An Improved DOA for Global Optimization and Cloud Task Scheduling
Abstract
1. Introduction
- A uniform initialization method based on the Sobol sequence is utilized to enhance the quality of the population, allowing the algorithm to explore more promising spaces.
- Propose a sine elite dholes swarm search method based on adaptive factors to enable the algorithm to better utilize the current high-quality solution, rather than being limited to the current optimal solution, thereby enhancing the algorithm’s ability to escape local optima and strengthen its ability to solve high-dimensional complex problems.
- A boundary control method based on random mirror disturbance is proposed, enabling individuals that have crossed the boundary to be better mapped to the search space, thereby enhancing the algorithm’s exploration capabilities.
- The algorithms were qualitatively analyzed using 30 test functions from the IEEE CEC2017 test set and compared with 9 other algorithms to obtain competitive results. Most importantly, the algorithms were statistically analyzed to fully analyze the superior performance of IDOA.
- Apply IDOA to solve cloud computing task scheduling problems in real environments to prove its engineering applicability.
2. Dhole Optimization Algorithm (DOA)
2.1. Algorithm Initialization
2.2. Searching Stage
2.3. Encircling Stage
2.4. Attacking Stage
| Algorithm 1: The pseudo-code of the DOA |
| 1: Begin |
| 2: Initialize: the relevant parameters and Dholes population. |
| 3: Calculate fitness value and get the best solutions. |
| 4: While do |
| 5: Define PMN and prey by Equations (2) and (3) |
| 6: Searching stage: |
| 7: Update the population by Equation (4) |
| 8: Encircling stage: |
| 9: Update the population by Equation (6) |
| 10: Attacking stage: |
| 11: If |
| 12: Update the population by Equation (10) |
| 13: else |
| 14: Update the population by Equation (12) |
| 15: |
| 16: End while |
| 17: return best solution |
| 18: end |
3. Proposed IDOA
3.1. A Uniform Initialization Method Based on the Sobol Sequence
3.2. A Sine Elite Dholes Swarm Search Method Based on Adaptive Factors
3.3. Boundary Control Method Based on Random Mirror Image Perturbation
3.4. Computational Complexity Analysis
4. Experimental Results and Detailed Analyses
4.1. Benchmark Test Functions
4.2. Competitor Algorithms and Parameters Setting
4.3. Qualitative Analysis
4.3.1. The Analysis of Population Diversity
4.3.2. The Analysis of Parameter Sensitivity
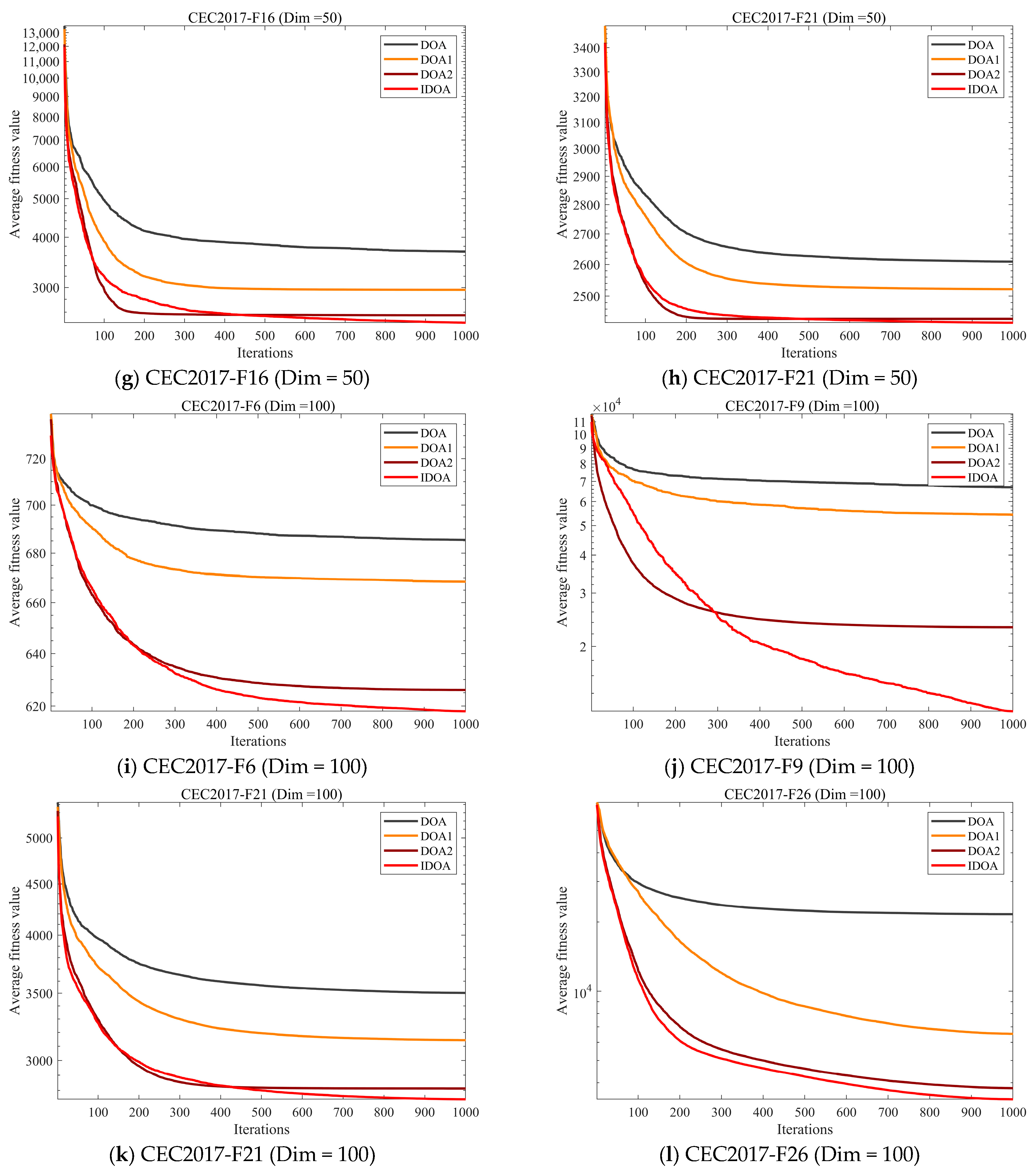
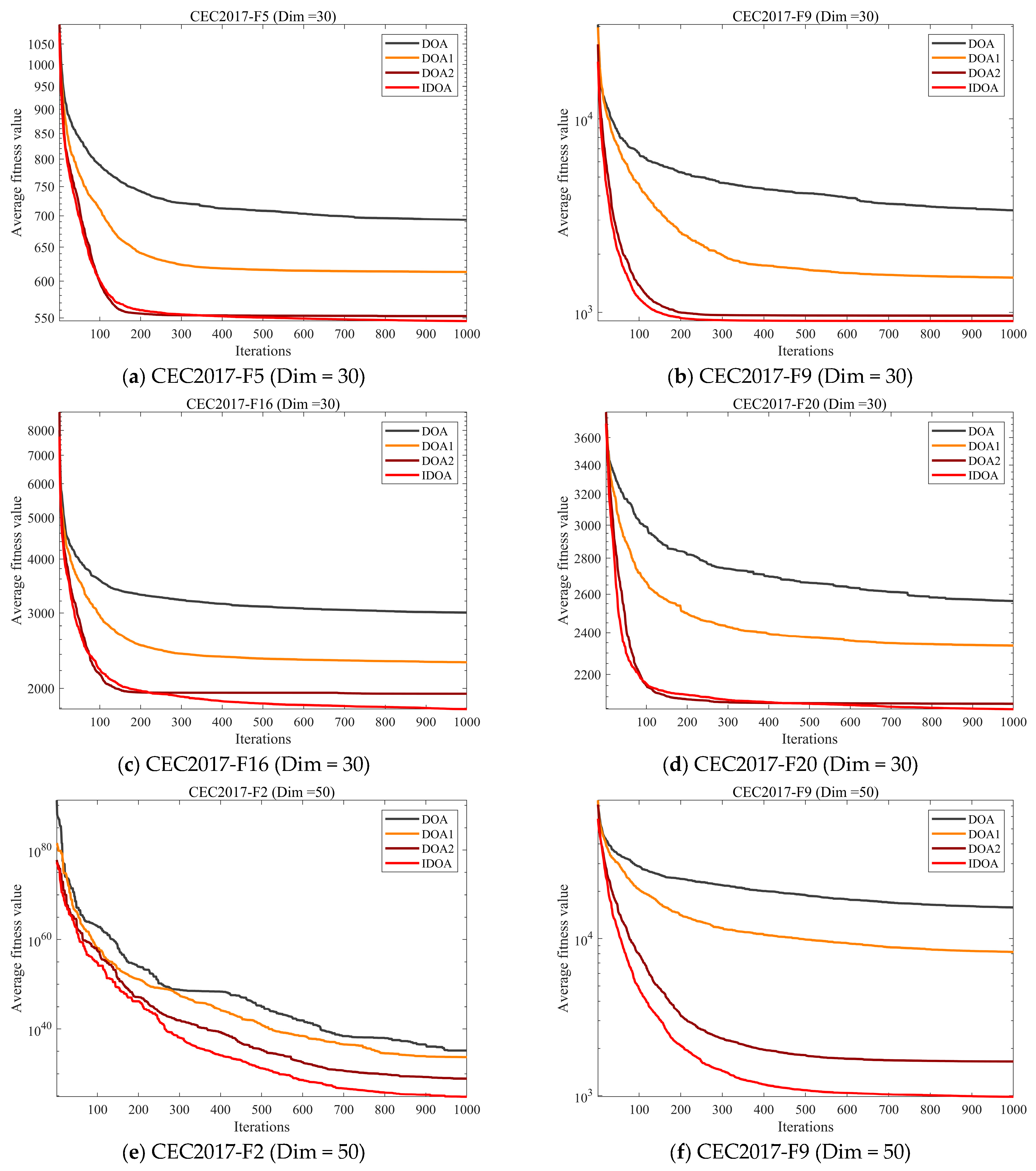
4.3.3. The Analysis of Strategy Effectiveness
4.4. Compare Using CEC 2017 Test Functions
4.5. Statistical Analysis
4.5.1. Wilcoxon Rank Sum Test
4.5.2. Friedman Mean Rank Test
5. IDOA for Cloud Task Scheduling
5.1. Cloud Computing Task Scheduling Model
5.2. Experimental Parameter Settings
5.3. Analysis of Experimental Results
5.3.1. Weight Sensitivity Analysis
5.3.2. Comparison with Small-Scale Tasks
5.3.3. Comparison with Large-Scale Tasks
6. Conclusions
Author Contributions
Funding
Data Availability Statement
Conflicts of Interest
References
- Abraham, O.; Ngadi, M.; Sharif, J.; Sidik, M. Multi-Objective Optimization Techniques in Cloud Task Scheduling: A Systematic Literature Review. IEEE Access 2025, 13, 12255–12291. [Google Scholar] [CrossRef]
- Wang, J.; Li, S.; Zhang, X.; Zhu, K.; Xie, C.; Wu, F. Deep Reinforcement Learning Task Scheduling Method for Real-Time Perfor-mance Awareness. IEEE Access 2025, 13, 31385–31400. [Google Scholar] [CrossRef]
- Zhu, K.; Li, S.; Zhang, X.; Wang, J.; Xie, C.; Wu, F.; Xie, R. An Energy-Efficient Dynamic Offloading Algorithm for Edge Computing Based on Deep Reinforcement Learning. IEEE Access 2024, 12, 127489–127506. [Google Scholar] [CrossRef]
- Shu, T.; Pan, Z.; Ding, Z.; Zu, Z. Resource Scheduling Optimization for Industrial Operating System Using Deep Reinforcement Learning and WOA Algorithm. Expert Syst. Appl. 2024, 255, 124765. [Google Scholar] [CrossRef]
- Zhang, J.; Ning, Z.; Waqas, M.; Alasmary, H.; Tu, S.; Chen, S. Hybrid Edge-Cloud Collaborator Resource Scheduling Approach Based on Deep Reinforcement Learning and Multiobjective Optimization. IEEE Trans. Comput. 2024, 73, 192–205. [Google Scholar] [CrossRef]
- Qin, X.; Li, S.; Tong, J.; Xie, C.; Zhang, X.; Wu, F.; Xie, Q.; Ling, Y.; Lin, G. ERTH Scheduler: Enhanced Red-Tailed Hawk Algorithm for Multi-Cost Optimization in Cloud Task Scheduling. Artif. Intell. Rev. 2024, 57, 328. [Google Scholar] [CrossRef]
- Wu, H.; Shen, W.; Lin, W.; Li, W.; Li, K. End-Edge-Cloud Heterogeneous Resources Scheduling Method Based on RNN and Particle Swarm Optimization. IEEE Trans. Netw. Serv. Manag. 2025, 22, 1664–1676. [Google Scholar] [CrossRef]
- Chowdhary, S.; Rao, A. QoS and Reliability Aware Matched Bald Eagle Task Scheduling Framework Based on IoT-Cloud in Educational Applications. Clust. Comput. J. Netw. Softw. Tools Appl. 2024, 27, 8141–8158. [Google Scholar] [CrossRef]
- Jin, H.; Lv, S.; Yang, Z.; Liu, Y. Eagle Strategy Using Uniform Mutation and Modified Whale Optimization Algorithm for QoS- Aware Cloud Service Composition. Appl. Soft Comput. 2022, 114, 108053. [Google Scholar] [CrossRef]
- Sreenu, K.; Malempati, S. FGMTS: Fractional Grey Wolf Optimizer for Multi-Objective Task Scheduling Strategy in Cloud Computing. J. Intell. Fuzzy Syst. 2018, 35, 831–844. [Google Scholar] [CrossRef]
- Chongdarakul, W.; Aunsri, N. Heuristic Scheduling Algorithm for Workflow Applications in Cloud-Fog Computing Based on Realistic Client Port Communication. IEEE Access 2024, 12, 134453–134485. [Google Scholar] [CrossRef]
- Jafari, Z.; Navin, A.; Zamanifar, A. Task Scheduling Approach in Fog and Cloud Computing Using Jellyfish Search (JS) Opti- mizer and Improved Harris Hawks Optimization (IHHO) Algorithm Enhanced by Deep Learning. Clust. Comput. J. Netw. Softw. Tools Appl. 2024, 27, 8939–8963. [Google Scholar] [CrossRef]
- Xie, C.; Li, S.; Qin, X.; Fu, S.; Zhang, X. Multiple Elite Strategy Enhanced RIME Algorithm for 3D UAV Path Planning. Sci. Rep. 2024, 14, 21734. [Google Scholar] [CrossRef] [PubMed]
- Zhou, C.; Li, S.; Xie, C.; Yuan, P.; Liao, Z. SLPDBO-BP: An Efficient Valuation Model for Data Asset Value. PeerJ Comput. Sci. 2025, 11, e2813. [Google Scholar] [CrossRef] [PubMed]
- Mohammed, B.; Aghdasi, H.; Salehpour, P. Dhole Optimization Algorithm: A New Metaheuristic Algorithm for Solving Op-timization Problems. Clust. Comput. J. Netw. Softw. Tools Appl. 2025, 28, 430. [Google Scholar] [CrossRef]
- Dige, N.; Diwekar, U. Efficient Sampling Algorithm for Large-Scale Optimization under Uncertainty Problems. Comput. Chem. Eng. 2018, 115, 431–454. [Google Scholar] [CrossRef]
- Liang, J.J.; Qu, B.; Suganthan, P.N.; Hernández-Díaz, A.G. Problem Definitions and Evaluation Criteria for the CEC 2013 Special Session on Real-Parameter Optimization; Technical Report; Computational Intelligence Laboratory, Zhengzhou University: Zhengzhou, China; Nanyang Technological University: Singapore, 2013; Volume 201212, pp. 281–295. [Google Scholar]
- Gad, A.G. Particle Swarm Optimization Algorithm and Its Applications: A Systematic Review. Arch. Comput. Methods Eng. 2022, 29, 2531–2561. [Google Scholar] [CrossRef]
- Hashim, F.; Hussien, A. Snake Optimizer: A Novel Meta-Heuristic Optimization Algorithm. Knowl. BASED Syst. 2022, 242, 108320. [Google Scholar] [CrossRef]
- Abdollahzadeh, B.; Gharehchopogh, F.; Mirjalili, S. Artificial Gorilla Troops Optimizer: A New Nature-Inspired Metaheuristic Algorithm for Global Optimization Problems. Int. J. Intell. Syst. 2021, 36, 5887–5958. [Google Scholar] [CrossRef]
- Agushaka, J.; Ezugwu, A.; Abualigah, L. Dwarf Mongoose Optimization Algorithm. Comput. Methods Appl. Mech. Eng. 2022, 391, 114570. [Google Scholar] [CrossRef]
- Zolfi, K. Gold Rush Optimizer: A New Population-Based Metaheuristic Algorithm. Oper. Res. Decis. 2023, 33, 113–150. [Google Scholar] [CrossRef]
- Truong, D.-N.; Chou, J.-S. Metaheuristic Algorithm Inspired by Enterprise Development for Global Optimization and Struc- tural Engineering Problems with Frequency Constraints. Eng. Struct. 2024, 318, 118679. [Google Scholar] [CrossRef]
- Hu, G.; Guo, Y.; Wei, G.; Abualigah, L. Genghis Khan Shark Optimizer: A Novel Nature-Inspired Algorithm for Engineering Optimization. Adv. Eng. Inform. 2023, 58, 102210. [Google Scholar] [CrossRef]
- Nadimi-Shahraki, M.H.; Taghian, S.; Mirjalili, S. An Improved Grey Wolf Optimizer for Solving Engineering Problems. Expert Syst. Appl. 2021, 166, 113917. [Google Scholar] [CrossRef]
- Ito, H.; Ogden, R.; Langenhorst, T.; Inoue-Murayama, M. Contrasting Results From Molecular and Pedigree-Based Population Diversity Measures in Captive Zebra Highlight Challenges Facing Genetic Management of Zoo Populations. Zoo Biol. 2017, 36, 87–94. [Google Scholar] [CrossRef] [PubMed]
- Rosner, B.; Glynn, R. Power and Sample Size Estimation for the Wilcoxon Rank Sum Test with Application to Comparisons of C Statistics from Alternative Prediction Models. Biometrics 2009, 65, 188–197. [Google Scholar] [CrossRef] [PubMed]
- Fang, D.; Yan, J.; Zhou, Q. Channa Argus Optimizer for Solving Numerical Optimization and Engineering Problems. Sci. Rep. 2025, 15, 21502. [Google Scholar] [CrossRef]
- Chen, X.; Cheng, L.; Liu, C.; Liu, Q.; Liu, J.; Mao, Y.; Murphy, J. A WOA-Based Optimization Approach for Task Scheduling in Cloud Computing Systems. IEEE Syst. J. 2020, 14, 3117–3128. [Google Scholar] [CrossRef]



























| Algorithms | Parameter Name | Parameter Value | Reference |
|---|---|---|---|
| PSO | , , , , | 6, 0.9, 0.6, 2, 2 | [18] |
| SO | , , | 0.5, 0.5, 2 | [19] |
| GTO | , , | 0.03, 3, 0.8 | [20] |
| DMO | 2 | [21] | |
| GRO | 2 | [22] | |
| ED | 250 | [23] | |
| GKSO | 0.1 | [24] | |
| IGWO | 2 | [25] | |
| DOA | 15 | [15] |
| ID | Metric | PSO | SO | GTO | DMO | GRO | ED | GKSO | IGWO | DOA | IDOA |
|---|---|---|---|---|---|---|---|---|---|---|---|
| F1 | mean | 2.4994 × 105 | 5.8916 × 104 | 2.8238 × 103 | 1.2281 × 106 | 1.4923 × 106 | 3.1495 × 103 | 3.1953 × 103 | 3.6500 × 105 | 4.0568 × 103 | 6.9835 × 105 |
| std | 1.4831 × 105 | 1.0878 × 105 | 3.8058 × 103 | 1.2217 × 106 | 1.9596 × 106 | 3.8480 × 103 | 4.0779 × 103 | 2.5255 × 105 | 4.9413 × 103 | 5.9878 × 104 | |
| F3 | mean | 1.2886 × 1010 | 1.4425 × 1017 | 3.5385 × 1024 | 2.6180 × 1031 | 3.5081 × 1021 | 1.1027 × 1022 | 1.2443 × 1012 | 3.8658 × 1016 | 1.0792 × 1016 | 7.3620 × 106 |
| std | 2.5422 × 1010 | 3.3421 × 1017 | 1.9379 × 1025 | 3.9206 × 1031 | 1.6924 × 1022 | 4.0374 × 1022 | 2.8412 × 1012 | 1.1093 × 1017 | 5.8718 × 1016 | 1.1832 × 107 | |
| F4 | mean | 4.9185 × 103 | 5.4358 × 104 | 1.2992 × 103 | 1.1391 × 105 | 3.2256 × 104 | 8.1172 × 104 | 3.0420 × 102 | 4.8850 × 103 | 3.4477 × 104 | 8.8233 × 103 |
| std | 2.0470 × 103 | 9.8726 × 103 | 1.1985 × 103 | 1.6031 × 104 | 5.6368 × 103 | 1.6581 × 104 | 3.8383 × 10 | 2.8930 × 103 | 1.7883 × 104 | 1.6086 × 103 | |
| F5 | mean | 4.6948 × 102 | 4.9952 × 102 | 4.9036 × 102 | 5.1474 × 102 | 5.1108 × 102 | 4.8065 × 102 | 4.8169 × 102 | 4.9818 × 102 | 4.8415 × 102 | 4.8782 × 102 |
| std | 2.6003 × 101 | 2.9009 × 101 | 2.8083 × 101 | 1.2452 × 101 | 3.4532 × 101 | 3.4794 × 101 | 3.6560 × 101 | 1.5283 × 101 | 1.5026 × 101 | 8.2137 × 10 | |
| F6 | mean | 6.6866 × 102 | 5.5740 × 102 | 6.7795 × 102 | 7.1898 × 102 | 5.6872 × 102 | 6.3913 × 102 | 6.7820 × 102 | 5.5958 × 102 | 6.8292 × 102 | 5.8115 × 102 |
| std | 3.1322 × 101 | 9.1380 × 10 | 4.3993 × 101 | 1.0028 × 101 | 1.5724 × 101 | 1.4917 × 101 | 3.8124 × 101 | 4.5569 × 101 | 6.5266 × 101 | 1.2102 × 101 | |
| F7 | mean | 6.3952 × 102 | 6.0253 × 102 | 6.3990 × 102 | 6.0047 × 102 | 6.0486 × 102 | 6.0241 × 102 | 6.3356 × 102 | 6.0036 × 102 | 6.2836 × 102 | 6.0046 × 102 |
| std | 6.8553 × 10 | 1.6016 × 10 | 1.0471 × 101 | 1.0094 × 101 | 2.5678 × 10 | 3.0755 × 10 | 8.4006 × 10 | 9.7171 × 102 | 1.4660 × 101 | 3.1566 × 102 | |
| F8 | mean | 8.4592 × 102 | 8.2001 × 102 | 1.0334 × 103 | 9.5884 × 102 | 8.0881 × 102 | 8.6252 × 102 | 9.3970 × 102 | 8.3841 × 102 | 1.0309 × 103 | 8.1374 × 102 |
| std | 3.2565 × 101 | 2.5172 × 101 | 6.8616 × 101 | 1.5045 × 101 | 2.3591 × 101 | 1.7533 × 101 | 5.6583 × 101 | 6.4041 × 101 | 7.5868 × 101 | 7.7918 × 10 | |
| F9 | mean | 9.1934 × 102 | 8.5813 × 102 | 9.3564 × 102 | 1.0240 × 103 | 8.6633 × 102 | 9.4817 × 102 | 9.2891 × 102 | 8.4594 × 102 | 9.6978 × 102 | 8.8301 × 102 |
| std | 2.1910 × 101 | 1.6006 × 101 | 3.8678 × 101 | 1.2077 × 101 | 1.6637 × 101 | 1.6426 × 101 | 2.3129 × 101 | 1.0732 × 101 | 4.9184 × 101 | 1.4356 × 101 | |
| F10 | mean | 4.6747 × 103 | 1.2774 × 103 | 3.9008 × 103 | 1.1006 × 103 | 1.1511 × 103 | 1.1829 × 103 | 3.1227 × 103 | 9.2014 × 102 | 3.8168 × 103 | 9.0055 × 102 |
| std | 1.2077 × 103 | 3.5328 × 102 | 9.0550 × 102 | 7.8598 × 101 | 2.1924 × 102 | 2.8752 × 102 | 9.3473 × 102 | 6.8783 × 101 | 2.0269 × 103 | 5.3758 × 102 | |
| F11 | mean | 4.8959 × 103 | 3.2540 × 103 | 5.6071 × 103 | 8.4755 × 103 | 4.1261 × 103 | 5.1256 × 103 | 4.7495 × 103 | 5.8622 × 103 | 7.5144 × 103 | 4.5425 × 103 |
| std | 8.8919 × 102 | 6.1450 × 102 | 7.9391 × 102 | 2.8801 × 102 | 5.5381 × 102 | 2.8539 × 102 | 6.1490 × 102 | 2.4684 × 103 | 9.9645 × 102 | 3.5468 × 102 | |
| F12 | mean | 1.2142 × 103 | 1.2440 × 103 | 1.2321 × 103 | 1.3063 × 103 | 1.2024 × 103 | 1.1831 × 103 | 1.2285 × 103 | 1.1860 × 103 | 1.2714 × 103 | 1.1705 × 103 |
| std | 3.0974 × 101 | 5.2750 × 101 | 4.7755 × 101 | 2.1675 × 101 | 3.8122 × 101 | 4.8680 × 101 | 4.7287 × 101 | 2.7803 × 101 | 6.1505 × 101 | 1.9098 × 101 | |
| F13 | mean | 1.3668 × 106 | 9.0007 × 105 | 1.5644 × 105 | 9.4648 × 106 | 8.3523 × 105 | 1.8261 × 105 | 1.1140 × 105 | 1.7696 × 106 | 1.2656 × 105 | 1.0161 × 106 |
| std | 9.6802 × 105 | 8.1555 × 105 | 1.0471 × 105 | 3.1729 × 106 | 5.6329 × 105 | 1.4410 × 105 | 9.9855 × 104 | 1.0016 × 106 | 1.0492 × 105 | 4.3328 × 105 | |
| F14 | mean | 1.4983 × 104 | 2.1455 × 104 | 1.8039 × 104 | 1.3725 × 104 | 1.9326 × 104 | 2.4280 × 104 | 1.7095 × 104 | 1.1136 × 105 | 2.1845 × 104 | 5.9411 × 104 |
| std | 1.2792 × 104 | 1.3737 × 104 | 1.9577 × 104 | 7.8691 × 103 | 1.2932 × 104 | 2.0951 × 104 | 1.6610 × 104 | 7.5144 × 104 | 2.0430 × 104 | 1.6803 × 104 | |
| F15 | mean | 2.1501 × 104 | 3.0261 × 104 | 2.1992 × 103 | 6.5173 × 104 | 1.4228 × 104 | 3.0167 × 104 | 3.2044 × 103 | 7.1913 × 103 | 1.2239 × 104 | 8.8774 × 103 |
| std | 2.1211 × 104 | 2.5345 × 104 | 7.5818 × 102 | 3.5060 × 104 | 1.3746 × 104 | 2.5267 × 104 | 2.6782 × 103 | 4.7868 × 103 | 9.9830 × 103 | 3.5604 × 103 | |
| F16 | mean | 1.1452 × 104 | 1.1748 × 104 | 7.7537 × 103 | 4.9842 × 103 | 5.4443 × 103 | 6.3194 × 103 | 1.0300 × 104 | 1.9327 × 104 | 9.1724 × 103 | 1.7208 × 104 |
| std | 1.0810 × 104 | 1.1366 × 104 | 8.5614 × 103 | 3.3602 × 103 | 5.2289 × 103 | 6.2222 × 103 | 1.0545 × 104 | 1.4808 × 104 | 9.5753 × 103 | 4.6838 × 103 | |
| F17 | mean | 2.7650 × 103 | 2.3724 × 103 | 2.7053 × 103 | 3.2521 × 103 | 2.1989 × 103 | 2.8971 × 103 | 2.5233 × 103 | 2.1064 × 103 | 2.8916 × 103 | 2.1548 × 103 |
| std | 2.6546 × 102 | 2.2393 × 102 | 2.9011 × 102 | 1.7515 × 102 | 2.3399 × 102 | 1.6163 × 102 | 2.7651 × 102 | 3.6144 × 102 | 3.8609 × 102 | 1.6769 × 102 | |
| F18 | mean | 2.3088 × 103 | 2.0741 × 103 | 2.3050 × 103 | 2.3296 × 103 | 1.8860 × 103 | 2.1054 × 103 | 2.1766 × 103 | 1.8509 × 103 | 2.3016 × 103 | 1.8716 × 103 |
| std | 2.4775 × 102 | 1.6905 × 102 | 2.2215 × 102 | 1.0485 × 102 | 8.3769 × 101 | 1.3241 × 102 | 2.2666 × 102 | 1.0680 × 102 | 2.0997 × 102 | 5.4330 × 101 | |
| F19 | mean | 4.1536 × 105 | 3.1680 × 105 | 6.0619 × 104 | 3.5073 × 106 | 1.9099 × 105 | 7.6278 × 105 | 6.9212 × 104 | 2.0019 × 105 | 2.0063 × 105 | 1.1575 × 105 |
| std | 3.9720 × 105 | 2.6058 × 105 | 4.7526 × 104 | 1.3922 × 106 | 1.6278 × 105 | 4.1311 × 105 | 3.9993 × 104 | 1.6084 × 105 | 1.7124 × 105 | 3.5476 × 104 | |
| F20 | mean | 7.9539 × 103 | 7.2255 × 103 | 5.9883 × 103 | 5.6069 × 103 | 5.3784 × 103 | 9.0662 × 103 | 1.0215 × 104 | 1.6227 × 104 | 1.2895 × 104 | 6.6533 × 103 |
| std | 7.9416 × 103 | 8.3445 × 103 | 6.0788 × 103 | 2.9590 × 103 | 3.9090 × 103 | 8.3419 × 103 | 1.0861 × 104 | 1.7769 × 104 | 1.4567 × 104 | 2.7875 × 103 | |
| F21 | mean | 2.6103 × 103 | 2.3458 × 103 | 2.5481 × 103 | 2.6955 × 103 | 2.2656 × 103 | 2.5581 × 103 | 2.4610 × 103 | 2.1866 × 103 | 2.5640 × 103 | 2.1692 × 103 |
| std | 1.9861 × 102 | 1.3863 × 102 | 1.4768 × 102 | 1.0287 × 102 | 6.6446 × 101 | 1.3182 × 102 | 1.6713 × 102 | 1.0881 × 102 | 1.8503 × 102 | 6.6652 × 101 | |
| F22 | mean | 2.4686 × 103 | 2.3607 × 103 | 2.4172 × 103 | 2.5089 × 103 | 2.3583 × 103 | 2.4421 × 103 | 2.4282 × 103 | 2.3573 × 103 | 2.4602 × 103 | 2.3703 × 103 |
| std | 3.2455 × 101 | 1.4207 × 101 | 7.0819 × 101 | 9.7235 × 10 | 1.7325 × 101 | 3.9023 × 101 | 3.3188 × 101 | 3.5009 × 101 | 5.8699 × 101 | 1.1212 × 101 | |
| F23 | mean | 4.1684 × 103 | 3.6628 × 103 | 2.4811 × 103 | 4.3677 × 103 | 2.3089 × 103 | 5.3900 × 103 | 3.0584 × 103 | 2.8842 × 103 | 3.7970 × 103 | 2.3085 × 103 |
| std | 2.1125 × 103 | 1.2493 × 103 | 9.8314 × 102 | 1.9419 × 103 | 3.5323 × 10 | 1.9145 × 103 | 1.5799 × 103 | 1.7343 × 103 | 2.8012 × 103 | 6.8967 × 101 | |
| F24 | mean | 3.1090 × 103 | 2.7442 × 103 | 2.8612 × 103 | 2.8537 × 103 | 2.7120 × 103 | 2.8012 × 103 | 2.8331 × 103 | 2.7147 × 103 | 2.8151 × 103 | 2.7151 × 103 |
| std | 1.2876 × 102 | 2.1300 × 101 | 6.6995 × 101 | 1.5525 × 101 | 1.6655 × 101 | 2.3833 × 101 | 5.8680 × 101 | 5.2569 × 101 | 4.8525 × 101 | 1.4119 × 101 | |
| F25 | mean | 3.1940 × 103 | 2.8961 × 103 | 3.0265 × 103 | 3.0238 × 103 | 2.8753 × 103 | 2.9706 × 103 | 3.0122 × 103 | 2.8686 × 103 | 2.9868 × 103 | 2.8820 × 103 |
| std | 9.2812 × 101 | 2.0131 × 101 | 6.8319 × 101 | 1.1858 × 101 | 2.0717 × 101 | 3.3206 × 101 | 6.0384 × 101 | 3.9176 × 101 | 7.8611 × 101 | 9.5404 × 10 | |
| F26 | mean | 2.8861 × 103 | 2.8984 × 103 | 2.9070 × 103 | 2.8896 × 103 | 2.9152 × 103 | 2.8902 × 103 | 2.9010 × 103 | 2.8882 × 103 | 2.8892 × 103 | 2.8866 × 103 |
| std | 1.2855 × 101 | 1.3272 × 101 | 2.0470 × 101 | 1.9661 × 10 | 2.0021 × 101 | 8.3459 × 10 | 1.8138 × 101 | 4.4289 × 10 | 1.0496 × 101 | 1.5709 × 10 | |
| F27 | mean | 4.7307 × 103 | 4.7770 × 103 | 5.0578 × 103 | 5.7218 × 103 | 3.9719 × 103 | 5.2067 × 103 | 5.1597 × 103 | 4.0512 × 103 | 4.9826 × 103 | 3.7714 × 103 |
| std | 2.1903 × 103 | 2.9910 × 102 | 1.4743 × 103 | 1.2422 × 102 | 7.1432 × 102 | 4.1696 × 102 | 1.5818 × 103 | 4.7821 × 102 | 1.2392 × 103 | 7.9238 × 102 | |
| F28 | mean | 3.3205 × 103 | 3.2630 × 103 | 3.2786 × 103 | 3.2245 × 103 | 3.2373 × 103 | 3.2386 × 103 | 3.2759 × 103 | 3.2051 × 103 | 3.2498 × 103 | 3.2116 × 103 |
| std | 1.6929 × 102 | 1.5584 × 101 | 4.6494 × 101 | 6.0462 × 10 | 1.2779 × 101 | 1.4841 × 101 | 3.1280 × 101 | 1.2513 × 101 | 2.5146 × 101 | 6.0824 × 10 | |
| F29 | mean | 3.2181 × 103 | 3.2663 × 103 | 3.2190 × 103 | 3.2762 × 103 | 3.2647 × 103 | 3.2278 × 103 | 3.2248 × 103 | 3.2230 × 103 | 3.2131 × 103 | 3.2104 × 103 |
| std | 1.9453 × 101 | 1.9307 × 101 | 2.0168 × 101 | 1.5794 × 101 | 3.0246 × 101 | 2.2014 × 101 | 3.7108 × 101 | 1.1374 × 101 | 2.6590 × 101 | 8.9795 × 10 | |
| F30 | mean | 4.0466 × 103 | 3.8280 × 103 | 4.1932 × 103 | 4.2902 × 103 | 3.6193 × 103 | 3.7737 × 103 | 3.9988 × 103 | 3.4776 × 103 | 3.9723 × 103 | 3.6169 × 103 |
| std | 2.3733 × 102 | 1.5852 × 102 | 4.9692 × 102 | 1.3842 × 102 | 1.4900 × 102 | 8.0808 × 101 | 2.1568 × 102 | 1.1759 × 102 | 2.6838 × 102 | 7.5603 × 101 |
| ID | Metric | PSO | SO | GTO | DMO | GRO | ED | GKSO | IGWO | DOA | IDOA |
|---|---|---|---|---|---|---|---|---|---|---|---|
| F1 | mean | 8.6247 × 106 | 2.5464 × 106 | 1.4745 × 104 | 6.2020 × 108 | 4.7772 × 108 | 3.2610 × 104 | 4.6170 × 103 | 1.4020 × 107 | 2.5215 × 104 | 2.4340 × 106 |
| std | 2.4490 × 106 | 1.7265 × 106 | 1.7149 × 104 | 1.5173 × 108 | 2.8004 × 108 | 5.1043 × 104 | 7.4530 × 103 | 7.2292 × 106 | 2.5605 × 104 | 1.5566 × 105 | |
| F3 | mean | 7.5167 × 1022 | 5.3090 × 1042 | 1.4769 × 1048 | 9.6646 × 1064 | 6.3149 × 1046 | 3.3507 × 1036 | 8.2451 × 1032 | 2.3462 × 1038 | 3.3551 × 1036 | 1.0792 × 1023 |
| std | 2.4692 × 1023 | 1.8409 × 1043 | 6.4363 × 1048 | 1.4398 × 1065 | 2.2004 × 1047 | 1.1890 × 1037 | 2.7747 × 1033 | 5.2512 × 1038 | 1.8315 × 1037 | 1.3110 × 1023 | |
| F4 | mean | 7.2078 × 104 | 1.3884 × 105 | 2.7009 × 104 | 2.9141 × 105 | 1.0849 × 105 | 2.4008 × 105 | 1.1447 × 104 | 3.6153 × 104 | 1.6148 × 105 | 9.3898 × 104 |
| std | 1.4496 × 104 | 1.9182 × 104 | 7.9267 × 103 | 3.4367 × 104 | 1.7374 × 104 | 3.4978 × 104 | 3.3847 × 103 | 1.1032 × 104 | 5.4987 × 104 | 1.1941 × 104 | |
| F5 | mean | 5.3786 × 102 | 6.0748 × 102 | 5.8469 × 102 | 8.9655 × 102 | 7.2381 × 102 | 5.5661 × 102 | 5.9505 × 102 | 5.6781 × 102 | 5.4893 × 102 | 5.3144 × 102 |
| std | 4.8373 × 101 | 3.8100 × 101 | 5.9196 × 101 | 5.4122 × 101 | 9.3331 × 101 | 6.2315 × 101 | 4.7169 × 101 | 4.2038 × 101 | 5.1086 × 101 | 4.1089 × 101 | |
| F6 | mean | 7.7398 × 102 | 6.2545 × 102 | 8.3902 × 102 | 9.6859 × 102 | 6.9496 × 102 | 8.4954 × 102 | 8.0008 × 102 | 6.3869 × 102 | 8.7196 × 102 | 7.7324 × 102 |
| std | 3.8581 × 101 | 1.9270 × 101 | 4.2546 × 101 | 2.0647 × 101 | 2.8706 × 101 | 2.7556 × 101 | 3.9970 × 101 | 5.1639 × 101 | 6.1258 × 101 | 4.1267 × 101 | |
| F7 | mean | 6.5278 × 102 | 6.0867 × 102 | 6.5383 × 102 | 6.1352 × 102 | 6.1688 × 102 | 6.2271 × 102 | 6.5027 × 102 | 6.0218 × 102 | 6.5387 × 102 | 6.0188 × 102 |
| std | 6.8971 × 10 | 3.7628 × 10 | 7.8418 × 10 | 1.4443 × 10 | 5.2551 × 10 | 6.7192 × 10 | 8.5082 × 10 | 1.1269 × 10 | 1.8003 × 101 | 5.7648 × 10−1 | |
| F8 | mean | 1.0729 × 103 | 9.4929 × 102 | 1.4589 × 103 | 1.2969 × 103 | 1.0027 × 103 | 1.1512 × 103 | 1.2365 × 103 | 9.5871 × 102 | 1.5240 × 103 | 1.0106 × 103 |
| std | 7.6665 × 101 | 4.8982 × 101 | 1.2834 × 102 | 2.1807 × 101 | 5.5910 × 101 | 5.1811 × 101 | 1.1855 × 102 | 9.7611 × 101 | 1.5310 × 102 | 1.8455 × 101 | |
| F9 | mean | 1.0991 × 103 | 9.2894 × 102 | 1.1277 × 103 | 1.2698 × 103 | 9.9140 × 102 | 1.1298 × 103 | 1.1088 × 103 | 9.7168 × 102 | 1.1799 × 103 | 1.0241 × 103 |
| std | 3.8042 × 101 | 1.6874 × 101 | 4.0237 × 101 | 2.1554 × 101 | 4.4556 × 101 | 2.9633 × 101 | 4.9146 × 101 | 7.8992 × 101 | 8.5257 × 101 | 3.6211 × 101 | |
| F10 | mean | 1.9838 × 104 | 2.4541 × 103 | 1.0751 × 104 | 6.6853 × 103 | 4.3476 × 103 | 9.5889 × 103 | 9.6207 × 103 | 1.7737 × 103 | 1.9835 × 104 | 1.0955 × 103 |
| std | 5.2164 × 103 | 8.6604 × 102 | 1.9746 × 103 | 9.1371 × 102 | 1.3307 × 103 | 3.7832 × 103 | 2.2501 × 103 | 9.8165 × 102 | 7.6906 × 103 | 1.2148 × 102 | |
| F11 | mean | 7.2543 × 103 | 8.3987 × 103 | 8.4441 × 103 | 1.4903 × 104 | 7.4899 × 103 | 8.7743 × 103 | 7.5750 × 103 | 1.2587 × 104 | 1.4236 × 104 | 8.8014 × 103 |
| std | 1.0617 × 103 | 2.4715 × 103 | 1.2085 × 103 | 3.2551 × 102 | 6.2828 × 102 | 2.8885 × 102 | 1.0255 × 103 | 3.1955 × 103 | 6.1939 × 102 | 8.0120 × 102 | |
| F12 | mean | 1.3080 × 103 | 1.5895 × 103 | 1.3232 × 103 | 3.4444 × 103 | 1.8644 × 103 | 1.6269 × 103 | 1.2923 × 103 | 1.4433 × 103 | 1.3959 × 103 | 1.3444 × 103 |
| std | 4.7918 × 101 | 1.4104 × 102 | 5.5161 × 101 | 4.2295 × 102 | 3.5069 × 102 | 2.7730 × 102 | 4.9201 × 101 | 8.4584 × 101 | 5.8705 × 101 | 2.9058 × 101 | |
| F13 | mean | 1.4405 × 107 | 1.0042 × 107 | 5.4024 × 106 | 3.7916 × 108 | 1.2843 × 107 | 3.8680 × 106 | 3.8276 × 106 | 2.5315 × 107 | 3.4658 × 106 | 1.2352 × 107 |
| std | 1.0233 × 107 | 5.3962 × 106 | 4.0256 × 106 | 8.5339 × 107 | 7.1220 × 106 | 2.0026 × 106 | 2.2305 × 106 | 1.3770 × 107 | 2.7086 × 106 | 3.5505 × 106 | |
| F14 | mean | 2.5706 × 104 | 2.8870 × 104 | 2.0286 × 104 | 5.9356 × 103 | 7.4969 × 103 | 7.9399 × 103 | 1.8251 × 104 | 3.5701 × 105 | 1.3580 × 104 | 1.5319 × 105 |
| std | 1.2694 × 104 | 2.1546 × 104 | 2.4124 × 104 | 4.0065 × 103 | 2.5019 × 103 | 5.9692 × 103 | 1.1211 × 104 | 1.7901 × 105 | 1.0583 × 104 | 2.4394 × 104 | |
| F15 | mean | 1.1475 × 105 | 2.1950 × 105 | 2.4948 × 104 | 1.5540 × 106 | 1.2924 × 105 | 4.8518 × 105 | 2.1356 × 104 | 7.8479 × 104 | 8.2929 × 104 | 5.3047 × 104 |
| std | 1.1776 × 105 | 1.9950 × 105 | 2.0462 × 104 | 5.9018 × 105 | 8.8591 × 104 | 2.0998 × 105 | 2.0377 × 104 | 6.5915 × 104 | 8.0645 × 104 | 2.1250 × 104 | |
| F16 | mean | 1.1795 × 104 | 1.2363 × 104 | 1.6451 × 104 | 9.8538 × 103 | 1.0902 × 104 | 9.6608 × 103 | 1.1035 × 104 | 8.5775 × 104 | 1.2196 × 104 | 4.5425 × 104 |
| std | 1.4330 × 104 | 6.6962 × 103 | 8.0313 × 103 | 4.9832 × 103 | 5.0209 × 103 | 8.0611 × 103 | 8.3143 × 103 | 4.6650 × 104 | 7.4070 × 103 | 8.3582 × 103 | |
| F17 | mean | 3.5183 × 103 | 3.1223 × 103 | 3.7130 × 103 | 5.0668 × 103 | 2.7402 × 103 | 4.1087 × 103 | 3.3999 × 103 | 2.6298 × 103 | 3.6693 × 103 | 3.0211 × 103 |
| std | 3.8573 × 102 | 2.8980 × 102 | 3.8404 × 102 | 1.6797 × 102 | 2.8613 × 102 | 2.8460 × 102 | 5.0325 × 102 | 5.7570 × 102 | 6.0521 × 102 | 2.5400 × 102 | |
| F18 | mean | 3.1599 × 103 | 2.8029 × 103 | 3.2309 × 103 | 4.0054 × 103 | 2.6768 × 103 | 3.2992 × 103 | 3.2462 × 103 | 2.7491 × 103 | 3.2902 × 103 | 2.7164 × 103 |
| std | 3.4335 × 102 | 3.2204 × 102 | 3.4483 × 102 | 1.6170 × 102 | 2.0073 × 102 | 2.1894 × 102 | 3.8583 × 102 | 5.4094 × 102 | 4.1916 × 102 | 1.9605 × 102 | |
| F19 | mean | 2.0455 × 106 | 1.9148 × 106 | 1.6942 × 105 | 1.8552 × 107 | 1.6941 × 106 | 3.2509 × 106 | 1.6539 × 105 | 1.0288 × 106 | 4.7602 × 105 | 4.6303 × 105 |
| std | 1.3637 × 106 | 1.6172 × 106 | 1.5912 × 105 | 5.7704 × 106 | 9.8931 × 105 | 1.6151 × 106 | 9.9026 × 104 | 6.6274 × 105 | 3.1904 × 105 | 1.8473 × 105 | |
| F20 | mean | 1.2109 × 104 | 1.8446 × 104 | 2.2503 × 104 | 1.7950 × 104 | 1.6073 × 104 | 1.4048 × 104 | 1.9975 × 104 | 5.3797 × 104 | 1.8006 × 104 | 1.6059 × 104 |
| std | 8.0467 × 103 | 1.2532 × 104 | 1.2594 × 104 | 7.6724 × 103 | 8.3906 × 103 | 1.2690 × 104 | 1.2417 × 104 | 4.4798 × 104 | 1.2759 × 104 | 5.0254 × 103 | |
| F21 | mean | 3.1039 × 103 | 2.9883 × 103 | 3.2596 × 103 | 4.0867 × 103 | 2.7210 × 103 | 3.4430 × 103 | 3.1840 × 103 | 2.7985 × 103 | 3.5358 × 103 | 2.6987 × 103 |
| std | 3.3158 × 102 | 4.2136 × 102 | 2.6896 × 102 | 1.5278 × 102 | 1.7613 × 102 | 1.5142 × 102 | 2.7296 × 102 | 5.1182 × 102 | 3.7830 × 102 | 1.1862 × 102 | |
| F22 | mean | 2.6748 × 103 | 2.4382 × 103 | 2.6202 × 103 | 2.7694 × 103 | 2.4684 × 103 | 2.6435 × 103 | 2.6287 × 103 | 2.4257 × 103 | 2.6612 × 103 | 2.4680 × 103 |
| std | 5.0438 × 101 | 1.6911 × 101 | 7.0723 × 101 | 1.5872 × 101 | 3.7964 × 101 | 3.3417 × 101 | 7.1879 × 101 | 2.5897 × 101 | 9.6195 × 101 | 2.5118 × 101 | |
| F23 | mean | 9.2880 × 103 | 1.1713 × 104 | 1.1168 × 104 | 1.6266 × 104 | 6.9671 × 103 | 1.0898 × 104 | 9.1549 × 103 | 1.3929 × 104 | 1.4981 × 104 | 1.0590 × 104 |
| std | 1.6953 × 103 | 2.3912 × 103 | 1.6377 × 103 | 4.8452 × 102 | 3.1914 × 103 | 1.6770 × 103 | 1.4729 × 103 | 3.3511 × 103 | 2.5407 × 103 | 8.3069 × 102 | |
| F24 | mean | 3.7225 × 103 | 2.9410 × 103 | 3.2390 × 103 | 3.1837 × 103 | 2.9287 × 103 | 3.1239 × 103 | 3.1595 × 103 | 2.8593 × 103 | 3.2181 × 103 | 2.8933 × 103 |
| std | 2.0364 × 102 | 3.6766 × 101 | 9.5229 × 101 | 1.9460 × 101 | 4.1157 × 101 | 3.7958 × 101 | 7.2076 × 101 | 7.9460 × 101 | 1.2447 × 102 | 2.8710 × 101 | |
| F25 | mean | 3.5491 × 103 | 3.0710 × 103 | 3.3811 × 103 | 3.3256 × 103 | 3.0867 × 103 | 3.3141 × 103 | 3.3076 × 103 | 3.0062 × 103 | 3.3959 × 103 | 3.0465 × 103 |
| std | 1.1263 × 102 | 5.2164 × 101 | 1.2681 × 102 | 1.1264 × 101 | 4.3427 × 101 | 5.6741 × 101 | 9.8479 × 101 | 4.7359 × 101 | 1.4819 × 102 | 2.4970 × 101 | |
| F26 | mean | 3.0037 × 103 | 3.0968 × 103 | 3.1152 × 103 | 3.3189 × 103 | 3.2604 × 103 | 3.0792 × 103 | 3.0740 × 103 | 3.1055 × 103 | 3.0758 × 103 | 3.0637 × 103 |
| std | 4.6609 × 101 | 3.3689 × 101 | 2.5075 × 101 | 5.0860 × 101 | 6.8417 × 101 | 3.3097 × 101 | 3.1590 × 101 | 2.9692 × 101 | 2.7198 × 101 | 2.0402 × 101 | |
| F27 | mean | 8.3401 × 103 | 6.2159 × 103 | 9.5563 × 103 | 8.3106 × 103 | 5.6533 × 103 | 7.2267 × 103 | 8.3248 × 103 | 5.3610 × 103 | 6.1106 × 103 | 2.9077 × 103 |
| std | 3.4007 × 103 | 4.2494 × 102 | 2.5090 × 103 | 1.5690 × 102 | 1.4008 × 103 | 2.6877 × 102 | 3.1653 × 103 | 8.1665 × 102 | 3.6678 × 103 | 6.0416 × 10−1 | |
| F28 | mean | 3.9301 × 103 | 3.6039 × 103 | 3.8200 × 103 | 3.5227 × 103 | 3.5391 × 103 | 3.7526 × 103 | 3.6601 × 103 | 3.2884 × 103 | 3.6201 × 103 | 3.3725 × 103 |
| std | 7.9070 × 102 | 9.0670 × 101 | 2.6629 × 102 | 3.3834 × 101 | 6.2217 × 101 | 1.2531 × 102 | 1.5766 × 102 | 3.0304 × 101 | 1.5437 × 102 | 3.5900 × 101 | |
| F29 | mean | 3.2851 × 103 | 3.4656 × 103 | 3.3665 × 103 | 3.8195 × 103 | 3.6523 × 103 | 3.3686 × 103 | 3.3469 × 103 | 3.3595 × 103 | 3.3304 × 103 | 3.3036 × 103 |
| std | 1.6132 × 101 | 6.2488 × 101 | 4.7574 × 101 | 1.2663 × 102 | 1.0985 × 102 | 3.6433 × 101 | 4.4722 × 101 | 3.8382 × 101 | 3.1699 × 101 | 1.7312 × 101 | |
| F30 | mean | 5.0305 × 103 | 4.3015 × 103 | 5.3978 × 103 | 5.5996 × 103 | 4.2206 × 103 | 4.7902 × 103 | 5.0252 × 103 | 3.8562 × 103 | 4.8155 × 103 | 3.9489 × 103 |
| std | 3.8409 × 102 | 3.6674 × 102 | 9.4829 × 102 | 2.9144 × 102 | 2.8055 × 102 | 4.5451 × 102 | 4.6440 × 102 | 2.5913 × 102 | 4.1632 × 102 | 1.9189 × 102 |
| ID | Metric | PSO | SO | GTO | DMO | GRO | ED | GKSO | IGWO | DOA | IDOA |
|---|---|---|---|---|---|---|---|---|---|---|---|
| F1 | mean | 1.2182 × 108 | 5.9061 × 107 | 1.1079 × 108 | 5.3620 × 1010 | 2.5404 × 1010 | 2.9186 × 108 | 9.9962 × 105 | 8.4751 × 109 | 2.0303 × 109 | 2.4481 × 107 |
| std | 1.9790 × 107 | 2.0924 × 107 | 9.0966 × 107 | 3.9842 × 109 | 7.2751 × 109 | 1.3601 × 108 | 4.1426 × 105 | 4.4681 × 109 | 2.8009 × 109 | 2.8099 × 106 | |
| F3 | mean | 1.0726 × 1073 | 5.7020 × 10114 | 2.8829 × 10130 | 9.9116 × 10154 | 1.4509 × 10127 | 9.3482 × 10119 | 1.2349 × 10108 | 7.8254 × 10101 | 6.8204 × 10103 | 5.7328 × 1077 |
| std | 5.1853 × 1073 | 2.1775 × 10115 | 1.5790 × 10131 | 6.5535 × 104 | 7.3839 × 10127 | 5.1202 × 10120 | 6.7589 × 10108 | 4.2845 × 10102 | 3.3449 × 10104 | 1.3291 × 1078 | |
| F4 | mean | 3.8012 × 105 | 3.3132 × 105 | 1.6409 × 105 | 7.9069 × 105 | 3.1967 × 105 | 6.2586 × 105 | 1.8124 × 105 | 2.6846 × 105 | 5.4272 × 105 | 3.8507 × 105 |
| std | 7.2318 × 104 | 1.4886 × 104 | 1.8337 × 104 | 4.1078 × 104 | 2.9397 × 104 | 5.0997 × 104 | 1.9678 × 104 | 3.9515 × 104 | 1.5141 × 105 | 3.5349 × 104 | |
| F5 | mean | 7.1134 × 102 | 9.7215 × 102 | 1.0575 × 103 | 7.1831 × 103 | 3.2274 × 103 | 1.0323 × 103 | 8.4354 × 102 | 1.3801 × 103 | 1.0072 × 103 | 7.9357 × 102 |
| std | 1.0622 × 102 | 6.9932 × 101 | 1.1877 × 102 | 8.2220 × 102 | 8.4816 × 102 | 7.4964 × 101 | 7.6404 × 101 | 2.2222 × 102 | 1.0476 × 102 | 3.4962 × 101 | |
| F6 | mean | 1.2649 × 103 | 8.6195 × 102 | 1.3188 × 103 | 1.7299 × 103 | 1.1947 × 103 | 1.4950 × 103 | 1.3118 × 103 | 9.5494 × 102 | 1.3750 × 103 | 1.2058 × 103 |
| std | 6.5527 × 101 | 4.3260 × 101 | 4.8837 × 101 | 2.9047 × 101 | 4.9159 × 101 | 6.8607 × 101 | 5.6076 × 101 | 1.0773 × 102 | 1.6718 × 102 | 7.6270 × 101 | |
| F7 | mean | 6.6333 × 102 | 6.2260 × 102 | 6.6272 × 102 | 6.5420 × 102 | 6.4100 × 102 | 6.5151 × 102 | 6.6051 × 102 | 6.1295 × 102 | 6.8757 × 102 | 6.3694 × 102 |
| std | 4.1584 × 10 | 3.8191 × 10 | 4.0004 × 10 | 2.4657 × 10 | 6.2019 × 10 | 3.4027 × 10 | 3.5249 × 10 | 2.9582 × 10 | 9.3119 × 10 | 7.6426 × 10 | |
| F8 | mean | 1.9573 × 103 | 1.4627 × 103 | 2.9890 × 103 | 3.7193 × 103 | 2.0503 × 103 | 2.5585 × 103 | 2.4302 × 103 | 1.4573 × 103 | 3.0053 × 103 | 1.6961 × 103 |
| std | 1.7861 × 102 | 6.2567 × 101 | 1.3533 × 102 | 1.3485 × 102 | 1.6061 × 102 | 1.4312 × 102 | 2.2868 × 102 | 1.6188 × 102 | 3.0591 × 102 | 4.0865 × 101 | |
| F9 | mean | 1.6655 × 103 | 1.1882 × 103 | 1.7152 × 103 | 2.0267 × 103 | 1.5215 × 103 | 1.7702 × 103 | 1.7014 × 103 | 1.2762 × 103 | 1.8856 × 103 | 1.4874 × 103 |
| std | 7.5091 × 101 | 4.6199 × 101 | 7.7497 × 101 | 3.2295 × 101 | 7.2997 × 101 | 6.9574 × 101 | 6.7660 × 101 | 1.1647 × 102 | 2.2343 × 102 | 8.5603 × 101 | |
| F10 | mean | 5.9281 × 104 | 8.7890 × 103 | 2.3958 × 104 | 5.6961 × 104 | 2.1204 × 104 | 5.1961 × 104 | 2.1683 × 104 | 1.7945 × 104 | 7.0797 × 104 | 2.6638 × 104 |
| std | 9.1081 × 103 | 1.9870 × 103 | 1.1190 × 103 | 5.5902 × 103 | 3.5714 × 103 | 8.5389 × 103 | 2.1240 × 103 | 6.6810 × 103 | 7.4549 × 103 | 5.5257 × 103 | |
| F11 | mean | 1.5567 × 104 | 3.0239 × 104 | 1.7315 × 104 | 3.2222 × 104 | 1.8761 × 104 | 2.2973 × 104 | 1.6006 × 104 | 2.4974 × 104 | 2.9843 × 104 | 1.5439 × 104 |
| std | 1.2209 × 103 | 1.4926 × 103 | 3.1571 × 103 | 5.0061 × 102 | 1.2169 × 103 | 7.7525 × 102 | 1.5323 × 103 | 8.3575 × 103 | 2.8996 × 103 | 1.0058 × 103 | |
| F12 | mean | 5.7751 × 103 | 8.5461 × 104 | 7.0937 × 103 | 1.9973 × 105 | 4.7689 × 104 | 7.2952 × 104 | 2.6771 × 103 | 1.3143 × 104 | 3.0351 × 104 | 8.5409 × 103 |
| std | 9.1758 × 102 | 1.8638 × 104 | 3.1418 × 103 | 2.9201 × 104 | 9.0872 × 103 | 1.6836 × 104 | 1.9460 × 102 | 4.3355 × 103 | 1.3528 × 104 | 1.1037 × 103 | |
| F13 | mean | 2.5172 × 108 | 1.4015 × 108 | 7.2575 × 107 | 6.3469 × 109 | 1.6216 × 109 | 6.2105 × 107 | 5.5053 × 107 | 3.7320 × 108 | 5.0930 × 107 | 1.8985 × 108 |
| std | 9.2729 × 107 | 6.7713 × 107 | 4.6939 × 107 | 7.7161 × 108 | 1.7887 × 109 | 2.0294 × 107 | 2.6190 × 107 | 1.1717 × 108 | 2.5594 × 107 | 3.1262 × 107 | |
| F14 | mean | 1.9494 × 105 | 2.1093 × 105 | 2.4975 × 104 | 2.5125 × 104 | 3.2307 × 105 | 1.1107 × 104 | 5.4133 × 104 | 5.1061 × 105 | 2.2503 × 104 | 4.9853 × 105 |
| std | 9.6342 × 104 | 1.5929 × 105 | 1.8756 × 104 | 4.7104 × 103 | 2.8051 × 105 | 5.2771 × 103 | 1.2547 × 105 | 2.0747 × 105 | 1.3550 × 104 | 6.9185 × 104 | |
| F15 | mean | 1.6283 × 106 | 2.8397 × 106 | 3.7120 × 105 | 4.3840 × 107 | 2.6745 × 106 | 5.1346 × 106 | 2.2334 × 105 | 1.2464 × 106 | 1.1121 × 106 | 6.8232 × 105 |
| std | 6.4742 × 105 | 1.6088 × 106 | 1.7740 × 105 | 1.2405 × 107 | 1.1947 × 106 | 3.4070 × 106 | 1.2406 × 105 | 7.4487 × 105 | 6.9731 × 105 | 2.2843 × 105 | |
| F16 | mean | 3.5629 × 104 | 2.6422 × 104 | 8.6441 × 103 | 4.7324 × 103 | 1.0647 × 104 | 4.1456 × 103 | 1.5880 × 104 | 1.0787 × 105 | 8.1300 × 103 | 1.6900 × 105 |
| std | 1.3943 × 104 | 1.7802 × 104 | 5.7906 × 103 | 1.7139 × 103 | 9.0425 × 103 | 1.9606 × 103 | 1.2492 × 104 | 4.4055 × 104 | 7.2927 × 103 | 2.7464 × 104 | |
| F17 | mean | 5.8818 × 103 | 6.9753 × 103 | 6.1225 × 103 | 1.1084 × 104 | 5.8486 × 103 | 8.6738 × 103 | 6.0318 × 103 | 4.7786 × 103 | 6.8479 × 103 | 5.8191 × 103 |
| std | 6.2204 × 102 | 1.5591 × 103 | 7.2869 × 102 | 3.5212 × 102 | 5.9713 × 102 | 1.0844 × 103 | 6.9961 × 102 | 4.9952 × 102 | 1.7582 × 103 | 4.1749 × 102 | |
| F18 | mean | 5.2011 × 103 | 4.6902 × 103 | 5.9176 × 103 | 7.9059 × 103 | 4.5833 × 103 | 6.3410 × 103 | 5.4351 × 103 | 4.2437 × 103 | 5.7618 × 103 | 4.9226 × 103 |
| std | 7.2861 × 102 | 6.6751 × 102 | 7.9402 × 102 | 2.5621 × 102 | 3.6470 × 102 | 5.4143 × 102 | 5.9762 × 102 | 8.3491 × 102 | 8.7549 × 102 | 2.9469 × 102 | |
| F19 | mean | 2.7988 × 106 | 5.8393 × 106 | 7.1842 × 105 | 8.7738 × 107 | 4.1553 × 106 | 1.7951 × 107 | 4.1271 × 105 | 2.6532 × 106 | 1.6989 × 106 | 1.0783 × 106 |
| std | 1.0767 × 106 | 2.7828 × 106 | 3.7308 × 105 | 1.8831 × 107 | 2.2674 × 106 | 9.2031 × 106 | 2.0598 × 105 | 1.1070 × 106 | 1.1105 × 106 | 2.8983 × 105 | |
| F20 | mean | 1.3085 × 105 | 8.9815 × 104 | 6.8821 × 103 | 6.0285 × 103 | 1.3802 × 104 | 8.1158 × 103 | 1.3590 × 104 | 2.6631 × 105 | 1.0747 × 104 | 5.8953 × 105 |
| std | 9.9587 × 104 | 7.6034 × 104 | 4.6042 × 103 | 2.6481 × 103 | 9.5194 × 103 | 6.4354 × 103 | 9.4567 × 103 | 1.1691 × 105 | 1.4828 × 104 | 1.2368 × 105 | |
| F21 | mean | 5.1037 × 103 | 6.7741 × 103 | 5.3906 × 103 | 7.7036 × 103 | 4.6208 × 103 | 6.6759 × 103 | 5.2566 × 103 | 5.3464 × 103 | 7.0462 × 103 | 5.0282 × 103 |
| std | 6.3913 × 102 | 4.7016 × 102 | 5.4223 × 102 | 2.4642 × 102 | 4.4670 × 102 | 2.4498 × 102 | 5.5732 × 102 | 1.4195 × 103 | 3.8979 × 102 | 2.6618 × 102 | |
| F22 | mean | 3.5368 × 103 | 2.7624 × 103 | 3.2527 × 103 | 3.5553 × 103 | 2.9351 × 103 | 3.3659 × 103 | 3.2600 × 103 | 2.7802 × 103 | 3.4880 × 103 | 2.8811 × 103 |
| std | 1.7283 × 102 | 4.9464 × 101 | 1.6968 × 102 | 3.6747 × 101 | 7.1483 × 101 | 6.9732 × 101 | 1.2707 × 102 | 1.1126 × 102 | 2.5810 × 102 | 4.7747 × 101 | |
| F23 | mean | 2.0016 × 104 | 3.2163 × 104 | 2.2275 × 104 | 3.4309 × 104 | 2.1202 × 104 | 2.4821 × 104 | 1.8640 × 104 | 2.9987 × 104 | 3.3159 × 104 | 2.3594 × 104 |
| std | 1.5456 × 103 | 2.1678 × 103 | 3.2109 × 103 | 4.4567 × 102 | 3.1987 × 103 | 6.6572 × 102 | 1.5489 × 103 | 6.5946 × 103 | 1.3279 × 103 | 3.0746 × 103 | |
| F24 | mean | 4.8687 × 103 | 3.3477 × 103 | 3.9773 × 103 | 3.9661 × 103 | 3.5789 × 103 | 3.9010 × 103 | 3.8879 × 103 | 3.2198 × 103 | 4.0227 × 103 | 3.3068 × 103 |
| std | 3.6405 × 102 | 6.8566 × 101 | 1.5573 × 102 | 2.7542 × 101 | 6.6916 × 101 | 1.5042 × 102 | 1.4958 × 102 | 4.9005 × 101 | 3.0628 × 102 | 5.3625 × 101 | |
| F25 | mean | 5.2167 × 103 | 4.0495 × 103 | 4.9109 × 103 | 4.4223 × 103 | 4.2923 × 103 | 4.5528 × 103 | 4.7476 × 103 | 3.7481 × 103 | 4.9675 × 103 | 3.8374 × 103 |
| std | 4.3325 × 102 | 1.0840 × 102 | 4.2925 × 102 | 2.9188 × 101 | 1.0157 × 102 | 2.5268 × 102 | 2.4116 × 102 | 1.8789 × 102 | 4.1211 × 102 | 8.8889 × 101 | |
| F26 | mean | 3.3553 × 103 | 3.6801 × 103 | 3.7505 × 103 | 1.3350 × 104 | 5.3144 × 103 | 3.7739 × 103 | 3.5083 × 103 | 4.0742 × 103 | 3.6653 × 103 | 3.4713 × 103 |
| std | 4.2344 × 101 | 8.0353 × 101 | 1.1126 × 102 | 1.3743 × 103 | 5.8266 × 102 | 1.2452 × 102 | 5.5621 × 101 | 2.0058 × 102 | 1.2423 × 102 | 4.3152 × 101 | |
| F27 | mean | 1.9114 × 104 | 1.3333 × 104 | 2.4042 × 104 | 1.8089 × 104 | 2.0207 × 104 | 1.7951 × 104 | 2.2315 × 104 | 1.1255 × 104 | 1.9743 × 104 | 1.1913 × 104 |
| std | 6.6541 × 103 | 1.0687 × 103 | 3.4921 × 103 | 2.6767 × 102 | 2.7857 × 103 | 1.5157 × 103 | 2.6899 × 103 | 1.2859 × 103 | 5.9529 × 103 | 4.7347 × 103 | |
| F28 | mean | 3.4787 × 103 | 3.8216 × 103 | 4.0118 × 103 | 4.4670 × 103 | 4.0955 × 103 | 4.1007 × 103 | 4.1679 × 103 | 3.5105 × 103 | 3.8456 × 103 | 3.5428 × 103 |
| std | 2.2984 × 102 | 1.0952 × 102 | 2.7908 × 102 | 1.2527 × 102 | 1.3460 × 102 | 2.1954 × 102 | 2.5201 × 102 | 4.4257 × 101 | 2.0628 × 102 | 4.2343 × 101 | |
| F29 | mean | 3.4046 × 103 | 4.7090 × 103 | 3.7440 × 103 | 1.5137 × 104 | 6.7164 × 103 | 4.2895 × 103 | 3.5892 × 103 | 4.7404 × 103 | 3.8452 × 103 | 3.5595 × 103 |
| std | 6.2346 × 101 | 6.2561 × 102 | 8.2489 × 101 | 8.2725 × 102 | 7.2423 × 102 | 3.4461 × 102 | 4.4397 × 101 | 5.4568 × 102 | 1.5692 × 102 | 2.0361 × 101 | |
| F30 | mean | 8.5320 × 103 | 7.0465 × 103 | 8.1885 × 103 | 1.0677 × 104 | 7.3908 × 103 | 8.0062 × 103 | 8.5688 × 103 | 6.2138 × 103 | 7.8786 × 103 | 7.1117 × 103 |
| std | 5.9326 × 102 | 4.6494 × 102 | 6.4002 × 102 | 4.8312 × 102 | 6.3700 × 102 | 1.0756 × 103 | 8.5775 × 102 | 7.2832 × 102 | 1.1202 × 103 | 4.6296 × 102 |
| Item | PSO | SO | GTO | DMO | GRO | ED | GKSO | IGWO | DOA |
|---|---|---|---|---|---|---|---|---|---|
| F1 | 7.3891 × 10−11 | 3.0199 × 10−11 | 3.0199 × 10−11 | 2.5188 × 10−1 | 5.5546 × 10−2 | 3.0199 × 10−11 | 3.0199 × 10−11 | 8.4848 × 10−9 | 3.0199 × 10−11 |
| F2 | 3.0199 × 10−11 | 3.0199 × 10−11 | 3.0199 × 10−11 | 3.0199 × 10−11 | 3.0199 × 10−11 | 3.0199 × 10−11 | 1.4110 × 10−9 | 3.0199 × 10−11 | 1.0702 × 10−9 |
| F3 | 3.3520 × 10−8 | 3.0199 × 10−11 | 3.0199 × 10−11 | 3.0199 × 10−11 | 3.0199 × 10−11 | 3.0199 × 10−11 | 3.0199 × 10−11 | 1.2860 × 10−6 | 3.0199 × 10−11 |
| F4 | 1.1567 × 10−7 | 2.6243 × 10−3 | 9.3519 × 10−1 | 2.6099 × 10−10 | 1.3250 × 10−4 | 1.2235 × 10−1 | 9.0000 × 10−1 | 1.5638 × 10−2 | 3.1830 × 10−3 |
| F5 | 3.0199 × 10−11 | 1.1023 × 10−8 | 3.0199 × 10−11 | 3.0199 × 10−11 | 1.1738 × 10−3 | 3.0199 × 10−11 | 3.0199 × 10−11 | 4.1127 × 10−7 | 1.5581 × 10−8 |
| F6 | 3.0199 × 10−11 | 5.5727 × 10−10 | 3.0199 × 10−11 | 7.8446 × 10−1 | 3.0199 × 10−11 | 1.0702 × 10−9 | 3.0199 × 10−11 | 4.6390 × 10−5 | 3.0199 × 10−11 |
| F7 | 2.8790 × 10−6 | 2.9047 × 10−1 | 3.0199 × 10−11 | 3.0199 × 10−11 | 1.6238 × 10−1 | 3.0199 × 10−11 | 2.8716 × 10−10 | 5.2978 × 10−1 | 5.4941 × 10−11 |
| F8 | 1.1023 × 10−8 | 4.4440 × 10−7 | 7.0881 × 10−8 | 3.0199 × 10−11 | 3.0059 × 10−4 | 3.0199 × 10−11 | 1.6947 × 10−9 | 1.9568 × 10−10 | 5.4941 × 10−11 |
| F9 | 3.0199 × 10−11 | 3.0199 × 10−11 | 3.0199 × 10−11 | 3.0199 × 10−11 | 3.0199 × 10−11 | 3.0199 × 10−11 | 3.0199 × 10−11 | 1.8567 × 10−9 | 3.0199 × 10−11 |
| F10 | 5.3685 × 10−2 | 1.0702 × 10−9 | 2.0023 × 10−6 | 3.0199 × 10−11 | 9.5207 × 10−4 | 1.0105 × 10−8 | 3.4783 × 10−1 | 2.5188 × 10−1 | 1.0937 × 10−10 |
| F11 | 1.1567 × 10−7 | 1.3594 × 10−7 | 2.3768 × 10−7 | 3.0199 × 10−11 | 9.5207 × 10−4 | 5.8945 × 10−1 | 2.1959 × 10−7 | 8.6844 × 10−3 | 1.6947 × 10−9 |
| F12 | 3.3285 × 10−1 | 7.9782 × 10−2 | 1.2057 × 10−10 | 3.0199 × 10−11 | 8.7710 × 10−2 | 2.8716 × 10−10 | 7.3891 × 10−11 | 2.6243 × 10−3 | 8.1527 × 10−11 |
| F13 | 4.1997 × 10−10 | 3.8249 × 10−9 | 1.2023 × 10−8 | 6.0658 × 10−11 | 1.5465 × 10−9 | 2.5721 × 10−7 | 2.2273 × 10−9 | 3.1821 × 10−4 | 1.4733 × 10−7 |
| F14 | 7.9782 × 10−2 | 2.1327 × 10−5 | 6.6955 × 10−11 | 3.0199 × 10−11 | 6.2040 × 10−1 | 5.9673 × 10−9 | 4.3106 × 10−8 | 2.9205 × 10−2 | 4.9178 × 10−1 |
| F15 | 1.8575 × 10−3 | 5.2640 × 10−4 | 3.8053 × 10−7 | 1.9568 × 10−10 | 6.5183 × 10−9 | 1.1567 × 10−7 | 5.9706 × 10−5 | 3.3285 × 10−1 | 7.1988 × 10−5 |
| F16 | 1.7769 × 10−10 | 5.8737 × 10−4 | 1.9568 × 10−10 | 3.0199 × 10−11 | 3.4783 × 10−1 | 3.0199 × 10−11 | 3.5201 × 10−7 | 2.7086 × 10−2 | 9.7555 × 10−10 |
| F17 | 6.5183 × 10−9 | 5.8587 × 10−6 | 3.0199 × 10−11 | 3.0199 × 10−11 | 8.7663 × 10−1 | 5.9673 × 10−9 | 3.1967 × 10−9 | 2.6077 × 10−2 | 1.8567 × 10−9 |
| F18 | 3.1573 × 10−5 | 8.1465 × 10−5 | 2.5974 × 10−5 | 3.0199 × 10−11 | 3.6322 × 10−1 | 3.0199 × 10−11 | 8.1465 × 10−5 | 1.2732 × 10−2 | 1.3732 × 10−1 |
| F19 | 4.3764 × 10−1 | 3.3874 × 10−2 | 1.1228 × 10−2 | 1.2235 × 10−1 | 1.0315 × 10−2 | 4.4642 × 10−1 | 9.3519 × 10−1 | 4.2067 × 10−2 | 9.7052 × 10−1 |
| F20 | 3.0199 × 10−11 | 4.4440 × 10−7 | 3.0199 × 10−11 | 3.0199 × 10−11 | 4.7445 × 10−6 | 1.7769 × 10−10 | 3.8202 × 10−10 | 9.9410 × 10−1 | 3.0199 × 10−11 |
| F21 | 3.0199 × 10−11 | 5.0842 × 10−3 | 9.8329 × 10−8 | 3.0199 × 10−11 | 5.3221 × 10−3 | 8.4848 × 10−9 | 5.5727 × 10−10 | 5.2650 × 10−5 | 8.9934 × 10−11 |
| F22 | 7.6183 × 10−1 | 3.5547 × 10−1 | 8.1014 × 10−10 | 3.0199 × 10−11 | 9.0000 × 10−1 | 1.9527 × 10−3 | 6.7650 × 10−5 | 7.1988 × 10−5 | 1.9527 × 10−3 |
| F23 | 4.0772 × 10−11 | 1.7294 × 10−7 | 3.0199 × 10−11 | 3.0199 × 10−11 | 3.0418 × 10−1 | 3.0199 × 10−11 | 3.0199 × 10−11 | 7.9590 × 10−3 | 2.3715 × 10−10 |
| F24 | 3.0199 × 10−11 | 1.2362 × 10−3 | 3.0199 × 10−11 | 3.0199 × 10−11 | 1.1882 × 10−1 | 3.0199 × 10−11 | 1.0937 × 10−10 | 1.4918 × 10−6 | 1.2057 × 10−10 |
| F25 | 1.6285 × 10−2 | 1.1567 × 10−7 | 2.5974 × 10−5 | 3.0199 × 10−11 | 1.2541 × 10−7 | 7.5991 × 10−7 | 8.8829 × 10−6 | 5.2650 × 10−5 | 1.4532 × 10−1 |
| F26 | 7.0617 × 10−1 | 7.7725 × 10−9 | 8.5641 × 10−4 | 3.0199 × 10−11 | 4.0354 × 10−1 | 1.6132 × 10−10 | 1.0576 × 10−3 | 7.7312 × 10−1 | 3.8307 × 10−5 |
| F27 | 1.9883 × 10−2 | 3.0199 × 10−11 | 3.3384 × 10−11 | 1.8567 × 10−9 | 2.1544 × 10−10 | 1.7769 × 10−10 | 3.0199 × 10−11 | 5.5699 × 10−3 | 2.6099 × 10−10 |
| F28 | 5.4933 × 10−1 | 3.0199 × 10−11 | 3.3285 × 10−1 | 3.0199 × 10−11 | 2.1544 × 10−10 | 2.3800 × 10−3 | 1.5798 × 10−1 | 9.5139 × 10−6 | 8.1875 × 10−1 |
| F29 | 1.0702 × 10−9 | 1.1077 × 10−6 | 1.6947 × 10−9 | 3.0199 × 10−11 | 4.8252 × 10−1 | 2.0152 × 10−8 | 2.3715 × 10−10 | 1.0277 × 10−6 | 7.0881 × 10−8 |
| F30 | 6.3088 × 10−1 | 9.8329 × 10−8 | 3.0199 × 10−11 | 8.3520 × 10−8 | 1.3289 × 10−10 | 1.5292 × 10−5 | 5.9673 × 10−9 | 3.9648 × 10−8 | 2.1544 × 10−10 |
| Item | PSO | SO | GTO | DMO | GRO | ED | GKSO | IGWO | DOA |
|---|---|---|---|---|---|---|---|---|---|
| F1 | 3.0199 × 10−11 | 1.9579 × 10−1 | 3.0199 × 10−11 | 3.0199 × 10−11 | 3.0199 × 10−11 | 3.0199 × 10−11 | 3.0199 × 10−11 | 3.0199 × 10−11 | 3.0199 × 10−11 |
| F2 | 1.2362 × 10−3 | 3.0199 × 10−11 | 3.0199 × 10−11 | 3.0199 × 10−11 | 3.0199 × 10−11 | 3.0199 × 10−11 | 4.1997 × 10−10 | 3.0199 × 10−11 | 1.4110 × 10−9 |
| F3 | 2.3768 × 10−7 | 3.4742 × 10−10 | 3.0199 × 10−11 | 3.0199 × 10−11 | 2.6243 × 10−3 | 3.0199 × 10−11 | 3.0199 × 10−11 | 3.0199 × 10−11 | 2.2273 × 10−9 |
| F4 | 6.7350 × 10−1 | 1.2023 × 10−8 | 6.9125 × 10−4 | 3.0199 × 10−11 | 7.3891 × 10−11 | 6.3533 × 10−2 | 1.5292 × 10−5 | 1.5014 × 10−2 | 1.9073 × 10−1 |
| F5 | 7.9585 × 10−1 | 3.0199 × 10−11 | 3.8053 × 10−7 | 3.0199 × 10−11 | 9.2603 × 10−9 | 1.6947 × 10−9 | 3.5137 × 10−2 | 8.8910 × 10−10 | 2.6695 × 10−9 |
| F6 | 3.0199 × 10−11 | 3.6897 × 10−11 | 3.0199 × 10−11 | 3.0199 × 10−11 | 3.0199 × 10−11 | 3.0199 × 10−11 | 3.0199 × 10−11 | 7.2827 × 10−1 | 3.0199 × 10−11 |
| F7 | 5.8587 × 10−6 | 1.2541 × 10−7 | 3.0199 × 10−11 | 3.0199 × 10−11 | 6.7350 × 10−1 | 3.0199 × 10−11 | 1.0937 × 10−10 | 8.1465 × 10−5 | 3.0199 × 10−11 |
| F8 | 4.9980 × 10−9 | 4.0772 × 10−11 | 2.6099 × 10−10 | 3.0199 × 10−11 | 2.7548 × 10−3 | 5.4941 × 10−11 | 4.3106 × 10−8 | 1.1674 × 10−5 | 3.1589 × 10−10 |
| F9 | 3.0199 × 10−11 | 4.0772 × 10−11 | 3.0199 × 10−11 | 3.0199 × 10−11 | 3.0199 × 10−11 | 3.0199 × 10−11 | 3.0199 × 10−11 | 1.2362 × 10−3 | 3.0199 × 10−11 |
| F10 | 8.1975 × 10−7 | 3.6322 × 10−1 | 4.2067 × 10−2 | 3.0199 × 10−11 | 9.0632 × 10−8 | 6.9522 × 10−1 | 8.2919 × 10−6 | 5.2650 × 10−5 | 3.0199 × 10−11 |
| F11 | 4.0840 × 10−5 | 6.0658 × 10−11 | 6.7869 × 10−2 | 3.0199 × 10−11 | 3.0199 × 10−11 | 2.6695 × 10−9 | 1.4298 × 10−5 | 2.3768 × 10−7 | 3.3679 × 10−4 |
| F12 | 7.3940 × 10−1 | 1.3272 × 10−2 | 1.0666 × 10−7 | 3.0199 × 10−11 | 4.9178 × 10−1 | 1.9568 × 10−10 | 2.3715 × 10−10 | 1.3367 × 10−5 | 7.3803 × 10−10 |
| F13 | 3.0199 × 10−11 | 3.0199 × 10−11 | 4.0772 × 10−11 | 3.0199 × 10−11 | 3.0199 × 10−11 | 3.0199 × 10−11 | 3.0199 × 10−11 | 7.1186 × 10−9 | 3.0199 × 10−11 |
| F14 | 9.4683 × 10−3 | 3.0811 × 10−8 | 6.7362 × 10−6 | 3.0199 × 10−11 | 1.0907 × 10−5 | 2.3715 × 10−10 | 4.4440 × 10−7 | 5.3951 × 10−1 | 6.8432 × 10−1 |
| F15 | 2.0338 × 10−9 | 3.0199 × 10−11 | 6.0658 × 10−11 | 3.0199 × 10−11 | 3.0199 × 10−11 | 4.5043 × 10−11 | 4.9752 × 10−11 | 4.6390 × 10−5 | 3.3384 × 10−11 |
| F16 | 1.7290 × 10−6 | 2.3399 × 10−1 | 2.9215 × 10−9 | 3.0199 × 10−11 | 1.8916 × 10−4 | 7.3891 × 10−11 | 5.8737 × 10−4 | 1.9963 × 10−5 | 1.8682 × 10−5 |
| F17 | 4.4440 × 10−7 | 3.7904 × 10−1 | 3.6459 × 10−8 | 3.0199 × 10−11 | 3.4029 × 10−1 | 6.7220 × 10−10 | 6.5261 × 10−7 | 5.6922 × 10−1 | 2.3897 × 10−8 |
| F18 | 4.0772 × 10−11 | 2.7829 × 10−7 | 3.0811 × 10−8 | 3.0199 × 10−11 | 4.6159 × 10−10 | 9.9186 × 10−11 | 2.1947 × 10−8 | 2.4327 × 10−5 | 6.4142 × 10−1 |
| F19 | 1.1228 × 10−2 | 8.5338 × 10−1 | 4.2067 × 10−2 | 4.6427 × 10−1 | 8.3026 × 10−1 | 1.3345 × 10−1 | 3.5547 × 10−1 | 1.5964 × 10−7 | 8.6499 × 10−1 |
| F20 | 2.0023 × 10−6 | 1.3017 × 10−3 | 2.0338 × 10−9 | 3.0199 × 10−11 | 6.2040 × 10−1 | 3.0199 × 10−11 | 2.9215 × 10−9 | 3.4029 × 10−1 | 5.5727 × 10−10 |
| F21 | 3.0199 × 10−11 | 4.7445 × 10−6 | 3.0199 × 10−11 | 3.0199 × 10−11 | 4.9178 × 10−1 | 3.0199 × 10−11 | 3.0199 × 10−11 | 3.8053 × 10−7 | 3.1589 × 10−10 |
| F22 | 4.3531 × 10−5 | 8.6844 × 10−3 | 2.8378 × 10−1 | 3.0199 × 10−11 | 1.6980 × 10−8 | 3.6709 × 10−3 | 1.1077 × 10−6 | 4.0840 × 10−5 | 5.5727 × 10−10 |
| F23 | 3.0199 × 10−11 | 2.4913 × 10−6 | 3.0199 × 10−11 | 3.0199 × 10−11 | 2.6806 × 10−4 | 3.0199 × 10−11 | 3.0199 × 10−11 | 8.2919 × 10−6 | 3.0199 × 10−11 |
| F24 | 3.0199 × 10−11 | 2.5101 × 10−2 | 3.0199 × 10−11 | 3.0199 × 10−11 | 1.3250 × 10−4 | 3.0199 × 10−11 | 3.0199 × 10−11 | 1.2860 × 10−6 | 3.0199 × 10−11 |
| F25 | 7.0430 × 10−7 | 1.0188 × 10−5 | 1.9568 × 10−10 | 3.0199 × 10−11 | 3.0199 × 10−11 | 7.2884 × 10−3 | 7.9782 × 10−2 | 2.7829 × 10−7 | 8.6844 × 10−3 |
| F26 | 3.0199 × 10−11 | 3.0199 × 10−11 | 5.5727 × 10−10 | 3.0199 × 10−11 | 3.0199 × 10−11 | 3.0199 × 10−11 | 9.5139 × 10−6 | 3.0199 × 10−11 | 8.4848 × 10−9 |
| F27 | 5.4933 × 10−1 | 3.6897 × 10−11 | 6.6955 × 10−11 | 3.0199 × 10−11 | 6.6955 × 10−11 | 3.0199 × 10−11 | 9.9186 × 10−11 | 1.4110 × 10−9 | 4.5043 × 10−11 |
| F28 | 8.6634 × 10−5 | 3.0199 × 10−11 | 3.0811 × 10−8 | 3.0199 × 10−11 | 3.0199 × 10−11 | 8.8910 × 10−10 | 2.1540 × 10−6 | 3.1967 × 10−9 | 6.5486 × 10−4 |
| F29 | 3.0199 × 10−11 | 1.7836 × 10−4 | 1.4643 × 10−10 | 3.0199 × 10−11 | 1.4067 × 10−4 | 5.9673 × 10−9 | 1.6132 × 10−10 | 6.1452 × 10−2 | 8.9934 × 10−11 |
| F30 | 1.1737 × 10−9 | 1.4532 × 10−1 | 4.5726 × 10−9 | 3.0199 × 10−11 | 1.3111 × 10−8 | 2.4994 × 10−3 | 3.0199 × 10−11 | 3.0199 × 10−11 | 4.1825 × 10−9 |
| Item | PSO | SO | GTO | DMO | GRO | ED | GKSO | IGWO | DOA |
|---|---|---|---|---|---|---|---|---|---|
| F1 | 3.0199 × 10−11 | 1.6947 × 10−9 | 3.0199 × 10−11 | 3.0199 × 10−11 | 3.0199 × 10−11 | 3.0199 × 10−11 | 3.0199 × 10−11 | 3.0199 × 10−11 | 3.0199 × 10−11 |
| F2 | 2.6099 × 10−10 | 3.0199 × 10−11 | 3.0199 × 10−11 | 3.0199 × 10−11 | 3.0199 × 10−11 | 3.0199 × 10−11 | 3.0199 × 10−11 | 3.0199 × 10−11 | 3.0199 × 10−11 |
| F3 | 1.4532 × 10−1 | 2.6015 × 10−8 | 3.0199 × 10−11 | 3.0199 × 10−11 | 5.5329 × 10−8 | 3.0199 × 10−11 | 3.0199 × 10−11 | 1.7769 × 10−10 | 3.8053 × 10−7 |
| F4 | 1.3250 × 10−4 | 3.0199 × 10−11 | 3.0199 × 10−11 | 3.0199 × 10−11 | 3.0199 × 10−11 | 3.0199 × 10−11 | 6.0971 × 10−3 | 3.0199 × 10−11 | 3.0199 × 10−11 |
| F5 | 2.2658 × 10−3 | 3.0199 × 10−11 | 3.6459 × 10−8 | 3.0199 × 10−11 | 3.1119 × 10−1 | 3.0199 × 10−11 | 3.8053 × 10−7 | 9.7555 × 10−10 | 2.1540 × 10−6 |
| F6 | 3.0199 × 10−11 | 1.8567 × 10−9 | 3.0199 × 10−11 | 3.0199 × 10−11 | 5.7460 × 10−2 | 1.3289 × 10−10 | 3.0199 × 10−11 | 8.1527 × 10−11 | 3.0199 × 10−11 |
| F7 | 1.3111 × 10−8 | 3.3384 × 10−11 | 3.0199 × 10−11 | 3.0199 × 10−11 | 3.0199 × 10−11 | 3.0199 × 10−11 | 3.0199 × 10−11 | 9.2603 × 10−9 | 3.0199 × 10−11 |
| F8 | 1.0702 × 10−9 | 3.0199 × 10−11 | 1.6132 × 10−10 | 3.0199 × 10−11 | 1.8090 × 10−1 | 3.0199 × 10−11 | 1.3289 × 10−10 | 1.6947 × 10−9 | 3.3384 × 10−11 |
| F9 | 3.0199 × 10−11 | 3.6897 × 10−11 | 1.9112 × 10−2 | 3.0199 × 10−11 | 5.9706 × 10−5 | 3.0199 × 10−11 | 6.3560 × 10−5 | 6.2828 × 10−6 | 3.0199 × 10−11 |
| F10 | 9.5873 × 10−1 | 3.0199 × 10−11 | 5.8282 × 10−3 | 3.0199 × 10−11 | 4.1997 × 10−10 | 3.0199 × 10−11 | 1.4532 × 10−1 | 9.0307 × 10−4 | 3.0199 × 10−11 |
| F11 | 2.8716 × 10−10 | 3.0199 × 10−11 | 7.1988 × 10−5 | 3.0199 × 10−11 | 3.0199 × 10−11 | 3.0199 × 10−11 | 3.0199 × 10−11 | 3.5201 × 10−7 | 3.0199 × 10−11 |
| F12 | 6.6689 × 10−3 | 1.8916 × 10−4 | 8.8910 × 10−10 | 3.0199 × 10−11 | 3.0199 × 10−11 | 3.3384 × 10−11 | 3.0199 × 10−11 | 2.3715 × 10−10 | 3.3384 × 10−11 |
| F13 | 1.9568 × 10−10 | 2.0152 × 10−8 | 3.0199 × 10−11 | 3.0199 × 10−11 | 1.5292 × 10−5 | 3.0199 × 10−11 | 5.5727 × 10−10 | 8.8830 × 10−1 | 3.0199 × 10−11 |
| F14 | 9.7555 × 10−10 | 1.8567 × 10−9 | 1.7290 × 10−6 | 3.0199 × 10−11 | 1.6132 × 10−10 | 3.0199 × 10−11 | 9.7555 × 10−10 | 1.4932 × 10−4 | 4.2259 × 10−3 |
| F15 | 3.0199 × 10−11 | 3.0199 × 10−11 | 3.0199 × 10−11 | 3.0199 × 10−11 | 3.0199 × 10−11 | 3.0199 × 10−11 | 3.0199 × 10−11 | 3.0103 × 10−7 | 3.0199 × 10−11 |
| F16 | 9.5873 × 10−1 | 9.4683 × 10−3 | 8.5000 × 10−2 | 3.0199 × 10−11 | 9.7052 × 10−1 | 1.2057 × 10−10 | 7.7272 × 10−2 | 1.8567 × 10−9 | 1.2732 × 10−2 |
| F17 | 1.3732 × 10−1 | 4.0330 × 10−3 | 1.3594 × 10−7 | 3.0199 × 10−11 | 4.9818 × 10−4 | 4.6159 × 10−10 | 1.4932 × 10−4 | 2.6784 × 10−6 | 4.9426 × 10−5 |
| F18 | 1.4643 × 10−10 | 6.7220 × 10−10 | 2.1265 × 10−4 | 3.0199 × 10−11 | 1.4643 × 10−10 | 3.0199 × 10−11 | 8.8910 × 10−10 | 1.0105 × 10−8 | 1.7649 × 10−2 |
| F19 | 3.6897 × 10−11 | 3.0199 × 10−11 | 3.0199 × 10−11 | 3.0199 × 10−11 | 3.0199 × 10−11 | 3.0199 × 10−11 | 3.0199 × 10−11 | 8.1014 × 10−10 | 3.0199 × 10−11 |
| F20 | 6.9522 × 10−1 | 6.0658 × 10−11 | 1.4423 × 10−3 | 3.0199 × 10−11 | 1.3250 × 10−4 | 3.0199 × 10−11 | 2.7086 × 10−2 | 5.5923 × 10−1 | 3.0199 × 10−11 |
| F21 | 3.0199 × 10−11 | 1.8567 × 10−9 | 4.0772 × 10−11 | 3.0199 × 10−11 | 3.6709 × 10−3 | 3.0199 × 10−11 | 3.0199 × 10−11 | 3.0811 × 10−8 | 3.0199 × 10−11 |
| F22 | 2.4327 × 10−5 | 2.1544 × 10−10 | 4.6756 × 10−2 | 3.0199 × 10−11 | 3.8481 × 10−3 | 9.5873 × 10−1 | 1.7294 × 10−7 | 1.4067 × 10−4 | 3.0199 × 10−11 |
| F23 | 3.0199 × 10−11 | 4.8413 × 10−2 | 3.0199 × 10−11 | 3.0199 × 10−11 | 3.0199 × 10−11 | 5.4941 × 10−11 | 3.0199 × 10−11 | 2.5721 × 10−7 | 3.0199 × 10−11 |
| F24 | 3.0199 × 10−11 | 2.9215 × 10−9 | 3.0199 × 10−11 | 3.0199 × 10−11 | 3.0199 × 10−11 | 3.0199 × 10−11 | 3.0199 × 10−11 | 4.9426 × 10−5 | 3.0199 × 10−11 |
| F25 | 1.8567 × 10−9 | 3.0199 × 10−11 | 3.0199 × 10−11 | 3.0199 × 10−11 | 3.0199 × 10−11 | 3.0199 × 10−11 | 1.2732 × 10−2 | 3.0199 × 10−11 | 2.6099 × 10−10 |
| F26 | 1.3853 × 10−6 | 5.7929 × 10−1 | 3.6897 × 10−11 | 4.9752 × 10−11 | 4.1997 × 10−10 | 1.8567 × 10−9 | 4.9752 × 10−11 | 3.8481 × 10−3 | 8.8411 × 10−7 |
| F27 | 4.4592 × 10−4 | 3.0199 × 10−11 | 2.1544 × 10−10 | 3.0199 × 10−11 | 3.0199 × 10−11 | 3.0199 × 10−11 | 3.0199 × 10−11 | 8.6844 × 10−3 | 1.9568 × 10−10 |
| F28 | 3.0199 × 10−11 | 3.0199 × 10−11 | 3.0199 × 10−11 | 3.0199 × 10−11 | 3.0199 × 10−11 | 3.0199 × 10−11 | 5.8282 × 10−3 | 3.0199 × 10−11 | 3.0199 × 10−11 |
| F29 | 1.7769 × 10−10 | 3.1830 × 10−1 | 3.6459 × 10−8 | 3.0199 × 10−11 | 1.8090 × 10−1 | 3.1821 × 10−4 | 5.9673 × 10−9 | 1.1567 × 10−7 | 3.6709 × 10−3 |
| F30 | 1.2870 × 10−9 | 7.3891 × 10−11 | 3.0199 × 10−11 | 8.1527 × 10−11 | 3.9527 × 10−1 | 2.3715 × 10−10 | 1.1058 × 10−4 | 3.0199 × 10−11 | 3.0199 × 10−11 |
| Parameter | Value Range | Value Range |
|---|---|---|
| CPU D | [100, 500] (virtual machines) | [10, 50] (tasks) |
| Memory L | [100, 500] (virtual machines) | [50, 100] (tasks) |
| Resource B | [100, 250] (virtual machines) | [10, 50] (tasks) |
| p | 8 | -- |
| the number of virtual machines | 40 | -- |
| 1/3; 1/3; 1/3 | -- |
Disclaimer/Publisher’s Note: The statements, opinions and data contained in all publications are solely those of the individual author(s) and contributor(s) and not of MDPI and/or the editor(s). MDPI and/or the editor(s) disclaim responsibility for any injury to people or property resulting from any ideas, methods, instructions or products referred to in the content. |
© 2025 by the authors. Licensee MDPI, Basel, Switzerland. This article is an open access article distributed under the terms and conditions of the Creative Commons Attribution (CC BY) license (https://creativecommons.org/licenses/by/4.0/).
Share and Cite
Xu, S.; Zhang, W. An Improved DOA for Global Optimization and Cloud Task Scheduling. Symmetry 2025, 17, 1670. https://doi.org/10.3390/sym17101670
Xu S, Zhang W. An Improved DOA for Global Optimization and Cloud Task Scheduling. Symmetry. 2025; 17(10):1670. https://doi.org/10.3390/sym17101670
Chicago/Turabian StyleXu, Shinan, and Wentao Zhang. 2025. "An Improved DOA for Global Optimization and Cloud Task Scheduling" Symmetry 17, no. 10: 1670. https://doi.org/10.3390/sym17101670
APA StyleXu, S., & Zhang, W. (2025). An Improved DOA for Global Optimization and Cloud Task Scheduling. Symmetry, 17(10), 1670. https://doi.org/10.3390/sym17101670

