Sign in to use this feature.

Years

Between: -

Subjects

remove_circle_outline
remove_circle_outline
remove_circle_outline
remove_circle_outline
remove_circle_outline
remove_circle_outline
remove_circle_outline
remove_circle_outline
remove_circle_outline

Journals

remove_circle_outline
remove_circle_outline
remove_circle_outline
remove_circle_outline
remove_circle_outline
remove_circle_outline

Article Types

Countries / Regions

remove_circle_outline
remove_circle_outline
remove_circle_outline
remove_circle_outline

Search Results (293)

Search Parameters:
Keywords = tyramine

Order results
Result details
Results per page
Select all
Export citation of selected articles as:
22 pages, 1178 KB  
Review
The Route of Biogenic Amines in Alcoholic Beverages: A Focus on Wine
by Luigi Esposito, Andrea Piva, Dino Mastrocola and Maria Martuscelli
Foods 2026, 15(9), 1457; https://doi.org/10.3390/foods15091457 - 22 Apr 2026
Viewed by 327
Abstract
Biogenic amines (BAs) are important qualitative indicators of quality, as they are produced by specific microbial strains and can therefore reflect the activity of specific spoilage organisms (SSOs). Their presence in food, including wine, provides valuable information on processing conditions, hygiene practices and [...] Read more.
Biogenic amines (BAs) are important qualitative indicators of quality, as they are produced by specific microbial strains and can therefore reflect the activity of specific spoilage organisms (SSOs). Their presence in food, including wine, provides valuable information on processing conditions, hygiene practices and storage management throughout the production chain. In wine, the accumulation of BAs—particularly histamine, tyramine and putrescine—is mainly associated with microbial activity during fermentation, especially malolactic fermentation, and may pose potential risks to consumer health. Despite the recognized toxicological relevance of BAs, current European Union (EU) regulations only establish limits for histamine in certain fish products, with no specific legal thresholds defined for wine. However, growing evidence on the interactions and adverse effects of BAs highlights the need to better address their occurrence in wine and to improve consumer awareness regarding safety and quality aspects. In addition to safety concerns, the implementation of good hygiene and manufacturing practices across the entire production process plays a crucial role in controlling BA levels in the final product. These factors, together with the intrinsic characteristics of wine, may influence consumer perception and choice, integrating aspects of health, production methods and product quality. Recent findings suggest a shift in perspective, where BAs are not only considered risk markers but also useful indicators for assessing wine quality and enhancing consumer safety. Full article
Show Figures

Graphical abstract

29 pages, 4591 KB  
Article
Palladium(II) Complexes with Chloro-Substituted Salicyl Schiff Bases: Exploring Multimodal Anticancer Mechanisms and Catalase Inhibition
by Jovana S. Dragojević, Žiko Milanović, Kristina Milisavljević, Milena Milutinović, Safija Herenda, Edhem Hasković, Nenad Vanis, Vera M. Divac and Marina D. Kostić
Molecules 2026, 31(8), 1370; https://doi.org/10.3390/molecules31081370 - 21 Apr 2026
Viewed by 175
Abstract
The search for new anticancer agents with improved efficacy and reduced toxicity has intensified interest in metal-based compounds. In this study, two novel palladium(II) complexes, synthesized from Schiff base ligands derived from 5-chloro-salicylaldehyde and p-hydroxybenzylamine or tyramine, were chemically characterized and biologically [...] Read more.
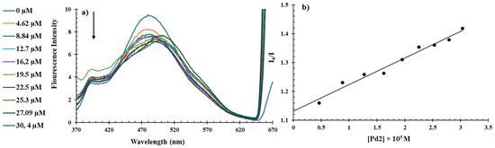
The search for new anticancer agents with improved efficacy and reduced toxicity has intensified interest in metal-based compounds. In this study, two novel palladium(II) complexes, synthesized from Schiff base ligands derived from 5-chloro-salicylaldehyde and p-hydroxybenzylamine or tyramine, were chemically characterized and biologically evaluated. Both complexes exhibited significant cytotoxic activity against the MCF-7 breast cancer cell line in a dose- and time-dependent manner, with Pd2 showing slightly higher potency. Morphological analysis of treated cells indicated that apoptosis is the predominant mechanism of cell death. To gain deeper insight into the potential mechanisms underlying the observed anticancer activity, several biologically relevant targets were investigated. Enzyme kinetics revealed that the complexes act as uncompetitive inhibitors of liver catalase, suggesting a possible role in the induction of oxidative stress. Fluorescence studies demonstrated that Pd2 interacts with CT-DNA through combined intercalative and minor groove binding modes and exhibits significant binding affinity toward human serum albumin, predominantly at Sudlow’s site I. Molecular docking analysis further supported favorable interactions with catalase, estrogen receptor α, and B-form DNA, providing structural insight into the experimentally observed biological effects. Overall, the study explores multiple potential mechanisms of anticancer action, underscoring the promising therapeutic potential of these palladium(II) complexes, while antitumor activity has been initially assessed using a MCF-7 cell line as a preliminary model. Full article
(This article belongs to the Special Issue Transition Metal Complexes in Cancer Therapy: Beyond Platinum)
Show Figures

Figure 1

16 pages, 10042 KB  
Article
A Fluorescent Composite of Carbon-Dot-Embedded Covalent Organic Frameworks for Highly Sensitive and Rapid Detection of Biogenic Amines in Large Yellow Croaker
by Yunying Xia, Han Wu, Xin You, Haofeng Huang, Zhiming Yan, Zhihui Luo, Qinghua Yao and Hui Xu
Foods 2026, 15(8), 1449; https://doi.org/10.3390/foods15081449 - 21 Apr 2026
Viewed by 138
Abstract
The excessive accumulation of biogenic amines (BAs) in aquatic products poses serious health risks, necessitating the development of rapid and sensitive detection methods. This study reports the synthesis of a novel fluorescent nanocomposite, carbon-dot-embedded covalent organic frameworks (CDs@COFs). Comprehensive characterization (TEM, XPS, FTIR, [...] Read more.
The excessive accumulation of biogenic amines (BAs) in aquatic products poses serious health risks, necessitating the development of rapid and sensitive detection methods. This study reports the synthesis of a novel fluorescent nanocomposite, carbon-dot-embedded covalent organic frameworks (CDs@COFs). Comprehensive characterization (TEM, XPS, FTIR, UV–Vis, and fluorescence spectroscopy) confirmed the successful fabrication of the nanocomposites, which exhibited excellent thermal and optical stability. A significantly enhanced quantum yield of 36.22% (compared with 12.92% for pure carbon dots) was obtained. As a fluorescent probe, the composite enabled the detection of nine BAs based on a fluorescence quenching mechanism. The proposed method demonstrated good linearity (1~100 ng/mL) and low detection limits of 0.58~0.98 ng/mL. The method was successfully applied to analyze tyramine in large yellow croaker, showing accurate spike recoveries ranging from 91.93% to 101.43% and excellent reproducibility (RSD < 3%). These results highlight the great potential of the developed method as a powerful tool for the rapid screening of BAs in aquatic products. Full article
Show Figures

Figure 1

21 pages, 1047 KB  
Article
Development and Characterization of a Sunflower-Seed Press-Cake-Based Fermented Food Prototype
by Sofia Mendo, Beatrice Zignego, Francesca Bonazza, Fabio Masotti, Sara Casati, Sofia Vanerio, Roberto Foschino, Alessio Battistini and Ivano De Noni
Fermentation 2026, 12(4), 204; https://doi.org/10.3390/fermentation12040204 - 18 Apr 2026
Viewed by 303
Abstract
Growing environmental and food security concerns have increased interest in circular strategies to valorize agri-food by-products. Sunflower-seed press cake (SSPC), a protein-rich residue from oil extraction, is largely underutilized despite its high nutritional and functional value. This study aimed to develop a fermented [...] Read more.
Growing environmental and food security concerns have increased interest in circular strategies to valorize agri-food by-products. Sunflower-seed press cake (SSPC), a protein-rich residue from oil extraction, is largely underutilized despite its high nutritional and functional value. This study aimed to develop a fermented plant-based food prototype (PBFP) from SSPC using Lactococcus lactis B12 and Penicillium camemberti, evaluating microbiological safety, chemical characteristics, and sensory acceptability. A blend containing 40% SSPC and 60% water was autoclaved, inoculated, and ripened for 4 weeks under controlled temperatures. Microbial counts, pH evolution, free amino acids, biogenic amines, volatile organic compounds (VOCs), cyclopiazonic acid (CPA) content, and sensory attributes were evaluated using cultural techniques, HPLC, HS-SPME/GC-MS, LC–ESI–MS/MS (QTRAP 4000), and sensory evaluation. L. lactis efficiently acidified the matrix (pH ≈ 4.5–4.9), ensuring microbial food safety, with high LAB counts (~109 CFU/g) and absence of pathogens (Listeria monocytogenes and Salmonella spp.) and hygienic markers < 2 log CFU/g (B. cereus, E. coli, and Enterobacteriaceae). Free amino acids decreased during fermentation, and no histamine or tyramine was detected. VOC analysis revealed diacetyl, acetoin, 2,3-butanediol, and 1-octen-3-ol, contributing to mild dairy-like notes. CPA was detected at 0.48 ng/g, well below levels reported in cheeses. Sensory evaluation showed no significant differences in overall intensity between inoculated and control blends, although qualitative descriptors indicated subtle changes in aroma and texture. These results demonstrate the feasibility of safely producing a fermented plant-based prototype from SSPC. Future studies should explore longer ripening times, additional microbial consortia, and strategies to enhance texture and aroma complexity. Full article
Show Figures

Figure 1

26 pages, 590 KB  
Article
Toxicological Relevance of Biogenic Amines in Honey: Dietary Exposure and Integrated Risk Indicators in Algerian and Moroccan Honeys
by Fabio Bruno, Giuseppe Bruschetta, Anthea Miller, Vincenzo Nava and Patrizia Licata
Foods 2026, 15(8), 1411; https://doi.org/10.3390/foods15081411 - 17 Apr 2026
Viewed by 335
Abstract
Biogenic amines are nitrogenous compounds that may occur in foods through plant metabolism, bee enzymatic activity, or microbial decarboxylation. This study evaluated biogenic amines content in monofloral honeys from Algeria and Morocco, integrating compositional analysis, quality indices, and dietary exposure assessment within a [...] Read more.
Biogenic amines are nitrogenous compounds that may occur in foods through plant metabolism, bee enzymatic activity, or microbial decarboxylation. This study evaluated biogenic amines content in monofloral honeys from Algeria and Morocco, integrating compositional analysis, quality indices, and dietary exposure assessment within a toxicological risk characterization framework. Eight amines were quantified by HPLC-FLD, and Estimated Daily Intake (EDI) was calculated under adult and pediatric low- and high-consumption scenarios. Composite indices, including Total Biogenic Amines (TBA), Biogenic Amine Index (BAI), Vasoactive Amine Load (VAL), Potentiation Index (PI), and Quality Index (QI), were determined. Marked intra- and inter-city variability was observed, particularly for serotonin, tryptamine, and tyramine. Algerian Euphorbia orientalis L. samples showed the highest TBA and VAL values. However, histamine concentrations generally remained below 1 mg/kg, and tyramine levels were markedly lower than doses associated with hypertensive effects. Worst-case EDI values were in the order of 10−3–10−4 mg/kg body weight/day, including high-consumption pediatric scenarios. PI values were low, indicating limited synergistic amplification by diamines. Overall, despite botanical and geographical variability, the analyzed honeys exhibit a wide safety margin and based on the applied screening-level assessment, no immediate risk is indicated under the considered scenarios. Full article
(This article belongs to the Section Food Toxicology)
Show Figures

Figure 1

18 pages, 1044 KB  
Article
Effects of Probiotic Supplementation on Gut Microbiota and Fecal Metabolome in Autism Spectrum Disorders: A Secondary Analysis of a Randomized Clinical Trial in Preschoolers
by Letizia Guiducci, Luca Laghi, Nicolò Dellarosa, Paola Mastromarino, Margherita Prosperi, Filippo Muratori and Sara Calderoni
Metabolites 2026, 16(4), 262; https://doi.org/10.3390/metabo16040262 - 13 Apr 2026
Viewed by 356
Abstract
Background/Objectives: Recently, a randomized clinical trial evaluated whether a six-month probiotic administration could reduce symptom severity in preschool children with Autism Spectrum Disorders (ASD), with (GI) or without (NGI) gastrointestinal symptoms. Significant positive changes were observed only in NGI children. A second explorative [...] Read more.
Background/Objectives: Recently, a randomized clinical trial evaluated whether a six-month probiotic administration could reduce symptom severity in preschool children with Autism Spectrum Disorders (ASD), with (GI) or without (NGI) gastrointestinal symptoms. Significant positive changes were observed only in NGI children. A second explorative study on children prior to intervention identified a fecal metabolome fingerprint associated with ASD severity. Building on these findings, the present study aimed to assess whether metabolomics could monitor changes in ASD severity following probiotic administration using a subset of samples from the same trial. Second, this study aimed to identify fecal metabolites to be monitored in children to predict whether their autism severity may decrease after probiotic or placebo treatment. Methods: Evaluations of the fecal metabolome and microbiota could be completed on 57 children before and after a double-blind administration of a probiotic mixture or a placebo. Results: In NGI children the probiotic was found to influence the concentration of the amino acids aspartate, leucine, tryptophan, and valine, together with nicotinate and the short chain fatty acids acetate, butyrate, isobutyrate, and propionate. Lactobacilli and Sutterella showed significant changes in response to probiotic administration (p < 0.05). Acetate, 4-hydroxyphenyl, galactose, proline, and tyramine were identified as key fecal metabolites for prediction purposes. Conclusions: The present exploratory analysis, despite the small sample size, suggests that fecal metabolomics may provide a useful approach for monitoring and potentially for predicting changes in ASD severity following probiotics administration. Full article
Show Figures

Figure 1

20 pages, 3047 KB  
Article
Functional Analysis of Tomato SPDS in Response to Osmotic Stress
by Lilan Cheng, Jingling Zhang, Chenyu Lin, Wenjuan Wang, Siyuan Huang, Liyun Yang, Jie Li, Xin Guo and Xiaohui Yu
Cells 2026, 15(6), 533; https://doi.org/10.3390/cells15060533 - 17 Mar 2026
Viewed by 397
Abstract
Polyamines, such as spermidine (Spd), are small aliphatic amines that play critical roles in plant growth, fruit development, and stress responses. Spermidine synthase (SPDS) is the enzyme responsible for catalyzing Spd biosynthesis. However, the functional characterization of SPDS genes in tomato (Solanum [...] Read more.
Polyamines, such as spermidine (Spd), are small aliphatic amines that play critical roles in plant growth, fruit development, and stress responses. Spermidine synthase (SPDS) is the enzyme responsible for catalyzing Spd biosynthesis. However, the functional characterization of SPDS genes in tomato (Solanum lycopersicum) has been less studied. In this study, four SlSPDS genes (SlSPDS1-4) were identified and analyzed for their physicochemical properties, phylogenetic relationships, promoter cis-acting elements, subcellular localization, responses to various abiotic stresses, and effects on polyamine content in tomato leaves. Promoter analysis revealed the presence of multiple hormone and stress-responsive elements. Simultaneously, the overexpressing lines were subjected to osmotic stress treatment. Subcellular localization experiments demonstrated that SlSPDS1 and SlSPDS2 were distributed in both the nucleus and cytoplasm, while SlSPDS3 and SlSPDS4 were specifically localized to the nucleus. SlSPDS1-3 exhibited significant responses to high/low temperature stress, salt stress, and ABA stress. Meanwhile, only SlSPDS1 and SlSPDS4 exhibited responses to drought stress. Transient expression of SlSPDSs in tomato revealed changes in the accumulation levels of spermine, putrescine, tyramine, and tryptamine, whereas the contents of spermidine and phenethylamine showed no significant changes. Simultaneously, we successfully obtained four SlSPDS-overexpressing transgenic tomato lines, OE-SPDS1-4. Phenotypic analysis confirmed that these transgenic lines exhibited significantly reduced wilting and chlorosis compared with WT plants under drought and salt stress. Functional validation indicates that overexpression of these genes enhances reactive oxygen species (ROS) scavenging capacity in transgenic tomatoes, thereby potentially improving their tolerance to drought and salt stress. These findings highlighted the potential function of SlSPDS genes in tomato, providing valuable targets for improving stress tolerance. Full article
Show Figures

Figure 1

21 pages, 3732 KB  
Article
Fortification of the Bioactive and Sensory Profile of Dark Cup Chocolate Formulated with Three Percentages of Cocoa Liquor (Forastero Variety)
by Eliana Milagros Cabrejos-Barrios, Frank Fernandez-Rosillo, Noemí León-Roque, Aleida Soledad Cabrejos-Barrios, Marleni Medina-Mendoza, Efraín M. Castro-Alayo and César R. Balcázar-Zumaeta
Processes 2026, 14(4), 697; https://doi.org/10.3390/pr14040697 - 19 Feb 2026
Viewed by 753
Abstract
Dark cup chocolate is recognized as a source of bioactive compounds with potential health-promoting properties. This study aimed to evaluate the fortification of the bioactive and sensory profile of dark cup chocolate formulated with three percentages of cocoa liquor from the Forastero variety [...] Read more.
Dark cup chocolate is recognized as a source of bioactive compounds with potential health-promoting properties. This study aimed to evaluate the fortification of the bioactive and sensory profile of dark cup chocolate formulated with three percentages of cocoa liquor from the Forastero variety (40, 70, and 100%). Chocolates were produced from cacao beans cultivated in Jaén (Cajamarca, Peru) and characterized in terms of their antioxidant capacity, total phenolic content, tyramine concentration, and sensory attributes, which were assessed by a trained panel. The results showed that increasing the cocoa liquor percentage significantly enhanced the antioxidant capacity and phenolic content, with the 100% cacao chocolate exhibiting the highest values. Likewise, tyramine concentration also increased with cocoa liquor content, reaching 41.90 mg/kg in the 100% formulation, while the 40% chocolate showed markedly lower levels (1.85 mg/kg). Overall, the findings demonstrate a positive association between cocoa liquor percentage, bioactive potential, and tyramine accumulation, highlighting the importance of cacao proportions in defining both functional properties and safety-related aspects of dark cup chocolate. Full article
(This article belongs to the Section Food Process Engineering)
Show Figures

Figure 1

19 pages, 12582 KB  
Article
Targeting the Type 1 Tyramine Receptor LsTAR1 Inhibits Reproduction, Feeding and Survival in the Small Brown Planthopper Laodelphax striatellus
by Zihan Yan, Liran Fu, Yutong Chen, Kangjing Ye, Yuanyuan Zhang, Liang Wu, Ruhao Qian, Mingshi Qian, Guoqing Yang and Gang Xu
Insects 2026, 17(1), 117; https://doi.org/10.3390/insects17010117 - 20 Jan 2026
Viewed by 614
Abstract
Laodelphax striatellus is one of the most destructive rice pests. However, the functions of TARs in rice pests remain largely unknown. Here, we cloned LsTAR1 from L. striatellus. LsTAR1 shares considerable sequence identity with its orthologous receptors, and clusters closely with its [...] Read more.
Laodelphax striatellus is one of the most destructive rice pests. However, the functions of TARs in rice pests remain largely unknown. Here, we cloned LsTAR1 from L. striatellus. LsTAR1 shares considerable sequence identity with its orthologous receptors, and clusters closely with its corresponding receptor groups. LsTAR1 was most highly expressed in the egg stage and brain of L. striatellus. Knockdown of LsTAR1 by RNA interference (RNAi) prolonged the preoviposition and oviposition period, and reduced the fecundity. Furthermore, LsTAR1 knockdown significantly decreased the mRNA levels of vitellogenin (LsVg) in the fat body and ovary, and increased the transcript levels of Vg receptor (LsVgR) in the ovary, as well as altered the expression levels of genes related to juvenile hormone (JH) and 20-hydroxyecdysone (20E) pathway. Additionally, LsTAR1 knockdown markedly reduced the honeydew excretion of the adults and affected the expression of neuropeptide signaling genes involved in insect feeding. Notably, disruption of LsTAR1 signaling via RNAi or an antagonist reduced the survival rates of L. striatellus. This study uncovers the crucial roles of LsTAR1 in reproduction, feeding, and survival in L. striatellus, and highlights its potential as a promising target for developing novel pest management strategies. Full article
(This article belongs to the Section Insect Molecular Biology and Genomics)
Show Figures

Graphical abstract

20 pages, 1825 KB  
Article
Lacticaseibacillus rhamnosus WH.FH-19: Probiotic Traits, Fermentation Performance, and Potential for Functional Fermented Milk Production
by Shiyuan Sun, Lu Feng, Liping Sun, Xuemei Zhu, Mo Zhou, Xinling Li and Guangqing Mu
Foods 2026, 15(2), 271; https://doi.org/10.3390/foods15020271 - 12 Jan 2026
Viewed by 522
Abstract
Lacticaseibacillus rhamnosus WH.FH-19 exhibits robust probiotic and technological traits for fermented dairy applications. L. rhamnosus WH.FH-19 shows superior functional potential compared to the benchmark strain Lacticaseibacillus rhamnosus GG. Kinetic studies confirm L. rhamnosus WH.FH-19’s vigorous growth and rapid acidification kinetics in bovine milk. [...] Read more.
Lacticaseibacillus rhamnosus WH.FH-19 exhibits robust probiotic and technological traits for fermented dairy applications. L. rhamnosus WH.FH-19 shows superior functional potential compared to the benchmark strain Lacticaseibacillus rhamnosus GG. Kinetic studies confirm L. rhamnosus WH.FH-19’s vigorous growth and rapid acidification kinetics in bovine milk. In vitro characterization reveals enhanced probiotic properties, including significantly greater epithelial adhesion, tolerance to gastrointestinal stresses, cholesterol assimilation capacity, and antioxidant activity. Comprehensive safety assessment demonstrated the absence of hemolysis, sensitivity to clinically relevant antibiotics, and negligible tyramine production. Optimal synergistic fermentation with L. bulgaricus CICC 6047 and S. thermophilus CICC 6038 was achieved using a defined inoculum ratio. Under these conditions, L. rhamnosus WH.FH-19 specifically potentiated the activity of the S. thermophilus strain, accelerating fermentation kinetics without subsequent post-acidification while improving product sensory attributes. These findings establish L. rhamnosus WH.FH-19 as a safe, functionally robust probiotic with significant technological benefit for commercial fermented dairy production. Full article
(This article belongs to the Special Issue Changes in Microbial Community Structure of Fermented Food)
Show Figures

Figure 1

18 pages, 4395 KB  
Article
Tailoring the Properties of Marine-Based Alginate Hydrogels: A Comparison of Enzymatic (HRP) and Visible-Light (SPS/Ruth)-Induced Gelation
by Feiyang Wang, Emmanuelle Lainé, Paolina Lukova, Plamen Katsarov and Cédric Delattre
Mar. Drugs 2026, 24(1), 22; https://doi.org/10.3390/md24010022 - 2 Jan 2026
Cited by 1 | Viewed by 1127
Abstract
Alginate is a natural polysaccharide extracted from brown algae and is commonly used as a biomaterial scaffold in tissue engineering. In this study, we performed phenol functionalization of sodium alginate based on chemical modification methods using 1-ethyl-(3-dimethylaminopropyl)carbodiimide/N-hydroxybutanediimide/2-(N-morpholino) ethanesulfonic acid (EDC/NHS/MES) and tyramine. The [...] Read more.
Alginate is a natural polysaccharide extracted from brown algae and is commonly used as a biomaterial scaffold in tissue engineering. In this study, we performed phenol functionalization of sodium alginate based on chemical modification methods using 1-ethyl-(3-dimethylaminopropyl)carbodiimide/N-hydroxybutanediimide/2-(N-morpholino) ethanesulfonic acid (EDC/NHS/MES) and tyramine. The presence of phenol groups was confirmed by spectrophotometry and Fourier Transform Infrared. We successfully prepared hydrogels using a horseradish peroxidase/hydrogen peroxide (HRP/H2O2) enzymatic system as well as an sodium persulfate (SPS)/ruthenium light-crosslinking system. Optimization identified 1 mM ruthenium and 4 mM SPS as the most effective photo crosslinking conditions. At the same time, 1 mM H2O2 and 10 U/mL HRP are considered optimal conditions for the enzyme-linked reaction. Rheological measurements monitored the gelation process, revealing that the viscosity, storage modulus, and loss modulus of the material increased by at least one hundredfold after crosslinking. Thixotropy results demonstrated excellent recovery of the material. Texture analysis indicated that the crosslinked material possessed notable strength and toughness, highlighting its potential applications in tissue engineering after 3D bioprinting. Full article
(This article belongs to the Section Biomaterials of Marine Origin)
Show Figures

Graphical abstract

16 pages, 1629 KB  
Review
Gut Microbiota and Dopamine: Producers, Consumers, Enzymatic Mechanisms, and In Vivo Insights
by Giovanni Albani, Vasuki Ranjani Chellamuthu, Lea Morlacchi, Federica Zirone, Maryam Youssefi, Marica Giardini, Yin-Xia Chao, Eng-King Tan and Salvatore Albani
Bioengineering 2026, 13(1), 55; https://doi.org/10.3390/bioengineering13010055 - 31 Dec 2025
Cited by 1 | Viewed by 2236
Abstract
The human gut microbiota plays a key role in neurochemical communication, especially through the gut–brain axis. There is growing evidence that the gut microbiota influences dopamine metabolism through both production and consumption mechanisms. Two key bacterial enzymes are central to this process: tyrosine [...] Read more.
The human gut microbiota plays a key role in neurochemical communication, especially through the gut–brain axis. There is growing evidence that the gut microbiota influences dopamine metabolism through both production and consumption mechanisms. Two key bacterial enzymes are central to this process: tyrosine decarboxylase (TDC), which primarily catalyzes the decarboxylation of tyrosine to tyramine but can also act on L-DOPA to produce dopamine in certain bacterial strains, and aromatic L-amino acid decarboxylase (AADC), which can convert precursors such as L-DOPA, tryptophan, or 5-hydroxytryptophan into bioactive amines including dopamine, tryptamine, and serotonin. Identifying the bacterial families corresponding to TDC and AADC enzymes opens new avenues for clinical intervention, particularly in neuropsychiatric and neurodegenerative disorders, such as Parkinson’s disease. Moreover, elucidating strain-specific microbial contribution and host-microbe interactions may enable personalized therapeutic strategies, such as selective microbial enzyme inhibitors or tailored probiotics, to optimize dopamine metabolism. Emerging technologies, including biosensors and organ-on-chip platforms, offer new tools to monitor and manipulate microbial dopamine activity. This article explores the bacterial taxa capable of producing or consuming dopamine, focusing on the enzymatic mechanisms involved and the methodologies available for studying these processes in vivo. Full article
(This article belongs to the Section Biochemical Engineering)
Show Figures

Graphical abstract

14 pages, 1692 KB  
Article
A New Approach to the Determination of Biogenic Amines in Wine
by Anna Salimova, Alexandra Vasilieva, Evgeniy Belyaev, Konstantin Sakharov and Sergey Andreev
Molecules 2026, 31(1), 71; https://doi.org/10.3390/molecules31010071 - 24 Dec 2025
Cited by 2 | Viewed by 761
Abstract
Biogenic amines (BAs) can be found in various foods, such as cheese, wine, and chocolate. The consumption of a sufficient quantity of BA can lead to symptoms including headaches, hypertonia, and diarrhea. For this reason, the amount of BA in food is regulated [...] Read more.
Biogenic amines (BAs) can be found in various foods, such as cheese, wine, and chocolate. The consumption of a sufficient quantity of BA can lead to symptoms including headaches, hypertonia, and diarrhea. For this reason, the amount of BA in food is regulated in many countries. A new method for the determination of biogenic amines in wine has been proposed, which involves derivatizing BA with p-toluene sulfonyl chloride (TsCl) and using K2S2O8 to reduce the matrix effect. The derivatives of putrescine, cadaverine, histamine, and tyramine with TsCl were synthesized and characterized by 1H NMR spectroscopy. Separation of BA derivatives was performed using a reversed-phase high-performance liquid chromatography (RP-HPLC). The chromatographic system was equipped with a reversed-phase C8 column and a diode array detector. This method was validated to analyze the above-mentioned biogenic amines simultaneously in red and white wine samples. The detection limits for putrescine, cadaverine, histamine, and tyramine in wine samples were 0.0248 mg·L−1, 0.0645 mg·L−1, 0.346 mg·L−1 and 0.00866 mg·L−1, respectively. The calibration curves showed good linearity (r > 0.999), and biogenic amines recovery varied from 83.0 to 110%. The proposed method demonstrates high sensitivity, straightforward sample preparation, and rapid analysis time. Full article
Show Figures

Figure 1

13 pages, 1386 KB  
Article
Potentiometric Determination of Biogenic Amines Using a Cucurbit[6]uril-PVC Sensing Membrane
by Cláudio M. R. Almeida, Joana L. A. Miranda, Manuela M. Moreira, Júlia M. C. S. Magalhães, Maria F. Barroso and Luisa Durães
Chemosensors 2026, 14(1), 4; https://doi.org/10.3390/chemosensors14010004 - 22 Dec 2025
Viewed by 750
Abstract
In this work, a potentiometric sensor for the detection of biogenic amines (BAs) in food samples was developed and characterised. The sensor employs a home-fabricated electrode incorporating a cucurbit[6]uril-modified polyvinyl chloride membrane as the sensing element. The working principle, system behaviour, and optimal [...] Read more.
In this work, a potentiometric sensor for the detection of biogenic amines (BAs) in food samples was developed and characterised. The sensor employs a home-fabricated electrode incorporating a cucurbit[6]uril-modified polyvinyl chloride membrane as the sensing element. The working principle, system behaviour, and optimal operational conditions for BA monitoring were systematically investigated. The developed sensor demonstrated excellent analytical performance, showing a linear response in the concentration range of 3.0 × 10−5 to 1.0 × 10−2 mol L−1, with a low limit of detection of 2.4 × 10−5 mol L−1. Among the tested analytes, the sensor exhibited the highest sensitivity toward tyramine. These results highlight the potential of the proposed cucurbit[6]uril-based potentiometric sensor as an effective and reliable tool for monitoring BAs in complex food matrices, contributing to improved food safety, quality control, and spoilage prevention in the food industry, while also demonstrating its new application as a low-cost, easily constructed platform for rapid tyramine screening in food products. Full article
Show Figures

Figure 1

19 pages, 877 KB  
Article
The Influence of Winemaking Processes on the Formation of Biogenic Amines in Wine
by Karolina Kostelnikova, Mojmir Baron, Michal Kumsta and Jiri Sochor
Fermentation 2025, 11(12), 687; https://doi.org/10.3390/fermentation11120687 - 11 Dec 2025
Cited by 1 | Viewed by 860
Abstract
This study investigated the influence of different winemaking processes, particularly fermentation type and must clarification, on the formation of biogenic amines (BA) in Sauvignon wine. The experiment investigated seven methods of vinification combining spontaneous and controlled alcoholic and malolactic fermentation. The concentrations of [...] Read more.
This study investigated the influence of different winemaking processes, particularly fermentation type and must clarification, on the formation of biogenic amines (BA) in Sauvignon wine. The experiment investigated seven methods of vinification combining spontaneous and controlled alcoholic and malolactic fermentation. The concentrations of six biogenic amines (histamine, tyramine, tryptamine, phenylethylamine, putrescine, and cadaverine) were determined using a HILIC-LC-MS/MS. Statistical evaluation confirmed the significant effect of alcoholic and malolactic fermentation, maturation stage, and must processing on the overall amine profile of the wine (p < 0.001). The total BA content in all the variants was low and well below values considered to pose a health risk. Histamine and tryptamine were only detected in trace amounts (<0.1 mg/L), whereas putrescine and tyramine exhibited the greatest variability. Higher concentrations were recorded in variants that underwent malolactic fermentation, particularly in combination with clarified must. In contrast, whole-mash fermentation produced the lowest BA concentrations, possibly due to factors associated with extended skin and seed contact. These findings indicate that the choice of fermentation strategy significantly affects the formation of biogenic amines in wine. Full article
(This article belongs to the Special Issue Applications of Microbial Biodiversity in Wine Fermentation)
Show Figures

Figure 1

Back to TopTop