Sign in to use this feature.

Years

Between: -

Subjects

remove_circle_outline
remove_circle_outline
remove_circle_outline
remove_circle_outline
remove_circle_outline
remove_circle_outline
remove_circle_outline
remove_circle_outline
remove_circle_outline

Journals

remove_circle_outline
remove_circle_outline
remove_circle_outline
remove_circle_outline
remove_circle_outline
remove_circle_outline
remove_circle_outline
remove_circle_outline
remove_circle_outline
remove_circle_outline
remove_circle_outline
remove_circle_outline
remove_circle_outline
remove_circle_outline
remove_circle_outline
remove_circle_outline
remove_circle_outline
remove_circle_outline

Article Types

Countries / Regions

remove_circle_outline
remove_circle_outline
remove_circle_outline
remove_circle_outline
remove_circle_outline

Search Results (2,757)

Search Parameters:
Keywords = uniform stability

Order results
Result details
Results per page
Select all
Export citation of selected articles as:
19 pages, 5705 KB  
Article
Numerical Simulation of the Compaction of Stabilized Saline–Alkali Soil Using the MatDEM Method
by Mingyu Wang, Ruotong Wang and Jinhua Gao
Appl. Sci. 2025, 15(20), 11221; https://doi.org/10.3390/app152011221 (registering DOI) - 20 Oct 2025
Abstract
The high salt content, low permeability, and fragile structure of saline–alkali land severely constrain the construction and development of irrigation channels. Compaction is an effective means of improving the soil’s engineering performance. Previous studies in this field have mostly been limited to two-dimensional [...] Read more.
The high salt content, low permeability, and fragile structure of saline–alkali land severely constrain the construction and development of irrigation channels. Compaction is an effective means of improving the soil’s engineering performance. Previous studies in this field have mostly been limited to two-dimensional numerical simulations and generally lack systematic physical experiments to support their findings, resulting in an insufficient understanding of the three-dimensional deformation mechanism and macroscopic mechanical response of soil during compaction. In view of the above limitations, this study adopts a comprehensive research framework of “physical experiment–numerical simulation”. Conducting indoor rolling model tests of control variables and simultaneously constructing the corresponding 2D and 3D discrete element models based on the MatDEM platform revealed the influence of curing agent dosage (10% and 25%), loosely laid sample thickness (10 cm and 30 cm), and number of rolling passes on the compaction effect. The test results show that the degree of compaction increases in a typical three-stage pattern of “rapid rise–slow growth–gradual stabilization” with the number of rolling passes, and the number of economic rolling passes is from 4 to 6. Increasing the dosage of the curing agent and reducing the thickness of application both significantly improve the uniformity of compaction and the final density. Numerical simulation further reveals that the 3D model can more accurately reflect the three-dimensional stress state of the soil and the spatial movement of particles, and that the simulation results are in higher agreement with the experimental data. The 2D model has greater computational efficiency and can capture the main compaction trends under specific simplified conditions, but it has deficiencies in quantitative accuracy. This study verified the effectiveness and advantages of MatDEM in simulating complex geotechnical compaction processes, providing theoretical support for an in-depth understanding of compaction mechanisms and the optimization of construction parameters using discrete element methods. Full article
Show Figures

Figure 1

22 pages, 2804 KB  
Article
Research on an Adaptive Hole Layout Method for Bench Blasting Based on Voronoi Diagram
by Maolin He, Xiaojun Zhang, Xiaoshuai Li and Wenxue Gao
Appl. Sci. 2025, 15(20), 11182; https://doi.org/10.3390/app152011182 - 18 Oct 2025
Viewed by 45
Abstract
In open-pit bench blasting design, conventional hole placement methods are limited by their inability to handle irregular blast area boundaries effectively. To address this, an adaptive hole placement algorithm based on Voronoi diagrams is proposed. This algorithm uses Voronoi diagram principles to divide [...] Read more.
In open-pit bench blasting design, conventional hole placement methods are limited by their inability to handle irregular blast area boundaries effectively. To address this, an adaptive hole placement algorithm based on Voronoi diagrams is proposed. This algorithm uses Voronoi diagram principles to divide the blast area according to its boundary conditions. Using Lloyd’s algorithm achieves a uniform distribution of blast hole points within the blast zone, enabling the p3rediction of hole coordinates. The algorithm has been developed into a bench blasting design programme using MATLAB R2021a. The programme calculates the required number of blast holes based on coverage area per blast hole charge and blast area. It then completes the entire bench blasting design by incorporating parameters such as the blast area boundary. In practice, this method enables more scientific blast design, demonstrating excellent algorithm stability and computational efficiency. It is particularly adaptable when handling irregular blast area boundaries. Full article
Show Figures

Figure 1

19 pages, 9021 KB  
Article
Study on the Thermodynamic Behavior of Large Volume Liquid Hydrogen Bottle Under the Coupling of Different Motion States and Operational Parameters
by Jun Shen, Yuhang Liu, Yongmei Hao, Fei Li and Hui Zhou
Processes 2025, 13(10), 3340; https://doi.org/10.3390/pr13103340 - 18 Oct 2025
Viewed by 39
Abstract
To investigate the variations in the thermodynamic behavior of large-volume liquid hydrogen tanks under different influencing factors, a numerical model for liquid hydrogen tanks was developed. The changes in thermodynamic behavior in vehicle-mounted liquid hydrogen bottles under different motion states, different operational pressures, [...] Read more.
To investigate the variations in the thermodynamic behavior of large-volume liquid hydrogen tanks under different influencing factors, a numerical model for liquid hydrogen tanks was developed. The changes in thermodynamic behavior in vehicle-mounted liquid hydrogen bottles under different motion states, different operational pressures, and different insulation thicknesses, and their mutual coupling scenarios were studied. The results show that the movement makes the phase state in the liquid hydrogen bottle more uniform, the pressure drop rate faster, and the temperature lower: the heating rate in the liquid hydrogen bottle at 0.85 MPa operational pressure is lower than that at 0.5 MPa and 1.2 MPa. When the operational pressure is coupled with the motion state, the influence of the motion state on the thermodynamic behavior of the fluid is dominant: the temperature near the wall rises rapidly. The temperature near the tank wall rises rapidly; however, as the thickness of the insulation layer increases, both the heating rate inside the liquid hydrogen tank and the temperature difference within the tank gradually tend to stabilize and become uniform. Full article
(This article belongs to the Section Chemical Processes and Systems)
Show Figures

Figure 1

21 pages, 8836 KB  
Article
Strain-Softening-Based Elliptical Wellbore Model for Horizontal In-Situ Stress Prediction and Wellbore Stability Analysis in the Wujiaping Formation of Kaijiang-Liangping Block, Eastern Sichuan Basin, Sichuan Province
by Xinrui Yang, Qiang Wang, Ji Xu, Meng Li, Kanhua Su, Qian Li, Liangjun Xu, Qiang Pu, Guanghui Shi, Wen Tang, Chen Jing, Bo Xu and Qifeng Qin
Processes 2025, 13(10), 3326; https://doi.org/10.3390/pr13103326 - 17 Oct 2025
Viewed by 175
Abstract
Marine shale is highly prone to wellbore collapse due to its high pore pressure, propensity for hydration and swelling, distinct bedding planes, and low tensile strength. Horizontal in situ stress serves as a critical parameter for wellbore stability analysis; however, its accurate prediction [...] Read more.
Marine shale is highly prone to wellbore collapse due to its high pore pressure, propensity for hydration and swelling, distinct bedding planes, and low tensile strength. Horizontal in situ stress serves as a critical parameter for wellbore stability analysis; however, its accurate prediction is extremely challenging in complex geological environments. Conventional studies often simplify the wellbore as a circular shape, neglecting its natural elliptical deformation under non-uniform in situ stress, which leads to reduced predictive accuracy. To address this limitation, this study establishes an elliptical wellbore model that incorporates the strain-softening characteristics of shale. Theoretical models for stress distribution in both elastic and plastic zones were derived. The strain-softening behavior was validated through triaxial compression tests, providing a foundation for analytical solutions of stress distributions around circular and elliptical wellbores. Furthermore, an elliptical wellbore-based model was developed to derive a new prediction equation for horizontal in situ stress. Numerical programming was employed to compute stress distributions, and finite element simulations under various aspect ratios corroborated the theoretical results, showing excellent agreement. Results demonstrate that the elliptical wellbore model captures the near-wellbore stress state more accurately. As the aspect ratio increases, the extreme values of radial and tangential stresses increase significantly, with pronounced stress concentrations observed around the 180° and 360° positions. Predictions of horizontal in situ stress based on the proposed model achieved over 89% accuracy when verified against field data, confirming its reliability. This study overcomes the limitations inherent in the traditional circular wellbore assumption, providing a more precise analytical method for wellbore stability assessment in Marine shale under complex geological conditions. The findings offer a valuable theoretical basis for wellbore stability management and drilling engineering design. Full article
(This article belongs to the Special Issue Development of Advanced Drilling Engineering)
Show Figures

Figure 1

21 pages, 3811 KB  
Article
TEOS-Based Fiber Fabrication via Electrospinning: Influence of Process Parameters and NMC Doping on Functional Properties
by Nida Tezgel, Yıldız Yaralı Özbek, Kristýna Jílková, Martin Havlík Míka, Mária Kolářová and Radovan Fojt
Coatings 2025, 15(10), 1220; https://doi.org/10.3390/coatings15101220 - 17 Oct 2025
Viewed by 166
Abstract
The main aim of this study is to produce TEOS-based fibers using the electrospinning method with solutions without carrier polymers, unlike most TEOS-based fibers that are produced with polymer additives. This study provides fundamental insights into the production and characterization of TEOS-based fibers [...] Read more.
The main aim of this study is to produce TEOS-based fibers using the electrospinning method with solutions without carrier polymers, unlike most TEOS-based fibers that are produced with polymer additives. This study provides fundamental insights into the production and characterization of TEOS-based fibers and offers a general overview of their potential applications. We investigate the production and overlaying of their morphological, chemical, thermal, and electrochemical properties. The effects of electrospinning parameters such as voltage, flow rate, and solution viscosity on fiber morphology were examined, revealing a strong dependence of fiber diameter and structural uniformity on these parameters. Furthermore, TEOS-based fibers containing nickel–manganese–cobalt oxide (NMC) were fabricated, and their electrochemical behavior was investigated. The analyses indicate that the addition of NMC enhances the electrochemical properties of the TEOS fibers; however, the system still requires further improvement to be effective in energy-storage applications. To investigate how the flow properties of the solution affect fiber generation during electrospinning, viscosity measurements were conducted on the TEOS-based solution. Differential thermal analysis (DTA) was applied to assess the thermal behavior and stability of the fibers at elevated temperatures. The produced fibers were analyzed using various characterization techniques. As a result, thin fibers were successfully produced. Full article
Show Figures

Figure 1

15 pages, 2122 KB  
Article
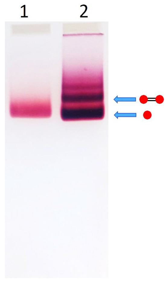
DNA–Gold Nanoparticle Dumbbells: Synthesis and Nanoscale Characterization
by Esraa Hijaze, Liat Katrivas, Zakhar Reveguk, Shachar Richter and Alexander B. Kotlyar
Nanomaterials 2025, 15(20), 1583; https://doi.org/10.3390/nano15201583 - 17 Oct 2025
Viewed by 198
Abstract
We report an efficient, high-yield method for synthesizing dumbbell-shaped conjugates composed of gold nanoparticles (AuNPs) connected by double-stranded (ds) DNA. The dsDNA, bearing terminal thiol groups, was covalently attached to two AuNPs to form uniform constructs comprising either 15 nm or 25 nm [...] Read more.
We report an efficient, high-yield method for synthesizing dumbbell-shaped conjugates composed of gold nanoparticles (AuNPs) connected by double-stranded (ds) DNA. The dsDNA, bearing terminal thiol groups, was covalently attached to two AuNPs to form uniform constructs comprising either 15 nm or 25 nm particles bridged by 38 base pairs (bp) or 100 bp dsDNA. The dumbbells were purified by gel electrophoresis and exhibited high stability, remaining intact for several days in pure water or buffers at ambient temperature. Deposition onto solid substrates followed by drying, however, led to their partial structural collapse. TEM imaging showed that deposition on carbon grids typically yielded dumbbell structures with interparticle gaps of only 1–2 nm, suggesting that the dsDNA bridge contracts during deposition and drying. However, deposition on polylysine-coated mica for AFM imaging preserved the native geometry, with the gaps consistent with the expected DNA length. Our results reveal that deposition significantly affects the structure and integrity of dsDNA bridges in dumbbell constructs, highlighting the importance of appropriate substrate and surface coating selection for reliable characterization of DNA properties in dried dumbbells. Full article
(This article belongs to the Section Biology and Medicines)
Show Figures

Graphical abstract

23 pages, 4043 KB  
Article
Development of Bio-Based Benzoxazine V-fa/PEG/Carbon Black Composites: Thermal and Mechanical Properties
by Nattapon Chaiwichian, Chaitawat Saelee, Kamontip Kuttiyawong, Sarawut Rimdusit, Kasinee Hemvichian, Pattra Lertsarawut and Sunan Tiptipakorn
Polymers 2025, 17(20), 2776; https://doi.org/10.3390/polym17202776 - 16 Oct 2025
Viewed by 409
Abstract
In this study, the blends of bio-based polybenzoxazine (V-fa type) and poly(ethylene glycol) (PEG) with PEG contents from 50 to 95 wt% and different molecular weights were developed to improve the flexibility of thermosetting polymers. Of these blends, PEG 8k at 80 wt%, [...] Read more.
In this study, the blends of bio-based polybenzoxazine (V-fa type) and poly(ethylene glycol) (PEG) with PEG contents from 50 to 95 wt% and different molecular weights were developed to improve the flexibility of thermosetting polymers. Of these blends, PEG 8k at 80 wt%, which exhibited the best processability, was selected for further development via compositing with carbon black (CB) from 0 to 20 phr. Differential Scanning Calorimetry (DSC) analysis revealed that the melting temperature (Tm) increased from 70 to 83 °C and glass transition temperatures (Tg) increased from –53 to –48 °C at 20 phr. Thermogravimetric Analysis (TGA) demonstrated high thermal stability, with Tdmax (for all CB contents) presented at ca. 416 °C. Moreover, char yield was increased from 10% (without CB) to 28% (20 phr), reflecting improved decomposition resistance. Mechanical properties demonstrated that CB significantly reinforced the composites. The flexural modulus and flexural strength were increased from 117.18 MPa (without CB) to 456 MPa (10 phr) and from 2.42 MPa (without CB) to 3.94 MPa (2.5 phr), respectively. The SEM images confirmed uniform morphology and good filler dispersion. Conclusively, the composites of 8k PEG 80 wt% filled with 2.5 phr of CB provided an optimal balance of mechanical and thermal stability and engineering polymer applications. Full article
Show Figures

Graphical abstract

17 pages, 3251 KB  
Article
Synergistic Promotion Strategies for Ni-Based Catalysts in Methane Dry Reforming: Suppressing Sintering and Carbon Deposition
by Xianghong Fang, Fuchu Qin, Lian Peng, Mengying Lv and Han Zeng
Processes 2025, 13(10), 3322; https://doi.org/10.3390/pr13103322 - 16 Oct 2025
Viewed by 201
Abstract
Methane dry reforming (DRM) represents a promising route for the simultaneous valorization of CH4 and CO2 into syngas; however, conventional Ni-based catalysts suffer from rapid deactivation due to sintering and carbon deposition. In this work, we present a synergistically engineered Ni-based [...] Read more.
Methane dry reforming (DRM) represents a promising route for the simultaneous valorization of CH4 and CO2 into syngas; however, conventional Ni-based catalysts suffer from rapid deactivation due to sintering and carbon deposition. In this work, we present a synergistically engineered Ni-based catalyst integrating hierarchical SiC confinement, Pd promotion via oleic-acid-assisted complexation, and MgO surface modification to overcome these challenges. Under optimized reaction conditions (CH4/CO2 = 1:1, 750 °C, GHSV = 36,000 mL g−1 h−1), the multifunctional NiPd/Si–xMg catalyst achieved steady-state conversions of 85% for CH4 and 84% for CO2, maintaining an H2/CO ratio close to 1.0 over 100 h of continuous operation without noticeable deactivation. In contrast, the reference Ni/SiC and Ni/MgO catalysts exhibited initial conversions of 75–80% but declined by more than 50% within the same period, confirming the superior durability of the optimized system. Thermogravimetric analysis (TGA) revealed a drastic reduction in carbon deposition—from 119.0 mg C g−1 for Ni/SiC to 81.4 mg C g−1 for NiPd/Si-xMg—indicating enhanced coke resistance. Transmission electron microscopy (TEM) confirmed uniform Ni dispersion with an average particle size of 7.2 ± 1.8 nm, while H2-TPR and CO2-TPD analyses demonstrated improved reducibility and surface basicity. The combination of SiC confinement, Pd-induced hydrogen spillover, and MgO-mediated CO2 activation effectively mitigated sintering and carbon accumulation, resulting in high activity, stability, and carbon tolerance. This integrated catalyst design provides a robust pathway toward industrially viable DRM systems for sustainable syngas production. Full article
(This article belongs to the Section Catalysis Enhanced Processes)
Show Figures

Figure 1

13 pages, 341 KB  
Article
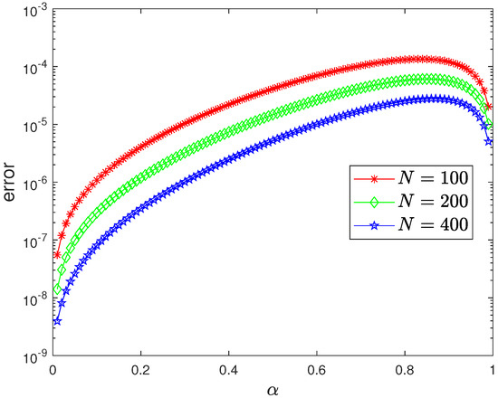
Analysis of a Finite Difference Method for a Time-Fractional Black–Scholes Equation
by Qingzhao Li, Chaobao Huang, Tao Sun and Hu Chen
Fractal Fract. 2025, 9(10), 665; https://doi.org/10.3390/fractalfract9100665 - 16 Oct 2025
Viewed by 88
Abstract
The goal of this paper is to give an error analysis of a finite difference method for a time-fractional Black–Scholes equation with weakly singular solutions. The time Gerasimov-Caputo derivative is discretized by the L1 scheme on a graded mesh designed to compensate for [...] Read more.
The goal of this paper is to give an error analysis of a finite difference method for a time-fractional Black–Scholes equation with weakly singular solutions. The time Gerasimov-Caputo derivative is discretized by the L1 scheme on a graded mesh designed to compensate for the initial singularities, and a standard finite difference method is used for spatial discretization on a uniform mesh. A discrete comparison principle is presented for the fully discrete scheme, and stability and convergence of the scheme in maximum norm are established by constructing some appropriate barrier functions. Furthermore, an α-robust pointwise error estimate of the fully discrete scheme on a uniform mesh is given. Finally, some numerical results are presented to show the sharpness of the error estimate. Full article
Show Figures

Figure 1

19 pages, 2933 KB  
Article
Oxyresveratrol-Loaded Electrospun Cellulose Acetate/Poly(ε-caprolactone) Nanofibers with Enhanced Stability and Bioactivity
by Nilubon Sornkaew, Piyanan Thuamwong, Apisit Anantanasan, Kornkanya Pratumyot, Siwattra Choodej, Kittichai Chaiseeda, Choladda Srisuwannaket, Withawat Mingvanish and Nakorn Niamnont
AppliedChem 2025, 5(4), 28; https://doi.org/10.3390/appliedchem5040028 - 16 Oct 2025
Viewed by 82
Abstract
Electrospun fibers serve as a medium for the targeted release of active compounds, facilitating the desired therapeutic effects in drug administration. The point of this study was to find the best conditions for making electrospun fibers from cellulose acetate (CA) and poly(ε-caprolactone) (PCL), [...] Read more.
Electrospun fibers serve as a medium for the targeted release of active compounds, facilitating the desired therapeutic effects in drug administration. The point of this study was to find the best conditions for making electrospun fibers from cellulose acetate (CA) and poly(ε-caprolactone) (PCL), mixed with pure oxyresveratrol extract from Artrocarpus lakoocha Roxberg (Moraceae). Additionally, the study focused on evaluating the antioxidant properties, antityrosinase activity, and freeze–thaw stability of the resulting fibers. We incorporated a concentration of oxyresveratrol at 0.1% w/w into various mass ratios of CA/PCL blended fiber sheets (1:0, 3:1, 1:1, 1:3), utilizing mixed solvents of acetone/DMF (2:1% v/v) and chloroform/DMF (9:1% v/v) for preparation. The fiber sheets displayed a continuous and uniform structure, with fiber diameters ranging from 300 to 1000 nanometers. We investigated the release kinetics of oxyresveratrol from the fibrous substrates using the total immersion technique, specifically in phosphate-buffered saline at a pH of 7.4. The results showed that the fiber sheet with a 3:1 w/w ratio of CA to PCL and a 0.1 w/w loading of oxyresveratrol showed the most significant release of oxyresveratrol at the 2 h mark, and it continued to release consistently at this peak value for up to 24 h. The antioxidant and anti-tyrosinase properties of oxyresveratrol in fiber sheets were more stable than those of free oxyresveratrol at the same concentrations. The fiber sheet presents a promising avenue for a user-friendly transdermal patch application. Full article
Show Figures

Figure 1

15 pages, 2955 KB  
Article
Dual-Responsive Hybrid Microgels Enabling Phase Inversion in Pickering Emulsions
by Minyue Shen, Lin Qi, Li Zhang, Panfei Ma, Wei Liu, To Ngai and Hang Jiang
Polymers 2025, 17(20), 2762; https://doi.org/10.3390/polym17202762 - 15 Oct 2025
Viewed by 243
Abstract
Pickering emulsions have emerged as promising multiphase systems owing to their high stability and diverse applications in materials and chemical engineering. However, achieving precise and stimuli-responsive regulation of emulsion type, particularly reversible phase inversion between oil-in-water and water-in-oil states under fixed formulation without [...] Read more.
Pickering emulsions have emerged as promising multiphase systems owing to their high stability and diverse applications in materials and chemical engineering. However, achieving precise and stimuli-responsive regulation of emulsion type, particularly reversible phase inversion between oil-in-water and water-in-oil states under fixed formulation without additional stabilizers, remains a considerable challenge. In this work, we developed a sol–gel strategy, i.e., in situ hydrolysis and condensation of silane precursors to form a silica shell directly on responsive microgels, to produce H-SiO2@P(NIPAM-co-MAA) hybrid microgels. The resulting hybrid particles simultaneously retained pH and temperature responsiveness, enabling the transfer of these properties from the polymeric network to the emulsion interface. When employed as stabilizers, the hybrid microgels allowed the controlled formation of Pickering emulsions that remained stable for one week under testing conditions. More importantly, they facilitated in situ reversible phase inversion under external stimuli. Overall, this work establishes a sol–gel approach to fabricate organic–inorganic hybrid microgels with well-defined dispersion and uniform silica deposition, while preserving dual responsiveness and enabling controlled phase inversion of Pickering emulsions. Full article
(This article belongs to the Section Polymer Chemistry)
Show Figures

Figure 1

15 pages, 1242 KB  
Article
Geranium Oil Nanoemulsion Delivers More Potent and Persistent Fumigant Control of Callosobruchus maculatus in Stored Grain
by Samar Sayed Ibrahim, Ameya D. Gondhalekar, Kurt Ristroph and Dieudonne Baributsa
Foods 2025, 14(20), 3514; https://doi.org/10.3390/foods14203514 - 15 Oct 2025
Viewed by 229
Abstract
Plant essential oils offer eco-friendly alternatives to insecticides, though their instability limits effectiveness. This study evaluated the physicochemical stability and fumigant efficacy of geranium (Pelargonium graveolens) oil nanoemulsion (GONE) versus bulk geranium oil (GOB) against Callosobruchus maculatus. Geranium oil nanoemulsions [...] Read more.
Plant essential oils offer eco-friendly alternatives to insecticides, though their instability limits effectiveness. This study evaluated the physicochemical stability and fumigant efficacy of geranium (Pelargonium graveolens) oil nanoemulsion (GONE) versus bulk geranium oil (GOB) against Callosobruchus maculatus. Geranium oil nanoemulsions (GONEs) were prepared via spontaneous emulsification using 8% oil and varying surfactant levels. The 10% surfactant formulation produced the most uniform and stable nanoemulsion, with an average droplet size of 91.85 ± 0.02 nm and a low polydispersity index of 0.16 ± 0.02. No significant changes in droplet size were observed after 30 days of storage at room temperature and 9 °C, confirming the formulation’s stability. A fumigant bioassay was conducted using five concentrations (50, 100, 150, 200, and 250 µL/L air) of GOB and GONE over 24, 48, 72, and 96 h. Both forms exhibited concentration- and time-dependent toxicity against C. maculatus. Complete mortality was achieved sooner and at lower doses with GONE (72 h at 150 µL/L air versus 250 µL/L air for GOB; 96 h at 150 µL/L air for GONE versus 200 µL/L air for GOB). Geranium oil nanoemulsion consistently produced lower LC50 and LC90 values, indicating greater potency. It also significantly reduced progeny development. Residual fumigant bioassays at the LC90 level showed that GONE retained efficacy against C. maculatus adults longer than GOB, causing 50% mortality 12 days post-treatment compared to 21% for GOB. Overall, nanoformulation enhanced the potency and persistence of geranium oil, highlighting its promise for protecting stored grains from C. maculatus. Full article
Show Figures

Figure 1

20 pages, 4701 KB  
Article
FMCW LiDAR Nonlinearity Compensation Based on Deep Reinforcement Learning with Hybrid Prioritized Experience Replay
by Zhiwei Li, Ning Wang, Yao Li, Jiaji He and Yiqiang Zhao
Photonics 2025, 12(10), 1020; https://doi.org/10.3390/photonics12101020 - 15 Oct 2025
Viewed by 139
Abstract
Frequency-modulated continuous-wave (FMCW) LiDAR systems are extensively utilized in industrial metrology, autonomous navigation, and geospatial sensing due to their high precision and resilience to interference. However, the intrinsic nonlinear dynamics of laser systems introduce significant distortion, adversely affecting measurement accuracy. Although conventional iterative [...] Read more.
Frequency-modulated continuous-wave (FMCW) LiDAR systems are extensively utilized in industrial metrology, autonomous navigation, and geospatial sensing due to their high precision and resilience to interference. However, the intrinsic nonlinear dynamics of laser systems introduce significant distortion, adversely affecting measurement accuracy. Although conventional iterative pre-distortion correction methods can effectively mitigate nonlinearities, their long-term reliability is compromised by factors such as temperature-induced drift and component aging, necessitating periodic recalibration. In light of recent advances in artificial intelligence, deep reinforcement learning (DRL) has emerged as a promising approach to adaptive nonlinear compensation. By continuously interacting with the environment, DRL agents can dynamically modify correction strategies to accommodate evolving system behaviors. Nonetheless, existing DRL-based methods often exhibit limited adaptability in rapidly changing nonlinear contexts and are constrained by inefficient uniform experience replay mechanisms that fail to emphasize critical learning samples. To address these limitations, this study proposes an enhanced Soft Actor-Critic (SAC) algorithm incorporating a hybrid prioritized experience replay framework. The prioritization mechanism integrates modulation frequency (MF) error and temporal difference (TD) error, enabling the algorithm to dynamically reconcile short-term nonlinear perturbations with long-term optimization goals. Furthermore, a time-varying delayed experience (TDE) injection strategy is introduced, which adaptively modulates data storage intervals based on the rate of change in modulation frequency error, thereby improving data relevance, enhancing sample diversity, and increasing training efficiency. Experimental validation demonstrates that the proposed method achieves superior convergence speed and stability in nonlinear correction tasks for FMCW LiDAR systems. The residual nonlinearity of the upward and downward frequency sweeps was reduced to 1.869×105 and 1.9411×105, respectively, with a spatial resolution of 0.0203m. These results underscore the effectiveness of the proposed approach in advancing intelligent calibration methodologies for LiDAR systems and highlight its potential for broad application in high-precision measurement domains. Full article
(This article belongs to the Special Issue Advancements in Optical Measurement Techniques and Applications)
Show Figures

Figure 1

17 pages, 1167 KB  
Article
Resilience of Specialized Transportation Systems for People with Disabilities Under Extreme Weather Conditions
by Jinuk Hwang
Systems 2025, 13(10), 906; https://doi.org/10.3390/systems13100906 - 15 Oct 2025
Viewed by 112
Abstract
Climate change is increasing the frequency of extreme weather events, posing critical challenges for the resilience of specialized transportation services (STSs) that provide essential mobility for people with disabilities. In the South Korean context, heatwaves, cold spells, and heavy rainfall are particularly relevant [...] Read more.
Climate change is increasing the frequency of extreme weather events, posing critical challenges for the resilience of specialized transportation services (STSs) that provide essential mobility for people with disabilities. In the South Korean context, heatwaves, cold spells, and heavy rainfall are particularly relevant because they directly affect health risks, trip demand, and operational reliability, making them central stressors for evaluating STS resilience in Busan. This study examines STS resilience in Busan, South Korea, focusing on three weather stressors: heatwaves, cold spells, and heavy rainfall. Large-scale operational data from the STSs of Busan were analyzed using the 4R (robustness, rapidity, redundancy, and resourcefulness) framework to classify daily service performance into distinct profiles. The analysis revealed that heatwaves coincided with reduced trip demand and shorter waiting times, yet this apparent stability reflected demand suppression rather than genuine robustness. Heavy rainfall produced the most severe disruptions, with longer and more variable waiting times that exacerbated inequities across users. Cold spells were associated with rapid recovery and the preservation of critical trips, although the small number of cases limits broader interpretation. These findings indicate that resilience in STSs is not uniform but event-specific, offering policy insights for strengthening operational stability and promoting equity in accessible transport. Full article
(This article belongs to the Section Systems Practice in Social Science)
Show Figures

Figure 1

20 pages, 2357 KB  
Article
Numerical Study of a Solar Dryer Prototype with Microencapsulated Phase Change Materials for Rice Drying
by Hector Riande, Itamar Harris, Edwin Collado, Antony Garcia and Yessica Saez
Energies 2025, 18(20), 5427; https://doi.org/10.3390/en18205427 - 15 Oct 2025
Viewed by 188
Abstract
This study presents a numerical investigation of a solar dryer prototype integrated with microencapsulated phase change material (MPCM) for rice drying under tropical climatic conditions. The thermal and drying behavior of the system was evaluated under the following four configurations: a baseline solar [...] Read more.
This study presents a numerical investigation of a solar dryer prototype integrated with microencapsulated phase change material (MPCM) for rice drying under tropical climatic conditions. The thermal and drying behavior of the system was evaluated under the following four configurations: a baseline solar dryer, a dryer with MPCM only, a dryer with an auxiliary heater, and a combined system using both MPCM and auxiliary heating. The prototype was also tested with rice layers of 25 mm and 45 mm to assess the influence of layer thickness on drying performance. The results showed that the use of MPCM reduced temperature fluctuations from about ΔT70 °C in the baseline case to stabilized values near 33–34 °C (MPCM only) and 35–38 °C (MPCM + heater), contributing to a more stable thermal environment. In thinner layers (25 mm), MPCM helped prevent localized overheating, while in thicker layers (45 mm), it promoted more uniform moisture reduction. However, the overall improvement in drying performance was marginal, as efficiency remained strongly dependent on heater support. The study points out the need for improved integration of PCM within dryer design. Enhanced thermal contact and strategic preheating of MPCM could improve heat discharge during non-solar periods. Future work will focus on experimental validation, design optimization, and the development of preheating strategies to maximize the benefits of PCM-assisted solar drying systems. Full article
Show Figures

Figure 1

Back to TopTop