Sign in to use this feature.

Years

Between: -

Subjects

remove_circle_outline
remove_circle_outline
remove_circle_outline
remove_circle_outline
remove_circle_outline
remove_circle_outline

Journals

Article Types

Countries / Regions

Search Results (48)

Search Parameters:
Keywords = unknown but bounded noise

Order results
Result details
Results per page
Select all
Export citation of selected articles as:
25 pages, 1074 KB  
Article
Near-Field Source Localization in Nonuniform Noise: An Efficient Symmetric Matrix Factorization-Based Approach
by Wenze Song, Zhenqing He, Guohao Sun and Shou Feng
Sensors 2025, 25(18), 5684; https://doi.org/10.3390/s25185684 - 12 Sep 2025
Viewed by 560
Abstract
This paper investigates the near-field source localization of multiple narrowband signals in the presence of unknown nonuniform noise with an arbitrary diagonal covariance matrix. From a covariance-fitting perspective, we reformulate the near-field localization problem as a joint symmetric matrix factorization and the estimation [...] Read more.
This paper investigates the near-field source localization of multiple narrowband signals in the presence of unknown nonuniform noise with an arbitrary diagonal covariance matrix. From a covariance-fitting perspective, we reformulate the near-field localization problem as a joint symmetric matrix factorization and the estimation of nonuniform noise variances. This reformulation explicitly accounts for noise heterogeneity in the covariance structure, thereby avoiding noise mismodeling and enabling robust near-field localization for nonuniform noise. To solve the intractable symmetric matrix factorization problem, we develop a computationally efficient iterative algorithm based on the block majorization–minimization principle. The proposed algorithm has light per-iteration complexity and admits a closed-form iteration update. Furthermore, we also derive the Cramér–Rao bound (CRB) for near-field localization under nonuniform noise. Extensive numerical experiments demonstrate that the proposed approach outperforms the existing state-of-the-art near-field localization methods and closely matches the CRB while maintaining strong robustness against severe nonuniform noise. Full article
(This article belongs to the Special Issue Signal Detection and Processing of Sensor Arrays)
Show Figures

Figure 1

24 pages, 4270 KB  
Article
Differentiated GNSS Baseband Jamming Suppression Method Based on Classification Decision Information
by Zhongliang Deng, Zhichao Zhang, Xiangchuan Gao and Peijia Liu
Appl. Sci. 2025, 15(13), 7131; https://doi.org/10.3390/app15137131 - 25 Jun 2025
Viewed by 581
Abstract
In complex urban electromagnetic environments, wireless positioning signals are subject to various types of interference, including narrowband, chirp, and pulse jamming. Traditional generic suppression methods struggle to achieve global optimization tailored to specific interference mechanisms. This paper proposes a classification-driven differentiated jamming suppression [...] Read more.
In complex urban electromagnetic environments, wireless positioning signals are subject to various types of interference, including narrowband, chirp, and pulse jamming. Traditional generic suppression methods struggle to achieve global optimization tailored to specific interference mechanisms. This paper proposes a classification-driven differentiated jamming suppression (CDDJ) method, which adaptively selects the optimal mitigation strategy by pre-identifying interference types and integrating classification confidence levels. First, the theoretical bounds of the output carrier-to-noise ratio (C/N0out) under typical interference scenarios are derived, characterizing the performance distribution of anti-jamming efficiency (Γ). Then, a mapping relationship between interference categories and their corresponding suppression strategies is established, along with decision criteria for strategy switching based on signal quality evaluation metrics. Finally, an OpenMax-Lite rejection layer is designed to handle low-confidence inputs, identify unknown jamming using the Weibull distribution, and implement a broadband conservative suppression policy. Simulation results demonstrate that the proposed method exhibits significant advantages across different interference types. Under high JSR conditions, the signal recovery rate improves by over 10% and 8% compared to that of the WPT and KLT methods, respectively. In terms of SINR performance, the proposed approach outperforms the AFF, TDPB, and FDPB methods by 1.5 dB, 1.1 dB, and 5.3 dB, respectively, thereby enhancing the reliability of wireless positioning in complex environments. Full article
(This article belongs to the Special Issue Advanced GNSS Technologies: Measurement, Analysis, and Applications)
Show Figures

Figure 1

16 pages, 3812 KB  
Article
A Maximum Likelihood Estimation Method for Underwater Radiated Noise Power
by Guoqing Jiang, Mingyang Li, Zhuoran Liu, Linchuan Sun and Qingcui Wang
Appl. Sci. 2025, 15(12), 6692; https://doi.org/10.3390/app15126692 - 14 Jun 2025
Viewed by 528
Abstract
Underwater radiated noise power estimation is crucial for the quantitative assessment of noise levels emitted by ships and underwater vehicles. This paper therefore proposes a maximum likelihood estimation method for determining the power of underwater radiated noise. The method establishes the probability density [...] Read more.
Underwater radiated noise power estimation is crucial for the quantitative assessment of noise levels emitted by ships and underwater vehicles. This paper therefore proposes a maximum likelihood estimation method for determining the power of underwater radiated noise. The method establishes the probability density function of the hydrophones array received data and derives the minimum variance unbiased estimation of the power through theoretical analysis under the maximum likelihood criterion. Numerical simulations and experimental data demonstrate that this method can significantly reduce the influence of ambient noise on estimation results and improve the estimation accuracy under low signal-to-noise ratio conditions, outperforming commonly used beamforming-based estimation methods. In addition, the estimation variance achieves the Cramér–Rao lower bound, which is consistent with theoretical derivation. When the source position is unknown, this method can simultaneously localize the sound source and estimate its power by searching for the maximum value within a specified region. Full article
(This article belongs to the Section Marine Science and Engineering)
Show Figures

Figure 1

30 pages, 1471 KB  
Article
Distributed Sensor Network Calibration Under Sensor Nonlinearities with Applications in Aerodynamic Pressure Sensing
by Srdjan S. Stanković, Miloš S. Stanković, Mladen Veinović, Ivana Jokić and Miloš Frantlović
Sensors 2025, 25(8), 2505; https://doi.org/10.3390/s25082505 - 16 Apr 2025
Viewed by 717
Abstract
The theoretical part of this paper is devoted to a class of distributed blind calibration algorithms for large sensor networks based on consensus. The basic blind calibration method starts from affine sensor models and calibration functions, aiming to equalize corrected sensor offsets and [...] Read more.
The theoretical part of this paper is devoted to a class of distributed blind calibration algorithms for large sensor networks based on consensus. The basic blind calibration method starts from affine sensor models and calibration functions, aiming to equalize corrected sensor offsets and gains without requiring any a priori knowledge of the measured signal. The main focus is to systematically and rigorously analyze the behavior of the calibration algorithms of the stochastic approximation type under nonlinear sensor models and stochastic environments, and to provide recommendations that are relevant to practice. It is demonstrated that the calibration algorithm—based on consensus with respect to all the calibration parameters—is far less robust to unknown sensor nonlinearities than the modified algorithm, taking one micro-calibrated sensor as a reference. Stability proofs of the algorithms are given in the bounded input–bounded output sense. The influences of measurement and communication noises are also analyzed using the theory of stochastic approximation. Numerous simulation results provide a comprehensive picture of the algorithm properties that are relevant to practice. This is followed by an important verification of the theoretical results, obtained by applying the analyzed blind calibration algorithms to an originally designed multichannel instrument for aerodynamic pressure sensing. A description of the new instrument is given, together with essential aspects of the implementation of the blind calibration algorithm. It is shown that the selected algorithm can be seen as a simple and efficient practical tool for blind online real-time re-calibration of complex sensor networks during normal system operations. Full article
(This article belongs to the Section Sensor Networks)
Show Figures

Figure 1

30 pages, 5284 KB  
Article
Blind Interference Suppression with Uncalibrated Phased-Array Processing
by Lauren O. Lusk and Joseph D. Gaeddert
Sensors 2025, 25(7), 2125; https://doi.org/10.3390/s25072125 - 27 Mar 2025
Viewed by 585
Abstract
As the number of devices using wireless communications increases, the amount of usable radio frequency spectrum becomes increasingly congested. As a result, the need for robust, adaptive communications to improve spectral efficiency and ensure reliable communication in the presence of interference is apparent. [...] Read more.
As the number of devices using wireless communications increases, the amount of usable radio frequency spectrum becomes increasingly congested. As a result, the need for robust, adaptive communications to improve spectral efficiency and ensure reliable communication in the presence of interference is apparent. One solution is using beamforming techniques on digital phased-array receivers to maximize the energy in a desired direction and steer nulls to remove interference; however, traditional phased-array beamforming techniques used for interference removal rely on perfect calibration between antenna elements and precise knowledge of the array configuration. Consequently, if the exact array configuration is not known (unknown or imperfect assumption of element locations, unknown mutual coupling between elements, etc.), these traditional beamforming techniques are not viable, so a beamforming approach with relaxed requirements (blind beamforming) is required. This paper proposes a novel blind beamforming approach to address complex narrowband interference in spectrally congested environments where the precise array configuration is unknown. The resulting process is shown to suppress numerous interference sources, all without any knowledge of the primary signal of interest. The results are validated through wireless laboratory experimentation conducted with a two-element array, verifying that the proposed beamforming approach achieves a similar performance to the theoretical performance bound of receiving packets in additive white Gaussian noise (AWGN) with no interference present. Full article
(This article belongs to the Section Communications)
Show Figures

Figure 1

17 pages, 658 KB  
Article
A Simple and Efficient Method for RSS-AOA-Based Localization with Heterogeneous Anchor Nodes
by Weizhong Ding, Lincan Li and Shengming Chang
Sensors 2025, 25(7), 2028; https://doi.org/10.3390/s25072028 - 24 Mar 2025
Cited by 4 | Viewed by 914
Abstract
Accurate and reliable localization is crucial for various wireless communication applications. A multitude of studies have presented accurate localization methods using hybrid received signal strength (RSS) and angle of arrival (AOA) measurements. However, these studies typically assume identical measurement noise distributions for different [...] Read more.
Accurate and reliable localization is crucial for various wireless communication applications. A multitude of studies have presented accurate localization methods using hybrid received signal strength (RSS) and angle of arrival (AOA) measurements. However, these studies typically assume identical measurement noise distributions for different anchor nodes, which may not accurately reflect real-world scenarios with varying noise distributions. In this paper, we propose a simple and efficient localization method based on hybrid RSS-AOA measurements that accounts for the varying measurement noises of different anchor nodes. We develop a closed-form estimator for the target location employing the linear-weighted least squares (LWLS) algorithm, where the weight of each LWLS equation is the inverse of its residual variance. Due to the unknown variances of LWLS equation residuals, we employ a two-stage LWLS method for estimation. The proposed method is computationally efficient, adaptable to different types of wireless communication systems and environments, and provides more accurate and reliable localization results compared to existing RSS-AOA localization techniques. Additionally, we derive the Cramer–Rao lower bound (CRLB) for the RSS-AOA signal sequences used in the proposed method. Simulation results demonstrate the superiority of the proposed method. Full article
Show Figures

Figure 1

24 pages, 1668 KB  
Article
Robust Sidelobe Control for Adaptive Beamformers Against Array Imperfections via Subspace Approximation-Based Optimization
by Yang Zou, Zhoupeng Ding, Hongtao Li, Shengyao Chen, Sirui Tian and Jin He
Remote Sens. 2025, 17(4), 697; https://doi.org/10.3390/rs17040697 - 18 Feb 2025
Viewed by 926
Abstract
Conventional adaptive beamformers usually suffer from serious performance degradation when the receive array is imperfect and unknown sporadic interferences appear. To enhance robustness against array imperfections and simultaneously suppress sporadic interferences, this paper studies robust adaptive beamforming (RAB) with accurate sidelobe level (SLL) [...] Read more.
Conventional adaptive beamformers usually suffer from serious performance degradation when the receive array is imperfect and unknown sporadic interferences appear. To enhance robustness against array imperfections and simultaneously suppress sporadic interferences, this paper studies robust adaptive beamforming (RAB) with accurate sidelobe level (SLL) control, where the imperfect array steering vector (SV) is expressed as a spherical uncertainty set. Under the maximum signal-to-interference-plus-noise ratio (SINR) criterion and robust SLL constraints, we formulate the resultant RAB into a second-order cone programming problem, which is computationally prohibitive due to numerous robust quadratic SLL constraints. To tackle this issue, we provide a subspace approximation-based method to approximate the whole sidelobe space, thus replacing all robust SLL constraints with a single subspace constraint. Moreover, we leverage the Gauss–Legendre quadrature-based scheme to generate the sidelobe space in a computationally efficient manner. Additionally, we give an explicit approach for determining the norm upper bound of SV uncertainty sets under various imperfection scenarios, addressing the challenge of obtaining this upper bound in practice.Simulation results showed that the proposed subspace approximation-based RAB beamformer had a better SINR performance than typical counterparts and was much more computationally efficient. Full article
Show Figures

Figure 1

17 pages, 2767 KB  
Article
Adaptive Noise Exploration for Neural Contextual Multi-Armed Bandits
by Chi Wang, Lin Shi and Junru Luo
Algorithms 2025, 18(2), 56; https://doi.org/10.3390/a18020056 - 21 Jan 2025
Viewed by 1727
Abstract
In contextual multi-armed bandits, the relationship between contextual information and rewards is typically unknown, complicating the trade-off between exploration and exploitation. A common approach to address this challenge is the Upper Confidence Bound (UCB) method, which constructs confidence intervals to guide exploration. However, [...] Read more.
In contextual multi-armed bandits, the relationship between contextual information and rewards is typically unknown, complicating the trade-off between exploration and exploitation. A common approach to address this challenge is the Upper Confidence Bound (UCB) method, which constructs confidence intervals to guide exploration. However, the UCB method becomes computationally expensive in environments with numerous arms and dynamic contexts. This paper presents an adaptive noise exploration framework to reduce computational complexity and introduces two novel algorithms: EAD (Exploring Adaptive Noise in Decision-Making Processes) and EAP (Exploring Adaptive Noise in Parameter Spaces). EAD injects adaptive noise into the reward signals based on arm selection frequency, while EAP adds adaptive noise to the hidden layer of the neural network for more stable exploration. Experimental results on recommendation and classification tasks show that both algorithms significantly surpass traditional linear and neural methods in computational efficiency and overall performance. Full article
(This article belongs to the Section Algorithms for Multidisciplinary Applications)
Show Figures

Figure 1

21 pages, 7739 KB  
Article
On the Capacity of the Peak-Limited and Band-Limited Channel
by Michael Peleg and Shlomo Shamai
Entropy 2024, 26(12), 1049; https://doi.org/10.3390/e26121049 - 3 Dec 2024
Cited by 1 | Viewed by 1200
Abstract
We investigate the peak-power limited (PPL) Additive White Gaussian Noise (AWGN) channels in which the signal is band-limited, and its instantaneous power cannot exceed the power P. This model is relevant to many communication systems; however, its capacity is still unknown. We [...] Read more.
We investigate the peak-power limited (PPL) Additive White Gaussian Noise (AWGN) channels in which the signal is band-limited, and its instantaneous power cannot exceed the power P. This model is relevant to many communication systems; however, its capacity is still unknown. We use a new geometry-based approach which evaluates the maximal entropy of the transmitted signal by assessing the volume of the body, in the space of Nyquist-rate samples, comprising all the points the transmitted signal can reach. This leads to lower bounds on capacity which are tight at high Signal to Noise Ratios (SNRs). We find lower bounds on capacity, expressed as power efficiency, that were higher than the known ones by a factor of 3.3 and 8.6 in the low-pass and the band-pass cases, respectively. The gap to the upper bounds is reduced to a power ratio of 1.5. The new bounds are numerically evaluated for FDMA-style signals with limited duration and also are derived in the general case as a conjecture. The penalty in power efficiency due to the peak power constraint is roughly 6 dB at high SNRs. Further research is needed to develop effective modulation and coding for this channel. Full article
Show Figures

Figure 1

23 pages, 1171 KB  
Article
Motion State Estimation with Bandwidth Constraints and Mixed Cyber-Attacks for Unmanned Surface Vehicles: A Resilient Set-Membership Filtering Framework
by Ziyang Wang, Peng Lou, Yudong Wang, Juan Li and Jiasheng Wang
Sensors 2024, 24(21), 6834; https://doi.org/10.3390/s24216834 - 24 Oct 2024
Cited by 1 | Viewed by 1211
Abstract
This paper investigates the motion state estimation problem of the unmanned surface vehicle (USV) steering system in wireless sensor networks based on the binary coding scheme (BCS). In response to the presence of bandwidth constraints and mixed cyber-attacks in USV communication networks, this [...] Read more.
This paper investigates the motion state estimation problem of the unmanned surface vehicle (USV) steering system in wireless sensor networks based on the binary coding scheme (BCS). In response to the presence of bandwidth constraints and mixed cyber-attacks in USV communication networks, this paper proposes an improved set-membership state estimation algorithm based on BCS. This algorithm partially addresses the problem of degraded performance in USV steering motion state estimation caused by mixed cyber-attacks and bandwidth constraints. Furthermore, this paper proposes a robust resilient filtering framework considering the possible occurrence of unknown but bounded (UBB) noises, model parameter uncertainties, and estimator gain perturbations in practical scenarios. The proposed framework can accurately estimate the sway velocity, yaw velocity, and roll velocity of the USV under the concurrent presence situation of mixed cyber-attacks, communication capacity constraints, UBB noises, model parameter uncertainties, and estimator gain perturbations. This paper first utilizes mathematical induction to provide the sufficient conditions for the existence of the desired estimator, and obtains the estimator gain by solving a set of linear matrix inequalities. Then, a recursive optimization algorithm is utilized to achieve optimal estimation performance. Finally, the effectiveness of the proposed estimation algorithm is verified through a simulation experiment. Full article
(This article belongs to the Section Vehicular Sensing)
Show Figures

Figure 1

10 pages, 355 KB  
Article
Partial Path Overlapping Mitigation: An Initial Stage for Joint Detection and Decoding in Multipath Channels Using the Sum–Product Algorithm
by Anoush Mirbadin and Abolfazl Zaraki
Appl. Sci. 2024, 14(20), 9175; https://doi.org/10.3390/app14209175 - 10 Oct 2024
Viewed by 1477
Abstract
This paper addresses the problem of mitigating unknown partial path overlaps in communication systems. This study demonstrates that by utilizing the front-end insight of communication systems along with the sum–product algorithm applied to factor graphs, it is possible not only to track these [...] Read more.
This paper addresses the problem of mitigating unknown partial path overlaps in communication systems. This study demonstrates that by utilizing the front-end insight of communication systems along with the sum–product algorithm applied to factor graphs, it is possible not only to track these overlapping components accurately, but also to detect all multipath channel impairments simultaneously. The proposed methodology involves discretizing channel parameters, such as channel paths and attenuation coefficients, to ensure the most accurate computation of means of Gaussian observations. These parameters are modeled as Bernoulli random variables with priors set to 0.5. A notable aspect of the algorithm is its integration of the received signal power into the calculation of noise variance, which is critical for its performance. To further reduce the receiver complexity, a novel implementation strategy, based on provided pre-defined look up tables (LOTs) to the reciver, is introduced. The simulation results, covering both distributed and concentrated pilot scenarios, reveal that the algorithm performs almost equally under both conditions and surpasses the established upper bound in performance. Full article
(This article belongs to the Special Issue Advances in Wireless Communication Technologies)
Show Figures

Figure 1

27 pages, 890 KB  
Article
State Estimation for Measurement-Saturated Memristive Neural Networks with Missing Measurements and Mixed Time Delays Subject to Cyber-Attacks: A Non-Fragile Set-Membership Filtering Framework
by Ziyang Wang, Peidong Wang, Jiasheng Wang, Peng Lou and Juan Li
Appl. Sci. 2024, 14(19), 8936; https://doi.org/10.3390/app14198936 - 4 Oct 2024
Viewed by 1254
Abstract
This paper is concerned with the state estimation problem based on non-fragile set-membership filtering for a class of measurement-saturated memristive neural networks (MNNs) with unknown but bounded (UBB) noises, mixed time delays and missing measurements (MMs), subject to cyber-attacks under the framework of [...] Read more.
This paper is concerned with the state estimation problem based on non-fragile set-membership filtering for a class of measurement-saturated memristive neural networks (MNNs) with unknown but bounded (UBB) noises, mixed time delays and missing measurements (MMs), subject to cyber-attacks under the framework of weighted try-once-discard protocol (WTOD protocol). Considering bandwidth-limited open networks, this paper proposes an improved set-membership filtering based on WTOD protocol to partially solve the problem that multiple sensor-related problems and multiple network-induced phenomena influence the state estimation performance of MNNs. Moreover, this paper also discusses the gain perturbations of the estimator and proposes an improved non-fragile estimation framework based on set-membership filtering, which enhances the robustness of the estimation approach. The proposed estimation framework can effectively estimate the state of MNNs with UBB noises, estimator gain perturbations, mixed time-delays, cyber-attacks, measurement saturations and MMs. This paper first utilizes mathematical induction to provide the sufficient conditions for the existence of the desired estimator, and obtains the estimator gain by solving a set of linear matrix inequalities. Then, a recursive optimization algorithm is utilized to achieve optimal estimation performance. The effectiveness of the theoretical results is verified by comparative numerical simulation examples. Full article
Show Figures

Figure 1

16 pages, 2833 KB  
Article
The Dynamic Event-Based Non-Fragile H State Estimation for Discrete Nonlinear Systems with Dynamical Bias and Fading Measurement
by Manman Luo, Baibin Yang, Zhaolei Yan, Yuwen Shen and Manfeng Hu
Mathematics 2024, 12(18), 2957; https://doi.org/10.3390/math12182957 - 23 Sep 2024
Viewed by 1190
Abstract
The present study investigates non-fragile H state estimation based on a dynamic event-triggered mechanism for a class of discrete time-varying nonlinear systems subject to dynamical bias and fading measurements. The dynamic deviation caused by unknown inputs is represented by a dynamic equation [...] Read more.
The present study investigates non-fragile H state estimation based on a dynamic event-triggered mechanism for a class of discrete time-varying nonlinear systems subject to dynamical bias and fading measurements. The dynamic deviation caused by unknown inputs is represented by a dynamic equation with bounded noise. Subsequently, the augmentation technique is employed and the dynamic event-triggered mechanism is introduced in the sensor-to-estimator channel to determine whether data should be transmitted or not, thereby conserving resources. Furthermore, an augmented state-dependent non-fragile state estimator is constructed considering gain perturbation of the estimator and fading measurements during network transmission. Sufficient conditions are provided based on Lyapunov stability and matrix analysis techniques to ensure exponential mean-square stability of the estimation error system while satisfying the H disturbance fading level. The desired estimator gain matrix can be obtained by solving the linear matrix inequality (LMI). Finally, an example is presented to illustrate the effectiveness of the proposed method for designing estimators. Full article
Show Figures

Figure 1

25 pages, 1455 KB  
Article
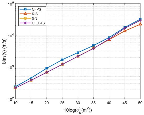
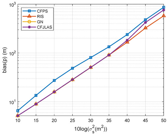
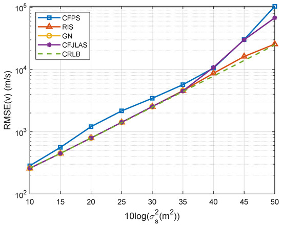
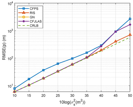
Efficient Solution Resilient to Noise and Anchor Position Error for Joint Localization and Synchronization Using One-Way Sequential TOAs
by Shuyi Zhang, Yihuai Xu, Beichuan Tang, Yanbing Yang and Yimao Sun
Appl. Sci. 2024, 14(14), 6069; https://doi.org/10.3390/app14146069 - 11 Jul 2024
Cited by 2 | Viewed by 1527
Abstract
Joint localization and synchronization (JLAS) is a technology that simultaneously determines the spatial locations of user nodes and synchronizes the clocks between user nodes (UNs) and anchor nodes (ANs). This technology is crucial for various applications in wireless sensor networks. Existing solutions for [...] Read more.
Joint localization and synchronization (JLAS) is a technology that simultaneously determines the spatial locations of user nodes and synchronizes the clocks between user nodes (UNs) and anchor nodes (ANs). This technology is crucial for various applications in wireless sensor networks. Existing solutions for JLAS are either computationally demanding or not resilient to noise. This paper addresses the challenge of localizing and synchronizing a mobile user node in broadcast-based JLAS systems using sequential one-way time-of-arrival (TOA) measurements. The AN position uncertainty is considered along with clock offset and skew. Two redundant variables that couple the unknowns are introduced to pseudo-linearize the measurement equation. In projecting the equation to the nullspace spanned by the coefficients of the redundant variables, the affection of them can be eliminated. While the closed-form projection solution provides an initial point for iteration, it is suboptimal and may not achieve the Cramér-Rao lower bound (CRLB) when noise or AN position error is relatively large. To improve performance, we propose a novel robust iterative solution (RIS) formulated through factor graphs and developed via message passing. The RIS outperforms the common Gauss–Newton iteration, especially in high-noise scenarios. It exhibits a lower root mean-square error (RMSE) and a higher probability of converging to the optimal solution, while maintaining manageable computational complexity. Both analytical results and numerical simulations validate the superiority of the proposed solution in terms of performance, resilience, and computational load. Full article
(This article belongs to the Section Electrical, Electronics and Communications Engineering)
Show Figures

Figure 1

14 pages, 3189 KB  
Article
Adaptive Multi-Sensor Joint Tracking Algorithm with Unknown Noise Characteristics
by Weihao Sun, Yi Wang, Weifeng Diao and Lin Zhou
Sensors 2024, 24(11), 3314; https://doi.org/10.3390/s24113314 - 22 May 2024
Viewed by 1298
Abstract
In this study, to solve the low accuracy of multi-space-based sensor joint tracking in the presence of unknown noise characteristics, an adaptive multi-sensor joint tracking algorithm (AMSJTA) is proposed. First, the coordinate transformation from the target object to the optical sensors is considered, [...] Read more.
In this study, to solve the low accuracy of multi-space-based sensor joint tracking in the presence of unknown noise characteristics, an adaptive multi-sensor joint tracking algorithm (AMSJTA) is proposed. First, the coordinate transformation from the target object to the optical sensors is considered, and the observation vector-based measurement model is established. Then, the measurement noise characteristics are assumed to be white Gaussian noise, and the measurement covariance matrix is set as a constant. On this premise, the traditional iterative extended Kalman filter is applied to solve this problem. However, in most actual engineering applications, the measurement noise characteristics are unknown. Thus, a forgetting factor is introduced to adaptively estimate the unknown measurement noise characteristics, and the AMSJTA is designed to improve the tracking accuracy. Furthermore, the lower bound of the proposed algorithm is theoretically proved. Finally, numerical simulations are executed to verify the effectiveness and superiority of the proposed AMSJTA. Full article
(This article belongs to the Section Sensor Networks)
Show Figures

Figure 1

Back to TopTop