Discrepant Pathway in Regulating ET Under Change in Community Composition of Alpine Grassland in the Source Region of the Yellow River
Highlights
- ET dynamics were more strongly controlled by the compositional transition pathway than by greening intensity, with transpiration dominating overall but accompanied by opposite soil evaporation responses.
- Compositional transition directionality governs hydrological responses: temperature-driven ET (soil drying) in AM-origin vs. precipitation-driven ET (soil wetting) in AS-origin grasslands.
- Compositional transitions must be incorporated into water balance models for accurate alpine hydrological predictions, which conventional vegetation index approaches often neglect.
- Divergent ET trajectories among compositional transitions demand pathway-specific conservation strategies for the source region of Yellow River sustainability.
Abstract
1. Introduction
2. Materials and Methods
2.1. Study Area
2.2. Data Collection
2.2.1. Grassland Community Composition Data
2.2.2. Meteorological Data
2.2.3. Evapotranspiration and Soil Moisture Data
2.2.4. Vegetation Index Data
2.3. Data Analysis
2.3.1. Impacts of Variables on ET and Its Components
2.3.2. Variations in ET and Its Component Detection Under Compositional Transitions
2.3.3. Variations in ET Trend and Seasonality Detection Under Compositional Transitions
2.3.4. Environmental Controls on ET Under Community Compositional Transitions
3. Results
3.1. Environmental Variations in the SRYR
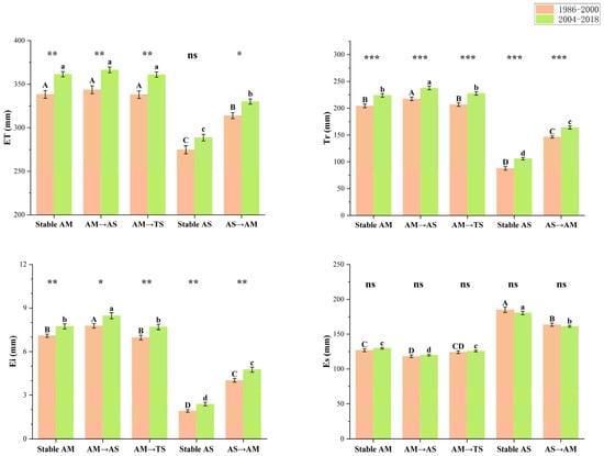
3.2. ET and Its Components Variations Under Compositional Transitions in Grasslands
3.3. Effects of Environmental Factors on ET Under Compositional Transitions in Grasslands
4. Discussion
4.1. Environmental Discrepancies Among Compositional Transitions of Grasslands in the SRYR
4.2. ET Responses Among Compositional Transitions in Grasslands Under Climate Change in the SRYR
4.3. Dominant Mechanism of Climate Change on ET Under Compositional Transitions in Grasslands
4.4. Limitations and Future Work
5. Conclusions
Supplementary Materials
Author Contributions
Funding
Data Availability Statement
Conflicts of Interest
References
- Brümmer, C.; Black, T.A.; Jassal, R.S.; Grant, N.J.; Spittlehouse, D.L.; Chen, B.; Nesic, Z.; Amiro, B.D.; Arain, M.A.; Barr, A.G.; et al. How climate and vegetation type influence evapotranspiration and water use efficiency in Canadian forest, peatland and grassland ecosystems. Agr. For. Meteorol. 2012, 153, 14–30. [Google Scholar] [CrossRef]
- Su, T.; Xie, D.; Feng, T.; Huang, B.; Qian, Z.; Feng, G.; Wu, Y. Quantifying the contribution of terrestrial water storage to actual evapotranspiration trends by the extended Budyko model in Northwest China. Atmos. Res. 2022, 273, 106147. [Google Scholar] [CrossRef]
- Deng, X.Z.; Shi, Q.L.; Zhang, Q.; Shi, C.C.; Yin, F. Impacts of land use and land cover changes on surface energy and water balance in the Heihe River Basin of China, 2000–2010. Phys. Chem. Earth 2015, 79–82, 2–10. [Google Scholar] [CrossRef]
- Getachew, B.; Manjunatha, B.R.; Bhat, H.G. Modeling projected impacts of climate and land use/land cover changes on hydrological responses in the Lake Tana Basin, upper Blue Nile River Basin, Ethiopia. J. Hydrol. 2021, 595, 20. [Google Scholar] [CrossRef]
- Gwate, O.; Mantel, S.K.; Gibson, L.A.; Munch, Z.; Palmer, A.R. Exploring dynamics of evapotranspiration in selected land cover classes in a sub-humid grassland: A case study in quaternary catchment S50E, South Africa. J. Arid Environ. 2018, 157, 66–76. [Google Scholar] [CrossRef]
- Feng, X.; Fu, B.; Piao, S.; Wang, S.; Ciais, P.; Zeng, Z.; Lü, Y.; Zeng, Y.; Li, Y.; Jiang, X.; et al. Revegetation in China’s Loess Plateau is approaching sustainable water resource limits. Nat. Clim. Chang. 2016, 6, 1019–1022. [Google Scholar] [CrossRef]
- Shen, M.; Piao, S.; Jeong, S.J.; Zhou, L.; Zeng, Z.; Ciais, P.; Chen, D.; Huang, M.; Jin, C.S.; Li, L.Z.; et al. Evaporative cooling over the Tibetan Plateau induced by vegetation growth. Proc. Natl. Acad. Sci. USA 2015, 112, 9299–9304. [Google Scholar] [CrossRef]
- Zhao, F.; Ma, S.; Wu, Y.; Qiu, L.; Wang, W.; Lian, Y.; Chen, J.; Sivakumar, B. The role of climate change and vegetation greening on evapotranspiration variation in the Yellow River Basin, China. Agr. For. Meteorol. 2022, 316, 108842. [Google Scholar] [CrossRef]
- Zhao, Y.; Chen, Y.; Wu, C.; Li, G.; Ma, M.; Fan, L.; Zheng, H.; Song, L.; Tang, X. Exploring the contribution of environmental factors to evapotranspiration dynamics in the Three-River-Source region, China. J. Hydrol. 2023, 626, 130222. [Google Scholar] [CrossRef]
- Li, Y.; Xu, R.; Yang, K.; Liu, Y.X.; Wang, S.; Zhou, S.; Yang, Z.; Feng, X.M.; He, C.Y.; Xu, Z.J.; et al. Contribution of Tibetan Plateau ecosystems to local and remote precipitation through moisture recycling. Glob. Chang. Biol. 2023, 29, 702–718. [Google Scholar] [CrossRef]
- Li, X.; Zou, L.; Xia, J.; Dou, M.; Li, H.; Song, Z. Untangling the effects of climate change and land use/cover change on spatiotemporal variation of evapotranspiration over China. J. Hydrol. 2022, 612, 128189. [Google Scholar] [CrossRef]
- Cui, Z.; Zhang, Y.; Wang, A.; Wu, J. Forest evapotranspiration trends and their driving factors under climate change. J. Hydrol. 2024, 644, 132114. [Google Scholar] [CrossRef]
- Qiu, L.; Wu, Y.; Shi, Z.; Chen, Y.; Zhao, F. Quantifying the Responses of Evapotranspiration and Its Components to Vegetation Restoration and Climate Change on the Loess Plateau of China. Remote Sens. 2021, 13, 2358. [Google Scholar] [CrossRef]
- Schlesinger, W.H.; Jasechko, S. Transpiration in the global water cycle. Agr. For. Meteorol. 2014, 189–190, 115–117. [Google Scholar] [CrossRef]
- Li, W.; Yan, D.; Weng, B.; Lai, Y.; Zhu, L.; Qin, T.; Dong, Z.; Bi, W. Nonlinear effects of surface soil moisture changes on vegetation greenness over the Tibetan plateau. Remote Sens. Environ. 2024, 302, 113971. [Google Scholar] [CrossRef]
- Xue, X.; Peng, F.; You, Q.; Xu, M.; Dong, S. Belowground carbon responses to experimental warming regulated by soil moisture change in an alpine ecosystem of the Qinghai-Tibet Plateau. Ecol. Evol. 2015, 5, 4063–4078. [Google Scholar] [CrossRef]
- Zhu, Z.; Wang, H.; Harrison, S.P.; Prentice, I.C.; Qiao, S.; Tan, S. Optimality principles explaining divergent responses of alpine vegetation to environmental change. Glob. Chang. Biol. 2022, 29, 126–142. [Google Scholar] [CrossRef]
- Yang, Y.; Roderick, M.L.; Guo, H.; Miralles, D.G.; Zhang, L.; Fatichi, S.; Luo, X.; Zhang, Y.; McVicar, T.R.; Tu, Z.; et al. Evapotranspiration on a greening Earth. Nat. Rev. Earth Environ. 2023, 4, 626–641. [Google Scholar] [CrossRef]
- He, M.; Wu, W.; Xiao, Y.; Zhang, H.; Li, D.; Yao, T.; Luo, Y.; Weng, H.; Chang, Y.; Bi, Y.; et al. Spatial Climate Heterogeneity as a Moderator of Vegetation Migration Dynamics on the Qinghai-Tibet Plateau. Geophys. Res. Lett. 2025, 52, e2025GL117697. [Google Scholar] [CrossRef]
- Zhu, Y.; Zheng, Z.; Zhao, G.; Zhu, J.; Zhao, B.; Sun, Y.; Gao, J.; Zhang, Y. Evapotranspiration increase is more sensitive to vegetation greening than to vegetation type conversion in arid and semi-arid regions of China. Glob. Planet. Change 2025, 244, 104634. [Google Scholar] [CrossRef]
- Su, Y.; Guo, Q.; Hu, T.; Guan, H.; Jin, S.; An, S.; Chen, X.; Guo, K.; Hao, Z.; Hu, Y.; et al. An updated Vegetation Map of China (1:1000000). Sci. Bull. 2020, 65, 1125–1136. [Google Scholar] [CrossRef] [PubMed]
- Wang, W.Y.; Wang, Q.J.; Wang, H.C. The effect of land management on plant community composition, species diversity, and productivity of alpine Kobersia steppe meadow. Ecol. Res. 2006, 21, 181–187. [Google Scholar] [CrossRef]
- de Klerk, H.M.; Burgess, N.D.; Visser, V. Probabilistic description of vegetation ecotones using remote sensing. Ecol. Inform. 2018, 46, 125–132. [Google Scholar] [CrossRef]
- García-Gutiérrez, T.; Jiménez-Alfaro, B.; Fernández-Pascual, E.; Müller, J.V. Functional diversity and ecological requirements of alpine vegetation types in a biogeographical transition zone. Phytocoenologia 2018, 48, 77–89. [Google Scholar] [CrossRef]
- Liu, Z.; Li, Q.; Chen, D.; Zhai, W.; Zhao, L.; Xu, S.; Zhao, X. Patterns of plant species diversity along an altitudinal gradient and its effect on above-ground biomass in alpine meadows in Qinghai-Tibet Plateau. Biodivers. Sci. 2015, 23, 451–462. [Google Scholar] [CrossRef]
- Li, H.X.; Guo, J.P.; Wang, Y.D.; Wang, W.Y.; Jia, Q.; Wan, H.W.; Li, F.Y. Boundary migration between zonal vegetation types in Inner Mongolia over the past two decades. Catena 2024, 246, 108354. [Google Scholar] [CrossRef]
- Viglizzo, E.F.; Nosetto, M.D.; Jobbágy, E.G.; Ricard, M.F.; Frank, F.C. The ecohydrology of ecosystem transitions: A meta-analysis. Ecohydrology 2015, 8, 911–921. [Google Scholar] [CrossRef]
- Zhu, K.; Song, Y.; Lesage, J.C.; Luong, J.C.; Bartolome, J.W.; Chiariello, N.R.; Dudney, J.; Field, C.B.; Hallett, L.M.; Hammond, M.; et al. Rapid shifts in grassland communities driven by climate change. Nat. Ecol. Evol. 2024, 8, 2252–2264. [Google Scholar] [CrossRef]
- Sun, J.Y.; Sun, X.Y.; Wang, G.X.; Dong, W.C.; Hu, Z.Y.; Sun, S.Q.; Wang, F.; Song, C.L.; Lin, S. Soil water components control plant water uptake along a subalpine elevation gradient on the Eastern Qinghai-Tibet Plateau. Agr. For. Meteorol. 2024, 345, 109827. [Google Scholar] [CrossRef]
- Hu, G.; Jin, H.; Dong, Z.; Yan, C.; Lu, J. Research of land-use and land-cover change (LUCC) in the source regions of the Yellow River. J. Glaciol. Geocryol. 2014, 36, 573–581. [Google Scholar]
- Wang, L.; Zhu, Q.A.; Zhang, J.; Liu, J.; Zhu, C.F.; Qu, L.S. Vegetation dynamics alter the hydrological interconnections between upper and mid-lower reaches of the Yellow River Basin, China. Ecol. Indic. 2023, 148, 110083. [Google Scholar] [CrossRef]
- Wang, T.; Yang, H.; Yang, D.; Qin, Y.; Wang, Y. Quantifying the streamflow response to frozen ground degradation in the source region of the Yellow River within the Budyko framework. J. Hydrol. 2018, 558, 301–313. [Google Scholar] [CrossRef]
- Qin, Y.; Yang, D.; Gao, B.; Wang, T.; Chen, J.; Chen, Y.; Wang, Y.; Zheng, G. Impacts of climate warming on the frozen ground and eco-hydrology in the Yellow River source region, China. Sci. Total Environ. 2017, 605–606, 830–841. [Google Scholar] [CrossRef] [PubMed]
- Zhuang, J.; Li, Y.; Bai, P.; Chen, L.; Guo, X.; Xing, Y.; Feng, A.; Yu, W.; Huang, M. Changed evapotranspiration and its components induced by greening vegetation in the Three Rivers Source of the Tibetan Plateau. J. Hydrol. 2024, 633, 130970. [Google Scholar] [CrossRef]
- Wang, Y.; Xue, K.; Hu, R.; Ding, B.; Zeng, H.; Li, R.; Xu, B.; Pang, Z.; Song, X.; Li, C.; et al. Vegetation structural shift tells environmental changes on the Tibetan Plateau over 40 years. Sci. Bull. 2023, 68, 1928–1937. [Google Scholar] [CrossRef]
- Miehe, G.; Schleuss, P.M.; Seeber, E.; Babel, W.; Biermann, T.; Braendle, M.; Chen, F.; Coners, H.; Foken, T.; Gerken, T.; et al. The Kobresia pygmaea ecosystem of the Tibetan highlands—Origin, functioning and degradation of the world’s largest pastoral alpine ecosystem: Kobresia pastures of Tibet. Sci. Total Environ. 2019, 648, 754–771. [Google Scholar] [CrossRef]
- Wu, F.; Ren, H.; Zhou, G. The 30 m vegetation maps from 1990 to 2020 in the Tibetan Plateau. Sci. Data 2024, 11, 804. [Google Scholar] [CrossRef]
- He, J.; Yang, K.; Tang, W.; Lu, H.; Qin, J.; Chen, Y.; Li, X. The first high-resolution meteorological forcing dataset for land process studies over China. Sci. Data 2020, 7, 25. [Google Scholar] [CrossRef]
- Junzeng, X.U.; Qi, W.E.I.; Shizhang, P.; Yanmei, Y.U. Error of Saturation Vapor Pressure Calculated by Different Formulas and Its Effect on Calculation of Reference Evapotranspiration in High Latitude Cold Region. Procedia Eng. 2012, 28, 43–48. [Google Scholar] [CrossRef]
- Zhang, K.; Chen, H.; Ma, N.; Shang, S.; Wang, Y.; Xu, Q.; Zhu, G. A global dataset of terrestrial evapotranspiration and soil moisture dynamics from 1982 to 2020. Sci. Data 2024, 11, 445. [Google Scholar] [CrossRef]
- Kim, S. ppcor: An R Package for a Fast Calculation to Semi-partial Correlation Coefficients. Commun. Stat. Appl. Methods 2015, 22, 665–674. [Google Scholar] [CrossRef] [PubMed]
- Kim, S.; Koo, I.; Jeong, J.; Wu, S.; Shi, X.; Zhang, X. Compound Identification Using Partial and Semipartial Correlations for Gas Chromatography–Mass Spectrometry Data. Anal. Chem. 2012, 84, 6477–6487. [Google Scholar] [CrossRef] [PubMed]
- Stevens, J. Applied Multivariate Statistics for the Social Sciences; Lawrence Erlbaum Associates: Mahwah, NJ, USA, 2002; Volume 4. [Google Scholar]
- Rahman, A.S.; Hosono, T.; Kisi, O.; Dennis, B.; Imon, A.R. A minimalistic approach for evapotranspiration estimation using the Prophet model. Hydrol. Sci. J. 2020, 65, 1994–2006. [Google Scholar] [CrossRef]
- Hossain, M.A.; Rahman, M.M.; Hasan, S.S.; Mahmud, A.; Bai, L. Analysis and forecasting of meteorological drought using PROPHET and SARIMA models deploying Machine Learning Technique for southwestern region of Bangladesh. Environ. Sustain. Indic. 2025, 27, 100761. [Google Scholar] [CrossRef]
- Aguilera, H.; Guardiola-Albert, C.; Naranjo-Fernández, N.; Kohfahl, C. Towards flexible groundwater-level prediction for adaptive water management: Using Facebook’s Prophet forecasting approach. Hydrol. Sci. J. 2019, 64, 1504–1518. [Google Scholar] [CrossRef]
- Taylor, S.J.; Letham, B. Forecasting at scale. Am. Stat. 2018, 72, 37–45. [Google Scholar] [CrossRef]
- Bracewell, R.; Kahn, P.B. The Fourier transform and its applications. Am. J. Phys. 1966, 34, 712. [Google Scholar] [CrossRef]
- Zur, R.M.; Aballea, S.; Sherman, S. Implementation of Piecewise Structural Equation Modelling (Sem) as an Alternative to Traditional Sem: A Simulation Study. Value Health 2018, 21, S215. [Google Scholar] [CrossRef]
- Wang, S.; Zhang, Y.; Meng, X.; Shang, L.; Li, S.; Li, Z.; Su, Y. Biophysical factors control the interannual variability of evapotranspiration in an alpine meadow on the eastern Tibetan Plateau. Agr. For. Meteorol. 2023, 341, 109673. [Google Scholar] [CrossRef]
- Si, M.; Guo, X.; Lan, Y.; Fan, B.; Cao, G. Effects of Climatic Variability on Soil Water Content in an Alpine Kobresia Meadow, Northern Qinghai–Tibetan Plateau, China. Water 2022, 14, 2754. [Google Scholar] [CrossRef]
- Duan, H.; Xue, X.; Wang, T.; Kang, W.; Liao, J.; Liu, S. Spatial and Temporal Differences in Alpine Meadow, Alpine Steppe and All Vegetation of the Qinghai-Tibetan Plateau and Their Responses to Climate Change. Remote Sens. 2021, 13, 669. [Google Scholar] [CrossRef]
- Ganjurjav, H.; Gao, Q.Z.; Gornish, E.S.; Schwartz, M.W.; Liang, Y.; Cao, X.J.; Zhang, W.N.; Zhang, Y.; Li, W.H.; Wan, Y.F.; et al. Differential response of alpine steppe and alpine meadow to climate warming in the central Qinghai-Tibetan Plateau. Agr. For. Meteorol. 2016, 223, 233–240. [Google Scholar] [CrossRef]
- Wang, Y.; Sun, J.; He, W.; Ye, C.; Liu, B.; Chen, Y.; Zeng, T.; Ma, S.; Gan, X.; Miao, C.; et al. Migration of vegetation boundary between alpine steppe and meadow on a century-scale across the Tibetan Plateau. Ecol. Indic. 2022, 136, 108599. [Google Scholar] [CrossRef]
- Gu, H.; Yu, Z.; Li, G.; Luo, J.; Ju, Q.; Huang, Y.; Fu, X. Entropy-based research on precipitation variability in the source region of China’s Yellow River. Water 2020, 12, 2486. [Google Scholar] [CrossRef]
- Li, Q.; Yang, M.; Wan, G.; Wang, X. Spatial and temporal precipitation variability in the source region of the Yellow River. Environ. Earth Sci. 2016, 75, 594. [Google Scholar] [CrossRef]
- Iqbal, M.; Wen, J.; Wang, S.; Tian, H.; Adnan, M. Variations of precipitation characteristics during the period 1960–2014 in the Source Region of the Yellow River, China. J. Arid Land 2018, 10, 388–401. [Google Scholar] [CrossRef]
- Zhao, D.; Wu, S.; Yin, Y.; Yin, Z. Vegetation distribution on Tibetan Plateau under climate change scenario. Reg. Environ. Chang. 2011, 11, 905–915. [Google Scholar] [CrossRef]
- Li, N.; Wang, L.; Chen, D. Vegetation greening amplifies shallow soil temperature warming on the Tibetan Plateau. Npj Clim. Atmos. Sci. 2024, 7, 118. [Google Scholar] [CrossRef]
- Miehe, G.; Mlehe, S.; Kaiser, K.; Liu, J.Q.; Zhao, X.Q. Status and dynamics of Kobresia pygmaea ecosystem on the Tibetan plateau. Ambio 2008, 37, 272–279. [Google Scholar] [CrossRef]
- Wang, Y.; Lv, W.; Xue, K.; Wang, S.; Zhang, L.; Hu, R.; Zeng, H.; Xu, X.; Li, Y.; Jiang, L.; et al. Grassland changes and adaptive management on the Qinghai–Tibetan Plateau. Nat. Rev. Earth Environ. 2022, 3, 668–683. [Google Scholar] [CrossRef]
- Liu, Y.; Li, Z.; Chen, Y.; Jin, L.; Li, F.; Wang, X.; Long, Y.; Liu, C.; Kayumba, P.M. Global greening drives significant soil moisture loss. Commun. Earth Environ. 2025, 6, 600. [Google Scholar] [CrossRef]
- Kannenberg, S.A.; Anderegg, W.R.L.; Barnes, M.L.; Dannenberg, M.P.; Knapp, A.K. Dominant role of soil moisture in mediating carbon and water fluxes in dryland ecosystems. Nat. Geosci. 2024, 17, 38–43. [Google Scholar] [CrossRef]
- Song, F.; Mao, Y.; Liu, S.; Wu, L.; Dong, L.; Su, H.; Wang, Y.; Chtirkova, B.; Wu, P.; Wild, M. A long-term decline in downward surface solar radiation. Natl. Sci. Rev. 2025, 12, nwaf007. [Google Scholar] [CrossRef] [PubMed]
- Li, Y.; Su, F.G.; Chen, D.L.; Tang, Q.H. Atmospheric Water Transport to the Endorheic Tibetan Plateau and Its Effect on the Hydrological Status in the Region. J. Geophys. Res. Biogeosci. 2019, 124, 12864–12881. [Google Scholar] [CrossRef]
- Liu, Z.; Rogers, B.M.; Keppel-Aleks, G.; Helbig, M.; Ballantyne, A.P.; Kimball, J.S.; Chatterjee, A.; Foster, A.; Kaushik, A.; Virkkala, A.-M.; et al. Seasonal CO2 amplitude in northern high latitudes. Nat. Rev. Earth Environ. 2024, 5, 802–817. [Google Scholar] [CrossRef]
- Wu, J.; Feng, Y.; Li, L.Z.X.; Ciais, P.; Piao, S.; Chen, A.; Zeng, Z. Earth greening mitigates hot temperature extremes despite the effect being dampened by rising CO2. One Earth 2024, 7, 100–109. [Google Scholar] [CrossRef]
- Shao, Q.; Liu, S.; Ning, J.; Liu, G.; Yang, F.; Zhang, X.; Niu, L.; Huang, H.; Fan, J.; Liu, J. Remote sensing assessment of the ecological benefits provided by national key ecological projects in China during 2000–2019. J. Geogr. Sci. 2023, 33, 1587–1613. [Google Scholar] [CrossRef]
- Yao, X.; Wu, J.; Gong, X.; Lang, X.; Wang, C.; Song, S.; Ali Ahmad, A. Effects of long term fencing on biomass, coverage, density, biodiversity and nutritional values of vegetation community in an alpine meadow of the Qinghai-Tibet Plateau. Ecol. Eng. 2019, 130, 80–93. [Google Scholar] [CrossRef]
- Künzi, Y.; Zeiter, M.; Fischer, M.; Stampfli, A. Rooting depth and specific leaf area modify the impact of experimental drought duration on temperate grassland species. J. Ecol. 2025, 113, 445–458. [Google Scholar] [CrossRef]
- Zhang, Z.; Zhao, Y.; Lin, H.; Li, Y.; Fu, J.; Wang, Y.; Sun, J.; Zhao, Y. Comprehensive analysis of grazing intensity impacts alpine grasslands across the Qinghai-Tibetan Plateau: A meta-analysis. Front. Plant Sci. 2022, 13, 1083709. [Google Scholar] [CrossRef]
- Chang, Y.P.; Ding, Y.J.; Zhang, S.Q.; Qin, J.; Zhao, Q.D. Dynamics and environmental controls of evapotranspiration for typical alpine meadow in the northeastern Tibetan Plateau. J. Hydrol. 2022, 612, 128282. [Google Scholar] [CrossRef]
- Niu, S.L.; Xing, X.R.; Zhang, Z.; Xia, J.Y.; Zhou, X.H.; Song, B.; Li, L.H.; Wan, S.Q. Water-use efficiency in response to climate change: From leaf to ecosystem in a temperate steppe. Glob. Chang. Biol. 2011, 17, 1073–1082. [Google Scholar] [CrossRef]
- Li, J.; Jiang, S.; Wang, B.; Jiang, W.-w.; Tang, Y.-h.; Du, M.-y.; Gu, S. Evapotranspiration and Its Energy Exchange in Alpine Meadow Ecosystem on the Qinghai-Tibetan Plateau. J. Integr. Agric. 2013, 12, 1396–1401. [Google Scholar] [CrossRef]
- Alkama, R.; Forzieri, G.; Duveiller, G.; Grassi, G.; Liang, S.; Cescatti, A. Vegetation-based climate mitigation in a warmer and greener World. Nat. Commun. 2022, 13, 606. [Google Scholar] [CrossRef] [PubMed]
- Huang, K.; Zhang, Y.; Zhu, J.; Liu, Y.; Zu, J.; Zhang, J. The Influences of Climate Change and Human Activities on Vegetation Dynamics in the Qinghai-Tibet Plateau. Remote Sens. 2016, 8, 876. [Google Scholar] [CrossRef]
- Zhang, X.; Jin, X. Vegetation dynamics and responses to climate change and anthropogenic activities in the Three-River Headwaters Region, China. Ecol. Indic. 2021, 131, 108223. [Google Scholar] [CrossRef]
- Hu, Z.; Yu, G.; Fu, Y.; Sun, X.; Li, Y.; Shi, P.; Wang, Y.; Zheng, Z. Effects of vegetation control on ecosystem water use efficiency within and among four grassland ecosystems in China. Glob. Change Biol. 2008, 14, 1609–1619. [Google Scholar] [CrossRef]
- Quan, Q.; Zhang, F.; Tian, D.; Zhou, Q.; Wang, L.; Niu, S. Transpiration Dominates Ecosystem Water-Use Efficiency in Response to Warming in an Alpine Meadow. J. Geophys. Res. Biogeosci. 2018, 123, 453–462. [Google Scholar] [CrossRef]
- Li, Y.; Li, Z.L.; Wu, H.; Zhou, C.; Liu, X.; Leng, P.; Yang, P.; Wu, W.; Tang, R.; Shang, G.F.; et al. Biophysical impacts of earth greening can substantially mitigate regional land surface temperature warming. Nat. Commun. 2023, 14, 121. [Google Scholar] [CrossRef]
- Li, X.; Zhang, X.; Wu, J.; Shen, Z.; Zhang, Y.; Xu, X.; Fan, Y.; Zhao, Y.; Yan, W. Root biomass distribution in alpine ecosystems of the northern Tibetan Plateau. Environ. Earth Sci. 2011, 64, 1911–1919. [Google Scholar] [CrossRef]
- Fan, K.; Slater, L.; Zhang, Q.; Sheffield, J.; Gentine, P.; Sun, S.; Wu, W. Climate warming accelerates surface soil moisture drying in the Yellow River Basin, China. J. Hydrol. 2022, 615, 128735. [Google Scholar] [CrossRef]
- Zhao, M.; Geruo, A.; Liu, Y.; Konings, A.G. Evapotranspiration frequently increases during droughts. Nat. Clim. Chang. 2022, 12, 1024–1030. [Google Scholar] [CrossRef]
- Song, L.; Zhuang, Q.; Yin, Y.; Zhu, X.; Wu, S. Spatio-temporal dynamics of evapotranspiration on the Tibetan Plateau from 2000 to 2010. Environ. Res. Lett. 2017, 12, 014011. [Google Scholar] [CrossRef]
- Wang, Z.; Zhang, X.; Niu, B.; Zheng, Y.; He, Y.; Cao, Y.; Feng, Y.; Wu, J. Divergent Climate Sensitivities of the Alpine Grasslands to Early Growing Season Precipitation on the Tibetan Plateau. Remote Sens. 2022, 14, 2484. [Google Scholar] [CrossRef]
- Buckley, T.N. How do stomata respond to water status? New Phytol. 2019, 224, 21–36. [Google Scholar] [CrossRef]









| Transition Types | Type in 1980s | Type in 2010s | Area (km2) | Percentage (%) |
|---|---|---|---|---|
| Stable AM | Alpine Meadow | Alpine Meadow | 77,444.40 | 62.49 |
| AM→AS | Alpine Meadow | Alpine Steppe | 7367.38 | 5.94 |
| AM→TS | Alpine Meadow | Temperate Steppe | 2469.22 | 1.99 |
| AS→AM | Alpine Steppe | Alpine Meadow | 6578.35 | 5.31 |
| Stable AS | Alpine Steppe | Alpine Steppe | 560.45 | 0.45 |
| Transitions | ET (mm) | △ET (mm) | △Tr (mm) | △Ei (mm) | △Es (mm) | |
|---|---|---|---|---|---|---|
| 1986–2000 | 2004–2018 | |||||
| Stable AM | 338.32 | 361.43 | 23.11 | 19.49 | 0.64 | 2.97 |
| AM→AS | 343.59 | 366.41 | 22.82 | 20.23 | 0.70 | 1.90 |
| AM→TS | 337.94 | 361.01 | 23.07 | 20.83 | 0.73 | 1.51 |
| Stable AS | 274.74 | 288.71 | 13.97 | 17.96 | 0.48 | −4.47 |
| AS→AM | 313.90 | 330.09 | 16.19 | 17.76 | 0.74 | −2.31 |
Disclaimer/Publisher’s Note: The statements, opinions and data contained in all publications are solely those of the individual author(s) and contributor(s) and not of MDPI and/or the editor(s). MDPI and/or the editor(s) disclaim responsibility for any injury to people or property resulting from any ideas, methods, instructions or products referred to in the content. |
© 2025 by the authors. Licensee MDPI, Basel, Switzerland. This article is an open access article distributed under the terms and conditions of the Creative Commons Attribution (CC BY) license (https://creativecommons.org/licenses/by/4.0/).
Share and Cite
Guan, S.; Zhang, L.; Xiong, Y.; Li, C.; Zheng, Z.; Huang, S.; Hu, R.; Kang, X.; Du, J.; Xue, K.; et al. Discrepant Pathway in Regulating ET Under Change in Community Composition of Alpine Grassland in the Source Region of the Yellow River. Remote Sens. 2025, 17, 4046. https://doi.org/10.3390/rs17244046
Guan S, Zhang L, Xiong Y, Li C, Zheng Z, Huang S, Hu R, Kang X, Du J, Xue K, et al. Discrepant Pathway in Regulating ET Under Change in Community Composition of Alpine Grassland in the Source Region of the Yellow River. Remote Sensing. 2025; 17(24):4046. https://doi.org/10.3390/rs17244046
Chicago/Turabian StyleGuan, Shuntian, Longyue Zhang, Yunqi Xiong, Congjia Li, Zhenzhen Zheng, Shibo Huang, Ronghai Hu, Xiaoming Kang, Jianqin Du, Kai Xue, and et al. 2025. "Discrepant Pathway in Regulating ET Under Change in Community Composition of Alpine Grassland in the Source Region of the Yellow River" Remote Sensing 17, no. 24: 4046. https://doi.org/10.3390/rs17244046
APA StyleGuan, S., Zhang, L., Xiong, Y., Li, C., Zheng, Z., Huang, S., Hu, R., Kang, X., Du, J., Xue, K., Cui, X., Wang, Y., & Hao, Y. (2025). Discrepant Pathway in Regulating ET Under Change in Community Composition of Alpine Grassland in the Source Region of the Yellow River. Remote Sensing, 17(24), 4046. https://doi.org/10.3390/rs17244046

