Sign in to use this feature.

Years

Between: -

Subjects

remove_circle_outline
remove_circle_outline
remove_circle_outline
remove_circle_outline
remove_circle_outline
remove_circle_outline
remove_circle_outline
remove_circle_outline
remove_circle_outline

Journals

remove_circle_outline
remove_circle_outline
remove_circle_outline
remove_circle_outline
remove_circle_outline
remove_circle_outline
remove_circle_outline

Article Types

Countries / Regions

remove_circle_outline
remove_circle_outline
remove_circle_outline
remove_circle_outline
remove_circle_outline
remove_circle_outline
remove_circle_outline

Search Results (2,124)

Search Parameters:
Keywords = variable renewable energy

Order results
Result details
Results per page
Select all
Export citation of selected articles as:
44 pages, 9238 KB  
Article
SZOA: An Improved Synergistic Zebra Optimization Algorithm for Microgrid Scheduling and Management
by Lihong Cao and Qi Wei
Biomimetics 2025, 10(10), 664; https://doi.org/10.3390/biomimetics10100664 - 1 Oct 2025
Abstract
To address the challenge of coordinating economic cost control and low-carbon objectives in microgrid scheduling, while overcoming the performance limitations of the traditional Zebra Optimization Algorithm (ZOA) in complex problems, this paper proposes a Synergistic Zebra Optimization Algorithm (SZOA) and integrates it with [...] Read more.
To address the challenge of coordinating economic cost control and low-carbon objectives in microgrid scheduling, while overcoming the performance limitations of the traditional Zebra Optimization Algorithm (ZOA) in complex problems, this paper proposes a Synergistic Zebra Optimization Algorithm (SZOA) and integrates it with innovative management concepts to enhance the microgrid scheduling process. The SZOA incorporates three core strategies: a multi-population cooperative search mechanism to strengthen global exploration, a vertical crossover–mutation strategy to meet high-dimensional scheduling requirements, and a leader-guided boundary control strategy to ensure variable feasibility. These strategies not only improve algorithmic performance but also provide technical support for innovative management in microgrid scheduling. Extensive experiments on the CEC2017 (d = 30) and CEC2022 (d = 10, 20) benchmark sets demonstrate that the SZOA achieves higher optimization accuracy and stability compared with those of nine state-of-the-art algorithms, including IAGWO and EWOA. Friedman tests further confirm its superiority, with the best average rankings of 1.20 for CEC2017 and 1.08/1.25 for CEC2022 (d = 10, 20). To validate practical applicability, the SZOA is applied to grid-connected microgrid scheduling, where the system model integrates renewable energy sources such as photovoltaic (PV) generation and wind turbines (WT); controllable sources including fuel cells (FC), microturbines (MT), and gas engines (GS); a battery (BT) storage unit; and the main grid. The optimization problem is formulated as a bi-objective model minimizing both economic costs—including fuel, operation, pollutant treatment, main-grid interactions, and imbalance penalties—and carbon emissions, subject to constraints on generation limits and storage state-of-charge safety ranges. Simulation results based on typical daily data from Guangdong, China, show that the optimized microgrid achieves a minimum operating cost of USD 5165.96, an average cost of USD 6853.07, and a standard deviation of only USD 448.53, consistently outperforming all comparison algorithms across economic indicators. Meanwhile, the SZOA dynamically coordinates power outputs: during the daytime, it maximizes PV utilization (with peak output near 35 kW) and WT contribution (30–40 kW), while reducing reliance on fossil-based units such as FC and MT; at night, BT discharges (−20 to −30 kW) to cover load deficits, thereby lowering fossil fuel consumption and pollutant emissions. Overall, the SZOA effectively realizes the synergy of “economic efficiency and low-carbon operation”, offering a reliable and practical technical solution for innovative management and sustainable operation of microgrid scheduling. Full article
Show Figures

Figure 1

37 pages, 905 KB  
Review
Application of Fuzzy Logic Techniques in Solar Energy Systems: A Review
by Siviwe Maqekeni, KeChrist Obileke, Odilo Ndiweni and Patrick Mukumba
Appl. Syst. Innov. 2025, 8(5), 144; https://doi.org/10.3390/asi8050144 - 30 Sep 2025
Abstract
Fuzzy logic has been applied to a wide range of problems, including process control, object recognition, image and signal processing, prediction, classification, decision-making, optimization, and time series analysis. These apply to solar energy systems. Though experts in renewable energy prefer fuzzy logic techniques, [...] Read more.
Fuzzy logic has been applied to a wide range of problems, including process control, object recognition, image and signal processing, prediction, classification, decision-making, optimization, and time series analysis. These apply to solar energy systems. Though experts in renewable energy prefer fuzzy logic techniques, their contribution to the decision-making process of solar energy systems lies in the possibility of illustrating risk factors and introducing the concepts of linguistic variables of data from solar energy applications. In solar energy systems, the primary beneficiaries and audience of the fuzzy logic techniques are solar energy policy makers, as it concerns decision-making models, ranking of criteria or weights, and assessment of the potential location of the installation of solar energy plants, depending on the case. In a real-world scenario, fuzzy logic allows easy and efficient controller configuration in a non-linear control system, such as a solar panel. This study attempts to review the role and contribution of fuzzy logic in solar energy based on its applications. The findings from the review revealed that the fuzzy logic application identifies and detects faults in solar energy systems as well as in the optimization of energy output and the location of solar energy plants. In addition, fuzzy model (predicting), hybrid model (simulating performance), and multi-criteria decision-making (MCDM) are components of fuzzy logic techniques. As the review indicated, these are useful as a solution to the challenges of solar energy systems. Importantly, the integration and incorporation of fuzzy logic and neural networks should be recommended for the efficient and effective performance of solar energy systems. Full article
Show Figures

Figure 1

25 pages, 3408 KB  
Article
A Dual-Layer Optimal Operation of Multi-Energy Complementary System Considering the Minimum Inertia Constraint
by Houjian Zhan, Yiming Qin, Xiaoping Xiong, Huanxing Qi, Jiaqiu Hu, Jian Tang and Xiaokun Han
Energies 2025, 18(19), 5202; https://doi.org/10.3390/en18195202 - 30 Sep 2025
Abstract
The large-scale utilization of wind and solar energy is crucial for achieving carbon neutrality targets. However, as extensive wind and solar power generation is integrated via power electronic devices, the inertia level of power systems continues to decline. This leads to a significant [...] Read more.
The large-scale utilization of wind and solar energy is crucial for achieving carbon neutrality targets. However, as extensive wind and solar power generation is integrated via power electronic devices, the inertia level of power systems continues to decline. This leads to a significant reduction in the system’s frequency regulation capability, posing a serious threat to frequency stability. Optimizing the system is an essential measure to ensure its safe and stable operation. Traditional optimization approaches, which separately optimize transmission and distribution systems, may fail to adequately account for the variability and uncertainty of renewable energy sources, as well as the impact of inertia changes on system stability. Therefore, this paper proposes a two-layer optimization method aimed at simultaneously optimizing the operation of transmission and distribution systems while satisfying minimum inertia constraints. The upper-layer model comprehensively optimizes the operational costs of wind, solar, and thermal power systems under the minimum inertia requirement constraint. It considers the operational costs of energy storage, virtual inertia costs, and renewable energy curtailment costs to determine the total thermal power generation, energy storage charge/discharge power, and the proportion of renewable energy grid connection. The lower-layer model optimizes the spatiotemporal distribution of energy storage units within the distribution network, aiming to minimize total network losses and further reduce system operational costs. Through simulation analysis and computational verification using typical daily scenarios, this model enhances the disturbance resilience of the transmission network layer while reducing power losses in the distribution network layer. Building upon this optimization strategy, the model employs multi-scenario stochastic optimization to simulate the variability of wind, solar, and load, addressing uncertainties and correlations within the system. Case studies demonstrate that the proposed model not only effectively increases the integration rate of new energy sources but also enables timely responses to real-time system demands and fluctuations. Full article
Show Figures

Figure 1

35 pages, 4858 KB  
Article
An Algae Cultivator Coupled with a Hybrid Photosynthetic–Air-Cathode Microbial Fuel Cell with Ceramic Membrane Interface
by Chikashi Sato, Ghazaleh Alikaram, Oluwafemi Oladipupo Kolajo, John Dudgeon, Rebecca Hazard, Wilgince Apollon and Sathish-Kumar Kamaraj
Membranes 2025, 15(10), 295; https://doi.org/10.3390/membranes15100295 - 30 Sep 2025
Abstract
Microalgae are promising candidates for renewable biofuel production and nutrient-rich animal feed. Cultivating microalgae using wastewater can lower production costs but often results in biomass contamination and increases downstream processing requirements. This study presents a novel system that integrates an algae cultivator (AC) [...] Read more.
Microalgae are promising candidates for renewable biofuel production and nutrient-rich animal feed. Cultivating microalgae using wastewater can lower production costs but often results in biomass contamination and increases downstream processing requirements. This study presents a novel system that integrates an algae cultivator (AC) with a single-chamber microbial fuel cell (MFC) equipped with photosynthetic and air-cathode functionalities, separated by a ceramic membrane. The system enables the generation of electricity and production of clean microalgae biomass concurrently, in both light and dark conditions, utilizing wastewater as a nutrient source and renewable energy. The MFC chamber was filled with simulated potato processing wastewater, while the AC chamber contained microalgae Chlorella vulgaris in a growth medium. The ceramic membrane allowed nutrient diffusion while preventing direct contact between algae and wastewater. This design effectively supported algal growth and produced uncontaminated, harvestable biomass. At the same time, larger particulates and undesirable substances were retained in the MFC. The system can be operated with synergy between the MFC and AC systems, reducing operational and pretreatment costs. Overall, this hybrid design highlights a sustainable pathway for integrating electricity generation, nutrient recovery, and algae-based biofuel feedstock production, with improved economic feasibility due to high-quality biomass cultivation and the ability to operate continuously under variable lighting conditions. Full article
(This article belongs to the Special Issue Design, Synthesis, and Application of Inorganic Membranes)
Show Figures

Figure 1

13 pages, 2001 KB  
Article
Effect of Geothermal Heating on Deep-Water Temperature in Lake Baikal
by Bair O. Tsydenov
Hydrology 2025, 12(10), 256; https://doi.org/10.3390/hydrology12100256 - 30 Sep 2025
Abstract
Geothermal heating that emanates from the interior of the Earth, including the Baikal Rift Zone, produces potential energy for water movement. The basic concept behind the mechanism of deep-water renewal in Lake Baikal is conditional instability, which is a consequence of the joint [...] Read more.
Geothermal heating that emanates from the interior of the Earth, including the Baikal Rift Zone, produces potential energy for water movement. The basic concept behind the mechanism of deep-water renewal in Lake Baikal is conditional instability, which is a consequence of the joint effects of temperature and pressure on water density. However, an exact trigger of this instability is unknown. In this study, based on a non-hydrostatic 2.5D numerical model taking into account the intraday variability of atmospheric conditions, it was shown that, due to geothermal heating, the water column near the lake bed becomes slightly warmer (0.1–0.2 °C) than ambient waters, which can lead to instability. Simulated temperature distributions showed that 3.4 °C waters gradually shifted along the bed slope to ~650 m on day 1, ~750 m on day 3, ~830 m on day 5, and >1200 m on day 10 in the presence of geothermal heat flux; however, in its absence these waters remained at the level of ~600 m. In view of these findings, a conceptual model of deep convection and a map with potential zones of high ventilation processes in Lake Baikal are proposed. According to the map developed, deep-water renewal is expected to be the most intense at the eastern shore of Lake Baikal because of abnormally high heat release. Full article
(This article belongs to the Section Hydrological and Hydrodynamic Processes and Modelling)
Show Figures

Figure 1

24 pages, 1354 KB  
Article
The Impact of Environmental Governance on Energy Transitions: Evidence from a Global Perspective
by Brahim Bergougui and Ousama Ben-Salha
Sustainability 2025, 17(19), 8759; https://doi.org/10.3390/su17198759 - 29 Sep 2025
Abstract
The accelerating degradation of the global environment, primarily driven by dependence on fossil fuels, has intensified the urgency for energy transitions toward renewable sources. While the literature on energy transitions is expanding, the role of environmental governance, particularly the stringency of environmental policies, [...] Read more.
The accelerating degradation of the global environment, primarily driven by dependence on fossil fuels, has intensified the urgency for energy transitions toward renewable sources. While the literature on energy transitions is expanding, the role of environmental governance, particularly the stringency of environmental policies, remains insufficiently understood. This study addresses this gap by empirically examining how environmental policy stringency influences national energy transitions. Using a balanced panel of 29 countries over the period 2010–2024, we construct an energy transition indicator and estimate its relationship with policy stringency while controlling for macroeconomic and structural factors such as income, trade openness, and foreign direct investment. To mitigate endogeneity and cross-sectional dependence, we employ robust econometric techniques, including Instrumental Variables (IV) two-step Generalized Method of Moments (GMM) and IV two-stage least squares estimators. The results provide strong evidence that stricter environmental policies significantly accelerate the shift toward cleaner energy sources. Furthermore, the findings highlight the complementary roles of financial innovation in mobilizing green investments and economic complexity in facilitating sustainable energy adoption. These insights underscore the critical importance of stringent environmental governance in achieving global decarbonization goals and inform policymakers on the design of effective regulatory frameworks to foster energy transitions. Full article
(This article belongs to the Special Issue Ecological Transition in Economics)
Show Figures

Figure 1

23 pages, 3485 KB  
Article
A Capacity Expansion Model of Hydrogen Energy Storage for Urban-Scale Power Systems: A Case Study in Shanghai
by Chen Fu, Ruihong Suo, Lan Li, Mingxing Guo, Jiyuan Liu and Chuanbo Xu
Energies 2025, 18(19), 5183; https://doi.org/10.3390/en18195183 - 29 Sep 2025
Abstract
With the increasing maturity of renewable energy technologies and the pressing need to address climate change, urban power systems are striving to integrate a higher proportion of low-carbon renewable energy sources. However, the inherent variability and intermittency of wind and solar power pose [...] Read more.
With the increasing maturity of renewable energy technologies and the pressing need to address climate change, urban power systems are striving to integrate a higher proportion of low-carbon renewable energy sources. However, the inherent variability and intermittency of wind and solar power pose significant challenges to the stability and reliability of urban power grids. Existing research has primarily focused on short-term energy storage solutions or small-scale integrated energy systems, which are insufficient to address the long-term, large-scale energy storage needs of urban areas with high renewable energy penetration. This paper proposes a mid-to-long-term capacity expansion model for hydrogen energy storage in urban-scale power systems, using Shanghai as a case study. The model employs mixed-integer linear programming (MILP) to optimize the generation portfolios from the present to 2060 under two scenarios: with and without hydrogen storage. The results demonstrate that by 2060, the installed capacity of hydrogen electrolyzers could reach 21.5 GW, and the installed capacity of hydrogen power generators could reach 27.5 GW, accounting for 30% of the total installed capacity excluding their own. Compared to the base scenario, the electricity–hydrogen collaborative energy supply system increases renewable penetration by 11.6% and utilization by 12.9% while reducing the levelized cost of urban comprehensive electricity (LCOUCE) by 2.514 cents/kWh. These findings highlight the technical feasibility and economic advantages of deploying long-term hydrogen storage in urban grids, providing a scalable solution to enhance the stability and efficiency of high-renewable urban power systems. Full article
Show Figures

Figure 1

17 pages, 4171 KB  
Article
Biochemical Methane Potential of Potato Chip Processing Waste, Process Mechanisms, and Microbial Community Shifts
by Abdelrahman G. Goda, Gamal K. Hassan, Karim M. Aboelghait, Dong-Fang Deng, Eunsung Kan, Eman Y. Tohamy and Saber A. El-Shafai
Processes 2025, 13(10), 3120; https://doi.org/10.3390/pr13103120 - 29 Sep 2025
Abstract
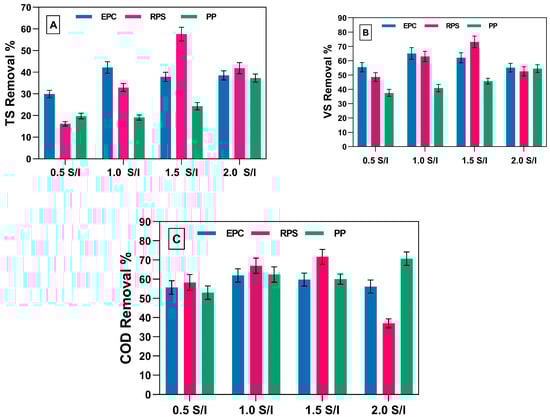
Anaerobic digestion (AD) is an environmentally friendly, promising solution for the recycling of agro-industrial wastes. However, overloading an anaerobic digester with substrate may cause the inhibition of the AD process. The present study investigated the effects of the substrate/inoculum (S/I) ratio on the [...] Read more.
Anaerobic digestion (AD) is an environmentally friendly, promising solution for the recycling of agro-industrial wastes. However, overloading an anaerobic digester with substrate may cause the inhibition of the AD process. The present study investigated the effects of the substrate/inoculum (S/I) ratio on the AD of potato chip processing (PCP) waste from the potato chip processing industry (PCPI). The PCP waste included expired potato chips (EPCs), recovered potato starch (RPS), and potato peel (PP). Mesophilic AD was carried out in batch-wise static reactors at 35 ± 1 °C using four different S/I ratios (0.5, 1.0, 1.5, and 2.0 g VS/g VS) for each type of waste. Different optimum S/I ratios were obtained for the different wastes; however, the pH ranges were comparable (7.0 to 7.5) for all batches. The optimum S/I ratios for EPCs, RPS, and PP were 1.0, 1.5, and 2.0, respectively. The cumulative biogas yields for EPCs, RPS, and PP were 367.5 ± 6.3, 310.0 ± 5.5, and 202.5 ± 4.9 mL/g VS added, respectively. The methane content of the biogas yields ranged between 60% and 70%. There was a variable remarkable shift in the microbial population at the optimum S/I ratio of each type of waste. The abundance of Firmicutes increased in the case of EPCs and RPS but decreased in the case of PP. Conversely, Proteobacteria increased when using PP as a substrate and decreased in the case of EPCs. Herein, the results of the AD of PCP wastes confirm its potential for the onsite production of renewable bioenergy and reductions in energy bills in the PCPI. In addition, this study provides guidance for optimizing the AD of PCP wastes for large-scale applications. Full article
(This article belongs to the Special Issue Biomass Treatment and Pyrolysis Processes)
Show Figures

Figure 1

24 pages, 11488 KB  
Article
An Innovative Approach for Forecasting Hydroelectricity Generation by Benchmarking Tree-Based Machine Learning Models
by Bektaş Aykut Atalay and Kasım Zor
Appl. Sci. 2025, 15(19), 10514; https://doi.org/10.3390/app151910514 - 28 Sep 2025
Abstract
Hydroelectricity, one of the oldest and most potent forms of renewable energy, not only provides low-cost electricity for the grid but also preserves nature through flood control and irrigation support. Forecasting hydroelectricity generation is vital for utilizing alleviating resources effectively, optimizing energy production, [...] Read more.
Hydroelectricity, one of the oldest and most potent forms of renewable energy, not only provides low-cost electricity for the grid but also preserves nature through flood control and irrigation support. Forecasting hydroelectricity generation is vital for utilizing alleviating resources effectively, optimizing energy production, and ensuring sustainability. This paper provides an innovative approach to hydroelectricity generation forecasting (HGF) of a 138 MW hydroelectric power plant (HPP) in the Eastern Mediterranean by taking electricity productions from the remaining upstream HPPs on the Ceyhan River within the same basin into account, unlike prior research focusing on individual HPPs. In light of tuning hyperparameters such as number of trees and learning rates, this paper presents a thorough benchmark of the state-of-the-art tree-based machine learning models, namely categorical boosting (CatBoost), extreme gradient boosting (XGBoost), and light gradient boosting machines (LightGBM). The comprehensive data set includes historical hydroelectricity generation, meteorological conditions, market pricing, and calendar variables acquired from the transparency platform of the Energy Exchange Istanbul (EXIST) and MERRA-2 reanalysis of the NASA with hourly resolution. Although all three models demonstrated successful performances, LightGBM emerged as the most accurate and efficient model by outperforming the others with the highest coefficient of determination (R2) (97.07%), the lowest root mean squared scaled error (RMSSE) (0.1217), and the shortest computational time (1.24 s). Consequently, it is considered that the proposed methodology demonstrates significant potential for advancing the HGF and will contribute to the operation of existing HPPs and the improvement of power dispatch planning. Full article
Show Figures

Figure 1

36 pages, 6811 KB  
Article
A Hierarchical Two-Layer MPC-Supervised Strategy for Efficient Inverter-Based Small Microgrid Operation
by Salima Meziane, Toufouti Ryad, Yasser O. Assolami and Tawfiq M. Aljohani
Sustainability 2025, 17(19), 8729; https://doi.org/10.3390/su17198729 - 28 Sep 2025
Abstract
This study proposes a hierarchical two-layer control framework aimed at advancing the sustainability of renewable-integrated microgrids. The framework combines droop-based primary control, PI-based voltage and current regulation, and a supervisory Model Predictive Control (MPC) layer to enhance dynamic power sharing and system stability [...] Read more.
This study proposes a hierarchical two-layer control framework aimed at advancing the sustainability of renewable-integrated microgrids. The framework combines droop-based primary control, PI-based voltage and current regulation, and a supervisory Model Predictive Control (MPC) layer to enhance dynamic power sharing and system stability in renewable-integrated microgrids. The proposed method addresses the limitations of conventional control techniques by coordinating real and reactive power flow through an adaptive droop formulation and refining voltage/current regulation with inner-loop PI controllers. A discrete-time MPC algorithm is introduced to optimize power setpoints under future disturbance forecasts, accounting for state-of-charge limits, DC-link voltage constraints, and renewable generation variability. The effectiveness of the proposed strategy is demonstrated on a small hybrid microgrid system that serve a small community of buildings with a solar PV, wind generation, and a battery storage system under variable load and environmental profiles. Initial uncontrolled scenarios reveal significant imbalances in resource coordination and voltage deviation. Upon applying the proposed control, active and reactive power are equitably shared among DG units, while voltage and frequency remain tightly regulated, even during abrupt load transitions. The proposed control approach enhances renewable energy integration, leading to reduced reliance on fossil-fuel-based resources. This contributes to environmental sustainability by lowering greenhouse gas emissions and supporting the transition to a cleaner energy future. Simulation results confirm the superiority of the proposed control strategy in maintaining grid stability, minimizing overcharging/overdischarging of batteries, and ensuring waveform quality. Full article
(This article belongs to the Special Issue Smart Grid Technologies and Energy Sustainability)
Show Figures

Figure 1

17 pages, 1860 KB  
Article
Experimental Study of the Efficiency of Hydrokinetic Turbines Under Real River Conditions
by Alexander Stanilov, Rangel Sharkov, Angel Alexandrov, Rositsa Velichkova and Iskra Simova
Energies 2025, 18(19), 5160; https://doi.org/10.3390/en18195160 - 28 Sep 2025
Abstract
In recent years, a growing global effort has been underway to reduce the Earth’s carbon footprint. One of the main strategies to achieve this goal is the utilization of available renewable energy resources. Among the largest and most inexhaustible is hydro-power. This paper [...] Read more.
In recent years, a growing global effort has been underway to reduce the Earth’s carbon footprint. One of the main strategies to achieve this goal is the utilization of available renewable energy resources. Among the largest and most inexhaustible is hydro-power. This paper presents an experimental study of three hydrokinetic turbines tested under real river conditions, aiming to evaluate their effectiveness in harnessing the kinetic energy of flowing water. The experiment is described in detail, including velocity field measurements conducted within the river section used for testing. Based on the experimental data, the main performance characteristics of the three turbines are presented, specifically their power output and efficiency. The importance of selecting an optimal riverbed site and customizing turbine runners to local flow conditions is highlighted, as even slight velocity fluctuations can significantly impact performance. Among the tested designs, the K1–6 turbine runner showed the highest power and efficiency, while the K2–4 runner provided superior rotational stability, making it promising for consistent energy output in variable flow environments Full article
Show Figures

Figure 1

40 pages, 2004 KB  
Review
A Comprehensive Review of Hybrid Renewable Microgrids: Key Design Parameters, Optimization Techniques, and the Role of Demand Response in Enhancing System Flexibility
by Adebayo Dosa, Oludolapo Akanni Olanrewaju and Felix Mora-Camino
Energies 2025, 18(19), 5154; https://doi.org/10.3390/en18195154 - 28 Sep 2025
Abstract
The paper investigates the design and operation of microgrid arrangements, with a focus on renewable power systems, system architectures, and storage solutions. The research evaluates stochastic and multi-objective optimization methods to show how demand response systems improve operational flexibility. The study evaluates 183 [...] Read more.
The paper investigates the design and operation of microgrid arrangements, with a focus on renewable power systems, system architectures, and storage solutions. The research evaluates stochastic and multi-objective optimization methods to show how demand response systems improve operational flexibility. The study evaluates 183 journal articles to select those that address microgrid design in conjunction with optimization models and demand response approaches. The articles are classified into three essential categories, which include microgrid design optimization methods and demand response integration. The review establishes that microgrid performance depends on three fundamental design parameters, which include energy generation systems, storage capabilities, and load demand control mechanisms. The review demonstrates that advanced optimization approaches, such as stochastic and multi-objective optimization methods, offer effective solutions for managing renewable energy variability. The paper demonstrates that demand response strategies are crucial for reducing costs and enhancing system flexibility. However, current published research falls short of establishing an integrated system that combines real-time demand response with stochastic optimization. This integration, while not yet fully realized, is suggested as a critical advancement for ensuring both system performance optimization and long-term sustainability. Therefore, this paper calls for further research to develop resilient hybrid renewable microgrids that integrate flexibility with sustainability through advanced optimization models and demand response strategies. Full article
(This article belongs to the Special Issue Advanced Grid Integration with Power Electronics: 2nd Edition)
Show Figures

Figure 1

24 pages, 18390 KB  
Article
Toward Sustainable Urban Transport: Integrating Solar Energy into an Andean Tram Route
by Mayra-Gabriela Rivas-Villa, Carlos Flores-Vázquez, Manuel Álvarez-Vera and Juan-Carlos Cobos-Torres
Energies 2025, 18(19), 5143; https://doi.org/10.3390/en18195143 - 27 Sep 2025
Abstract
Climate change has prompted the adoption of sustainable measures to reduce greenhouse gas (GHG) emissions, particularly in urban transportation. The integration of renewable energy sources, such as solar energy, offers a promising strategy to enhance sustainability in urban transit systems. This study assessed [...] Read more.
Climate change has prompted the adoption of sustainable measures to reduce greenhouse gas (GHG) emissions, particularly in urban transportation. The integration of renewable energy sources, such as solar energy, offers a promising strategy to enhance sustainability in urban transit systems. This study assessed solar irradiation along the tram route in Cuenca—an Andean city characterized by distinctive topographic and climatic conditions—with the aim of evaluating the technical feasibility of integrating solar energy into the tram infrastructure. A descriptive, applicative, and longitudinal approach was adopted. Solar irradiation was monitored using a system composed of a fixed station and a mobile station, the latter installed on a tram vehicle. Readings carried out over fourteen months facilitated the analysis of seasonal and spatial variability of the available solar resource. The fixed station recorded average irradiation values ranging from 3.80 to 4.61 kWh/m2·day, while the mobile station reported values between 2.60 and 3.41 kWh/m2·day, revealing losses due to urban shading, with reductions ranging from 14.7% to 18.8% compared to fixed-site values. It was estimated that a fixed photovoltaic system of up to 1.068 MWp could be installed at the tram maintenance depot using 580 Wp panels, with the capacity to supply approximately 81% of the annual electricity demand of the tram system. Complementary solar installations at tram stops, stations, and other related infrastructure are also proposed. The results demonstrate the technical feasibility of integrating solar energy—through fixed and mobile systems—into the tram infrastructure of Cuenca. This approach provides a scalable model for energy planning in urban transport systems in Andean contexts or other regions with similar characteristics. Full article
(This article belongs to the Special Issue Solar Energy, Governance and CO2 Emissions)
Show Figures

Figure 1

17 pages, 7783 KB  
Article
Assessment of Coastal Winds in Iceland Using Sentinel-1, Reanalysis, and MET Observations
by Eduard Khachatrian, Yngve Birkelund and Andrea Marinoni
Appl. Sci. 2025, 15(19), 10472; https://doi.org/10.3390/app151910472 - 27 Sep 2025
Abstract
This research evaluates three wind data sources, the Sentinel-1 wind product, the global reanalysis ERA5, and the regional reanalysis CARRA, across Iceland’s North, South, West, and East coastal regions. The analysis mainly focuses on validating Sentinel-1 high-resolution capabilities for capturing fine-scale wind patterns [...] Read more.
This research evaluates three wind data sources, the Sentinel-1 wind product, the global reanalysis ERA5, and the regional reanalysis CARRA, across Iceland’s North, South, West, and East coastal regions. The analysis mainly focuses on validating Sentinel-1 high-resolution capabilities for capturing fine-scale wind patterns in coastal zones, where traditional reanalyses may have tangible limitations. Performance is evaluated through intercomparison of datasets and analysis of regional wind speed variability, with in situ coastal meteorological observations providing ground-truth validation. The results highlight the relative strengths and limitations of each source, offering guidance for improving wind-driven and wind-dependent applications in Iceland’s coastal regions, such as hazard assessment, marine operations, and renewable energy planning. Full article
(This article belongs to the Special Issue Applications of Remote Sensing in Environmental Sciences)
Show Figures

Figure 1

48 pages, 31470 KB  
Article
Integrating Climate and Economic Predictors in Hybrid Prophet–(Q)LSTM Models for Sustainable National Energy Demand Forecasting: Evidence from The Netherlands
by Ruben Curiël, Ali Mohammed Mansoor Alsahag and Seyed Sahand Mohammadi Ziabari
Sustainability 2025, 17(19), 8687; https://doi.org/10.3390/su17198687 - 26 Sep 2025
Abstract
Forecasting national energy demand is challenging under climate variability and macroeconomic uncertainty. We assess whether hybrid Prophet–(Q)LSTM models that integrate climate and economic predictors improve long-horizon forecasts for The Netherlands. This study covers 2010–2024 and uses data from ENTSO-E (hourly load), KNMI and [...] Read more.
Forecasting national energy demand is challenging under climate variability and macroeconomic uncertainty. We assess whether hybrid Prophet–(Q)LSTM models that integrate climate and economic predictors improve long-horizon forecasts for The Netherlands. This study covers 2010–2024 and uses data from ENTSO-E (hourly load), KNMI and Copernicus/ERA5 (weather and climate indices), Statistics Netherlands (CBS), and the World Bank (macroeconomic and commodity series). We evaluate Prophet–LSTM and Prophet–QLSTM, each with and without stacking via XGBoost, under rolling-origin cross-validation; feature choice is guided by Bayesian optimisation. Stacking provides the largest and most consistent accuracy gains across horizons. The quantum-inspired variant performs on par with the classical ensemble while using a smaller recurrent core, indicating value as a complementary learner. Substantively, short-run variation is dominated by weather and calendar effects, whereas selected commodity and activity indicators stabilise longer-range baselines; combining both domains improves robustness to regime shifts. In sustainability terms, improved long-horizon accuracy supports renewable integration, resource adequacy, and lower curtailment by strengthening seasonal planning and demand-response scheduling. The pipeline demonstrates the feasibility of integrating quantum-inspired components into national planning workflows, using The Netherlands as a case study, while acknowledging simulator constraints and compute costs. Full article
Show Figures

Figure 1

Back to TopTop