiple climate factors remain limited. This study integrates multi-source remote sensing data (MODIS MCD12Q2) and ERA5-Land meteorological data from 2001 to 2023, leveraging the Google Earth Engine (GEE) cloud platform to extract key phenological metrics, including the start (SOS) and end (EOS) of the growing season, and growing season length (GSL). Sen’s slope estimation, Mann–Kendall trend tests, and partial correlation analyses were applied to quantify the independent effects and spatial heterogeneity of temperature, precipitation, solar radiation, and evapotranspiration (ET) on GSL. Results indicate that: (1) GSL on the Tibetan Plateau has significantly increased, averaging 0.24 days per year (Sen’s slope +0.183 days/yr, Z = 3.21, p < 0.001; linear regression +0.253 days/yr, decadal trend 2.53 days, p = 0.0007), primarily driven by earlier spring onset (SOS: Sen’s slope −0.183 days/yr, Z = −3.85, p < 0.001), while autumn dormancy (EOS) showed limited delay (Sen’s slope +0.051 days/yr, Z = 0.78, p = 0.435). (2) GSL changes exhibit pronounced spatial heterogeneity and ecosystem-specific responses: southeastern warm–wet regions display the strongest responses, with temperature as the dominant driver (mean partial correlation coefficient 0.62); in high–cold arid regions, warming substantially extends GSL (Z = 3.8, p < 0.001), whereas in warm–wet regions, growth may be constrained by water stress (Z = −2.3, p < 0.05). Grasslands (Z = 3.6, p < 0.001) and urban areas (Z = 3.2, p < 0.01) show the largest GSL extension, while evergreen forests and wetlands remain relatively stable, reflecting both the “climate sentinel” role of sensitive ecosystems and the carbon sequestration value of stable ecosystems. (3) Multi-factor interactions are complex and nonlinear; temperature, precipitation, radiation, and ET interact significantly, and extreme climate events may induce lagged effects, with clear thresholds and spatial dependence. (4) The use of GEE enables large-scale, multi-year, pixel-level GSL analysis, providing high-precision evidence for phenological quantification and critical parameters for carbon cycle modeling, ecosystem service assessment, and adaptive management. Overall, this study systematically reveals the lengthening and asymmetric patterns of GSL on the Tibetan Plateau, elucidates diverse land cover and climate responses, advances understanding of high-altitude ecosystem adaptability and climate resilience, and provides scientific guidance for regional ecological protection, sustainable management, and future phenology prediction. Full article
Show Figures

Graphical abstract

32 pages, 9724 KB  
Article
Evaluation of WRF-Downscaled CMIP5 Climate Simulations for Precipitation and Temperature over Thailand (1976–2005): Implications for Adaptation and Sustainable Development
by Chakrit Chotamonsak, Duangnapha Lapyai, Atsamon Limsakul, Kritanai Torsri, Punnathorn Thanadolmethaphorn and Supachai Nakapan
Sustainability 2025, 17(21), 9899; https://doi.org/10.3390/su17219899 - 6 Nov 2025
Cited by 1 | Viewed by 404
Abstract
Dynamical downscaling is an essential approach for bridging the gap between coarse-resolution global climate models and regional details required for climate impact assessment and sustainable development planning. Thailand, a climate-sensitive country in Southeast Asia, requires robust climate information to support its adaptation and [...] Read more.
Dynamical downscaling is an essential approach for bridging the gap between coarse-resolution global climate models and regional details required for climate impact assessment and sustainable development planning. Thailand, a climate-sensitive country in Southeast Asia, requires robust climate information to support its adaptation and resilience strategies. This study evaluated the Weather Research and Forecasting (WRF) model in dynamically downscaling selected Coupled Model Intercomparison Project Phase 5 (CMIP5) simulations over Thailand during the baseline period of 1976–2005. A two-way nested WRF configuration was employed, with domains covering Southeast Asia (36 km) and Thailand (12 km) in the model. Model outputs were compared with gridded observations from the Climatic Research Unit (CRU TS), and spatial variations were analyzed across six administrative regions in Thailand. The WRF successfully reproduces broad climatological patterns, including the precipitation contrast between mountainous and lowland areas and the north–south gradient of temperature. Seasonal cycles of rainfall and temperature are generally well represented, although systematic biases remain, specifically the overestimation of orographic rainfall and a cold bias in high-elevation regions. The 12 km WRF simulations demonstrated improved special and temporal agreement with the CRU TS dataset, showing a national-scale wet bias (MBE = +17.14 mm/month), especially during the summer monsoon (+65.22 mm/month). Temperature simulations exhibited seasonal derivations, with a warm bias in the pre-monsoon season and a cold bias during the cool season, resulting in annual cold biases in both maximum (−1.25 C) and minimum (−0.80 C) temperatures. Despite systematic biases, WRF-CMIP5 downscaled framework provides enhanced regional climate information and valuable insights to support national-to-local climate change adaptation, resilience planning, and sustainable development strategies in Thailand and the broader Southeast Asian region. Full article
(This article belongs to the Section Air, Climate Change and Sustainability)
Show Figures

Figure 1

14 pages, 1559 KB  
Article
Investigating Dew Trends and Drivers Using Ground-Based Meteorological Observations at the Namib Desert
by Sara Javanmardi, Na Qiao, Eugene Marais and Lixin Wang
Atmosphere 2025, 16(11), 1257; https://doi.org/10.3390/atmos16111257 - 31 Oct 2025
Viewed by 520
Abstract
In arid environments such as the Namib Desert, non-rainfall water sources—including dew and fog—constitute indispensable yet understudied components of the regional hydrological cycle. These moisture inputs play a critical role in sustaining ecological functionality and biogeochemical processes, but remain among the least quantified [...] Read more.
In arid environments such as the Namib Desert, non-rainfall water sources—including dew and fog—constitute indispensable yet understudied components of the regional hydrological cycle. These moisture inputs play a critical role in sustaining ecological functionality and biogeochemical processes, but remain among the least quantified facets of desert ecohydrology. The present study investigates multi-year trends in morning dew formation within the Namib Desert, utilizing observations from the Gobabeb–Namib Research Institute between 2015 and 2022. Meteorological data from the Southern African Science Service Centre for Climate and Adaptive Land Management (SASSCAL), in conjunction with direct field observations of dew, were used to develop an empirical equation to estimate dew occurrence. A sensitivity analysis verified the robustness of this formulation, and subsequent validation using field data confirmed its reliability (84.84% accuracy). During this eight-year period, the annual number of days with morning dew decreased from 170 in 2015 to 140 in 2022, representing an overall decline of approximately 18%. However, the total daily dew occurrence across 24 h remained relatively constant, indicating that the observed decline is confined primarily to morning condensation events. Dew formation was most prevalent during the wet season (December–May). Both monthly and annual analyses revealed a discernible declining trend in morning dew occurrence across this hyperarid ecosystem (p < 0.05). This decline corresponded with a gradual increase in both air and soil temperatures (approximately +0.03 °C yr−1) and a slight but consistent decrease in relative humidity (approximately −0.26% yr−1) between 2015 and 2022. The principal drivers of this decline include rising soil and air temperatures and decreasing atmospheric humidity. The analysis further identified an inverse relationship between air temperature and dew formation, implying that climatic warming intensifies evaporative demand and thereby suppresses dew condensation. Random forest analysis identified soil temperature, air temperature, and relative humidity as the most important predictors influencing dew occurrence, whereas wind speed and direction played lesser roles. Collectively, these findings underscore the vulnerability of dew-dependent ecosystems to anthropogenic climate change and highlight the imperative to continue investigating non-rainfall moisture dynamics in desert environments. Full article
(This article belongs to the Special Issue Analysis of Dew under Different Climate Changes)
Show Figures

Figure 1

21 pages, 3009 KB  
Article
Probabilistic Assessment of Crop Yield Loss Under Drought and Global Warming in the Canadian Prairies
by Mohammad Zare, David Sauchyn, Amin Roshani and Zahra Noorisameleh
Agronomy 2025, 15(11), 2484; https://doi.org/10.3390/agronomy15112484 - 25 Oct 2025
Viewed by 750
Abstract
This study assessed the vulnerability of canola, spring wheat, and barley yields in the Canadian Prairies to drought stress under future climate scenarios, integrating DSSAT crop models with NEX-GDDP CMIP6 projections and probabilistic copula analysis. The DSSAT simulations reproduced historical yields with high [...] Read more.
This study assessed the vulnerability of canola, spring wheat, and barley yields in the Canadian Prairies to drought stress under future climate scenarios, integrating DSSAT crop models with NEX-GDDP CMIP6 projections and probabilistic copula analysis. The DSSAT simulations reproduced historical yields with high accuracy (d > 0.7, nRMSE < 15–20%), confirming its applicability for Prairie agroecosystems. Results indicate distinct crop-specific sensitivities to warming: barley showed relative resilience with modest yield gains (~10%) at 1.5–2 °C of global warming (GW), wheat exhibited heterogeneous responses with early minor gains (~1%) followed by declines (~8%) beyond 3 °C of GW, and canola displayed consistent and substantial losses (20–37%) even under moderate warming. Spatial analysis highlighted relatively stable regions in northern Alberta, central Saskatchewan, and southern Manitoba (Gray and Black soil zones), while the southern and southwestern Prairie areas (Brown and Black-Brown zones) showed the greatest yield declines. Copula-based analysis further revealed that canola is most vulnerable to dry conditions, with yield exceedance probabilities falling from 62% (wet years) to ~25–28% (dry years) under GW. These findings underscore that Prairie crop production faces increasingly heterogeneous risks, with canola emerging as the most climate-sensitive crop. Targeted adaptation strategies such as stress-tolerant cultivars, shifting cropping zones, and improved water management will be essential to mitigate projected drought impacts and sustain Prairie agricultural productivity. Full article
(This article belongs to the Special Issue Agroclimatology and Crop Production: Adapting to Climate Change)
Show Figures

Figure 1

18 pages, 4487 KB  
Article
Evaluating the Risk of Population Exposure and Socio-Cultural Shifts in Ethnic Tibetan Areas Under Future Extreme Climate Change
by Junqiu Chen, Xinqiang Zhou, Tingting Liu, Guo Lin and Bing Chen
Sustainability 2025, 17(21), 9437; https://doi.org/10.3390/su17219437 - 23 Oct 2025
Viewed by 505
Abstract
Under global warming, the frequency and intensity of extreme climate events have markedly increased. As one of the most climate-sensitive and ecologically fragile regions in the world, the Tibetan Plateau faces mounting environmental and demographic challenges. This study integrates multi-model ensemble simulations from [...] Read more.
Under global warming, the frequency and intensity of extreme climate events have markedly increased. As one of the most climate-sensitive and ecologically fragile regions in the world, the Tibetan Plateau faces mounting environmental and demographic challenges. This study integrates multi-model ensemble simulations from the Coupled Model Intercomparison Project Phase 6 (CMIP6) with population projection data from the Shared Socioeconomic Pathways (SSPs) under the high-emission scenario (SSP5-8.5). Three extreme climate indices—very wet days precipitation (R95p), warm days (TX90p), and consecutive dry days (CDDs)—were analyzed to assess future changes in climate extremes (2021–2100) and their relationships with demographic dynamics across Tibetan ethnic areas. The results indicate that, under high-emission conditions, both R95p and TX90p increase significantly, while CDDs slightly decreases, though drought risks remain pronounced in central regions. Over the same period, the total population is projected to decline by nearly 60%, with substantial differences in climate risk exposure across groups: working-age adults and less-educated individuals experience the highest exposure before mid-century, followed by a decline, whereas the elderly and highly educated populations will show continuously increasing exposure, stabilizing by the end of the century. The transformation of population patterns is reshaping socio-cultural structures, highlighting the need for culturally adaptive governance to ensure the sustainability of Tibetan ethnic communities. These findings enhance our understanding of the coupled interactions among climate change, population dynamics, and cultural transitions, providing a scientific basis for integrated adaptation strategies to promote sustainable development across the Tibetan Plateau. Full article
(This article belongs to the Section Air, Climate Change and Sustainability)
Show Figures

Figure 1

21 pages, 3651 KB  
Article
Neolithic Bird Folk of the Mongolian Gobi Desert: Climate Change, Ecological Knowledge and Intangible Heritage in an Ancient Persistent Place
by Arlene M. Rosen, Julia Clarke, James Eighmey, Jennifer Farquhar, Dalantai Sarantuya and Tserendagva Yadmaa
Heritage 2025, 8(10), 433; https://doi.org/10.3390/heritage8100433 - 15 Oct 2025
Viewed by 1835
Abstract
There were profound changes in climate and landscape throughout the Early to Late Holocene in the Gobi Desert of Mongolia. The transmission of Traditional Ecological Knowledge (TEK) among ancient hunter–gatherer societies is key for resilient adaptations to such environmental shifts. Such ecological knowledge [...] Read more.
There were profound changes in climate and landscape throughout the Early to Late Holocene in the Gobi Desert of Mongolia. The transmission of Traditional Ecological Knowledge (TEK) among ancient hunter–gatherer societies is key for resilient adaptations to such environmental shifts. Such ecological knowledge is often transmitted across generations through folklore and rituals. Evidence from the site of Burgasny Enger in Mongolia’s Gobi Desert suggests a persistent place used for gatherings centered around ritual consumption of birds. Occupied seasonally from approximately 10,000–5000 years ago during a warm, wet Holocene phase, the site offers evidence of waterbird hunting, elaborate oven construction, and repeated occupations. We propose that such gatherings were occasions for storytelling and the cultural transmission of TEK, including the widespread Earth Diver Myth. This narrative, centered on the emergence of land from water, underscores the symbolic and ecological significance of wetlands in traditional cosmologies. With the disappearance of wetlands and changing climates, new herding societies replaced earlier lifeways. We highlight the importance of integrating Indigenous ecological knowledge into modern sustainability efforts. TEK, as demonstrated by these ancient practices, offers vital insights for biodiversity conservation, climate adaptation, and long-term ecological resilience. Full article
(This article belongs to the Special Issue The Archaeology of Climate Change)
Show Figures

Figure 1

Back to TopTop