Sign in to use this feature.

Years

Between: -

Subjects

remove_circle_outline
remove_circle_outline
remove_circle_outline
remove_circle_outline
remove_circle_outline
remove_circle_outline
remove_circle_outline
remove_circle_outline
remove_circle_outline

Journals

remove_circle_outline
remove_circle_outline
remove_circle_outline
remove_circle_outline
remove_circle_outline
remove_circle_outline
remove_circle_outline
remove_circle_outline
remove_circle_outline
remove_circle_outline
remove_circle_outline
remove_circle_outline
remove_circle_outline
remove_circle_outline
remove_circle_outline
remove_circle_outline
remove_circle_outline
remove_circle_outline
remove_circle_outline
remove_circle_outline
remove_circle_outline
remove_circle_outline
remove_circle_outline
remove_circle_outline
remove_circle_outline
remove_circle_outline
remove_circle_outline
remove_circle_outline
remove_circle_outline
remove_circle_outline
remove_circle_outline

Article Types

Countries / Regions

remove_circle_outline
remove_circle_outline
remove_circle_outline
remove_circle_outline
remove_circle_outline
remove_circle_outline
remove_circle_outline

Search Results (5,146)

Search Parameters:
Keywords = uncertainty prediction

Order results
Result details
Results per page
Select all
Export citation of selected articles as:
36 pages, 7466 KB  
Article
Prediction and Uncertainty Quantification of Flow Rate Through Rectangular Top-Hinged Gate Using Hybrid Gradient Boosting Models
by Pourya Nejatipour, Giuseppe Oliveto, Ibrokhim Sapaev, Ehsan Afaridegan and Reza Fatahi-Alkouhi
Water 2025, 17(24), 3470; https://doi.org/10.3390/w17243470 (registering DOI) - 6 Dec 2025
Abstract
Accurate estimation of flow discharge, Q, through hydraulic structures such as spillways and gates is of great importance in water resources engineering. Each hydraulic structure, due to its unique characteristics, requires a specific and comprehensive study. In this regard, the present study [...] Read more.
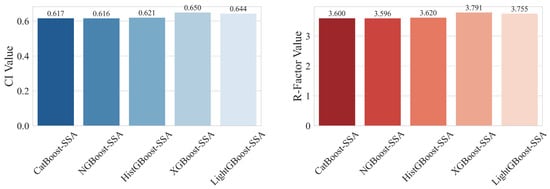
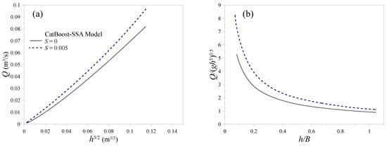
Accurate estimation of flow discharge, Q, through hydraulic structures such as spillways and gates is of great importance in water resources engineering. Each hydraulic structure, due to its unique characteristics, requires a specific and comprehensive study. In this regard, the present study innovatively focuses on predicting Q through Rectangular Top-Hinged Gates (RTHGs) using advanced Gradient Boosting (GB) models. The GB models evaluated in this study include Categorical Boosting (CatBoost), Histogram-based Gradient Boosting (HistGBoost), Light Gradient Boosting Machine (LightGBoost), Natural Gradient Boosting (NGBoost), and Extreme Gradient Boosting (XGBoost). One of the essential factors in developing artificial intelligence models is the accurate and proper tuning of their hyperparameters. Therefore, four powerful metaheuristic algorithms—Covariance Matrix Adaptation Evolution Strategy (CMA-ES), Sparrow Search Algorithm (SSA), Particle Swarm Optimization (PSO), and Genetic Algorithm (GA)—were evaluated and compared for hyperparameter tuning, using LightGBoost as the baseline model. An assessment of error metrics, convergence speed, stability, and computational cost revealed that SSA achieved the best performance for the hyperparameter optimization of GB models. Consequently, hybrid models combining GB algorithms with SSA were developed to predict Q through RTHGs. Random split was used to divide the dataset into two sets, with 70% for training and 30% for testing. Prediction uncertainty was quantified via Confidence Intervals (CI) and the R-Factor index. CatBoost-SSA produced the most accurate prediction performance among the models (R2 = 0.999 training, 0.984 testing), and NGBoost-SSA provided the lowest uncertainty (CI = 0.616, R-Factor = 3.596). The SHapley Additive exPlanations (SHAP) method identified h/B (upstream water depth to channel width ratio) and channel slope, S, as the most influential predictors. Overall, this study confirms the effectiveness of SSA-optimized boosting models for reliable and interpretable hydraulic modeling, offering a robust tool for the design and operation of gated flow control systems. Full article
Show Figures

Figure 1

38 pages, 2910 KB  
Article
Interpretation of the Pile Static Load Test Using Artificial Neural Networks
by Artur Sławomir Góral and Marek Lefik
Buildings 2025, 15(24), 4414; https://doi.org/10.3390/buildings15244414 (registering DOI) - 6 Dec 2025
Abstract
This study presents a novel approach for interpreting static load tests (SLT) of piles using Artificial Neural Networks (ANNs) integrated with the Meyer and Kowalow load-settlement mathematical model. Reliable estimation of pile bearing capacity and settlement behavior is critical for safe and economical [...] Read more.
This study presents a novel approach for interpreting static load tests (SLT) of piles using Artificial Neural Networks (ANNs) integrated with the Meyer and Kowalow load-settlement mathematical model. Reliable estimation of pile bearing capacity and settlement behavior is critical for safe and economical geotechnical design, particularly given the nonlinear and heterogeneous nature of soils. Traditional SLT interpretation methods, such as Chin-Kondner, Decourt, and hyperbolic fitting approaches, provide useful extrapolation of the ultimate capacity but are sensitive to test termination levels and parameter estimation uncertainties. The Meyer and Kowalow function offers a robust mathematical representation of the load-settlement curve, allowing decomposition of the total pile resistance into the shaft and base components. In this work, ANN models were trained to solve both the direct and inverse forms of the Meyer and Kowalow problem, enabling rapid identification of constitutive parameters (initial stiffness, nonlinearity coefficient, and ultimate capacity) from measured SLT data. Numerical experiments demonstrated that networks with a single hidden layer achieved accurate predictions with low RMSE for both training and test sets. The proposed ANN-based framework facilitates improved parameter identification, supports partial-load SLT interpretation, and provides a practical tool for engineers seeking the reliable prediction of pile performance under service loads. Full article
(This article belongs to the Section Building Structures)
18 pages, 6983 KB  
Article
Predictability of Landfalling Typhoon Tracks in East China Based on Ensemble Sensitivity Analysis
by Jing Zhang, Shoupeng Zhu, Yan Tan and Chen Chen
Remote Sens. 2025, 17(24), 3944; https://doi.org/10.3390/rs17243944 - 5 Dec 2025
Abstract
Accurate typhoon track forecasting is vital for disaster mitigation in East China, a region frequently impacted by landfalling typhoons. Despite advances in numerical weather prediction, uncertainties remain high, especially within 48 h of landfall, due to complex interactions among tropical cyclones, the subtropical [...] Read more.
Accurate typhoon track forecasting is vital for disaster mitigation in East China, a region frequently impacted by landfalling typhoons. Despite advances in numerical weather prediction, uncertainties remain high, especially within 48 h of landfall, due to complex interactions among tropical cyclones, the subtropical high, and mesoscale systems. This study applies Ensemble-based Sensitivity Analysis (ESA) within a high-resolution regional ensemble prediction system (Shanghai Weather And Risk Model System-Ensemble Prediction System, SWARMS-EN) to investigate forecast uncertainties of three representative typhoons—Gaemi, Bebinca, and Kong-rey—that made landfall in East China in 2024. Our results reveal consistent sensitivity patterns across diverse large-scale environments, particularly around the western flank of the subtropical high and in proximity to nearby low-pressure systems. Track uncertainty was closely tied to fluctuations in the steering flow, notably its zonal component. Moreover, binary typhoon interactions emerged as key drivers of forecast divergence. ESA effectively identified sensitive regions where small initial perturbations exert significant downstream influence on typhoon tracks. This study demonstrates the operational value of ESA for diagnosing forecast error sources and guiding targeted observations. By linking forecast uncertainty to physical mechanisms, this research enhances our understanding of typhoon predictability and supports the development of more adaptive and accurate regional forecasting systems. Full article
18 pages, 1237 KB  
Article
Spatiotemporal Coupled State Prediction Model for Local Power Grids Under Renewable Energy Disturbances
by Zhixin Suo, Jingyang Zhou, Yukai Chen, Zihao Zhang, Liang Zhao, Shanshan Bai, Pengyu Wang and Kangli Liu
Modelling 2025, 6(4), 161; https://doi.org/10.3390/modelling6040161 - 5 Dec 2025
Abstract
The modern power system is becoming increasingly complex, and the uncertainty in the operation of each link has intensified the possibility of risks emerging. Therefore, efficient risk prediction is of great significance for maintaining the reliable operation of the entire system. In this [...] Read more.
The modern power system is becoming increasingly complex, and the uncertainty in the operation of each link has intensified the possibility of risks emerging. Therefore, efficient risk prediction is of great significance for maintaining the reliable operation of the entire system. In this paper, to address the uncertainty and spatiotemporal coupling in local power grids with renewable integration, an integrated “state prediction–risk assessment–early warning” framework is proposed. A spatiotemporal graph neural network is used to predict node voltage, power, and phase angles under topological constraints, where physics-aware graph attention, disturbance-enhanced temporal modeling, and prediction-smoothing constraints are jointly incorporated to improve sensitivity to renewable fluctuations and ensure stable multi-step forecasting. Furthermore, voltage deviation, power fluctuation, and phase-angle variation are quantified to compute a composite risk index via normalized softmax weighting, with factor contributions enhancing interpretability. Test results on the IEEE 33-bus system under diverse disturbances show improved accuracy and stability over baselines, showing consistently lower MAE/RMSE than three baselines across all disturbance scenarios while pinpointing high-risk nodes and causes, highlighting good engineering potential. Full article
(This article belongs to the Section Modelling in Artificial Intelligence)
27 pages, 11259 KB  
Article
Using Machine Learning Methods to Predict Cognitive Age from Psychophysiological Tests
by Daria D. Tyurina, Sergey V. Stasenko, Konstantin V. Lushnikov and Maria V. Vedunova
Healthcare 2025, 13(24), 3193; https://doi.org/10.3390/healthcare13243193 - 5 Dec 2025
Abstract
Background/Objectives: This paper presents the results of predicting chronological age from psychophysiological tests using machine learning regressors. Methods: Subjects completed a series of psychological tests measuring various cognitive functions, including reaction time and cognitive conflict, short-term memory, verbal functions, and color and spatial [...] Read more.
Background/Objectives: This paper presents the results of predicting chronological age from psychophysiological tests using machine learning regressors. Methods: Subjects completed a series of psychological tests measuring various cognitive functions, including reaction time and cognitive conflict, short-term memory, verbal functions, and color and spatial perception. The sample included 99 subjects, 68 percent of whom were men and 32 percent were women. Based on the test results, 43 features were generated. To determine the optimal feature selection method, several approaches were tested alongside the regression models using MAE, R2, and CV_R2 metrics. SHAP and Permutation Importance (via Random Forest) delivered the best performance with 10 features. Features selected through Permutation Importance were used in subsequent analyses. To predict participants’ age from psychophysiological test results, we evaluated several regression models, including Random Forest, Extra Trees, Gradient Boosting, SVR, Linear Regression, LassoCV, RidgeCV, ElasticNetCV, AdaBoost, and Bagging. Model performance was compared using the determination coefficient (R2) and mean absolute error (MAE). Cross-validated performance (CV_R2) was estimated via 5-fold cross-validation. To assess metric stability and uncertainty, bootstrapping (1000 resamples) was applied to the test set, yielding distributions of MAE and RMSE from which mean values and 95% confidence intervals were derived. Results: The study identified RidgeCV with winsorization and standardization as the best model for predicting cognitive age, achieving a mean absolute error of 5.7 years and an R2 of 0.60. Feature importance was evaluated using SHAP values and permutation importance. SHAP analysis showed that stroop_time_color and stroop_var_attempt_time were the strongest predictors, followed by several task-timing features with moderate contributions. Permutation importance confirmed this ranking, with these two features causing the largest performance drop when permuted. Partial dependence plots further indicated clear positive relationships between these key features and predicted age. Correlation analysis stratified by sex revealed that most features were significantly associated with age, with stronger effects generally observed in men. Conclusions: Feature selection revealed Stroop timing measures and task-related metrics from math and campimetry tests as the strongest predictors, reflecting core cognitive processes linked to aging. The results underscore the value of careful outlier handling, feature selection, and interpretable regularized models for analyzing psychophysiological data. Future work should include longitudinal studies and integration with biological markers to further improve clinical relevance. Full article
(This article belongs to the Special Issue AI-Driven Healthcare Insights)
23 pages, 2117 KB  
Article
Inferring Cosmological Parameters with Evidential Physics-Informed Neural Networks
by Hai Siong Tan
Universe 2025, 11(12), 403; https://doi.org/10.3390/universe11120403 - 5 Dec 2025
Abstract
We examine the use of a novel variant of Physics-Informed Neural Networks to predict cosmological parameters from recent supernovae and baryon acoustic oscillations (BAO) datasets. Our machine learning framework generates uncertainty estimates for target variables and the inferred unknown parameters of the underlying [...] Read more.
We examine the use of a novel variant of Physics-Informed Neural Networks to predict cosmological parameters from recent supernovae and baryon acoustic oscillations (BAO) datasets. Our machine learning framework generates uncertainty estimates for target variables and the inferred unknown parameters of the underlying PDE descriptions. Built upon a hybrid of the principles of Evidential Deep Learning, Physics-Informed Neural Networks, Bayesian Neural Networks, and Gaussian Processes, our model enables learning the posterior distribution of the unknown PDE parameters through standard gradient-descent-based training. We apply our model to an up-to-date BAO dataset (Bousis et al. 2024) calibrated with the CMB-inferred sound horizon, and the Pantheon+ Sne Ia distances (Scolnic et al. 2018), examining the relative effectiveness and mutual consistency among the standard ΛCDM, wCDM and ΛsCDM models. Unlike previous results arising from the standard approach of minimizing an appropriate χ2 function, the posterior distributions for parameters in various models trained purely on Pantheon+ data were found to be largely contained within the 2σ contours of their counterparts trained on BAO data. Our study illustrates how a data-driven machine learning approach can be suitably adapted for cosmological parameter inference. Full article
(This article belongs to the Section Cosmology)
Show Figures

Figure 1

27 pages, 19042 KB  
Article
A Global Distribution-Aware Network for Open-Set Hyperspectral Image Classification
by Fengcheng Ji, Wenzhi Zhao, Qiao Wang and Rui Peng
Remote Sens. 2025, 17(24), 3938; https://doi.org/10.3390/rs17243938 - 5 Dec 2025
Abstract
Recently, developments in hyperspectral image (HSI) classification have brought increasing attention to the challenges of the open-set problem. However, current open-set methods generally overlook the intra-class multimodal structure, making it difficult to comprehensively capture the global data distribution, which in turn reduces their [...] Read more.
Recently, developments in hyperspectral image (HSI) classification have brought increasing attention to the challenges of the open-set problem. However, current open-set methods generally overlook the intra-class multimodal structure, making it difficult to comprehensively capture the global data distribution, which in turn reduces their ability to distinguish known from unknown classes. To address this, we propose a novel global distribution-aware network (GDAN) that jointly performs pixel-wise HSI classification and trustworthy uncertainty-aware identification of unknown class. First, a generative adversarial network (GAN) is employed as the backbone, enhanced with a self-attention (SA) module to capture long-range dependencies across the extensive spectral bands of hyperspectral data. Second, an interpretable open-set HSI classification framework is designed, combining GAN with Markov Chain Monte Carlo (MCMC) to model global distribution by exploring intra-class multimodal structures and estimate predictive uncertainty. In this framework, the traditionally fixed discriminator weights are reformulated as probability distributions, and posterior inference is conducted using MCMC within a Bayesian framework. Finally, accurate categories and predictive uncertainty of ground objects can be obtained through posterior sampling, while samples with high uncertainty are assigned to the unknown class, thus enabling accurate open-set HSI classification. Extensive experiments on three benchmark HSI datasets demonstrate the superiority of the proposed GDAN for open-set HSI classification, yielding overall classification accuracies of 94.6%, 92.6%, and 94.8% in the 200-sample scenario. Full article
Show Figures

Figure 1

18 pages, 1993 KB  
Article
Prediction, Uncertainty Quantification, and ANN-Assisted Operation of Anaerobic Digestion Guided by Entropy Using Machine Learning
by Zhipeng Zhuang, Xiaoshan Liu, Jing Jin, Ziwen Li, Yanheng Liu, Adriano Tavares and Dalin Li
Entropy 2025, 27(12), 1233; https://doi.org/10.3390/e27121233 - 5 Dec 2025
Abstract
Anaerobic digestion (AD) is a nonlinear and disturbance-sensitive process in which instability is often induced by feedstock variability and biological fluctuations. To address this challenge, this study develops an entropy-guided machine learning framework that integrates parameter prediction, uncertainty quantification, and entropy-based evaluation of [...] Read more.
Anaerobic digestion (AD) is a nonlinear and disturbance-sensitive process in which instability is often induced by feedstock variability and biological fluctuations. To address this challenge, this study develops an entropy-guided machine learning framework that integrates parameter prediction, uncertainty quantification, and entropy-based evaluation of AD operation. Using six months of industrial data (~10,000 samples), three models—support vector machine (SVM), random forest (RF), and artificial neural network (ANN)—were compared for predicting biogas yield, fermentation temperature, and volatile fatty acid (VFA) concentration. The ANN achieved the highest performance (accuracy = 96%, F1 = 0.95, root mean square error (RMSE) = 1.2 m3/t) and also exhibited the lowest prediction error entropy, indicating reduced uncertainty compared to RF and SVM. Feature entropy and permutation analysis consistently identified feed solids, organic matter, and feed rate as the most influential variables (>85% contribution), in agreement with the RF importance ranking. When applied as a real-time prediction and decision-support tool in the plant (“sensor → prediction → programmable logic controller (PLC)/operation → feedback”), the ANN model was associated with a reduction in gas-yield fluctuation from approximately ±18% to ±5%, a decrease in process entropy, and an improvement in operational stability of about 23%. Techno-economic and life-cycle assessments further indicated a 12–15 USD/t lower operating cost, 8–10% energy savings, and 5–7% CO2 reduction compared with baseline operation. Overall, this study demonstrates that combining machine learning with entropy-based uncertainty analysis offers a reliable and interpretable pathway for more stable and low-carbon AD operation. Full article
(This article belongs to the Special Issue Entropy in Machine Learning Applications, 2nd Edition)
Show Figures

Figure 1

14 pages, 1754 KB  
Article
Computational Modeling of Uncertainty and Volatility Beliefs in Escape-Avoidance Learning: Comparing Individuals with and Without Suicidal Ideation
by Miguel Blacutt, Caitlin M. O’Loughlin and Brooke A. Ammerman
J. Pers. Med. 2025, 15(12), 604; https://doi.org/10.3390/jpm15120604 - 5 Dec 2025
Abstract
Background/Objectives: Computational studies using drift diffusion models on go/no-go escape tasks consistently show that individuals with suicidal ideation (SI) preferentially engage in active escape from negative emotional states. This study extends these findings by examining how individuals with SI update beliefs about [...] Read more.
Background/Objectives: Computational studies using drift diffusion models on go/no-go escape tasks consistently show that individuals with suicidal ideation (SI) preferentially engage in active escape from negative emotional states. This study extends these findings by examining how individuals with SI update beliefs about action–outcome contingencies and uncertainty when trying to escape an aversive state. Methods: Undergraduate students with (n = 58) and without (n = 62) a lifetime history of SI made active (go) or passive (no-go) choices in response to stimuli to escape or avoid an unpleasant state in a laboratory-based negative reinforcement task. A Hierarchical Gaussian Filter (HGF) was used to estimate trial-by-trial trajectories of contingency and volatility beliefs, along with their uncertainties, prediction errors (precision-weighted), and dynamic learning rates, as well as fixed parameters at the person level. Bayesian mixed-effects models were used to examine the relationship between trial number, SI history, trial type, and all two-way interactions on HGF parameters. Results: We did not find an effect of SI history, trial type, or their interactions on perceived volatility of reward contingencies. At the trial level, however, participants with a history of SI developed progressively stronger contingency beliefs while simultaneously perceiving the environment as increasingly stable compared to those without SI experiences. Despite this rigidity, they maintained higher uncertainty during escape trials. Participants with an SI history had higher dynamic learning rates during escape trials compared to those without SI experiences. Conclusions: Individuals with an SI history showed a combination of cognitive inflexibility and hyper-reactivity to prediction errors in escape-related contexts. This combination may help explain difficulties in adapting to changing environments and in regulating responses to stress, both of which are relevant for suicide risk. Full article
(This article belongs to the Special Issue Computational Behavioral Modeling in Precision Psychiatry)
Show Figures

Figure 1

26 pages, 2026 KB  
Article
Advancing Intelligent Fault Diagnosis Through Enhanced Mechanisms in Transfer Learning
by Hadi Abbas and Ratna B. Chinnam
Machines 2025, 13(12), 1120; https://doi.org/10.3390/machines13121120 - 5 Dec 2025
Abstract
Intelligent Fault Diagnosis (IFD) systems are integral to predictive maintenance and real-time monitoring but often encounter challenges such as data scarcity, non-linearity, and changing operational conditions. To address these challenges, we propose an enhanced transfer learning framework that integrates the Universal Adaptation Network [...] Read more.
Intelligent Fault Diagnosis (IFD) systems are integral to predictive maintenance and real-time monitoring but often encounter challenges such as data scarcity, non-linearity, and changing operational conditions. To address these challenges, we propose an enhanced transfer learning framework that integrates the Universal Adaptation Network (UAN) with Spectral-normalized Neural Gaussian Process (SNGP), WideResNet, and attention mechanisms, including self-attention and an outlier attention layer. UAN’s flexibility bridges diverse fault conditions, while SNGP’s robustness enables uncertainty quantification for more reliable diagnostics. WideResNet’s architectural depth captures complex fault patterns, and the attention mechanisms focus the diagnostic process. Additionally, we employ Optuna for hyperparameter optimization, using a structured study to fine-tune model parameters and ensure optimal performance. The proposed approach is evaluated on benchmark datasets, demonstrating superior fault identification accuracy, adaptability to varying operational conditions, and resilience against data anomalies compared to existing models. Our findings highlight the potential of advanced machine learning techniques in IFD, setting a new standard for applying these methods in complex diagnostic environments. Full article
Show Figures

Graphical abstract

19 pages, 1915 KB  
Article
Building a Generalized Pre-Training Model to Predict River Water-Level from Radar Rainfall
by Futo Ueda, Hiroto Tanouchi, Nobuyuki Egusa and Takuya Yoshihiro
Water 2025, 17(24), 3449; https://doi.org/10.3390/w17243449 - 5 Dec 2025
Abstract
In our previous work, we proposed a river water-level prediction method using deep learning, incorporating radar rainfall data in place of water-level and rainfall stations upstream of the prediction point. By introducing a newly defined flow distance matrix, transfer learning becomes available, i.e., [...] Read more.
In our previous work, we proposed a river water-level prediction method using deep learning, incorporating radar rainfall data in place of water-level and rainfall stations upstream of the prediction point. By introducing a newly defined flow distance matrix, transfer learning becomes available, i.e., even when data at the prediction point is scarce, accurate water-level predictions are made using inundation data from other rivers. However, this approach requires pre-selecting rivers that behave similarly to the prediction point for training, making it laborious to build prediction models for multiple rivers. Furthermore, the previous study only performed predictions for a single river, raising uncertainty about whether the method is applicable to water-level prediction for other rivers with different conditions. In this paper, we construct a generalized river water-level prediction model commonly applicable to multiple Japanese rivers by using inundation data from all Japanese Class-A rivers (the major river systems managed by the government) for pre-training, rather than only the rivers similar to the prediction site. Through evaluation, we showed that pre-training using all Class-A rivers yields higher prediction accuracy than pre-training using similar rivers across multiple rivers with varying conditions. This demonstrates that using all Class-A rivers for pre-training enables the construction of a generalized river water-level prediction model applicable to a wide range of rivers. Full article
Show Figures

Figure 1

14 pages, 1621 KB  
Article
Synthetic Hamiltonian Energy Prediction for Motor Performance Assessment in Neurorehabilitation Procedures: A Machine Learning Approach with TimeGAN-Augmented Data
by Henry P. Paz-Arias, Omar A. Dominguez-Ramirez, Raúl Villafuerte-Segura, Jeimmy Y. Eche-Salazar and Jose F. Lucio-Naranjo
Robotics 2025, 14(12), 183; https://doi.org/10.3390/robotics14120183 - 4 Dec 2025
Abstract
This study presents an assessment scheme for haptic interaction systems based on Hamiltonian energy prediction, which contributes to procedures applied to neurorehabilitation. It focuses on robotic systems involving human participation in the control loop, where uncertainty may compromise both stability and task performance. [...] Read more.
This study presents an assessment scheme for haptic interaction systems based on Hamiltonian energy prediction, which contributes to procedures applied to neurorehabilitation. It focuses on robotic systems involving human participation in the control loop, where uncertainty may compromise both stability and task performance. To address this, a regression-based model is proposed to predict total mechanical energy using the robot’s position and velocity signals during active interaction. Synthetic data generated via TimeGAN are used to enhance model generalization. Advanced machine learning techniques—particularly Gradient Boosting—demonstrate outstanding accuracy, achieving an MSE of 0.628×1010 and R2=0.999976. These results validate the use of synthetic data and passive-mode-trained models for assessing motor performance in active settings. The method is applied to a patient diagnosed with Guillain-Barré Syndrome, using the Hamiltonian function to estimate energy during interaction and objectively assess motor performance changes. The results obtained show that our proposal is of great relevance since it solves a current field of opportunity in the area. Full article
(This article belongs to the Special Issue Development of Biomedical Robotics)
Show Figures

Figure 1

21 pages, 954 KB  
Article
Enhancing DNN Adversarial Robustness via Dual Stochasticity and Geometric Normalization
by Xiang Wu and Gangtao Han
Sensors 2025, 25(23), 7398; https://doi.org/10.3390/s25237398 (registering DOI) - 4 Dec 2025
Abstract
Deep neural networks (DNNs) have achieved remarkable progress across various domains, yet they remain highly vulnerable to adversarial attacks, which significantly hinder their deployment in safety-critical applications. While stochastic defenses have shown promise, most existing approaches rely on fixed noise injection and fail [...] Read more.
Deep neural networks (DNNs) have achieved remarkable progress across various domains, yet they remain highly vulnerable to adversarial attacks, which significantly hinder their deployment in safety-critical applications. While stochastic defenses have shown promise, most existing approaches rely on fixed noise injection and fail to account for the geometric stability of the decision space. To address these limitations, we introduce a novel framework, which named as Dual Stochasticity and Geometric Normalization (DSGN). Specifically, DSGN incorporates learnable, input-dependent Gaussian noise into both the feature representation and classifier weights, creating a dual-path stochastic modeling mechanism that captures multi-level predictive uncertainty. To enhance decision consistency, both noisy components are projected onto a unit hypersphere via 𝓁2 normalization, constraining the logit space and promoting angular margin separation. This design stabilizes both the representation and decision geometry, leading to more stable decision boundaries and improved robustness. We evaluate the effectiveness of DSGN on several benchmark datasets and CNNs. Our results indicate that DSGN achieves a robust accuracy improvement of approximately 1% to 6% over the state-of-the-arts baseline model under PGD and 1% to 17% improvement under AutoAttack, demonstrating its effectiveness in enhancing adversarial robustness while maintaining high clean accuracy. Full article
(This article belongs to the Special Issue Advances in Security for Emerging Intelligent Systems)
Show Figures

Figure 1

28 pages, 3146 KB  
Article
Predicting the Lifespan of Twisted String Actuators Using Empirical and Hybrid Machine Learning Approaches
by Hai Nguyen, Chanthol Eang and Seungjae Lee
Sensors 2025, 25(23), 7387; https://doi.org/10.3390/s25237387 - 4 Dec 2025
Abstract
Predicting the fatigue lifespan of Twisted String Actuators (TSAs) is essential for improving the reliability of robotic and mechanical systems that rely on flexible transmission mechanisms. Traditional empirical approaches based on regression or Weibull distribution analysis have provided useful approximations, yet they often [...] Read more.
Predicting the fatigue lifespan of Twisted String Actuators (TSAs) is essential for improving the reliability of robotic and mechanical systems that rely on flexible transmission mechanisms. Traditional empirical approaches based on regression or Weibull distribution analysis have provided useful approximations, yet they often struggle to capture nonlinear dependencies and stochastic influences inherent to real-world fatigue behavior. This study introduces and compares four machine learning (ML) models—Linear Regression, Random Forest, XGBoost, and Gaussian Process Regression (GPR)—for predicting TSA lifespan under varying weight (W), number of strings (N), and diameter (D) conditions. Building upon this comparison, a hybrid physics-guided model is proposed by integrating an empirical fatigue life equation with an XGBoost residual-correction model. Experimental data collected from repetitive actuation tests (144 valid samples) served as the basis for training and validation. The hybrid model achieved an R2 = 0.9856, RMSE = 5299.47 cycles, and MAE = 3329.67 cycles, outperforming standalone ML models in cross-validation consistency (CV R2 = 0.9752). The results demonstrate that physics-informed learning yields superior interpretability and generalization even in limited-data regimes. These findings highlight the potential of hybrid empirical–ML modeling for component life prediction in robotic actuation systems, where experimental fatigue data are scarce and operating conditions vary. Full article
(This article belongs to the Collection Robotics, Sensors and Industry 4.0)
Show Figures

Figure 1

21 pages, 2306 KB  
Article
Deep-Learning-Based Bearing Fault Classification Using Vibration Signals Under Variable-Speed Conditions
by Luca Martiri, Parisa Esmaili, Andrea Moschetti and Loredana Cristaldi
Instruments 2025, 9(4), 33; https://doi.org/10.3390/instruments9040033 - 4 Dec 2025
Abstract
Predictive maintenance in industrial machinery relies on the timely detection of component faults to prevent costly downtime. Rolling bearings, being critical elements, are particularly prone to defects such as outer race faults and ball spin defects, which manifest as characteristic vibration patterns. In [...] Read more.
Predictive maintenance in industrial machinery relies on the timely detection of component faults to prevent costly downtime. Rolling bearings, being critical elements, are particularly prone to defects such as outer race faults and ball spin defects, which manifest as characteristic vibration patterns. In this study, we introduce a novel bearing vibration dataset collected on a testbench under both constant and variable rotational speeds (0–5000 rpm), encompassing healthy and faulty conditions. The dataset was used for failure classification and further enriched through feature engineering, resulting in input features that include raw acceleration, signal envelopes, and time- and frequency-domain statistical descriptors, which capture fault-specific signatures. To quantify prediction uncertainty, two different approaches are applied, providing confidence measures alongside model outputs. Our results demonstrate the progressive improvement of classification accuracy from 87.2% using only raw acceleration data to 99.3% with a CNN-BiLSTM (Convolutional Neural Network–Bidirectional Long Short-Term Memory) ensemble and advanced features. Shapley Additive Explanation (SHAP)-based explainability further validates the relevance of frequency-domain features for distinguishing fault types. The proposed methodology offers a robust and interpretable framework for industrial fault diagnosis, capable of handling both stationary and non-stationary operating conditions. Full article
(This article belongs to the Special Issue Instrumentation and Measurement Methods for Industry 4.0 and IoT)
Show Figures

Figure 1

Back to TopTop