Sign in to use this feature.

Years

Between: -

Subjects

remove_circle_outline
remove_circle_outline
remove_circle_outline
remove_circle_outline
remove_circle_outline
remove_circle_outline
remove_circle_outline
remove_circle_outline

Journals

Article Types

Countries / Regions

Search Results (22)

Search Parameters:
Keywords = typical satellite component detection

Order results
Result details
Results per page
Select all
Export citation of selected articles as:
21 pages, 9386 KB  
Article
Comparative Analysis of Non-Negative Matrix Factorization in Fire Susceptibility Mapping: A Case Study of Semi-Mediterranean and Semi-Arid Regions
by Iraj Rahimi, Lia Duarte, Wafa Barkhoda and Ana Cláudia Teodoro
Land 2025, 14(7), 1334; https://doi.org/10.3390/land14071334 - 23 Jun 2025
Viewed by 674
Abstract
Semi-Mediterranean (SM) and semi-arid (SA) regions, exemplified by the Kurdo-Zagrosian forests in western Iran and northern Iraq, have experienced frequent wildfires in recent years. This study proposes a modified Non-Negative Matrix Factorization (NMF) method for detecting fire-prone areas using satellite-derived data in SM [...] Read more.
Semi-Mediterranean (SM) and semi-arid (SA) regions, exemplified by the Kurdo-Zagrosian forests in western Iran and northern Iraq, have experienced frequent wildfires in recent years. This study proposes a modified Non-Negative Matrix Factorization (NMF) method for detecting fire-prone areas using satellite-derived data in SM and SA forests. The performance of the proposed method was then compared with three other already proposed NMF methods: principal component analysis (PCA), K-means, and IsoData. NMF is a factorization method renowned for performing dimensionality reduction and feature extraction. It imposes non-negativity constraints on factor matrices, enhancing interpretability and suitability for analyzing real-world datasets. Sentinel-2 imagery, the Shuttle Radar Topography Mission (SRTM) Digital Elevation Model (DEM), and the Zagros Grass Index (ZGI) from 2020 were employed as inputs and validated against a post-2020 burned area derived from the Normalized Burned Ratio (NBR) index. The results demonstrate NMF’s effectiveness in identifying fire-prone areas across large geographic extents typical of SM and SA regions. The results also revealed that when the elevation was included, NMF_L1/2-Sparsity offered the best outcome among the used NMF methods. In contrast, the proposed NMF method provided the best results when only Sentinel-2 bands and ZGI were used. Full article
(This article belongs to the Section Land Use, Impact Assessment and Sustainability)
Show Figures

Figure 1

25 pages, 5122 KB  
Article
Detection of Exoplanets in Transit Light Curves with Conditional Flow Matching and XGBoost
by Stefano Fiscale, Alessio Ferone, Angelo Ciaramella, Laura Inno, Massimiliano Giordano Orsini, Giovanni Covone and Alessandra Rotundi
Electronics 2025, 14(9), 1738; https://doi.org/10.3390/electronics14091738 - 24 Apr 2025
Cited by 3 | Viewed by 1862
Abstract
NASA’s space-based telescopes Kepler and Transiting Exoplanet Survey Satellite (TESS) have detected billions of potential planetary signatures, typically classified with Convolutional Neural Networks (CNNs). In this study, we introduce a hybrid model that combines deep learning, dimensionality reduction, decision trees, and diffusion models [...] Read more.
NASA’s space-based telescopes Kepler and Transiting Exoplanet Survey Satellite (TESS) have detected billions of potential planetary signatures, typically classified with Convolutional Neural Networks (CNNs). In this study, we introduce a hybrid model that combines deep learning, dimensionality reduction, decision trees, and diffusion models to distinguish planetary transits from astrophysical false positives and instrumental artifacts. Our model consists of three main components: (i) feature extraction using the CNN VGG19, (ii) dimensionality reduction through t-Distributed Stochastic Neighbor Embedding (t-SNE), and (iii) classification using Conditional Flow Matching (CFM) and XGBoost. We evaluated the model on two Kepler and one TESS datasets, achieving F1-scores of 98% and 100%, respectively. Our results demonstrate the effectiveness of VGG19 in extracting discriminative patterns from data, t-SNE in projecting features in a lower dimensional space where they can be most effectively classified, and CFM with XGBoost in enabling robust classification with minimal computational cost. This study highlights that a hybrid approach leveraging deep learning and dimensionality reduction allows one to achieve state-of-the-art performance in exoplanet detection while maintaining a low computational cost. Future work will explore the use of adaptive dimensionality reduction methods and the application to data from upcoming missions like the ESA’s PLATO mission. Full article
(This article belongs to the Special Issue Image Processing Based on Convolution Neural Network: 2nd Edition)
Show Figures

Figure 1

14 pages, 8958 KB  
Article
Improved Detection of Great Lakes Water Quality Anomalies Using Remote Sensing
by Karl R. Bosse, Robert A. Shuchman, Michael J. Sayers, John Lekki and Roger Tokars
Water 2024, 16(24), 3602; https://doi.org/10.3390/w16243602 - 14 Dec 2024
Viewed by 1434
Abstract
Due to their immense economic and recreational value, the monitoring of Great Lakes water quality is of utmost importance to the region. Historically, this has taken place through a combination of ship-based sampling, buoy measurements, and physical models. However, these approaches have spatial [...] Read more.
Due to their immense economic and recreational value, the monitoring of Great Lakes water quality is of utmost importance to the region. Historically, this has taken place through a combination of ship-based sampling, buoy measurements, and physical models. However, these approaches have spatial and temporal deficiencies which can be improved upon through satellite remote sensing. This study details a new approach for using long time series of satellite remote sensing data to identify historical and near real-time anomalies across a range of data products. Anomalies are traditionally detected as deviations from historical climatologies, typically assuming that there are no long-term trends in the historical data. However, if present, such trends could result in misclassifying ordinary events as anomalous or missing actual anomalies. The new anomaly detection method explicitly accounts for long-term trends and seasonal variability by first decomposing a 10-plus year data record of satellite remote sensing-derived Great Lakes water quality parameters into seasonal, trend, and remainder components. Anomalies were identified as differences between the observed water quality parameter from the model-derived expected value. Normalizing the anomalies to the mean and standard deviation of the full model remainders, the relative anomaly product can be used to compare deviations across parameters and regions. This approach can also be used to forecast the model into the future, allowing for the identification of anomalies in near real time. Multiple case studies are detailed, including examples of a harmful algal bloom in Lake Erie, a sediment plume in Saginaw Bay (Lake Huron), and a phytoplankton bloom in Lake Superior. This new approach would be best suited for use in a water quality dashboard, allowing users (e.g., water quality managers, the research community, and the public) to observe historical and near real-time anomalies. Full article
Show Figures

Figure 1

27 pages, 7948 KB  
Article
LTSCD-YOLO: A Lightweight Algorithm for Detecting Typical Satellite Components Based on Improved YOLOv8
by Zixuan Tang, Wei Zhang, Junlin Li, Ran Liu, Yansong Xu, Siyu Chen, Zhiyue Fang and Fuchenglong Zhao
Remote Sens. 2024, 16(16), 3101; https://doi.org/10.3390/rs16163101 - 22 Aug 2024
Cited by 5 | Viewed by 3345
Abstract
Typical satellite component detection is an application-valuable and challenging research field. Currently, there are many algorithms for detecting typical satellite components, but due to the limited storage space and computational resources in the space environment, these algorithms generally have the problem of excessive [...] Read more.
Typical satellite component detection is an application-valuable and challenging research field. Currently, there are many algorithms for detecting typical satellite components, but due to the limited storage space and computational resources in the space environment, these algorithms generally have the problem of excessive parameter count and computational load, which hinders their effective application in space environments. Furthermore, the scale of datasets used by these algorithms is not large enough to train the algorithm models well. To address the above issues, this paper first applies YOLOv8 to the detection of typical satellite components and proposes a Lightweight Typical Satellite Components Detection algorithm based on improved YOLOv8 (LTSCD-YOLO). Firstly, it adopts the lightweight network EfficientNet-B0 as the backbone network to reduce the model’s parameter count and computational load; secondly, it uses a Cross-Scale Feature-Fusion Module (CCFM) at the Neck to enhance the model’s adaptability to scale changes; then, it integrates Partial Convolution (PConv) into the C2f (Faster Implementation of CSP Bottleneck with two convolutions) module and Re-parameterized Convolution (RepConv) into the detection head to further achieve model lightweighting; finally, the Focal-Efficient Intersection over Union (Focal-EIoU) is used as the loss function to enhance the model’s detection accuracy and detection speed. Additionally, a larger-scale Typical Satellite Components Dataset (TSC-Dataset) is also constructed. Our experimental results show that LTSCD-YOLO can maintain high detection accuracy with minimal parameter count and computational load. Compared to YOLOv8s, LTSCD-YOLO improved the mean average precision (mAP50) by 1.50% on the TSC-Dataset, reaching 94.5%. Meanwhile, the model’s parameter count decreased by 78.46%, the computational load decreased by 65.97%, and the detection speed increased by 17.66%. This algorithm achieves a balance between accuracy and light weight, and its generalization ability has been validated on real images, making it effectively applicable to detection tasks of typical satellite components in space environments. Full article
Show Figures

Graphical abstract

18 pages, 5639 KB  
Article
TYCOS: A Specialized Dataset for Typical Components of Satellites
by He Bian, Jianzhong Cao, Gaopeng Zhang, Zhe Zhang, Cheng Li and Junpeng Dong
Appl. Sci. 2024, 14(11), 4757; https://doi.org/10.3390/app14114757 - 31 May 2024
Cited by 2 | Viewed by 1443
Abstract
The successful detection of key components within satellites is a crucial prerequisite for executing on-orbit capture missions. Due to the inherent data-driven functionality, deep learning-based component detection algorithms rely heavily on the scale and quality of the dataset for their accuracy and robustness. [...] Read more.
The successful detection of key components within satellites is a crucial prerequisite for executing on-orbit capture missions. Due to the inherent data-driven functionality, deep learning-based component detection algorithms rely heavily on the scale and quality of the dataset for their accuracy and robustness. Nevertheless, existing satellite image datasets exhibit several deficiencies, such as the lack of satellite motion states, extreme illuminations, or occlusion of critical components, which severely hinder the performance of detection algorithms. In this work, we bridge the gap via the release of a novel dataset tailored for the detection of key components of satellites. Unlike the conventional datasets composed of synthetic images, the proposed Typical Components of Satellites (TYCOS) dataset comprises authentic photos captured in a simulated space environment. It encompasses three types of satellite, three types of key components, three types of illumination, and three types of motion state. Meanwhile, scenarios with occlusion in front of the satellite are also taken into consideration. On the basis of TYCOS, several state-of-the-art detection methods are employed in rigorous experiments followed by a comprehensive analysis, which further enhances the development of space scene perception and satellite safety. Full article
Show Figures

Figure 1

25 pages, 9342 KB  
Article
A GNSS Spoofing Detection and Direction-Finding Method Based on Low-Cost Commercial Board Components
by Pengrui Mao, Hong Yuan, Xiao Chen, Yingkui Gong, Shuhui Li, Ran Li, Ruidan Luo, Guangyao Zhao, Chengang Fu and Jiajia Xu
Remote Sens. 2023, 15(11), 2781; https://doi.org/10.3390/rs15112781 - 26 May 2023
Cited by 11 | Viewed by 5551
Abstract
The Global Navigation Satellite System (GNSS) is vulnerable to deliberate spoofing signal attacks. Once the user wrongly locks on the spoofing signal, the wrong position, velocity, and time (PVT) information will be calculated, which will harm the user. GNSS spoofing signals are difficult [...] Read more.
The Global Navigation Satellite System (GNSS) is vulnerable to deliberate spoofing signal attacks. Once the user wrongly locks on the spoofing signal, the wrong position, velocity, and time (PVT) information will be calculated, which will harm the user. GNSS spoofing signals are difficult to carry out spoofing attacks in the direction of arrival (DOA) of the real signal, so the spoofing detection method based on DOA is very effective. On the basis of identifying spoofing signals, accurate DOA information of the signal can be further used to locate the spoofer. At present, the existing DOA monitoring methods for spoofing signals are mainly based on dedicated antenna arrays and receivers, which are costly and difficult to upgrade and are not conducive to large-scale deployment, upgrade, and maintenance. This paper proposes a spoofing detection and direction-finding method based on a low-cost commercial GNSS board component (including an antenna). Based on the traditional principle of using a multi-antenna carrier phase to solve DOA, this paper innovatively solves the following problems: the poor direction-finding accuracy caused by the unstable phase center of low-cost commercial antennas, the low success rate of spoofing detection in a multipath environment, and the inconsistent sampling time among multiple low-cost commercial GNSS boards. Moreover, the corresponding prototype equipment for spoofing detection and direction-finding is developed. The measured results show that it can effectively detect spoofing signals in open environments. Under a certain false alarm rate, the detection success rate can reach 100%, and the typical direction-finding accuracy can reach 5°. Full article
(This article belongs to the Special Issue Satellite Navigation and Signal Processing)
Show Figures

Graphical abstract

28 pages, 2893 KB  
Article
Investigating the Inter-Relationships among Multiple Atmospheric Variables and Their Responses to Precipitation
by Haobo Li, Suelynn Choy, Safoora Zaminpardaz, Brett Carter, Chayn Sun, Smrati Purwar, Hong Liang, Linqi Li and Xiaoming Wang
Atmosphere 2023, 14(3), 571; https://doi.org/10.3390/atmos14030571 - 16 Mar 2023
Cited by 16 | Viewed by 3633
Abstract
In this study, a comprehensive investigation into the inter-relationships among twelve atmospheric variables and their responses to precipitation was conducted. These variables include two Global Navigation Satellite Systems (GNSS) tropospheric products, eight weather variables and two time-varying parameters. Their observations and corresponding precipitation [...] Read more.
In this study, a comprehensive investigation into the inter-relationships among twelve atmospheric variables and their responses to precipitation was conducted. These variables include two Global Navigation Satellite Systems (GNSS) tropospheric products, eight weather variables and two time-varying parameters. Their observations and corresponding precipitation record over the period 2008–2019 were obtained from a pair of GNSS/weather stations in Hong Kong. Firstly, based on the correlation and regression analyses, the cross-relationships among the variables were systematically analyzed. Typically, the variables of precipitable water vapor (PWV), zenith total delay (ZTD), temperature, pressure, wet-bulb temperature and dew-point temperature have closer cross-correlativity. Next, the responses of these variables to precipitation of different intensities were investigated and some precursory information of precipitation contained in these variables was revealed. The lead times of using ZTD and PWV to detect heavy precipitation are about 8 h. Finally, by using the principal component analysis, it is shown that heavy precipitation can be effectively detected using these variables, among which, ZTD, PWV and cloud coverage play more prominent roles. The research findings can not only increase the utilization and uptake of atmospheric variables in the detection of precipitation, but also provide clues in the development of more robust precipitation forecasting models. Full article
(This article belongs to the Special Issue New Insights in Atmospheric Water Vapor Retrieval)
Show Figures

Figure 1

23 pages, 9416 KB  
Article
Greenhouse Gases Monitoring Instrument on GaoFen-5 Satellite-II: Optical Design and Evaluation
by Haiyan Luo, Zhiwei Li, Yang Wu, Zhenwei Qiu, Hailiang Shi, Qiansheng Wang and Wei Xiong
Remote Sens. 2023, 15(4), 1105; https://doi.org/10.3390/rs15041105 - 17 Feb 2023
Cited by 10 | Viewed by 4213
Abstract
The Greenhouse gases Monitoring Instrument on GaoFen-5 satellite-II (GMI-II) uses spatial heterodyne spectroscopy (SHS) for quantitative monitoring of atmospheric greenhouse gases (GHG). Unlike the traditional SHS, the interferometer component of the GMI-II was designed with zero optical path difference offset, effectively improving spectral [...] Read more.
The Greenhouse gases Monitoring Instrument on GaoFen-5 satellite-II (GMI-II) uses spatial heterodyne spectroscopy (SHS) for quantitative monitoring of atmospheric greenhouse gases (GHG). Unlike the traditional SHS, the interferometer component of the GMI-II was designed with zero optical path difference offset, effectively improving spectral resolution while maintaining the same detector specifications. The secondary imaging system with non-isometric scaling of spatial and spectral dimensions was designed to decrease the integration time of a frame image or improve the spectral signal-to-noise ratio (SNR) under the same integration time. This paper introduces the design, manufacture, adjustment methods, and test results of the main performance indexes of the GMI-II that indicate that the spectral resolution of the O2 A-band detection channel is better than 0.6 cm−1 and other channels are better than 0.27 cm−1. Under the typical radiance of other carbon monitors’ on-orbit statistics, the spectral SNR of the GMI-II is more than 300. These test results demonstrate that the GMI-II can be well adapted to quantitative remote sensing monitoring of atmospheric GHG. Full article
Show Figures

Figure 1

16 pages, 18518 KB  
Article
Mapping Area Changes of Glacial Lakes Using Stacks of Optical Satellite Images
by Varvara Bazilova and Andreas Kääb
Remote Sens. 2022, 14(23), 5973; https://doi.org/10.3390/rs14235973 - 25 Nov 2022
Cited by 8 | Viewed by 4151
Abstract
Glacial lakes are an important and dynamic component of terrestrial meltwater storage, responding to climate change and glacier retreat. Although there is evidence of rapid worldwide growth of glacial lakes, changes in frequency and magnitude of glacier lake outbursts under climatic changes are [...] Read more.
Glacial lakes are an important and dynamic component of terrestrial meltwater storage, responding to climate change and glacier retreat. Although there is evidence of rapid worldwide growth of glacial lakes, changes in frequency and magnitude of glacier lake outbursts under climatic changes are not yet understood. This study proposes and discusses a method framework for regional-scale mapping of glacial lakes and area change detection using large time-series of optical satellite images and the cloud processing tool Google Earth Engine in a semi-automatic way. The methods are presented for two temporal scales, from the 2-week Landsat revisit period to annual resolution. The proposed methods show how constructing an annual composite of pixel values such as minimum or maximum values can help to overcome typical problems associated with water mapping from optical satellite data such as clouds, or terrain and cloud shadows. For annual-resolution glacial lake mapping, our method set only involves two different band ratios based on multispectral satellite images. The study demonstrates how the proposed method framework can be applied to detect rapid lake area changes and to produce a complete regional-scale glacial lake inventory, using the Greater Caucasus as example. Full article
(This article belongs to the Special Issue Remote Sensing of the Cryosphere)
Show Figures

Figure 1

17 pages, 906 KB  
Review
The Utility of Repetitive Cell-Free DNA in Cancer Liquid Biopsies
by Ugur Gezer, Abel J. Bronkhorst and Stefan Holdenrieder
Diagnostics 2022, 12(6), 1363; https://doi.org/10.3390/diagnostics12061363 - 1 Jun 2022
Cited by 19 | Viewed by 4604
Abstract
Liquid biopsy is a broad term that refers to the testing of body fluids for biomarkers that correlate with a pathological condition. While a variety of body-fluid components (e.g., circulating tumor cells, extracellular vesicles, RNA, proteins, and metabolites) are studied as potential liquid [...] Read more.
Liquid biopsy is a broad term that refers to the testing of body fluids for biomarkers that correlate with a pathological condition. While a variety of body-fluid components (e.g., circulating tumor cells, extracellular vesicles, RNA, proteins, and metabolites) are studied as potential liquid biopsy biomarkers, cell-free DNA (cfDNA) has attracted the most attention in recent years. The total cfDNA population in a typical biospecimen represents an immensely rich source of biological and pathological information and has demonstrated significant potential as a versatile biomarker in oncology, non-invasive prenatal testing, and transplant monitoring. As a significant portion of cfDNA is composed of repeat DNA sequences and some families (e.g., pericentric satellites) were recently shown to be overrepresented in cfDNA populations vs their genomic abundance, it holds great potential for developing liquid biopsy-based biomarkers for the early detection and management of patients with cancer. By outlining research that employed cell-free repeat DNA sequences, in particular the ALU and LINE-1 elements, we highlight the clinical potential of the repeat-element content of cfDNA as an underappreciated marker in the cancer liquid biopsy repertoire. Full article
Show Figures

Figure 1

26 pages, 8085 KB  
Article
Impact of BRDF Spatiotemporal Smoothing on Land Surface Albedo Estimation
by Jian Yang, Yanmin Shuai, Junbo Duan, Donghui Xie, Qingling Zhang and Ruishan Zhao
Remote Sens. 2022, 14(9), 2001; https://doi.org/10.3390/rs14092001 - 21 Apr 2022
Cited by 7 | Viewed by 2817
Abstract
Surface albedo, as a key parameter determining the partition of solar radiation at the Earth’s surface, has been developed into a satellite-based product from various Earth observation systems to serve numerous global or regional applications. Studies point out that apparent uncertainty can be [...] Read more.
Surface albedo, as a key parameter determining the partition of solar radiation at the Earth’s surface, has been developed into a satellite-based product from various Earth observation systems to serve numerous global or regional applications. Studies point out that apparent uncertainty can be introduced into albedo retrieval without consideration of surface anisotropy, which is a challenge to albedo estimation especially from observations with fewer angular samplings. Researchers have begun to introduce smoothed anisotropy prior knowledge into albedo estimation to improve the inversion efficiency, or for the scenario of observations with signal or poor angular sampling. Thus, it is necessary to further understand the potential influence of smoothed anisotropy features adopted in albedo estimation. We investigated the albedo variation induced by BRDF smoothing at both temporal and spatial scales over six typical landscapes in North America using MODIS standard anisotropy products with high quality BRDF inversed from multi-angle observations in 500 m and 5.6 km spatial resolutions. Components of selected typical landscapes were assessed with the confidence of the MCD12 land cover product and 30 m CDL (cropland data layer) classification maps followed by an evaluation of spatial heterogeneity in 30 m scale through the semi-variogram model. High quality BRDF of MODIS standard anisotropy products were smoothed in multi-temporal scales of 8 days, 16 days, and 32 days, and in multi-spatial scales from 500 m to 5.6 km. The induced relative and absolute albedo differences were estimated using the RossThick-LiSparseR model and BRDFs smoothed before and after spatiotemporal smoothing. Our results show that albedo estimated using BRDFs smoothed temporally from daily to monthly over each scenario exhibits relative differences of 11.3%, 12.5%, and 27.2% and detectable absolute differences of 0.025, 0.012, and 0.013, respectively, in MODIS near-infrared (0.7–5.0 µm), short-wave (0.3–5.0 µm), and visible (0.3–0.7 µm) broad bands. When BRDFs of investigated landscapes are smoothed from 500 m to 5.6 km, variations of estimated albedo can achieve up to 36.5%, 37.1%, and 94.7% on relative difference and absolute difference of 0.037, 0.024, and 0.018, respectively, in near-infrared (0.7–5.0 µm), short wave (0.3–5.0 µm), and visible (0.3–0.7 µm) broad bands. In addition, albedo differences caused by temporal smoothing show apparent seasonal characteristic that the differences are significantly higher in spring and summer than those in autumn and winter, while albedo differences induced by spatial smoothing exhibit a noticeable relationship with sill values of a fitted semi-variogram marked by a correlation coefficient of 0.8876. Both relative and absolute albedo differences induced by BRDF smoothing are demonstrated to be captured, thus, it is necessary to avoid the smoothing process in quantitative remote sensing communities, especially when immediate anisotropy retrievals are available at the required spatiotemporal scale. Full article
(This article belongs to the Special Issue Remote Sensing for Surface Biophysical Parameter Retrieval)
Show Figures

Graphical abstract

17 pages, 3302 KB  
Article
Sea Ice Image Classification Based on Heterogeneous Data Fusion and Deep Learning
by Yanling Han, Yekun Liu, Zhonghua Hong, Yun Zhang, Shuhu Yang and Jing Wang
Remote Sens. 2021, 13(4), 592; https://doi.org/10.3390/rs13040592 - 7 Feb 2021
Cited by 56 | Viewed by 6162
Abstract
Sea ice is one of the typical causes of marine disasters. Sea ice image classification is an important component of sea ice detection. Optical data contain rich spectral information, but they do not allow one to easily distinguish between ground objects with a [...] Read more.
Sea ice is one of the typical causes of marine disasters. Sea ice image classification is an important component of sea ice detection. Optical data contain rich spectral information, but they do not allow one to easily distinguish between ground objects with a similar spectrum and foreign objects with the same spectrum. Synthetic aperture radar (SAR) data contain rich texture information, but the data usually have a single source. The limitation of single-source data is that they do not allow for further improvements of the accuracy of remote sensing sea ice classification. In this paper, we propose a method for sea ice image classification based on deep learning and heterogeneous data fusion. Utilizing the advantages of convolutional neural networks (CNNs) in terms of depth feature extraction, we designed a deep learning network structure for SAR and optical images and achieve sea ice image classification through feature extraction and a feature-level fusion of heterogeneous data. For the SAR images, the improved spatial pyramid pooling (SPP) network was used and texture information on sea ice at different scales was extracted by depth. For the optical data, multi-level feature information on sea ice such as spatial and spectral information on different types of sea ice was extracted through a path aggregation network (PANet), which enabled low-level features to be fully utilized due to the gradual feature extraction of the convolution neural network. In order to verify the effectiveness of the method, two sets of heterogeneous sentinel satellite data were used for sea ice classification in the Hudson Bay area. The experimental results show that compared with the typical image classification methods and other heterogeneous data fusion methods, the method proposed in this paper fully integrates multi-scale and multi-level texture and spectral information from heterogeneous data and achieves a better classification effect (96.61%, 95.69%). Full article
(This article belongs to the Special Issue Remote Sensing of Sea Ice and Icebergs)
Show Figures

Graphical abstract

25 pages, 12152 KB  
Article
Automatic Shadow Detection for Multispectral Satellite Remote Sensing Images in Invariant Color Spaces
by Hongyin Han, Chengshan Han, Taiji Lan, Liang Huang, Changhong Hu and Xucheng Xue
Appl. Sci. 2020, 10(18), 6467; https://doi.org/10.3390/app10186467 - 17 Sep 2020
Cited by 22 | Viewed by 4498
Abstract
Shadow often results in difficulties for subsequent image applications of multispectral satellite remote sensing images, like object recognition and change detection. With continuous improvement in both spatial and spectral resolutions of satellite remote sensing images, a more serious impact occurs on satellite remote [...] Read more.
Shadow often results in difficulties for subsequent image applications of multispectral satellite remote sensing images, like object recognition and change detection. With continuous improvement in both spatial and spectral resolutions of satellite remote sensing images, a more serious impact occurs on satellite remote sensing image interpretation due to the existence of shadow. Though various shadow detection methods have been developed, problems of both shadow omission and nonshadow misclassification still exist for detecting shadow well in high-resolution multispectral satellite remote sensing images. These shadow detection problems mainly include high small shadow omission and typical nonshadow misclassification (like bluish and greenish nonshadow misclassification, and large dark nonshadow misclassification). For further resolving these problems, a new shadow index is developed based on the analysis of the property difference between shadow and the corresponding nonshadow with several multispectral band components (i.e., near-infrared, red, green and blue components) and hue and intensity components in various invariant color spaces (i.e., HIS, HSV, CIELCh, YCbCr and YIQ), respectively. The shadow mask is further acquired by applying an optimal threshold determined automatically on the shadow index image. The final shadow image is further optimized with a definite morphological operation of opening and closing. The proposed algorithm is verified with many images from WorldView-3 and WorldView-2 acquired at different times and sites. The proposed algorithm performance is particularly evaluated by qualitative visual sense comparison and quantitative assessment of shadow detection results in comparative experiments with two WorldView-3 test images of Tripoli, Libya. Both the better visual sense and the higher overall accuracy (over 92% for the test image Tripoli-1 and approximately 91% for the test image Tripoli-2) of the experimental results together deliver the excellent performance and robustness of the proposed shadow detection approach for shadow detection of high-resolution multispectral satellite remote sensing images. The proposed shadow detection approach is promised to further alleviate typical shadow detection problems of high small shadow omission and typical nonshadow misclassification for high-resolution multispectral satellite remote sensing images. Full article
(This article belongs to the Collection Optical Design and Engineering)
Show Figures

Graphical abstract

22 pages, 13107 KB  
Article
Variability of Kuroshio Surface Axis Northeast of Taiwan Island Derived from Satellite Altimeter Data
by Zhanpeng Zhuang, Quanan Zheng, Xi Zhang, Guangbing Yang, Xinhua Zhao, Lei Cao, Ting Zhang and Yeli Yuan
Remote Sens. 2020, 12(7), 1059; https://doi.org/10.3390/rs12071059 - 25 Mar 2020
Cited by 10 | Viewed by 4899
Abstract
The spatial and temporal variability of the Kuroshio surface axis northeast of Taiwan Island is investigated using 24 years of surface geostrophic currents derived from satellite altimeter data from 1993 to 2016. The Kuroshio surface axis is derived by an extraction method with [...] Read more.
The spatial and temporal variability of the Kuroshio surface axis northeast of Taiwan Island is investigated using 24 years of surface geostrophic currents derived from satellite altimeter data from 1993 to 2016. The Kuroshio surface axis is derived by an extraction method with three selected parameters, including the length of the subsidiary line, the intervals between two adjacent points, and the distance between the two adjacent subsidiary lines. The empirical mode decomposition analysis on the 24-year Kuroshio axes reveals that the mean periods of intra-seasonal and inter-annual variability, which are the two dominant components, are about 3.2 months and 1.3 years, respectively. The self-organizing map analysis reveals that the variation of Kuroshio axis northeast of Taiwan Island has four best matching unit (BMU) patterns: straight-path (BMUS), meandering-path (BMUM) and two transition stages (BMUT1 and BMUT2). The straight-path pattern shows strong seasonality: more likely occurring in summer. The meandering-path pattern is less frequent than straight-path pattern. During a typical period from November 26, 2012 to January 27, 2013, which is chosen as an independent example, the analysis on the satellite altimeter and sea surface temperature data shows that the patterns of the Kuroshio axis change successively in order of BMUT1→BMUM→BMUT2→BMUS, i.e., the Kuroshio axis migrates from the meandering-path to the straight-path pattern. During the typical period the warm water intrusion and a mesoscale eddy occur at the second stage corresponding to BMUM and migrate northwestward gradually at the last two stages corresponding to BMUT2 and BMUS. The transient order appears only during this typical period but it is not common for the whole study period. The monthly mean relatively vorticity is calculated and analyzed to evaluate the impact of the eddies on the Kuroshio surface axis variability, the results show that the anticyclonic (cyclonic) eddies can promote the Kuroshio surface axis to present the meandering-path (straight-path) pattern because of the potential vorticity conservation. The impacts of the anticyclonic eddies and the cyclonic eddies on the variability of the Kuroshio surface axis are opposite. The long-term day-to-day detection contributes to improving understanding the variability of Kuroshio surface axis northeast of Taiwan Island. Full article
(This article belongs to the Special Issue Synergy of Remote Sensing and Modelling Techniques for Ocean Studies)
Show Figures

Graphical abstract

22 pages, 7442 KB  
Article
Hybrid Wavelet and Principal Component Analyses Approach for Extracting Dynamic Motion Characteristics from Displacement Series Derived from Multipath-Affected High-Rate GNSS Observations
by Mosbeh R. Kaloop, Cemal O. Yigit, Ahmed El-Mowafy, Ahmet A. Dindar, Mert Bezcioglu and Jong Wan Hu
Remote Sens. 2020, 12(1), 79; https://doi.org/10.3390/rs12010079 - 24 Dec 2019
Cited by 13 | Viewed by 4288
Abstract
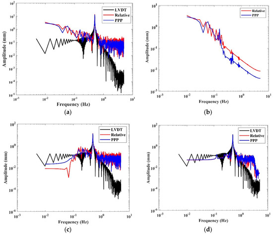
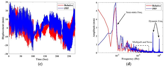
Nowadays, the high rate GNSS (Global Navigation Satellite Systems) positioning methods are widely used as a complementary tool to other geotechnical sensors, such as accelerometers, seismometers, and inertial measurement units (IMU), to evaluate dynamic displacement responses of engineering structures. However, the most common [...] Read more.
Nowadays, the high rate GNSS (Global Navigation Satellite Systems) positioning methods are widely used as a complementary tool to other geotechnical sensors, such as accelerometers, seismometers, and inertial measurement units (IMU), to evaluate dynamic displacement responses of engineering structures. However, the most common problem in structural health monitoring (SHM) using GNSS is the presence of surrounding structures that cause multipath errors in GNSS observations. Skyscrapers and high-rise buildings in metropolitan cities are generally close to each other, and long-span bridges have towers, main cable, and suspender cables. Therefore, multipath error in GNSS observations, which is typically added to the measurement noise, is inevitable while monitoring such flexible engineering structures. Unlike other errors like atmospheric errors, which are mostly reduced or modeled out, multipath errors are the largest remaining unmanaged error sources. The high noise levels of high-rate GNSS solutions limit their structural monitoring application for detecting load-induced semi-static and dynamic displacements. This study investigates the estimation of accurate dynamic characteristics (frequency and amplitude) of structural or seismic motions derived from multipath-affected high-rate GNSS observations. To this end, a novel hybrid model using both wavelet-based multiscale principal component analysis (MSPCA) and wavelet transform (MSPCAW) is designed to extract the amplitude and frequency of both GNSS relative- and PPP- (Precise Point Positioning) derived displacement motions. To evaluate the method, a shaking table with a GNSS receiver attached to it, collecting 10 Hz data, was set up close to a building. The table was used to generate various amplitudes and frequencies of harmonic motions. In addition, 50-Hz linear variable differential transformer (LVDT) observations were collected to verify the MSMPCAW model by comparing their results. The results showed that the MSPCAW could be efficiently used to extract the dynamic characteristics of noisy dynamic movements under seismic loads. Furthermore, the dynamic behavior of seismic motions can be extracted accurately using GNSS-PPP, and its dominant frequency equals that extracted by LVDT and relative GNSS positioning method. Its accuracy in determining the amplitude approaches 91.5% relative to the LVDT observations. Full article
Show Figures

Graphical abstract

Back to TopTop