Synthetic Hamiltonian Energy Prediction for Motor Performance Assessment in Neurorehabilitation Procedures: A Machine Learning Approach with TimeGAN-Augmented Data
Abstract
1. Introduction
2. Human–Robot Physical Interaction Systems in Neurorehabilitation Procedures
2.1. HRpI System Based on Haptic Interaction
2.2. Problem Statement and Proposed Solution
2.3. Haptic and Virtual Stimulation
2.4. Description of the Experimental Task
- Active mode 1: the patient’s first experience in the solution of the trajectory. Position and velocity reading for energy model training.
- Passive mode: the patient is guided in the trajectory with the haptic device as a robot, who corrects the patient. In this case learning and training are established. Position and velocity are instrumented to compute the energy required by the robot.
- Active mode 2: the last phase allows the learning and training to be verified and is comparable with the preliminary result obtained in phase 1.
3. Synthetic Data Generation
- : is a multivariate sample of position and velocity at time t.
3.1. TimeGAN Architecture
- Reconstruction (): evaluates the fidelity between the original data and its reconstruction from the encoded feature space.where
- –
- T is the sequence length,
- –
- is the reconstruction generated by the autoencoder.
- Temporal Consistency (): ensures that the sequence evolution follows a coherent dynamic.
- Physical Consistency (): imposes constraints that respect biomechanical relationships of the movement.where
- –
- X denotes real data,
- –
- enotes generated data,
- –
- is a physical transformation applied to the trajectories.
- Diversity (): penalizes the generation of redundant or overly similar trajectories.where
- –
- K is the number of generated trajectories,
- –
- is a similarity measure between sequences. In our implementation, we used Pearson correlation, which is computationally efficient and effectively captures the linear relationships between the temporal profiles of the generated trajectories.
- Sup (): forces the supervisor to correctly predict the transition in the encoded feature space.where
- –
- S is the supervisor module,
- –
- is encoded representation at time t.
- –
- is the prediction for the next time step.
- Adversarial (): trains the generator to deceive the discriminator, corresponding to adversarial training.where
- –
- The generator attempts to produce encoded representations that are indistinguishable from the real ones , from the perspective of the discriminator D.
3.2. Training Strategy
- Autoencoder pre-training (): optimizing , , and jointly.
- Supervised training of the supervisor (S): applying to learn the temporal dynamics in the encoded feature space.
- Joint adversarial training (): using the adversarial loss along with the other components to preserve both fidelity and realism.
- Inclusion of physical consistency loss (), diversity loss () and temporal loss also within the autoencoder, reinforcing continuity at multiple levels.
- Updating the autoencoder throughout the entire training process, not only during the initial phase, to maintain representation quality.
4. Training and Comparison of Prediction Models
4.1. Models
4.1.1. Gradient Boosting (GB)
4.1.2. HistGradientBoosting Regressor (HGB)
4.2. Prediction of H in Real and Synthetic Active Data with Comparison
5. Experimental Results
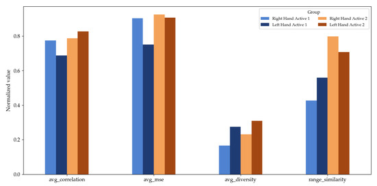
5.1. Evaluation of Generated Synthetic Data
5.2. Comparison of Supervised Models for Predicting H
5.3. Real vs. Synthetic Comparison in H Prediction
- General agreement in the shape of the energy curves.
- Preservation of energy peaks and temporal patterns.
- Minimal errors between both predictions, validating the functional fidelity of the synthetic data.
- Dense clustering of real data points (in purple), clearly differentiated yet overlapping with synthetic data points (in orange), indicating strong structural similarity.
- Despite greater variability and spread, synthetic trajectories envelop the real data cloud, suggesting good replication of the underlying energy behavior.
- Active 1 Right: shows the best overlap between real and synthetic trajectories with aligned elliptical shapes, indicating high structural fidelity of the generative and predictive models.
- Active 2 Left: although more dispersed, synthetic data retains overall shape coherence with real data, demonstrating consistent robustness in the prediction of H.
5.4. Limitations
6. Conclusions
Supplementary Materials
Author Contributions
Funding
Data Availability Statement
Acknowledgments
Conflicts of Interest
References
- Manju, M.; Kapoor, D.; Dogra, V.D.; Singh, G.; Harita. Guillain–Barre’ Syndrome: Clinical Profile. J. Curr. Med. Res. Opin. 2019, 2, 378–382. [Google Scholar] [CrossRef]
- Mennella, C.; Maniscalco, U.; De Pietro, G.; Esposito, M. Generating a Novel Synthetic Dataset for Rehabilitation Exercises Using Pose-Guided Conditioned Diffusion Models: A Quantitative and Qualitative Evaluation. Comput. Biol. Med. 2023, 167, 106665. [Google Scholar] [CrossRef] [PubMed]
- Alarcón-Narváez, D.; Hernández-Torruco, J.; Hernández-Ocaña, B.; Chávez-Bosquez, O.; Marchi, J.; Méndez-Castillo, J. Toward a Machine Learning Model for a Primary Diagnosis of Guillain-Barré Syndrome Subtypes. Health Inform. J. 2021, 27, 1–13. [Google Scholar] [CrossRef] [PubMed]
- Martino Cinnera, A.; D’Arienzo, M.; Piatti, D.; Casagrande Conti, L.; Deledda, P.; Tenore, A.; Paolucci, S.; Grasso, M.G. Robot-Assisted Therapy in Guillain–Barrè Syndrome: Systematic Review of Primary Evidence and Study Protocol for a Randomized Clinical Trial. J. Clin. Med. 2024, 13, 7153. [Google Scholar] [CrossRef] [PubMed]
- Canul-Reich, J.; Frausto-Solís, J.; Hernández-Torruco, J. A Predictive Model for Guillain-Barré Syndrome Based on Single Learning Algorithms. Comput. Math. Methods Med. 2017, 2017, 8424198. [Google Scholar] [CrossRef] [PubMed]
- Hernandez-Torruco, J.; Canul-Reich, J.; Frausto-Solis, J.; Mendez-Castillo, J. Towards a Predictive Model for Guillain-Barré Syndrome. In Proceedings of the 2015 37th Annual International Conference of the IEEE Engineering in Medicine and Biology Society (EMBC), Milan, Italy, 25–29 August 2015. [Google Scholar] [CrossRef]
- Doets, A.Y.; Lingsma, H.F.; Walgaard, C.; Islam, B.; Papri, N.; Davidson, A.; Yamagishi, Y.; Kusunoki, S.; Dimachkie, M.M.; Waheed, W.; et al. Predicting Outcome in Guillain-Barré Syndrome. Neurology 2022, 98, e518–e532. [Google Scholar] [CrossRef] [PubMed]
- Torres-Vásquez, M.; Chávez-Bosquez, O.; Hernández-Ocaña, B.; Hernández-Torruco, J. Classification of Guillain–Barré Syndrome Subtypes Using Sampling Techniques with Binary Approach. Symmetry 2020, 12, 482. [Google Scholar] [CrossRef]
- Arriaga-Nieto, L.; Hernández-Bautista, P.F.; Vallejos-Parás, A.; Grajales-Muñiz, C.; Rojas-Mendoza, T.; Cabrera-Gaytán, D.A.; Grijalva-Otero, I.; Cacho-Díaz, B.; Jaimes-Betancourt, L.; Padilla-Velazquez, R.; et al. Predict the incidence of Guillain Barré Syndrome and arbovirus infection in Mexico, 2014–2019. PLoS Glob. Public Health 2022, 2, e0000137. [Google Scholar] [CrossRef] [PubMed]
- Jarillo-Silva, A.; Dominguez-Ramirez, O.A.; Parra-Vega, V.; Ordaz-Oliver, J.P. PHANToM OMNI Haptic Device: Kinematic and Manipulability. In Proceedings of the 2009 Electronics, Robotics and Automotive Mechanics Conference (CERMA), Cuernavaca, Mexico, 22–25 September 2009; pp. 193–198. [Google Scholar] [CrossRef]
- Yu, F.; Liu, Y.; Wu, Z.; Tan, M.; Yu, J. Adaptive Gait Training of a Lower Limb Rehabilitation Robot Based on Human–Robot Interaction Force Measurement. Cyborg Bionic Syst. 2024, 5, 0115. [Google Scholar] [CrossRef] [PubMed]
- Vianello, L.; Lhoste, C.; Küçüktabak, E.B.; Short, M.R.; Hargrove, L.; Pons, J.L. Deep-Learning Control of Lower-Limb Exoskeletons via Simplified Therapist Input. arXiv 2024, arXiv:2412.07959. [Google Scholar] [CrossRef]
- Antonellis, P.; Ranganathan, R.; Ueda, J. Metabolically Efficient Walking Assistance Using Optimized Exoskeleton Assistance Patterns. Sci. Robot. 2022, 7, eabh1925. [Google Scholar] [CrossRef] [PubMed]
- Fareh, R.; Elsabe, A.; Baziyad, M.; Kawser, T.; Brahmi, B.; Rahman, M.H. Will Your Next Therapist Be a Robot?—A Review of the Advancements in Robotic Upper Extremity Rehabilitation. Sensors 2023, 23, 5054. [Google Scholar] [CrossRef] [PubMed]
- Ramirez-Zamora, J.D.; Dominguez-Ramirez, O.A.; Ramos-Velasco, L.E.; Sepulveda-Cervantes, G.; Parra-Vega, V.; Jarillo-Silva, A.; Escotto-Cordova, E.A. HRpI System Based on Wavenet Controller with Human Cooperative-in-the-Loop for Neurorehabilitation Purposes. Sensors 2022, 22, 7729. [Google Scholar] [CrossRef] [PubMed]
- Paz-Arias, H.P.; Dominguez-Ramirez, O.A.; Ramirez-Zamora, J.D.; Garcia-Blancas, J.; Gonzalez-Islas, J.C. Hamiltonian prediction as a diagnostic metric in the upper limb using assistive robotics. In Proceedings of the 2024 XXVI Robotics Mexican Congress (COMRob), Torreón, Mexico, 13–15 November 2024; pp. 6–13. [Google Scholar] [CrossRef]
- Yang, Z.; Li, Y.; Zhou, G. TS-GAN: Time-Series GAN for Sensor-Based Health Data Augmentation. ACM Trans. Comput. Healthc. 2023, 4, 12. [Google Scholar] [CrossRef]
- Hadley, A.J.; Pulliam, C.L. Enhancing Activity Recognition After Stroke: Generative Adversarial Networks for Kinematic Data Augmentation. Sensors 2024, 24, 6861. [Google Scholar] [CrossRef] [PubMed]
- Mounis, S.Y.A.; Azlan, N.Z.; Sado, F. Assist-as-needed control strategy for upper-limb rehabilitation based on subject’s functional ability. Meas. Control 2019, 52, 1354–1361. [Google Scholar] [CrossRef]
- Novak, D.; Riener, R. Control Strategies and Artificial Intelligence in Rehabilitation Robotics. AI Mag. 2015, 36, 23–33. [Google Scholar] [CrossRef]
- Ortega, R.; Loría, A.; Nicklasson, P.J.; Sira-Ramírez, H. Passivity-Based Control of Euler-Lagrange Systems; Springer: London, UK, 1998. [Google Scholar]
- Goodfellow, I.J.; Pouget-Abadie, J.; Mirza, M.; Xu, B.; Warde-Farley, D.; Ozair, S.; Courville, A.; Bengio, Y. Generative Adversarial Networks. Commun. ACM 2020, 63, 139–144. [Google Scholar] [CrossRef]
- Arjovsky, M.; Chintala, S.; Bottou, L. Wasserstein Generative Adversarial Networks. In Proceedings of the 34th International Conference on Machine Learning (ICML 2017), Sydney, Australia, 6–11 August 2017; Volume 70, pp. 214–223. [Google Scholar]
- Yoon, J.; Jarrett, D.; van der Schaar, M. Time-series Generative Adversarial Networks. In Advances in Neural Information Processing Systems; Wallach, H., Larochelle, H., Beygelzimer, A., d’Alché-Buc, F., Fox, E., Garnett, R., Eds.; Curran Associates, Inc.: Red Hook, NY, USA, 2019; Volume 32. [Google Scholar]
- Bentéjac, C.; Csörgő, A.; Martínez-Muñoz, G. A Comparative Analysis of XGBoost. arXiv 2020, arXiv:1911.01914. [Google Scholar] [CrossRef]






| Model | Right Hand (RH) | Left Hand (LH) | ||
|---|---|---|---|---|
| MSE | R2 | MSE | R2 | |
| Linear Regression | 7.40 | 0.976726 | 5.10 | 0.980118 |
| Random Forest Regressor | 1.46 | 0.999954 | 1.13 | 0.999956 |
| Artificial Neural Network (ANN) | 2.22 | 0.993328 | 3.61 | 0.859365 |
| Gradient Boosting | 1.33 | 0.999958 | 6.28 | 0.999976 |
| HistGradientBoosting | 2.16 | 0.999930 | 1.71 | 0.999933 |
| Exercise | Active 1 | Active 2 | ||
|---|---|---|---|---|
| RH | LH | RH | LH | |
| Ex 01 | ||||
| Ex 02 | ||||
| Ex 03 | ||||
| Ex 04 | ||||
| Ex 05 | ||||
Disclaimer/Publisher’s Note: The statements, opinions and data contained in all publications are solely those of the individual author(s) and contributor(s) and not of MDPI and/or the editor(s). MDPI and/or the editor(s) disclaim responsibility for any injury to people or property resulting from any ideas, methods, instructions or products referred to in the content. |
© 2025 by the authors. Licensee MDPI, Basel, Switzerland. This article is an open access article distributed under the terms and conditions of the Creative Commons Attribution (CC BY) license (https://creativecommons.org/licenses/by/4.0/).
Share and Cite
Paz-Arias, H.P.; Dominguez-Ramirez, O.A.; Villafuerte-Segura, R.; Eche-Salazar, J.Y.; Lucio-Naranjo, J.F. Synthetic Hamiltonian Energy Prediction for Motor Performance Assessment in Neurorehabilitation Procedures: A Machine Learning Approach with TimeGAN-Augmented Data. Robotics 2025, 14, 183. https://doi.org/10.3390/robotics14120183
Paz-Arias HP, Dominguez-Ramirez OA, Villafuerte-Segura R, Eche-Salazar JY, Lucio-Naranjo JF. Synthetic Hamiltonian Energy Prediction for Motor Performance Assessment in Neurorehabilitation Procedures: A Machine Learning Approach with TimeGAN-Augmented Data. Robotics. 2025; 14(12):183. https://doi.org/10.3390/robotics14120183
Chicago/Turabian StylePaz-Arias, Henry P., Omar A. Dominguez-Ramirez, Raúl Villafuerte-Segura, Jeimmy Y. Eche-Salazar, and Jose F. Lucio-Naranjo. 2025. "Synthetic Hamiltonian Energy Prediction for Motor Performance Assessment in Neurorehabilitation Procedures: A Machine Learning Approach with TimeGAN-Augmented Data" Robotics 14, no. 12: 183. https://doi.org/10.3390/robotics14120183
APA StylePaz-Arias, H. P., Dominguez-Ramirez, O. A., Villafuerte-Segura, R., Eche-Salazar, J. Y., & Lucio-Naranjo, J. F. (2025). Synthetic Hamiltonian Energy Prediction for Motor Performance Assessment in Neurorehabilitation Procedures: A Machine Learning Approach with TimeGAN-Augmented Data. Robotics, 14(12), 183. https://doi.org/10.3390/robotics14120183

