Partial Path Overlapping Mitigation: An Initial Stage for Joint Detection and Decoding in Multipath Channels Using the Sum–Product Algorithm
Abstract
1. Introduction
2. Discretization Strategy
3. System Model
4. Factor Graph
5. Implementation of the Receiver
- At every time epoch, the receiver performs matrix subtractions, minus LOTs.
- Receiver finds the indices of the minimum matrices members of the detector’s upward messages.
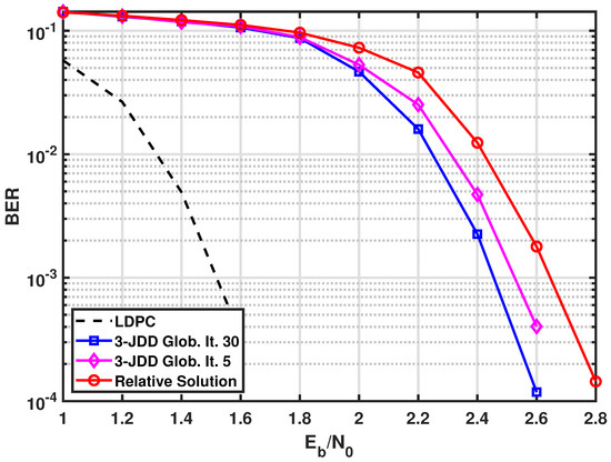
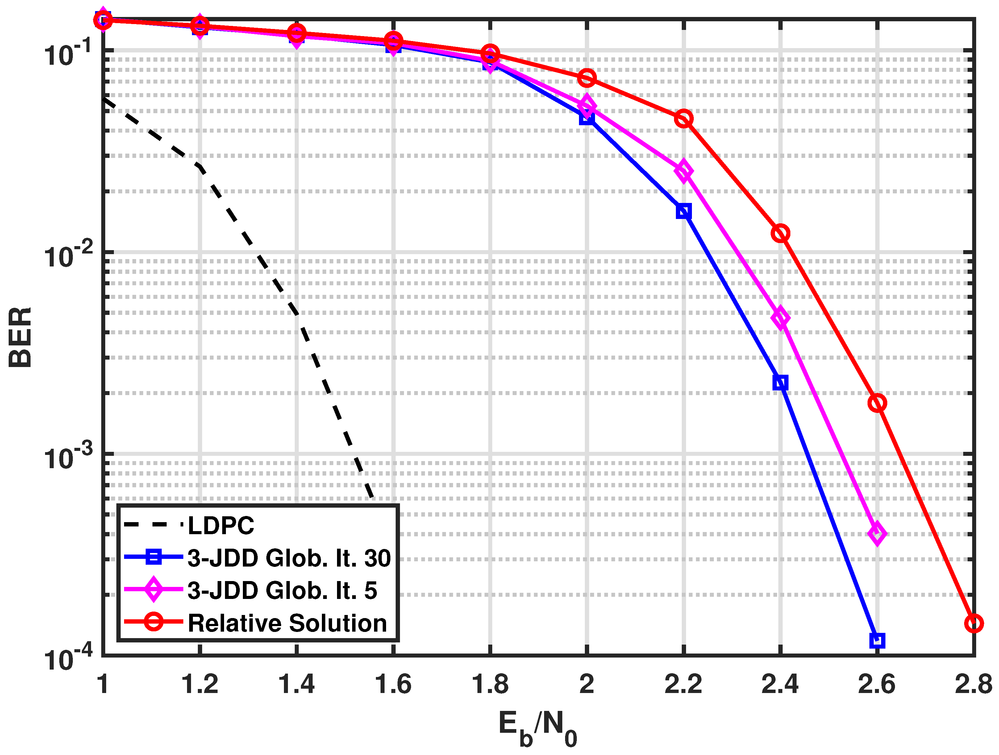
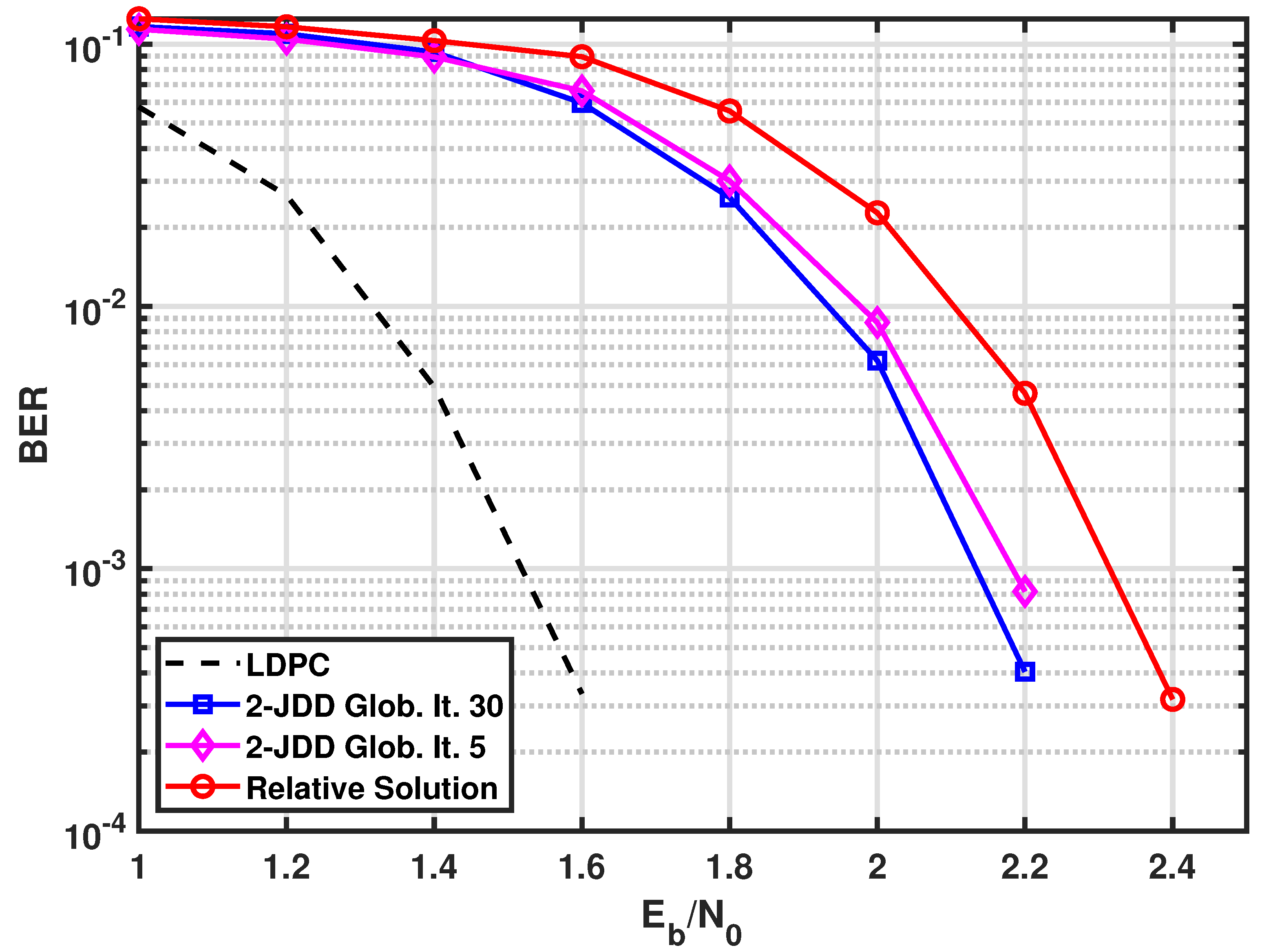
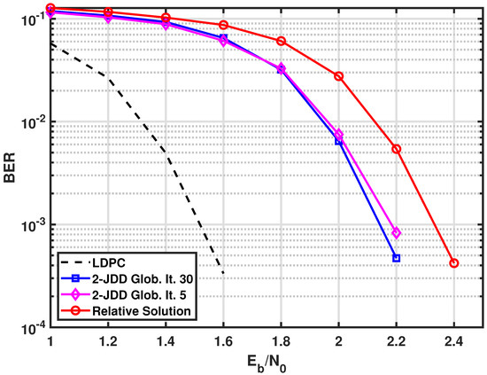
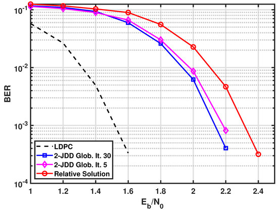
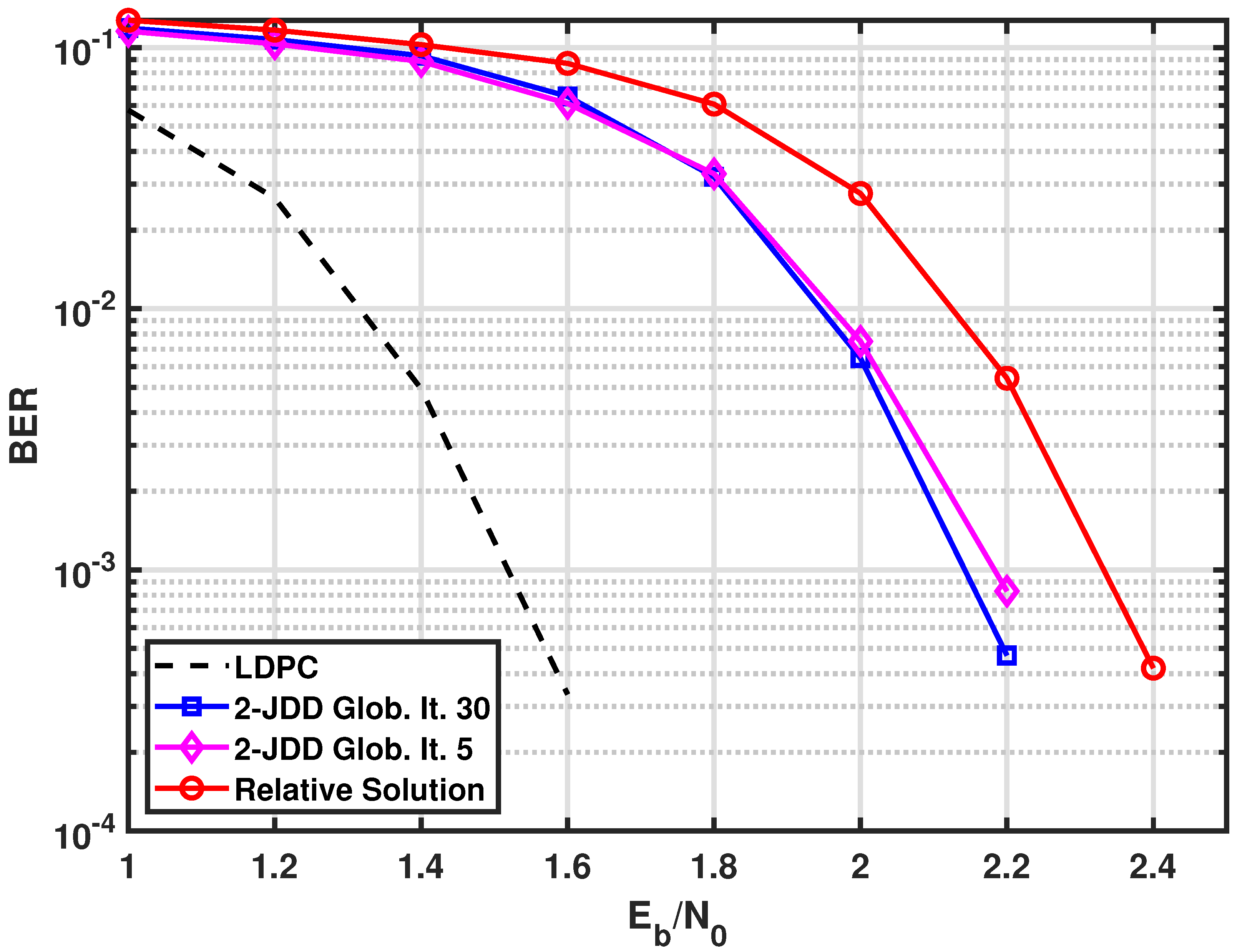
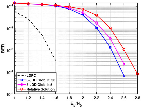
6. Simulation Results
7. Conclusions and Future Work
Author Contributions
Funding
Institutional Review Board Statement
Informed Consent Statement
Data Availability Statement
Conflicts of Interest
References
- Pierce, J.N. Theoretical diversity improvement in frequency-shift keying. Proc. IRE 1985, 46, 903–910. [Google Scholar] [CrossRef]
- Brennan, D.G. Linear diversity combining techniques. Proc. IRE 1959, 47, 1075–1102. [Google Scholar] [CrossRef]
- Turin, G.L. On optimal diversity reception. IRE Trans. Inf. Theory 1961, 7, 154–166. [Google Scholar] [CrossRef]
- Kaye, A.; George, D. Transmission of multiplexed PAM signals over multiple channel and diversity systems. IRE Trans. Commun. 1970, 18, 520–526. [Google Scholar] [CrossRef]
- Alamouti, S.M. A simple transmit diversity technique for wireless communications. IEEE J. Selec. Areas Commun. 1998, 16, 1451–1458. [Google Scholar] [CrossRef]
- Prasad, R. OFDM for Wireless Communications Systems, 1st ed.; Artech House: London, UK, 2004. [Google Scholar]
- Hutter, A.A.; Mekrazi, S.; Getu, B.N.; Platbrood, F. Alamouti-based space-frequency coding for OFDM. Wirel. Pers. Commun. 2005, 35, 173–185. [Google Scholar] [CrossRef]
- Zhang, J.A.; Zhang, F.; Masouros, C.; Heath, R.W.; Feng, Z.; Zheng, L.; Petropulu, A. An overview of signal processing techniques for joint communication and radar sensing. IEEE J. Sel. Top. Signal Process. 2021, 15, 1295–1315. [Google Scholar] [CrossRef]
- Santos, I.; Murillo-Fuentes, J.J.; Arias-de-Reyna, E.; Olmos, P.M. Turbo EP-Based Equalization: A Filter-Type Implementation. IEEE Trans. Commun. 2018, 66, 4259–4270. [Google Scholar] [CrossRef]
- Ahin, S.S.; Cipriano, A.M.; Poulliat, C.; Boucheret, M.L. A Framework for Iterative Frequency Domain EP-Based Receiver Design. IEEE Trans. Commun. 2018, 66, 6478–6493. [Google Scholar] [CrossRef]
- Mirbadin, A.; Vannucci, A.; Colavolpe, G.; Pecori, R.; Veltri, L. Iterative Receiver Design for the Estimation of Gaussian Samples in Impulsive Noise. Appl. Sci. 2020, 11, 557. [Google Scholar] [CrossRef]
- Yang, M.; Bian, C.; Kim, H.S. OFDM-Guided Deep Joint Source Channel Coding for Wireless Multipath Fading Channels. IEEE Trans. Cog. Commun. Netw. 2022, 8, 584–599. [Google Scholar] [CrossRef]
- Mirbadin, A.; Zaraki, A. Joint Detection and Decoding over Multipath Channels: The Known Path. TechRxiv 2023. [Google Scholar] [CrossRef]
- Venus, A.; Leitinger, E.; Tertinek, S.; Meyer, F.; Witrisal, K. Graph-based Simultaneous Localization and Bias Tracking. IEEE Trans. Wirel. Commun 2024, 1. [Google Scholar] [CrossRef]
- Proakis, J.G.; Salehi, M. Digital Communications, 5th ed.; McGraw-Hill Higher Education: New York, NY, USA, 2005. [Google Scholar]
- Goldsmith, A. Wireless Communications, 1st ed.; Cambridge University Press: New York, NY, USA, 2007. [Google Scholar]





| Operations | LUT Accesses | Comparisons |
|---|---|---|
Disclaimer/Publisher’s Note: The statements, opinions and data contained in all publications are solely those of the individual author(s) and contributor(s) and not of MDPI and/or the editor(s). MDPI and/or the editor(s) disclaim responsibility for any injury to people or property resulting from any ideas, methods, instructions or products referred to in the content. |
© 2024 by the authors. Licensee MDPI, Basel, Switzerland. This article is an open access article distributed under the terms and conditions of the Creative Commons Attribution (CC BY) license (https://creativecommons.org/licenses/by/4.0/).
Share and Cite
Mirbadin, A.; Zaraki, A. Partial Path Overlapping Mitigation: An Initial Stage for Joint Detection and Decoding in Multipath Channels Using the Sum–Product Algorithm. Appl. Sci. 2024, 14, 9175. https://doi.org/10.3390/app14209175
Mirbadin A, Zaraki A. Partial Path Overlapping Mitigation: An Initial Stage for Joint Detection and Decoding in Multipath Channels Using the Sum–Product Algorithm. Applied Sciences. 2024; 14(20):9175. https://doi.org/10.3390/app14209175
Chicago/Turabian StyleMirbadin, Anoush, and Abolfazl Zaraki. 2024. "Partial Path Overlapping Mitigation: An Initial Stage for Joint Detection and Decoding in Multipath Channels Using the Sum–Product Algorithm" Applied Sciences 14, no. 20: 9175. https://doi.org/10.3390/app14209175
APA StyleMirbadin, A., & Zaraki, A. (2024). Partial Path Overlapping Mitigation: An Initial Stage for Joint Detection and Decoding in Multipath Channels Using the Sum–Product Algorithm. Applied Sciences, 14(20), 9175. https://doi.org/10.3390/app14209175

