Sign in to use this feature.

Years

Between: -

Subjects

remove_circle_outline
remove_circle_outline
remove_circle_outline
remove_circle_outline
remove_circle_outline
remove_circle_outline
remove_circle_outline
remove_circle_outline
remove_circle_outline

Journals

remove_circle_outline
remove_circle_outline
remove_circle_outline
remove_circle_outline

Article Types

Countries / Regions

remove_circle_outline
remove_circle_outline
remove_circle_outline
remove_circle_outline

Search Results (293)

Search Parameters:
Keywords = variable speed operation range

Order results
Result details
Results per page
Select all
Export citation of selected articles as:
29 pages, 5852 KB  
Article
Research on Automatic Power Generation Control and Primary Frequency Regulation Parameter Characteristics of Hydropower Units
by Yingbin Li, Jian Cheng, Lihua Li, Yousong Shi, Dongfeng Zhang, Zhong Yang, Nan Chen and Xueli An
Water 2025, 17(20), 2944; https://doi.org/10.3390/w17202944 (registering DOI) - 13 Oct 2025
Abstract
With the increasing integration of variable renewable energy into power systems, the frequency regulation capability of hydroelectric units has become crucial for ensuring grid stability. In response to grid disturbances, where Primary Frequency Regulation (PFR) and Automatic Generation Control (AGC) are activated sequentially [...] Read more.
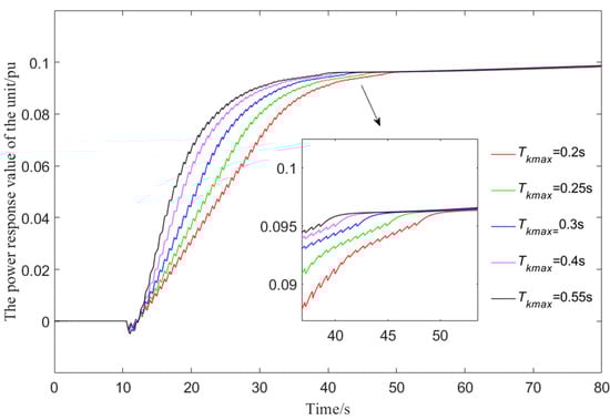
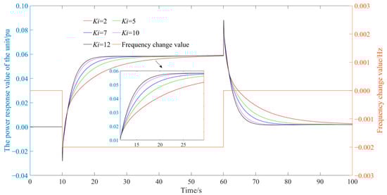
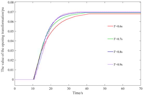
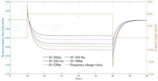
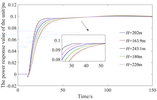
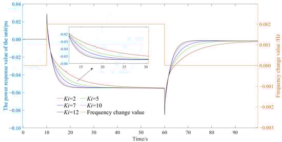
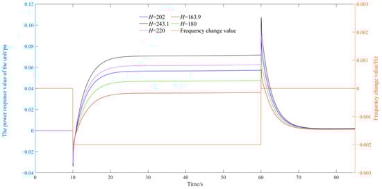
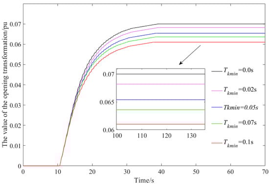
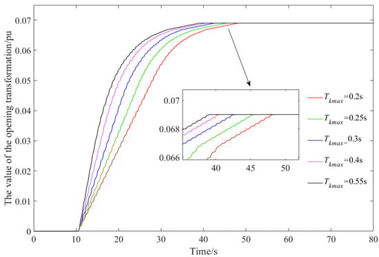
With the increasing integration of variable renewable energy into power systems, the frequency regulation capability of hydroelectric units has become crucial for ensuring grid stability. In response to grid disturbances, where Primary Frequency Regulation (PFR) and Automatic Generation Control (AGC) are activated sequentially in actual operation, this paper employs parameter characteristic analysis to systematically investigate the influence of several factors—including turbine operating head, PWM parameters, and governor parameters—on the active power regulation process of hydroelectric units. The study first compares the response characteristics under different heads and PWM/pulse parameters within the AGC framework. It then examines the effects of pulse duration limits and integral adjustments on guide vane movement and correction efficiency. Finally, under the PFR framework, the impacts of head, steady-state slip coefficient, and integral gain on the amplitude and speed of frequency response are analyzed. Simulation results demonstrate that as the set value of Tkmax increases, the operating range of the guide vane opening within the pulse cycle expands, and the time required for power correction is significantly reduced. Specifically, when Tkmax is increased from 0.2 to 0.55, the regulation time is shortened by 44%. These findings offer theoretical guidance and practical insights for parameter optimization and operational scheduling of hydropower units. Full article
(This article belongs to the Special Issue Research Status of Operation and Management of Hydropower Station)
Show Figures

Figure 1

14 pages, 2100 KB  
Article
Recovery of Copper from Pregnant Leach Solutions of Copper Concentrate Using Aluminum Shavings
by Oscar Joaquín Solís Marcial, Alfonso Nájera-Bastida, Orlando Soriano-Vargas, José Pablo Ruelas Leyva, Alfonso Talavera-López, Horacio Inchaurregui and Roberto Zárate Gutiérrez
Minerals 2025, 15(10), 1048; https://doi.org/10.3390/min15101048 - 2 Oct 2025
Viewed by 248
Abstract
Copper is one of the most used metals today due to its wide range of applications. Traditionally, this metal has been primarily extracted through pyrometallurgical methods, which presents several environmental and energy-related drawbacks. An alternative is hydrometallurgy, which has achieved acceptable copper extraction [...] Read more.
Copper is one of the most used metals today due to its wide range of applications. Traditionally, this metal has been primarily extracted through pyrometallurgical methods, which presents several environmental and energy-related drawbacks. An alternative is hydrometallurgy, which has achieved acceptable copper extraction rates. However, this process has not found widespread industrial application due to operational challenges and the complexity associated with the selective recovery of copper ions from the Pregnant Leach Solution (PLS), especially due to the coexistence of copper and iron ions, complicating the efficient separation of both metals. In this work, the use of aluminum shavings as a cementation agent is proposed, analyzing variables such as the initial shaving concentration (2.5, 5, 10, 15, and 20 g/L), the agitation speed (0, 200, and 400 rpm), and a temperature of 20, 30, and 40 °C. The results demonstrated selective copper cementation, achieving a 100% recovery in 30 min under stirring conditions of 400 rpm. The analysis performed using X-ray Diffraction (XRD) and Scanning Electron Microscopy (SEM) revealed the formation of solid phases such as metallic copper (Cu), aluminum hydroxide [Al(OH)3], and elemental sulfur (S). Additionally, it was observed that the iron ion concentration remained constant throughout the experiment, indicating a high selectivity in the process. The kinetic analysis revealed that the reaction follows a first-order model without stirring. An activation energy of 62.6 kJ/mol was determined within the experimental temperature range of 20–40 °C, confirming that the process fits the chemical reaction model. These findings provide a deeper understanding of the system’s behavior, highlighting its feasibility and potential for industrial-scale applications. Full article
(This article belongs to the Section Mineral Processing and Extractive Metallurgy)
Show Figures

Figure 1

21 pages, 7338 KB  
Article
The Role of TEMPO/NaBr/NaClO in Hemp Fiber Oxidation: Deciphering the Mechanism and Reaction Kinetics
by Lingping Kong, Peiyu Du, Lizhou Pei and Dan Sun
Polymers 2025, 17(19), 2629; https://doi.org/10.3390/polym17192629 - 28 Sep 2025
Viewed by 326
Abstract
In this study, the oxidation of industrial hemp staple fibers by the TEMPO/NaBr/NaClO system was explored by the real-time monitoring of the changes in reaction rate, selective oxidative conversion, and reaction time under different operating conditions such as TEMPO usage, NaBr usage, NaClO [...] Read more.
In this study, the oxidation of industrial hemp staple fibers by the TEMPO/NaBr/NaClO system was explored by the real-time monitoring of the changes in reaction rate, selective oxidative conversion, and reaction time under different operating conditions such as TEMPO usage, NaBr usage, NaClO usage, reaction time, and reaction temperature. We propose a variable-speed competition mechanism between NaClO and TEMPO, which provides experimental support for the long-standing hypothesis that hypochlorite delays acid formation through modulation of the HOCl/OCl and HOBr/OBr equilibrium dynamics. The innovative use of combined analysis for several consecutive first-order reactions to investigate the rate-limiting reactions of TEMPO, TEMPO+, and TEMPOH over a range of concentrations revealed that the reaction that generates TEMPOH is the key rate-limiting reaction. We characterize the apparent oxidation kinetics of industrial hemp staple fiber in the TEMPO/NaBr/NaClO system using a pseudo-first-order kinetic model, revealing distinct apparent reaction rates across both primary and secondary bast fiber regions. This paper explained the difference in reaction rate between the two aspects of microfibril spatial structure and cellulose crystal structure. The single-factor analysis indicates that reaction time and temperature exert the most significant influence on the conversion rate of selective oxidation within this system. Full article
(This article belongs to the Section Biobased and Biodegradable Polymers)
Show Figures

Graphical abstract

23 pages, 5661 KB  
Article
Data-Driven Load Suppression and Platform Motion Optimization for Semi-Submersible Wind Turbines
by Liqing Liao, Qian Huang, Li Wang, Jian Yang, Dongran Song, Sifan Chen and Lingxiang Huang
J. Mar. Sci. Eng. 2025, 13(10), 1839; https://doi.org/10.3390/jmse13101839 - 23 Sep 2025
Viewed by 325
Abstract
To address the issues of large fatigue loads on key components and poor platform motion stability under the coupling effect of wind, waves, and internal excitations in semi-submersible wind turbines, this paper proposes a data-driven load suppression and platform motion optimization method. First, [...] Read more.
To address the issues of large fatigue loads on key components and poor platform motion stability under the coupling effect of wind, waves, and internal excitations in semi-submersible wind turbines, this paper proposes a data-driven load suppression and platform motion optimization method. First, the NREL 5 MW OC4 semi-submersible wind turbine is used as the research object. Wind-wave environment and aeroelastic simulation models are constructed based on TurbSim and OpenFAST. The rainflow counting method and Palmgren–Miner rule are applied to calculate the damage equivalent load (DEL) of key components, and the platform’s maximum horizontal displacement (Smax) is defined to represent the motion range. Secondly, a systematic analysis is conducted to examine the effects of servo control variables such as generator speed, yaw angle, and active power on the DELs of the blade root, tower base, drivetrain, mooring cables, and platform Smax. It is found that the generator speed and the yaw angle have significant impacts, with the DELs of the blade root and drivetrain showing a strong positive correlation with Smax. On this basis, a fatigue load model based on random forests is established. A multi-objective optimization framework is built using the NSGA-II algorithm, with the objectives of minimizing the total DEL of key components and Smax, thereby optimizing the servo control parameters. Case studies based on actual marine environmental data from the East China Sea show that, compared to the baseline configuration (a typical unoptimized control strategy), the optimization results lead to a maximum reduction of 14.1% in the total DEL of key components and a maximum reduction of 16.95% in Smax. The study verifies the effectiveness of data-driven modeling and multi-objective optimization for coordinated control, providing technical support for improving the structural safety and operational stability of semi-submersible wind turbines. Full article
(This article belongs to the Special Issue Cutting-Edge Technologies in Offshore Wind Energy)
Show Figures

Figure 1

36 pages, 6566 KB  
Article
Algorithmic Optimal Control of Screw Compressors for Energy-Efficient Operation in Smart Power Systems
by Kassym Yelemessov, Dinara Baskanbayeva, Leyla Sabirova, Nikita V. Martyushev, Boris V. Malozyomov, Tatayeva Zhanar and Vladimir I. Golik
Algorithms 2025, 18(9), 583; https://doi.org/10.3390/a18090583 - 14 Sep 2025
Viewed by 694
Abstract
This work presents the results of a research study focused on the development and evaluation of an algorithmic optimal control framework for energy-efficient operation of screw compressors in smart power systems. The proposed approach is based on the Pontryagin maximum principle (PMP), which [...] Read more.
This work presents the results of a research study focused on the development and evaluation of an algorithmic optimal control framework for energy-efficient operation of screw compressors in smart power systems. The proposed approach is based on the Pontryagin maximum principle (PMP), which enables the synthesis of a mathematically grounded regulator that minimizes the total energy consumption of a nonlinear electromechanical system composed of a screw compressor and a variable-frequency induction motor. Unlike conventional PID controllers, the developed algorithm explicitly incorporates system constraints, nonlinear dynamics, and performance trade-offs into the control law, allowing for improved adaptability and energy-aware operation. Simulation results obtained using MATLAB/Simulink confirm that the PMP-based regulator outperforms classical PID solutions in both transient and steady-state regimes. Experimental tests conducted in accordance with standard energy consumption evaluation methods showed that the proposed PMP-based controller provides a reduction in specific energy consumption of up to 18% under dynamic load conditions compared to a well-tuned basic PID controller, while maintaining high control accuracy, faster settling, and complete suppression of overshoot under external disturbances. The control system demonstrates robustness to parametric uncertainty and load variability, maintaining a statistical pressure error below 0.2%. The regulator’s structure is compatible with real-time execution on industrial programmable logic controllers (PLCs), supporting integration into intelligent automation systems and smart grid infrastructures. The discrete-time PLC implementation of the regulator requires only 103 arithmetic operations per cycle and less than 102 kB of RAM for state, buffers, and logging, making it suitable for mid-range industrial controllers under 2–10 ms task cycles. Fault-tolerance is ensured via range and rate-of-change checks, residual-based plausibility tests, and safe fallbacks (baseline PID or torque-limited speed hold) in case of sensor faults. Furthermore, the proposed approach lays the groundwork for hybrid extensions combining model-based control with AI-driven optimization and learning mechanisms, including reinforcement learning, surrogate modeling, and digital twins. These enhancements open pathways toward predictive, self-adaptive compressor control with embedded energy optimization. The research outcomes contribute to the broader field of algorithmic control in power electronics, offering a scalable and analytically justified alternative to heuristic and empirical tuning approaches commonly used in industry. The results highlight the potential of advanced control algorithms to enhance the efficiency, stability, and intelligence of energy-intensive components within the context of Industry 4.0 and sustainable energy systems. Full article
(This article belongs to the Special Issue AI-Driven Control and Optimization in Power Electronics)
Show Figures

Figure 1

29 pages, 7047 KB  
Article
Performance Optimization of Savonius VAWTs Using Wind Accelerator and Guiding Rotor House for Enhanced Rooftop Urban Energy Harvesting
by Farzad Ghafoorian, Seyed Reza Mirmotahari, Shayan Farajyar, Mehdi Mehrpooya and Mahmood Shafiee
Machines 2025, 13(9), 838; https://doi.org/10.3390/machines13090838 - 10 Sep 2025
Viewed by 570
Abstract
Savonius drag-based rotors, a type of vertical-axis wind turbine (VAWT), are well-suited for urban environments—particularly residential rooftops—owing to their compact design and ability to capture wind from all directions. However, their relatively low efficiency and narrow operational range pose significant challenges, such as [...] Read more.
Savonius drag-based rotors, a type of vertical-axis wind turbine (VAWT), are well-suited for urban environments—particularly residential rooftops—owing to their compact design and ability to capture wind from all directions. However, their relatively low efficiency and narrow operational range pose significant challenges, such as limited energy output under variable wind conditions and reduced performance across a broad range of tip speed ratios. To address these issues, this study explores flow augmentation using strategically placed deflectors, referred to as Wind Accelerators and Guiding Rotor Houses (WAG-RHs). Four different configurations, including double, triple, oblique, and straight designs, were evaluated against both omni-directional guide vanes (ODGVs) and a conventional rotor. The findings show that the ODGV configuration successfully extends the operational range from a tip speed ratio of 0.5 to 0.6—termed the extended performance point (EPP)—and increases the power coefficient (Cp) by up to 300% compared to the conventional design. Among all setups, the straight WAG-RH configuration proved most effective, not only achieving the EPP but also delivering a 385% and 264.3% increase in local and AVE Cp values, respectively compared to the conventional rotor. It also outperformed the ODGV-equipped rotor by 25%, thanks to its radial and dual-plane arrangement. Full article
Show Figures

Figure 1

14 pages, 4531 KB  
Article
A Permanent Magnet Synchronous Machine with Mechanically Controlled Excitation Flux
by Piotr Paplicki
Energies 2025, 18(17), 4781; https://doi.org/10.3390/en18174781 - 8 Sep 2025
Viewed by 488
Abstract
This paper presents the initial design of a permanent magnet synchronous machine with mechanically controlled excitation flux using the linear sliding motion of an additional excitation source placed inside a hollow shaft in the rotor. A new rotor design concept and assembling method [...] Read more.
This paper presents the initial design of a permanent magnet synchronous machine with mechanically controlled excitation flux using the linear sliding motion of an additional excitation source placed inside a hollow shaft in the rotor. A new rotor design concept and assembling method are described and presented in detail. On the basis of 3D-FE analysis results, the principle of adjusting reluctance, magnetic flux distribution, flux linkage, field weakening rate, no-load back EMF waveforms, electromagnetic torque, magnetic tension, and the effectiveness of the excitation adjustment of the presented machine design are discussed. The presented machine concept enables the design of permanent magnet excited machines with a good flux control range operating in changing load conditions under variable rotor speed. Full article
Show Figures

Figure 1

25 pages, 8561 KB  
Article
CFD-Driven Enhancement for Supersonic Aircraft Variable Geometry Inlet
by Abdullah Ezzeldin and Zhenlong Wu
Appl. Sci. 2025, 15(17), 9825; https://doi.org/10.3390/app15179825 - 8 Sep 2025
Viewed by 602
Abstract
High-speed propulsion systems require supersonic inlets for operation; however, these inlets lose efficiency when the flight speed range is wide. Fixed-geometry inlets designed for particular conditions encounter operational difficulties when running at supercritical speeds, including shockwave instabilities and pressure reduction, limiting their operational [...] Read more.
High-speed propulsion systems require supersonic inlets for operation; however, these inlets lose efficiency when the flight speed range is wide. Fixed-geometry inlets designed for particular conditions encounter operational difficulties when running at supercritical speeds, including shockwave instabilities and pressure reduction, limiting their operational speed and altitude range. Increasing inlet flexibility is a critical requirement for aerospace systems that need multivariable propulsion capabilities for civilian and military operations. This study, based on a supersonic inlet whose design flight Mach number is 2.2, determines its operational performance when operating at a speed of Mach 3 and then investigates modifications for expanding its operational boundaries with variable geometry components. This study used computational fluid dynamics in ANSYS Fluent with the k-ω SST turbulence model for airflow analysis. The methodology starts with Mach 2.2 baseline validation before proceeding to the Mach 3 investigation at different upward cowl-lip deflection angles ranging from 5° to 16°. This study conducted tests with a bleed slot and a 6 mm semi-conical bump to practically diminish unstart occurrences and treatment of shock–boundary-layer interactions. The results showed that a lip deflection angle of 15° upward delivers maximum operational efficiency on Mach 3 in terms of compression efficiency, flow deceleration, and flow uniformity at the inlet exit, as it generates an exit Mach number of 1.9, identical to that of the unmodified baseline operating at Mach 2.2, while a 5° deflection upward has shown the best values for total pressure recovery. Bleed slot implementation with the bump shape decreased unstart effects at a backpressure 30 times bigger than ambient pressure and produced stable flow despite a total pressure recovery drop of 8.5%. At Mach 3, with 15 km altitude, these modifications allow the system to operate with similar effectiveness as the baseline design at lower speeds. This study introduces a method for modifying a fixed-geometry inlet and extending its limitations, offering a pathway for adaptable supersonic inlets. The findings contribute to propulsion systems design by introducing a simple method for applying geometrical variations with less mechanical complexity compared to traditional variable geometry inlets. They change the entire throat area, supporting the design of supersonic vehicles and sustainable supersonic travel. Full article
Show Figures

Figure 1

18 pages, 6260 KB  
Article
Operational Mechanisms and Energy Analysis of Variable-Speed Pumping Stations
by Yan Li, Jilong Lin, Yonggang Lu, Zhiwang Liu, Litao Qu, Fanxiao Jiao, Zhengwei Wang and Qingchang Meng
Water 2025, 17(17), 2620; https://doi.org/10.3390/w17172620 - 4 Sep 2025
Viewed by 963
Abstract
The spatiotemporal uneven distribution of water resources conflicts sharply with human demands, with pumping stations facing efficiency decline due to aging infrastructure and complex hydraulic interactions. This study employs numerical simulation to investigate operational mechanisms in a parallel pump system at the Yanhuanding [...] Read more.
The spatiotemporal uneven distribution of water resources conflicts sharply with human demands, with pumping stations facing efficiency decline due to aging infrastructure and complex hydraulic interactions. This study employs numerical simulation to investigate operational mechanisms in a parallel pump system at the Yanhuanding Yanghuang Cascade Pumping Station. Using ANSYS Fluent 2024 R1 and the SST k-ω turbulence model, we demonstrate that variable-speed control expands the adjustable flow range to 1.17–1.26 m3/s while maintaining system efficiency at 83–84% under head differences of 77.8–79.8 m. Critically, energy losses (δH) at the 90° outlet pipe junction escalate from 3.8% to 18.2% of total energy with increasing flow, while Q-criterion vortex analysis reveals a 63% vortex area reduction at lower speeds. Furthermore, a dual-mode energy dissipation mechanism was identified: at 0.90n0 speed, turbulent kinetic energy surges by 115% with minimal dissipation change, indicating large-scale vortex dominance, whereas at 0.80n0, turbulent dissipation rate increases drastically by 39%, signifying a shift to small-scale viscous dissipation. The novelty of this work lies in the first systematic quantification of junction energy losses and the revelation of turbulent energy transformation mechanisms in parallel pump systems. These findings provide a physics-based foundation for optimizing energy efficiency in high-lift cascade pumping stations. Full article
(This article belongs to the Section Hydraulics and Hydrodynamics)
Show Figures

Figure 1

17 pages, 2827 KB  
Article
Empirical Research to Design Rule-Based Strategy Control with Energy Consumption Minimization Strategy of Energy Management Systems in Hybrid Electric Propulsion Systems
by Seongwan Kim and Hyeonmin Jeon
J. Mar. Sci. Eng. 2025, 13(9), 1695; https://doi.org/10.3390/jmse13091695 - 2 Sep 2025
Viewed by 522
Abstract
Equivalent energy consumption minimization methods of energy management systems have been implemented as a rule-based strategy to enhance electric propulsion system efficiency. This study compares the efficiencies of different systems by applying variable- and constant-speed generators with battery hybrid systems, measuring fuel consumption. [...] Read more.
Equivalent energy consumption minimization methods of energy management systems have been implemented as a rule-based strategy to enhance electric propulsion system efficiency. This study compares the efficiencies of different systems by applying variable- and constant-speed generators with battery hybrid systems, measuring fuel consumption. In the same scenario, the variable-speed operation showed a notable improvement of 10.36% compared to the conventional system. However, in the verification of hybrid system efficiency, onshore charged energy cannot be considered a reduction in fuel consumption. Instead, when converting onshore energy usage into equivalent fuel consumption for comparative analysis, both hybrid constant- and variable-speed operation modes achieved efficiency enhancements ranging from 5.5% to 9.79% compared to the conventional, nonequivalent constant-speed operation mode. Conversely, the nonequivalent variable-speed operation mode demonstrated an efficiency that was 5.41% higher than that of the hybrid constant-speed operation mode. In contrast, the battery-integrated variable-speed operation mode indicated a system efficiency approximately equal to that of the nonequivalent variable-speed operation mode. For vessels with load profiles characterized by prolonged periods of idling or low-load operations, a battery-integrated hybrid system could be a practical solution. This study demonstrates the necessity of analyzing load profiles, even when aiming for the optimal operational set points of the generator engine. Full article
Show Figures

Figure 1

17 pages, 2803 KB  
Article
Analysis of Moving Work Vehicles on Traffic Flow in City Tunnel
by Song Fang, Wenting Lu, Jianxiao Ma and Linghong Shen
World Electr. Veh. J. 2025, 16(9), 491; https://doi.org/10.3390/wevj16090491 - 1 Sep 2025
Viewed by 519
Abstract
Within urban tunnels, the lane boundary lines are typically solid, thereby prohibiting lane changes and overtaking. The establishment of a mobile operation zone in the slow lane can pose significant driving safety hazards not only to the slow lane within the tunnel but [...] Read more.
Within urban tunnels, the lane boundary lines are typically solid, thereby prohibiting lane changes and overtaking. The establishment of a mobile operation zone in the slow lane can pose significant driving safety hazards not only to the slow lane within the tunnel but also to the middle and overtaking lanes at the tunnel exit. This article adopts the method of simulation of the establishment of an urban expressway three-lane VISSIM model, and selects the road traffic volume and speed of moving work zone as the independent variable parameters. Then, the influence range of a low-speed vehicle on the rear vehicles in the middle lane and slow lane and the traffic risk caused by a low-speed vehicle are analyzed. The results show that, irrespective of the variations in traffic volume and moving operation zone speed, the traffic flow within a 150 m range after the tunnel section was significantly influenced. This was because queuing and congested vehicles from the slow lane exited the tunnel, causing vehicles to change lanes and overtake in a concentrated manner. The moving operation zone has a substantial impact on the traffic flow in the slow lane. Under different moving operation zone speed conditions, the speed change trend of the following vehicles is consistent. When the moving operation zone speed was 5 km/h and the traffic volume exceeded 1200 pcu/h, the traffic flow behind the operation zone was directly affected, and within an observable longitudinal distance of 500 m, this impact did not dissipate. The research results can provide a scientific basis for the operation and management of urban tunnel low-speed vehicles. Full article
(This article belongs to the Special Issue Vehicle Safe Motion in Mixed Vehicle Technologies Environment)
Show Figures

Figure 1

30 pages, 9870 KB  
Article
Advancing Darcy Flow Modeling: Comparing Numerical and Deep Learning Techniques
by Gintaras Stankevičius, Kamilis Jonkus and Mayur Pal
Processes 2025, 13(9), 2754; https://doi.org/10.3390/pr13092754 - 28 Aug 2025
Viewed by 786
Abstract
In many scientific and engineering fields, such as hydrogeology, petroleum engineering, geotechnical research, and developing renewable energy solutions, fluid flow modeling in porous media is essential. In these areas, optimizing extraction techniques, forecasting environmental effects, and guaranteeing structural safety all depend on an [...] Read more.
In many scientific and engineering fields, such as hydrogeology, petroleum engineering, geotechnical research, and developing renewable energy solutions, fluid flow modeling in porous media is essential. In these areas, optimizing extraction techniques, forecasting environmental effects, and guaranteeing structural safety all depend on an understanding of the behavior of single-phase flows—fluids passing through connected pore spaces in rocks or soils. Darcy’s law, which results in an elliptic partial differential equation controlling the pressure field, is usually the mathematical basis for such modeling. Analytical solutions to these partial differential equations are seldom accessible due to the complexity and variability in natural porous formations, which makes the employment of numerical techniques necessary. To approximate subsurface flow solutions, traditional methods like the finite difference method, two-point flux approximation, and multi-point flux approximation have been employed extensively. Accuracy, stability, and computing economy are trade-offs for each, though. Deep learning techniques, in particular convolutional neural networks, physics-informed neural networks, and neural operators such as the Fourier neural operator, have become strong substitutes or enhancers of conventional solvers in recent years. These models have the potential to generalize across various permeability configurations and greatly speed up simulations. The purpose of this study is to examine and contrast the mentioned deep learning and numerical approaches to the problem of pressure distribution in single-phase Darcy flow, considering a 2D domain with mixed boundary conditions, localized sources, and sinks, and both homogeneous and heterogeneous permeability fields. The result of this study shows that the two-point flux approximation method is one of the best regarding computational speed and accuracy and the Fourier neural operator has potential to speed up more accurate methods like multi-point flux approximation. Different permeability field types only impacted each methods’ accuracy while computational time remained unchanged. This work aims to illustrate the advantages and disadvantages of each method and support the continuous development of effective solutions for porous medium flow problems by assessing solution accuracy and computing performance over a range of permeability situations. Full article
Show Figures

Figure 1

22 pages, 5889 KB  
Article
Analysis of Influencing Factors on the Feasible Operating Range of a Triple-Bypass Adaptive Variable Cycle Engine Compression System
by Xianjun Yu, Dongbo Hao, Ruoyu Wang, Songlin Miao and Baojie Liu
Aerospace 2025, 12(9), 775; https://doi.org/10.3390/aerospace12090775 - 28 Aug 2025
Viewed by 385
Abstract
The operation range of the adaptive cycle engine (ACE) compression system is constrained by both the compression components and the bypass ducts, resulting in intricate matching mechanisms. Conventional analysis methods struggle to adequately evaluate the feasible operating range or the coupled constraints between [...] Read more.
The operation range of the adaptive cycle engine (ACE) compression system is constrained by both the compression components and the bypass ducts, resulting in intricate matching mechanisms. Conventional analysis methods struggle to adequately evaluate the feasible operating range or the coupled constraints between components. This study employs an integrated hybrid-dimensional approach, combining zero-dimensional bypass analysis with one-dimensional/quasi-two-dimensional component analysis, to systematically investigate the matching effects of a triple-bypass compression system. The influence of key matching parameters, including the compression component operating points, high-pressure (HP) and low-pressure (LP) shaft speeds, and the core-driven fan stage (CDFS) variable inlet guide vane (VIGV) angles, is investigated. Results indicate that compression component matching primarily influences adjacent downstream bypass ratios, while HP/LP shaft speeds and the CDFS VIGV angle predominantly regulate the first and second bypass ratios. The feasible operating envelope is determined by the superimposed effects of these control parameters. To maximize the total bypass ratio, optimal operation requires increasing the front fan stall margin, elevating LP shaft speed, reducing HP shaft speed, and implementing partial CDFS VIGV closure to enhance pre-swirl. These findings provide critical guidance for control logic refinement and design optimization in advanced variable-cycle compression systems. Full article
(This article belongs to the Section Aeronautics)
Show Figures

Figure 1

17 pages, 3057 KB  
Article
Torque Capability Enhancement of Interior Permanent Magnet Motors Using Filleting and Notching Stator
by Supanat Chamchuen, Kantapat Tonchua, Kunasin Khonongbua, Jonggrist Jongudomkarn, Apirat Siritaratiwat, Pirat Khunkitti and Pattasad Seangwong
World Electr. Veh. J. 2025, 16(9), 488; https://doi.org/10.3390/wevj16090488 - 26 Aug 2025
Viewed by 622
Abstract
Interior permanent magnet (IPM) synchronous motors have gained widespread adoption in electric vehicles (EVs) owing to their durable rotor configurations, expansive operational speed range, and superior efficiency. Nonetheless, typical IPM motor designs frequently exhibit high torque ripple and constrained torque density. To address [...] Read more.
Interior permanent magnet (IPM) synchronous motors have gained widespread adoption in electric vehicles (EVs) owing to their durable rotor configurations, expansive operational speed range, and superior efficiency. Nonetheless, typical IPM motor designs frequently exhibit high torque ripple and constrained torque density. To address these issues, a torque enhancement method is introduced by applying both filleting and notching techniques to the stator core. These techniques help reshape the magnetic field directly at the stator, allowing for more precise control of torque production and torque ripple reduction while keeping the rotor structure unchanged. Design variables of the stator in a 12-slot/8-pole fractional-slot V-shaped IPM motor are optimized using a multi-objective genetic algorithm based on a sensitivity constraint for unidirectional operation. The electromagnetic performance of the motor is analyzed through 2D finite element simulations for both no-load and loaded scenarios. The proposed motor increases average torque by 2.45% and significantly reduces torque ripple by 47.73% compared to the conventional motor. These reflect a significant advancement in torque capability. Furthermore, the efficiency of the proposed motor reaches 93.8%. The findings suggest the potential of the proposed filleting and notching techniques for torque capability improvement in EV applications. Full article
Show Figures

Figure 1

19 pages, 4287 KB  
Article
Steady-State Reactive Power Capability Analysis of Doubly-Fed Variable Speed Pumped Storage Unit Considering the Unit’s Operating Characteristics
by Bo Yi, Zheyuan Zhang, Chuang Dong, Chunyang Gao, Sijia Sun, Jiawei Gu and Qiming Yan
Water 2025, 17(17), 2519; https://doi.org/10.3390/w17172519 - 24 Aug 2025
Viewed by 841
Abstract
Based on the actual data of a 300 MW doubly-fed variable speed pumped storage units (DFVSPSUs) in China, the reactive power characteristics of both the stator side and the grid-side converter are analyzed, and the reactive power regulation capability of the unit is [...] Read more.
Based on the actual data of a 300 MW doubly-fed variable speed pumped storage units (DFVSPSUs) in China, the reactive power characteristics of both the stator side and the grid-side converter are analyzed, and the reactive power regulation capability of the unit is discussed. First, the power coupling relationship is analyzed, demonstrating that the reactive power-regulation capability is jointly composed of the stator side and the grid-side converter, without direct coupling between them. Next, we determine the doubly-fed induction generator (DFIG) capacity, explaining that the capacity of the DFIG exceeds the rated capacity of the unit. Then, we note that the stator-side reactive power regulation capability is limited by prime mover power, stator current, and rotor current, while the grid-side converter regulation capability is influenced by converter capacity and rotor-side real power. Furthermore, the stator-side, grid-side converter and total reactive power-regulation capabilities of the unit under different water heads and real power conditions are determined. The results demonstrate that fully considering the grid-side converter can increase the unit’s reactive power regulation capability by 12% to 26%. Finally, by comparing the reactive power operating ranges of fixed-speed and variable-speed units, the reactive power advantages of the variable-speed unit are quantified. Full article
Show Figures

Figure 1

Back to TopTop