Sign in to use this feature.

Years

Between: -

Subjects

remove_circle_outline
remove_circle_outline
remove_circle_outline
remove_circle_outline
remove_circle_outline
remove_circle_outline
remove_circle_outline
remove_circle_outline
remove_circle_outline

Journals

remove_circle_outline
remove_circle_outline
remove_circle_outline
remove_circle_outline
remove_circle_outline
remove_circle_outline
remove_circle_outline
remove_circle_outline
remove_circle_outline
remove_circle_outline
remove_circle_outline
remove_circle_outline
remove_circle_outline
remove_circle_outline
remove_circle_outline
remove_circle_outline
remove_circle_outline
remove_circle_outline
remove_circle_outline
remove_circle_outline
remove_circle_outline
remove_circle_outline
remove_circle_outline
remove_circle_outline
remove_circle_outline
remove_circle_outline
remove_circle_outline
remove_circle_outline
remove_circle_outline
remove_circle_outline
remove_circle_outline
remove_circle_outline

Article Types

Countries / Regions

remove_circle_outline
remove_circle_outline
remove_circle_outline
remove_circle_outline
remove_circle_outline

Search Results (3,086)

Search Parameters:
Keywords = violations

Order results
Result details
Results per page
Select all
Export citation of selected articles as:
41 pages, 33044 KB  
Article
An Improved DOA for Global Optimization and Cloud Task Scheduling
by Shinan Xu and Wentao Zhang
Symmetry 2025, 17(10), 1670; https://doi.org/10.3390/sym17101670 - 6 Oct 2025
Abstract
Symmetry is an essential characteristic in both solution spaces and cloud task scheduling loads, as it reflects a structural balance that can be exploited to enhance algorithmic efficiency and robustness. In recent years, with the rapid development of 6G networks, the number of [...] Read more.
Symmetry is an essential characteristic in both solution spaces and cloud task scheduling loads, as it reflects a structural balance that can be exploited to enhance algorithmic efficiency and robustness. In recent years, with the rapid development of 6G networks, the number of tasks requiring computation in the cloud has surged, prompting an increasing number of researchers to focus on how to efficiently schedule these tasks to idle computing nodes at low cost to enhance system resource utilization. However, developing reliable and cost-effective scheduling schemes for cloud computing tasks in real-world environments remains a significant challenge. This paper proposes a method for cloud computing task scheduling in real-world environments using an improved dhole optimization algorithm (IDOA). First, we enhance the quality of the initial population by employing a uniform distribution initialization method based on the Sobol sequence. Subsequently, we further improve the algorithm’s search capabilities using a sine elite population search method based on adaptive factors, enabling it to more effectively explore promising solution spaces. Additionally, we propose a random mirror perturbation boundary control method to better address individual boundary violations and enhance the algorithm’s robustness. By explicitly leveraging symmetry characteristics, the proposed algorithm maintains balanced exploration and exploitation, thereby improving convergence stability and scheduling fairness. To evaluate the effectiveness of the proposed algorithm, we compare it with nine other algorithms using the IEEE CEC2017 test set and assess the differences through statistical analysis. Experimental results demonstrate that the IDOA exhibits significant advantages. Finally, to verify its applicability in real-world scenarios, we applied IDOA to cloud computing task scheduling problems in actual environments, achieving excellent results and successfully completing cloud computing task scheduling planning. Full article
(This article belongs to the Special Issue Symmetry and Metaheuristic Algorithms)
Show Figures

Figure 1

20 pages, 1352 KB  
Article
Geometric Numerical Test via Collective Integrators: A Tool for Orbital and Attitude Propagation
by Francisco Crespo, Jhon Vidarte, Jersson Gerley Villafañe and Jorge Luis Zapata
Symmetry 2025, 17(10), 1652; https://doi.org/10.3390/sym17101652 - 4 Oct 2025
Abstract
We propose a novel numerical test to evaluate the reliability of numerical propagations, leveraging the fiber bundle structure of phase space typically induced by Lie symmetries, though not exclusively. This geometric test simultaneously verifies two properties: (i) preservation of conservation principles, and (ii) [...] Read more.
We propose a novel numerical test to evaluate the reliability of numerical propagations, leveraging the fiber bundle structure of phase space typically induced by Lie symmetries, though not exclusively. This geometric test simultaneously verifies two properties: (i) preservation of conservation principles, and (ii) faithfulness to the symmetry-induced fiber bundle structure. To generalize the approach to systems lacking inherent symmetries, we construct an associated collective system endowed with an artificial G-symmetry. The original system then emerges as the G-reduced version of this collective system. By integrating the collective system and monitoring G-fiber bundle conservation, our test quantifies numerical precision loss and detects geometric structure violations more effectively than classical integral-based checks. Numerical experiments demonstrate the superior performance of this method, particularly in long-term simulations of rigid body dynamics and perturbed Keplerian systems. Full article
(This article belongs to the Section Mathematics)
19 pages, 8271 KB  
Article
Asymmetric Structural Response Characteristics of Transmission Tower-Line Systems Under Cross-Fault Ground Motions Revealed by Shaking Table Tests
by Yu Wang, Xiaojun Li, Xiaohui Wang and Mianshui Rong
Symmetry 2025, 17(10), 1646; https://doi.org/10.3390/sym17101646 - 4 Oct 2025
Abstract
The long-distance high-voltage transmission tower-line system, frequently traversing active fault zones, is vulnerable to severe symmetry-breaking damage during earthquakes due to asymmetric permanent ground displacements. However, the seismic performance of such systems, particularly concerning symmetry-breaking effects caused by asymmetric fault displacements, remains inadequately [...] Read more.
The long-distance high-voltage transmission tower-line system, frequently traversing active fault zones, is vulnerable to severe symmetry-breaking damage during earthquakes due to asymmetric permanent ground displacements. However, the seismic performance of such systems, particularly concerning symmetry-breaking effects caused by asymmetric fault displacements, remains inadequately studied. This study investigates the symmetry degradation mechanisms in a 1:40 scaled 500 kV tower-line system subjected to cross-fault ground motions via shaking table tests. The testing protocol incorporates representative fault mechanisms—strike-slip and normal/reverse faults—to systematically evaluate their differential impacts on symmetry response. Measurements of acceleration, strain, and displacement reveal that while acceleration responses are spectrally controlled, structural damage is highly fault-type dependent and markedly asymmetric. The acceleration of towers without permanent displacement was 35–50% lower than that of towers with permanent displacement. Under identical permanent displacement conditions, peak displacements caused by normal/reverse motions exceeded those from strike-slip motions by 50–100%. Accordingly, a fault-type-specific amplification factor of 1.5 is proposed for the design of towers in dip-slip fault zones. These results offer novel experimental insights into symmetry violation under fault ruptures, including fault-specific correction factors and asymmetry-resistant design strategies. However, the conclusions are subject to limitations such as scale effects and the exclusion of vertical ground motion components. Full article
(This article belongs to the Section Engineering and Materials)
Show Figures

Figure 1

21 pages, 1658 KB  
Article
Utilization of Eye-Tracking Metrics to Evaluate User Experiences—Technology Description and Preliminary Study
by Julia Falkowska, Janusz Sobecki and Michał Falkowski
Sensors 2025, 25(19), 6101; https://doi.org/10.3390/s25196101 - 3 Oct 2025
Abstract
This study examines the feasibility of applying eye tracking as a rigorous method for assessing user experience in web design. A controlled experiment was conducted with 102 participants, who interacted with both guideline-compliant websites and systematically degraded variants violating specific principles of Material [...] Read more.
This study examines the feasibility of applying eye tracking as a rigorous method for assessing user experience in web design. A controlled experiment was conducted with 102 participants, who interacted with both guideline-compliant websites and systematically degraded variants violating specific principles of Material Design 2. Eleven websites were presented in A/B conditions with modifications targeting three design dimensions: contrast, link clarity, and iconography. Eye-tracking indicators—time to first fixation, fixation duration, fixation count, and time to first click—are examined in conjunction with subjective ratings and expert assessments. Mixed-effects models are employed to ensure robust statistical inference. The results demonstrate that reduced contrast and unclear links consistently impair user performance and increase search effort, whereas the influence of icons is more context-dependent. The study contributes by quantifying the usability costs of guideline deviations and by validating a triangulated evaluation framework that combines objective, subjective, and expert data. From a practical perspective, the findings support the integration of eye tracking into A/B testing and guideline validation, providing design teams with empirical evidence to inform and prioritize improvements in user interfaces. Full article
(This article belongs to the Section Intelligent Sensors)
Show Figures

Figure 1

36 pages, 462 KB  
Article
No Reproducibility, No Progress: Rethinking CT Benchmarking
by Dmitry Polevoy, Danil Kazimirov, Marat Gilmanov and Dmitry Nikolaev
J. Imaging 2025, 11(10), 344; https://doi.org/10.3390/jimaging11100344 - 2 Oct 2025
Abstract
Reproducibility is a cornerstone of scientific progress, yet in X-ray computed tomography (CT) reconstruction, it remains a critical and unresolved challenge. Current benchmarking practices in CT are hampered by the scarcity of openly available datasets, the incomplete or task-specific nature of existing resources, [...] Read more.
Reproducibility is a cornerstone of scientific progress, yet in X-ray computed tomography (CT) reconstruction, it remains a critical and unresolved challenge. Current benchmarking practices in CT are hampered by the scarcity of openly available datasets, the incomplete or task-specific nature of existing resources, and the lack of transparent implementations of widely used methods and evaluation metrics. As a result, even the fundamental property of reproducibility is frequently violated, undermining objective comparison and slowing methodological progress. In this work, we analyze the systemic limitations of current CT benchmarking, drawing parallels with broader reproducibility issues across scientific domains. We propose an extended data model and formalized schemes for data preparation and quality assessment, designed to improve reproducibility and broaden the applicability of CT datasets across multiple tasks. Building on these schemes, we introduce checklists for dataset construction and quality assessment, offering a foundation for reliable and reproducible benchmarking pipelines. A key aspect of our recommendations is the integration of virtual CT (vCT), which provides highly realistic data and analytically computable phantoms, yet remains underutilized despite its potential to overcome many current barriers. Our work represents a first step toward a methodological framework for reproducible benchmarking in CT. This framework aims to enable transparent, rigorous, and comparable evaluation of reconstruction methods, ultimately supporting their reliable adoption in clinical and industrial applications. Full article
(This article belongs to the Special Issue Tools and Techniques for Improving Radiological Imaging Applications)
Show Figures

Figure 1

24 pages, 9060 KB  
Article
Uncertainty Propagation for Vibrometry-Based Acoustic Predictions Using Gaussian Process Regression
by Andreas Wurzinger and Stefan Schoder
Appl. Sci. 2025, 15(19), 10652; https://doi.org/10.3390/app151910652 - 1 Oct 2025
Abstract
Shell-like housing structures for motors and compressors can be found in everyday products. Consumers significantly evaluate acoustic emissions during the first usage of products. Unpleasant sounds may raise concerns and cause complaints to be issued. A prevention strategy is a holistic acoustic design, [...] Read more.
Shell-like housing structures for motors and compressors can be found in everyday products. Consumers significantly evaluate acoustic emissions during the first usage of products. Unpleasant sounds may raise concerns and cause complaints to be issued. A prevention strategy is a holistic acoustic design, which includes predicting the emitted sound power as part of end-of-line testing. The hybrid experimental-simulative sound power prediction based on laser scanning vibrometry (LSV) is ideal in acoustically harsh production environments. However, conducting vibroacoustic testing with laser scanning vibrometry is time-consuming, making it difficult to fit into the production cycle time. This contribution discusses how the time-consuming sampling process can be accelerated to estimate the radiated sound power, utilizing adaptive sampling. The goal is to predict the acoustic signature and its uncertainty from surface velocity data in seconds. Fulfilling this goal will enable integration into a product assembly unit and final acoustic quality control without the need for an acoustic chamber. The Gaussian process regression based on PyTorch 2.6.0 performed 60 times faster than the preliminary reference implementation, resulting in a regression estimation time of approximately one second for each frequency bin. In combination with the Equivalent Radiated Power prediction of the sound power, a statistical measure is available, indicating how the uncertainty of a limited number of surface velocity measurement points leads to predictions of the uncertainty inside the acoustical signal. An adaptive sampling algorithm reduces the prediction uncertainty in real-time during measurement. The method enables on-the-fly error analysis in production, assessing the risk of violating agreed-upon acoustic sound power thresholds, and thus provides valuable feedback to the product design units. Full article
27 pages, 4866 KB  
Article
An Intelligent Control Framework for High-Power EV Fast Charging via Contrastive Learning and Manifold-Constrained Optimization
by Hao Tian, Tao Yan, Guangwu Dai, Min Wang and Xuejian Zhao
World Electr. Veh. J. 2025, 16(10), 562; https://doi.org/10.3390/wevj16100562 - 1 Oct 2025
Abstract
To address the complex trade-offs among charging efficiency, battery lifespan, energy efficiency, and safety in high-power electric vehicle (EV) fast charging, this paper presents an intelligent control framework based on contrastive learning and manifold-constrained multi-objective optimization. A multi-physics coupled electro-thermal-chemical model is formulated [...] Read more.
To address the complex trade-offs among charging efficiency, battery lifespan, energy efficiency, and safety in high-power electric vehicle (EV) fast charging, this paper presents an intelligent control framework based on contrastive learning and manifold-constrained multi-objective optimization. A multi-physics coupled electro-thermal-chemical model is formulated as a Mixed-Integer Nonlinear Programming (MINLP) problem, incorporating both continuous and discrete decision variables—such as charging power and cooling modes—into a unified optimization framework. An environment-adaptive optimization strategy is also developed. To enhance learning efficiency and policy safety, a contrastive learning–enhanced policy gradient (CLPG) algorithm is proposed to distinguish between high-quality and unsafe charging trajectories. A manifold-aware action generation network (MAN) is further introduced to enforce dynamic safety constraints under varying environmental and battery conditions. Simulation results demonstrate that the proposed framework reduces charging time to 18.3 min—47.7% faster than the conventional CC–CV method—while achieving 96.2% energy efficiency, 99.7% capacity retention, and zero safety violations. The framework also exhibits strong adaptability across wide temperature (−20 °C to 45 °C) and aging (SOH down to 70%) conditions, with real-time inference speed (6.76 ms) satisfying deployment requirements. This study provides a safe, efficient, and adaptive solution for intelligent high-power EV fast-charging. Full article
(This article belongs to the Section Charging Infrastructure and Grid Integration)
Show Figures

Figure 1

18 pages, 2690 KB  
Article
TCN-Transformer-Based Risk Assessment Method for Power Flow and Voltage Limit Violations in Active Distribution Networks
by Chen Liang, Yaxin Li, Weiwu Li, Wenjing Xin and Yalong Li
Processes 2025, 13(10), 3145; https://doi.org/10.3390/pr13103145 - 30 Sep 2025
Abstract
With the increasing penetration of renewable energy, traditional distribution network operation state assessment methods based on typical operating conditions are no longer applicable. It is urgent to conduct risk assessment research on the dynamic coupling characteristics of voltage, power flow, and distributed generation [...] Read more.
With the increasing penetration of renewable energy, traditional distribution network operation state assessment methods based on typical operating conditions are no longer applicable. It is urgent to conduct risk assessment research on the dynamic coupling characteristics of voltage, power flow, and distributed generation output after photovoltaic integration into active distribution networks. This paper first analyzes the spatiotemporal variation characteristics of power flow distribution and voltage fluctuations in active distribution networks, and proposes evaluation indicators for power flow and voltage over limit risks. Secondly, feature quantities related to the over limit risk assessment indicators are selected, and a distribution network over limit risk assessment method based on TCN-Transformer neural network architecture is proposed. Finally, based on the improved IEEE 33 node distribution network model, an active distribution network simulation model is built in Matlab(2023b), and a simulation dataset is constructed for multiple operating scenarios. On this basis, a comparative analysis of risk assessment examples for power flow and voltage exceeding limits is conducted, and the results verify the effectiveness and superiority of the proposed method. Full article
(This article belongs to the Section Energy Systems)
13 pages, 315 KB  
Article
Trends in the Prevalence and Case Characteristics of Child Sexual Abuse in Mexico, 2018–2023
by Leonor Rivera-Rivera, Marina Séris-Martínez, Paola Adanari Ortega-Ceballos, Arturo Reding-Bernal, Claudia I. Astudillo-García, Lorena Elizabeth Castillo Castillo and Luz Myriam Reynales-Shigematsu
Healthcare 2025, 13(19), 2489; https://doi.org/10.3390/healthcare13192489 - 30 Sep 2025
Abstract
Background: Child sexual abuse (CSA) is a serious public health concern that violates the rights of children. In Mexico, little is known about the actual figures for this type of violence. Objective: This study aimed to determine trends in the prevalence [...] Read more.
Background: Child sexual abuse (CSA) is a serious public health concern that violates the rights of children. In Mexico, little is known about the actual figures for this type of violence. Objective: This study aimed to determine trends in the prevalence and case characteristics of CSA in a representative sample of children in Mexico. Materials and Methods: Data from the National Health and Nutrition Survey (ENSANUT) for 2018, 2020, 2021, 2022 and 2023 were used (n = 24,179). Proportions of CSA were estimated using the weighted mean of a binary variable, and the variance of the estimated proportion was calculated using the Taylor linearization method. Logistic regression models were estimated, and Adjusted Odds Ratios (AORs) with 95% Confidence Intervals (95% CIs) were obtained. Results: The prevalence of CSA ranged from 2.22% (2018) to 5.66% (2023). There was an increasing trend in CSA between 2018 and 2021, which was even more pronounced (154.95%) between 2018 and 2023 (p < 0.001). The main perpetrator in CSA cases was a family member (78.51%), and most victims did not report the abuse to the authorities. Girls were more likely to experience CSA (AOR = 2.83, 95% CI: 1.72–4.68), and as years passed (from 2018 to 2023), the likelihood of becoming a victim of CSA increased. Conclusions: CSA is a problem that has increased in recent years in Mexico. It is noteworthy that the main perpetrator is within the family, which may influence the lack of reporting of these cases. In view of this situation, it is necessary to implement strategies to prevent CSA in children, involving mothers, fathers, and caregivers. Full article
Show Figures

Figure 1

26 pages, 63826 KB  
Article
Mutual Effects of Face-Swap Deepfakes and Digital Watermarking—A Region-Aware Study
by Tomasz Walczyna and Zbigniew Piotrowski
Sensors 2025, 25(19), 6015; https://doi.org/10.3390/s25196015 - 30 Sep 2025
Abstract
Face swapping is commonly assumed to act locally on the face region, which motivates placing watermarks away from the face to preserve the integrity of the face. We demonstrate that this assumption is violated in practice. Using a region-aware protocol with tunable-strength visible [...] Read more.
Face swapping is commonly assumed to act locally on the face region, which motivates placing watermarks away from the face to preserve the integrity of the face. We demonstrate that this assumption is violated in practice. Using a region-aware protocol with tunable-strength visible and invisible watermarks and six face-swap families, we quantify both identity transfer and watermark retention on the VGGFace2 dataset. First, edits are non-local—generators alter background statistics and degrade watermarks even far from the face, as measured by background-only PSNR and Pearson correlation relative to a locality-preserving baseline. Second, dependencies between watermark strength, identity transfer, and retention are non-monotonic and architecture-dependent. Methods that better confine edits to the face—typically those employing segmentation-weighted objectives—preserve background signal more reliably than globally trained GAN pipelines. At comparable perceptual distortion, invisible marks tuned to the background retain higher correlation with the background than visible overlays. These findings indicate that classical robustness tests are insufficient alone—watermark evaluation should report region-wise metrics and be strength- and architecture-aware. Full article
(This article belongs to the Special Issue Digital Image Processing and Sensing Technologies—Second Edition)
Show Figures

Figure 1

17 pages, 1414 KB  
Article
SM-TCN: Multi-Resolution Sparse Convolution Network for Efficient High-Dimensional Time Series Forecast
by Ziyou Guo, Yan Sun and Tieru Wu
Sensors 2025, 25(19), 6013; https://doi.org/10.3390/s25196013 - 30 Sep 2025
Abstract
High-dimensional time series data forecasting has been a popular problem in recent years, with ubiquitous applications in both scientific and business fields. Modern datasets may incorporate thousands of correlated time series that evolve together, and correctly identifying the correlated patterns and modeling the [...] Read more.
High-dimensional time series data forecasting has been a popular problem in recent years, with ubiquitous applications in both scientific and business fields. Modern datasets may incorporate thousands of correlated time series that evolve together, and correctly identifying the correlated patterns and modeling the inter-series relationship can significantly promote forecast accuracy. However, most statistical methods are inadequate for handling complicated time series due to violation of model assumptions, and most recent deep learning approaches in the literature are either univariate (not fully utilizing inter-series information) or computationally expensive. This paper present SM-TCN, a Sparse Multi-scale Temporal Convolutional Network, utilizing a forward–backward residual architecture with sparse TCN kernels of different lengths to extract multi-resolution characteristics, which sufficiently reduces computational complexity specifically for high-dimensional problems. Extensive experiments on real-world datasets have demonstrated that SM-TCN outperforms state-of-the-art approaches by 10% in MAE and MAPE, and has the additional advantage of high computation efficiency. Full article
(This article belongs to the Section Intelligent Sensors)
Show Figures

Figure 1

21 pages, 2998 KB  
Article
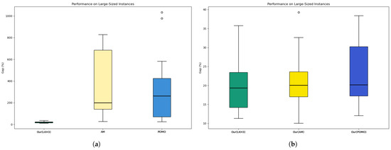
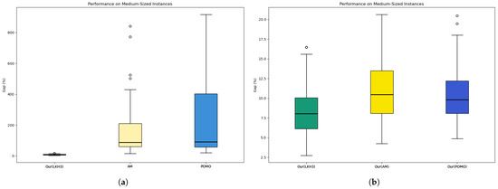
A Reinforcement Learning Framework for Scalable Partitioning and Optimization of Large-Scale Capacitated Vehicle Routing Problems
by Chaima Ayachi Amar, Khadra Bouanane and Oussama Aiadi
Electronics 2025, 14(19), 3879; https://doi.org/10.3390/electronics14193879 - 29 Sep 2025
Abstract
The Capacitated Vehicle Routing Problem (CVRP) is a central challenge in combinatorial optimization, with critical applications in logistics and transportation. Traditional methods struggle with large-scale instances, due to the computational demands, while learned construction models often suffer from degraded solution quality and constraint [...] Read more.
The Capacitated Vehicle Routing Problem (CVRP) is a central challenge in combinatorial optimization, with critical applications in logistics and transportation. Traditional methods struggle with large-scale instances, due to the computational demands, while learned construction models often suffer from degraded solution quality and constraint violations. This work proposes SPORL, a Scalable Partitioning and Optimization via Reinforcement Learning framework for large-scale CVRPs. SPORL decomposes the problem using a learned partitioning strategy, followed by parallel subproblem solving, and employs a greedy decoding scheme at inference to ensure scalability for instances with up to 1000 customers. A key innovation is a context-based attention mechanism that incorporates sub-route embeddings, enabling more informed and constraint-aware partitioning decisions. Extensive experiments on benchmark datasets with up to 1000 customers demonstrated that SPORL consistently outperformed state-of-the-art learning-based baselines (e.g., AM, POMO) and achieved competitive performance relative to strong heuristics such as LKH3, while reducing inference time from hours to seconds. Ablation studies confirmed the critical role of the proposed context embedding and decoding strategy in achieving high solution quality. Full article
(This article belongs to the Section Artificial Intelligence)
Show Figures

Figure 1

14 pages, 722 KB  
Article
Assessment of Food Hygiene Non-Compliance and Control Measures: A Three-Year Inspection Analysis in a Local Health Authority in Southern Italy
by Caterina Elisabetta Rizzo, Roberto Venuto, Giovanni Genovese, Raffaele Squeri and Cristina Genovese
Foods 2025, 14(19), 3364; https://doi.org/10.3390/foods14193364 - 28 Sep 2025
Abstract
Background and Aim: Food hygiene is fundamental to public health, ensuring safe and nutritious food free from contaminants, and is vital for economic development and sustainability. The Hazard Analysis and Critical Control Points (HACCP) system is a crucial tool for managing risks in [...] Read more.
Background and Aim: Food hygiene is fundamental to public health, ensuring safe and nutritious food free from contaminants, and is vital for economic development and sustainability. The Hazard Analysis and Critical Control Points (HACCP) system is a crucial tool for managing risks in food production. Despite global recognition of food safety’s importance, significant disparities exist, especially in Southern Italy, where diverse food production, tourism, and economic factors pose challenges to enforcing hygiene standards. This study evaluates non-compliance with food hygiene regulations within a Local Health Authority (LHA) in Calabria, Southern Italy, to inform effective public health strategies. Materials and Methods Authorized by the Food Hygiene and Nutrition Service (FHNS) of the LHA, the study covers January 2022 to December 2024, analyzing 579 enterprises with 1469 production activities. Inspections followed EC Regulation No. 852/2004, verifying the correct application of procedures based on the Hazard Analysis and Critical Control Points (HACCP) principles, including the operator’s monitoring of Critical Control Points (CCPs), and adherence to Good Hygiene Practices (GHPs). Non-compliances were classified by severity, and corrective and punitive actions were applied. Data were analyzed annually and across the full period using descriptive statistics and chi-squared tests to assess trends. Results: Inspection coverage increased markedly from 29.8% of production activities in 2022 to 62.5% in 2023, sustaining 62.0% in early 2024, exceeding the growth of new activities. Inspections were mainly triggered by RASFF alerts (22.4%), routine controls (20.0%), and verification of previous prescriptions (14.3%). The most frequent corrective measures were long-term prescriptions (28.6%), violation reports (22.9%), and short-term prescriptions (20.0%). Enterprises averaged 4.61 production activities, highlighting operational complexity. Conclusions: This study provides a granular analysis of food hygiene non-compliance within a Local Health Authority (LHA) in Southern Italy, to inform effective public health strategies. While official control data may be publicly available in some contexts, our research offers a unique, in-depth view of inspection triggers, non-compliance patterns, and corrective measures, which is crucial for understanding specific regional challenges. The analysis reveals that the prevalence of long-term prescriptions and reliance on RASFF alerts indicate systemic challenges requiring sustained interventions. Full article
(This article belongs to the Section Food Quality and Safety)
Show Figures

Figure 1

18 pages, 1611 KB  
Review
Blazars as Probes for Fundamental Physics
by Giorgio Galanti
Universe 2025, 11(10), 327; https://doi.org/10.3390/universe11100327 - 27 Sep 2025
Abstract
Blazars are a class of active galactic nuclei characterized by having one of their relativistic jets oriented close to our line of sight. Their broad emission spectrum makes them exceptional laboratories for probing fundamental physics. In this review, we explore the potential impact [...] Read more.
Blazars are a class of active galactic nuclei characterized by having one of their relativistic jets oriented close to our line of sight. Their broad emission spectrum makes them exceptional laboratories for probing fundamental physics. In this review, we explore the potential impact on blazar observations of three scenarios beyond the standard paradigm: (i) the hadron beam model, (ii) the interaction of photons with axion-like particles (ALPs), and (iii) Lorentz invariance violation. We focus on the very-high-energy spectral features these scenarios induce in the blazars Markarian 501 and 1ES 0229+200, making them ideal targets for testing such effects. Additionally, we examine ALP-induced effects on the polarization of UV-X-ray and high-energy photons from the blazar OJ 287. The unique signatures produced by these models are accessible to current and upcoming instruments—such as the ASTRI Mini Array, CTAO, LHAASO, IXPE, COSI, and AMEGO—offering new opportunities to probe and constrain fundamental physics through blazar observations. Full article
(This article belongs to the Special Issue Multi-wavelength Properties of Active Galactic Nuclei)
Show Figures

Figure 1

12 pages, 3374 KB  
Proceeding Paper
Web-Based Solid Waste Management System and Plastic Combustion Detection Using Internet of Things Technology
by Jazteen Dane G. Busa, Carylle Marie M. Go, Kriztoffer Rei G. Manuntag, Vincent Ice Sarmiento and Adomar L. Ilao
Eng. Proc. 2025, 108(1), 53; https://doi.org/10.3390/engproc2025108053 - 26 Sep 2025
Abstract
The implementation and monitoring of Republic Act (RA) 9003 of the Philippines presents significant challenges due to the vast area and limited number of implementing enforcers. RA 9003 focuses on ecological solid management systems. The law relies on citizens’ identification of violators. In [...] Read more.
The implementation and monitoring of Republic Act (RA) 9003 of the Philippines presents significant challenges due to the vast area and limited number of implementing enforcers. RA 9003 focuses on ecological solid management systems. The law relies on citizens’ identification of violators. In this study, we developed a plastic combustion monitoring system, Green Guardian, which detects and monitors methane (CH4), carbon dioxide (CO2), and carbon monoxide (CO) concentrations using the Internet of Things technology. The system was tested in Barangay in Cabuyao City, Laguna, Philippines. This system supports RA 9003 implementation, enabling efficient tracking, reporting, and management of plastic combustion incidents. By using self-calibration testing, third-party testing, isolation testing, location testing, and user acceptance test (UAT), the system’s accuracy and reliability were validated. Full article
Show Figures

Figure 1

Back to TopTop