Sign in to use this feature.

Years

Between: -

Subjects

remove_circle_outline
remove_circle_outline
remove_circle_outline
remove_circle_outline
remove_circle_outline
remove_circle_outline
remove_circle_outline
remove_circle_outline
remove_circle_outline

Journals

remove_circle_outline
remove_circle_outline
remove_circle_outline
remove_circle_outline
remove_circle_outline
remove_circle_outline
remove_circle_outline
remove_circle_outline
remove_circle_outline

Article Types

Countries / Regions

remove_circle_outline
remove_circle_outline
remove_circle_outline
remove_circle_outline

Search Results (1,086)

Search Parameters:
Keywords = tunnel lining

Order results
Result details
Results per page
Select all
Export citation of selected articles as:
18 pages, 8545 KB  
Article
Analysis of Temperature Field Characteristics of Highway Tunnels During Fire
by Junan Ji, Yalong Dang, Pengfei Wang, Jianfeng Gu and Yunpeng Jiang
Buildings 2026, 16(9), 1678; https://doi.org/10.3390/buildings16091678 (registering DOI) - 24 Apr 2026
Abstract
The temperature field characteristics of highway tunnels during fire conditions are investigated in this paper. Numerical simulations coupled with reduced-scale physical model tests were conducted to analyze the thermal characteristics of the tunnel interior and lining structure under various ventilation conditions. Taking the [...] Read more.
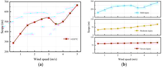
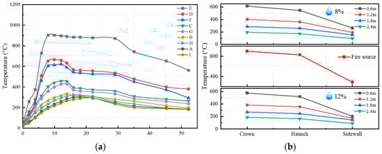
The temperature field characteristics of highway tunnels during fire conditions are investigated in this paper. Numerical simulations coupled with reduced-scale physical model tests were conducted to analyze the thermal characteristics of the tunnel interior and lining structure under various ventilation conditions. Taking the extra-long double-tube highway tunnel as a case study, a numerical model was established using FLUENT to simulate a 100 MW fire under different longitudinal ventilation velocities. Furthermore, a reduced-scale physical model with a geometric similarity ratio of 1:2.7 was fabricated to investigate the effect of lining moisture content on the heat transfer characteristics. It is indicated by the results that high-temperature zones above 800 °C are mainly concentrated within roughly 100 m of the fire source, extending approximately 20 m upstream and 80 m downstream. As the ventilation velocity rises, the high-temperature zone adjacent to the fire source is gradually reduced, the upstream smoke backflow length is shortened, and the downstream thermal influence range is expanded. Obvious spatial variations are observed in the cross-sectional temperature distribution: relatively uniform temperatures are found near the fire source, whereas higher temperatures are observed at the crown in upstream and downstream sections, followed by the haunch and sidewalls. A pronounced thermal lag effect is observed in the lining structure, with both slower heating rates and lower peak temperatures being exhibited at larger distances from the fire source and in linings with higher moisture content. A temperature plateau at around 100 °C is detected, which is mainly attributed to latent heat absorption during moisture evaporation. A more significant temperature gradient through the lining thickness is also caused by a higher moisture content. These findings provide valuable references for tunnel fire safety design, smoke control strategies, and evacuation safety analysis. Full article
(This article belongs to the Special Issue Application of Experiment and Simulation Techniques in Engineering)
Show Figures

Figure 1

22 pages, 3918 KB  
Article
Probabilistic Aseismic Performance Assessment of Rubber–Sand–Concrete Tunnel Linings Considering Spatial Variability of Rock Mass
by Kaichen Li, Xiancheng Mei, Baiyi Li, Hao Sheng, Zhen Cui, Yiheng Wang, Hegao Wu and Tao Wang
Materials 2026, 19(9), 1741; https://doi.org/10.3390/ma19091741 (registering DOI) - 24 Apr 2026
Abstract
In tunnel engineering, the integration of aseismic materials and structural designs has become a prevalent strategy to reduce earthquake-induced damage. However, previous studies on the seismic performance of tunnel structures predominantly employed deterministic methods, overlooking the spatial variability of the surrounding rock mass. [...] Read more.
In tunnel engineering, the integration of aseismic materials and structural designs has become a prevalent strategy to reduce earthquake-induced damage. However, previous studies on the seismic performance of tunnel structures predominantly employed deterministic methods, overlooking the spatial variability of the surrounding rock mass. This oversight often leads to an overestimation of structural performance, posing potential risks to the project. This study develops a probabilistic framework based on random field theory to evaluate the aseismic performance of tunnel linings incorporating a rubber–sand–concrete (RSC) constrained damping layer. The analysis systematically evaluates the aseismic performance of RSC across varying peak ground acceleration (PGA) levels and tunnel depth conditions. The findings are compared with results from traditional deterministic approaches. The probabilistic analysis indicates the following: (1) a reduction of approximately 70% in the dispersion of maximum principal stresses across various PGAs; (2) a decrease in RSC’s aseismic performance with greater burial depths, though it remains substantial overall, and (3) a reduction in the failure probability from 31.8% to 16.3% at PGA = 1.2 g. Furthermore, deterministic methods tend to produce overly optimistic estimates of tunnel aseismic performance, highlighting the need for probabilistic analysis. Full article
22 pages, 3855 KB  
Article
Application of Improved Genetic Algorithm Based on Voronoi Partitioning in Pseudolite Deployment for Tunnel Positioning Systems
by Kun Xie, Chenglin Cai, Zhouwang Yang and Jundao Pan
Sensors 2026, 26(9), 2596; https://doi.org/10.3390/s26092596 - 23 Apr 2026
Abstract
Reliable high-precision positioning in railway tunnels is essential for intelligent train operation and safety monitoring, yet GNSS signals are severely degraded by blockage and multipath. This paper proposes a deployment-oriented numerical framework to optimize pseudolite layouts in tunnels by explicitly modeling visibility obstruction [...] Read more.
Reliable high-precision positioning in railway tunnels is essential for intelligent train operation and safety monitoring, yet GNSS signals are severely degraded by blockage and multipath. This paper proposes a deployment-oriented numerical framework to optimize pseudolite layouts in tunnels by explicitly modeling visibility obstruction and controlling worst-case geometry along the train trajectory. A high-fidelity 3D tunnel–train model is established, in which line-of-sight (LoS) availability is screened under vehicle occlusion and trajectory-level geometric quality is evaluated accordingly. Instead of optimizing only the average PDOP, the proposed framework minimizes the trajectory 90th-percentile PDOP (qPDOP) to suppress tail-risk geometric degradation, while interpreting PDOP as an error amplification factor that directly affects positioning reliability under measurement noise and local multipath. The core contribution is a Voronoi-partition-constrained improved genetic algorithm (IGA) for tunnel pseudolite deployment. Voronoi partitioning enforces segment-wise coverage by requiring at least one pseudolite in each partition cell and avoids clustering-induced blind zones. Meanwhile, the IGA incorporates improved search and constraint-handling mechanisms to satisfy practical engineering requirements, including feasible installation regions, minimum spacing, mounting-face balance (ceiling/side walls), communication range, and continuous satellite visibility. Comparative simulations and ablation studies demonstrate that the proposed method achieves more uniform coverage and significantly improves full-trajectory geometric stability, reducing high-quantile PDOP and mitigating local spikes in occlusion-sensitive sections under cost-constrained sparse deployments. The proposed framework provides a practical and flexible toolchain for designing positioning-oriented pseudolite infrastructures in underground transportation environments. Full article
(This article belongs to the Section Navigation and Positioning)
Show Figures

Figure 1

20 pages, 7159 KB  
Article
Calculation Method of Ground Settlement Caused by Mechanical Construction in Metro-Connected Aisle
by Yueqiang Duan, Maolei Wang, Jinghe Wang, Yuxiang Guo, Fa Chang, Boyuan Zhang and Weiyu Sun
Buildings 2026, 16(8), 1580; https://doi.org/10.3390/buildings16081580 - 16 Apr 2026
Viewed by 167
Abstract
Mechanical construction of metro-connected aisles is a novel construction method in the field of metro engineering, and it is being gradually applied to practical projects at present. However, current research predominantly focuses on the mechanical response of tunnel structures, with insufficient theoretical investigations [...] Read more.
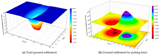
Mechanical construction of metro-connected aisles is a novel construction method in the field of metro engineering, and it is being gradually applied to practical projects at present. However, current research predominantly focuses on the mechanical response of tunnel structures, with insufficient theoretical investigations into ground settlement. To study the ground settlement law caused by the mechanical construction of the metro-connected aisle, the ground settlement was divided into the superposition of settlement caused by the construction of the main shield tunnels and the connected aisle. The modified Peck formula was used to calculate the ground settlement caused by tunnel excavation. Based on the integration of the Mindlin solution, the ground settlement caused by the jacking force of the cutterhead was solved, and the three-dimensional calculation formula for ground settlement was derived. Taking the NO. 1 connected aisle of Shenzhen Metro Line 8 as the research object, the accuracy of the calculation formula was verified through comparative analysis with three-dimensional numerical simulation results and in situ monitoring data, and good agreement was observed. The research results indicate that after the construction of a connected aisle, a wedge-shaped surface appears on the settlement surface at the location of the connected aisle. The surface settlement curve presents a “U”—shaped distribution; as the depth increases, the stratum settlement curve presents a “W”—shaped distribution. The stratum disturbance caused by the connected aisle is more significant in its longitudinal direction than in the transverse direction. The theoretical calculation results show that the maximum surface settlement generated by the construction of the connected aisle is 0.61 mm, accounting for about 15.6% of the total settlement value (3.9 mm), and is far below the control value adopted by Shenzhen Metro. The calculation formula proposed in this article can be used to evaluate the surface settlement caused by the construction of connected aisles. Full article
(This article belongs to the Section Building Structures)
Show Figures

Figure 1

17 pages, 7137 KB  
Article
Periodic Noise Characteristics and Acoustic Control in Long Highway Tunnels: An FEM Study with In Situ Validation
by Ruifeng Ding, Xingyu Gu, Chenlin Liao, Hongchang Wang, Zengbin Xu, Kaiwen Lei and Jiwang Jiang
Materials 2026, 19(8), 1548; https://doi.org/10.3390/ma19081548 - 13 Apr 2026
Viewed by 337
Abstract
Noise in long highway tunnels and underground interchanges poses a significant environmental concern, affecting both drivers and nearby residents. This research develops an acoustic finite element model of a long tunnel in Leuven Measurement Systems (LMS) Virtual Lab to characterize the tunnel noise [...] Read more.
Noise in long highway tunnels and underground interchanges poses a significant environmental concern, affecting both drivers and nearby residents. This research develops an acoustic finite element model of a long tunnel in Leuven Measurement Systems (LMS) Virtual Lab to characterize the tunnel noise field, and the effectiveness of different noise mitigation measures was also evaluated and optimized accordingly. The model is validated against in situ monitoring data, with deviations controlled within 3 dB(A) and strong agreement confirmed by the Kappa consistency test. Both simulations and measurements show that sound pressure levels (SPLs) are generally highest near the tunnel center and lower toward the portal, exhibiting periodic fluctuations rather than a monotonic decrease. The dominant noise energy is concentrated between 125 Hz and 500 Hz. SPLs at 1.8 m above the road surface are noticeably higher than at 1.2 m and 1.5 m, indicating greater noise exposure for drivers of large vehicles compared with smaller vehicles. Noise reduction performance is further assessed for different lining materials and pavement types. Installing sound-absorbing panels in the tunnel midsection provides effective attenuation, with expanded perlite panels, single-layer metal micro-perforated panels, and FC quiet perforated panels (FC-PP) performing best, while porous asphalt shows superior noise reduction compared with conventional dense-graded asphalt pavements. Full article
Show Figures

Figure 1

13 pages, 4295 KB  
Article
Optimization Research on Left–Right Deviation in Lifting Height of SQS-300K Tunnel and Bridge Clearance Cleaning Vehicle
by Tao You, Hao Ding, Zhongwei Ni and Youshui Lu
Vehicles 2026, 8(4), 75; https://doi.org/10.3390/vehicles8040075 - 2 Apr 2026
Viewed by 349
Abstract
This study conducts an in-depth investigation into the left–right lifting height deviation in the main lifting and lining device of the SQS-300K tunnel and bridge clearance cleaning vehicle under specific working conditions. Through field measurements and theoretical analysis, the research highlights the typical [...] Read more.
This study conducts an in-depth investigation into the left–right lifting height deviation in the main lifting and lining device of the SQS-300K tunnel and bridge clearance cleaning vehicle under specific working conditions. Through field measurements and theoretical analysis, the research highlights the typical characteristics of this issue in transition curves (with a maximum deviation of 50 mm) and its adverse effects on track geometry. A systematic hydraulic–electrical synergistic optimization scheme using independent cylinder control is proposed to address the problem. Field tests show that the maximum deviation is reduced to below 10 mm after optimization. The findings not only resolve the technical challenges encountered in the field application of the SQS-300K machine but also provide a theoretical foundation and practical technical support for the optimized design, precise control, and condition maintenance of lifting and lining devices in similar large-scale railway maintenance machinery. This contribution is significant for ensuring railway operational safety. Full article
(This article belongs to the Special Issue Optimization and Management of Urban Rail Transit Network)
Show Figures

Figure 1

35 pages, 7271 KB  
Article
Analysis of the Combined Load-Bearing Mechanical Characteristics of the Combined Structure of “Inner Tensioned Steel Ring–Segment–Surrounding Rock” in a TBM Pressurized Water Conveyance Tunnel
by Hexin Ye, Jinlin Huang, Jing Xiao, Jianwei Zhang and Lei Chen
Water 2026, 18(7), 825; https://doi.org/10.3390/w18070825 - 30 Mar 2026
Viewed by 465
Abstract
To explore the stress-bearing characteristics of the “inner tensioned steel ring–segment–surrounding rock” composite structure in TBM (Tunnel Boring Machine) pressurized water conveyance tunnels, a 3D refined finite element model for this composite structure was established, with the Class V surrounding rock section of [...] Read more.
To explore the stress-bearing characteristics of the “inner tensioned steel ring–segment–surrounding rock” composite structure in TBM (Tunnel Boring Machine) pressurized water conveyance tunnels, a 3D refined finite element model for this composite structure was established, with the Class V surrounding rock section of the TBM pressurized water conveyance tunnel in the Rongjiang-Guanbu water diversion project selected as the research subject. The effects of the internal water pressure, surrounding rock type and tunnel burial depth on the mechanical properties of the composite structures are studied. The findings demonstrate that reinforcing the tunnel structure with an inner tensile steel ring can effectively constrain tunnel deformation, diminish the tensile stress of segments and the extent of tensile zones, and enhance the bearing capacity of the composite structure. Under the effect of internal water pressure, the compressive stress of segments, vertical deformation, joint opening degree, stress of connecting bolts, stress of the inner tension ring, and stress of anchor rods all exhibit a reduction compared to the scenario without internal water pressure. Under the combined action of external water–soil pressure and internal water pressure, variations in surrounding rock types lead to respective increases of 37.16%, 15.75%, and 15.12% in the stress of connecting bolts, segment joint misalignment, and anchor bolt stress. As the tunnel burial depth increases, the stress of connecting bolts and the vertical deformation of segment and the joint misalignment of the pipe segment increase by 140%, 107% and 60.61%, respectively. In addition, under the combined action of external water and soil pressure and internal water pressure, the load-sharing ratios of the surrounding rock, pipe segment, inner tension ring and anchor rod are 34.87%, 34.59%, 21.59% and 8.95%, respectively, and the load-sharing ratio of the inner tensioned ring is 85.80% higher than that observed in the absence of internal water pressure, indicating that internal water pressure effectively enhances the load-sharing performance of the inner tensioned steel ring. In the composite structure, the load-sharing ratio of surrounding rock decreases as the surrounding rock class increases (from Class III to Class V). Under the same load condition, the load-sharing ratio of Class III surrounding rock is 7.14% higher than that of Class V. As the tunnel burial depth increases, the inner tensioned steel ring and anchor rods function more prominently as reserve-bearing components. When the tunnel burial depth reaches 71 m, the load-sharing ratio of the inner tension steel ring and anchor rod increases by 19.91% and 55.72%, respectively, compared with that of the buried depth of 31 m. The research results can provide a theoretical reference for the lining design and late reinforcement measures of similar tunnel projects. Full article
(This article belongs to the Section Hydraulics and Hydrodynamics)
Show Figures

Figure 1

22 pages, 9503 KB  
Article
Experimental Investigation of the Mechanical Performance of Steel Fiber-Reinforced Concrete Tunnel Linings Under Freeze–Thaw Cycles
by Li-Ming Wu, Feng Gao, Zi-Jian Wang, Lan-Shen Li, Hu-Xin-Tong Huang and Wen-Jie Luo
Appl. Sci. 2026, 16(7), 3178; https://doi.org/10.3390/app16073178 - 26 Mar 2026
Viewed by 404
Abstract
Tunnel lining models were cast at a 1:20 scale using four different materials: plain concrete (PC), steel fiber-reinforced concrete (SFRC), reinforced concrete (RC), and rebar-reinforced steel fiber-reinforced concrete (R/SFRC). Loading tests were performed on these models before and after freeze–thaw cycles to investigate [...] Read more.
Tunnel lining models were cast at a 1:20 scale using four different materials: plain concrete (PC), steel fiber-reinforced concrete (SFRC), reinforced concrete (RC), and rebar-reinforced steel fiber-reinforced concrete (R/SFRC). Loading tests were performed on these models before and after freeze–thaw cycles to investigate the failure modes, analyze the mechanical behavior, and determine the optimal reinforcement scheme in this study. The results indicated that freeze–thaw cycling reduced the load-bearing capacity of tunnel linings by 12% to 28% compared to non-freeze–thaw linings. Adding steel fibers significantly enhanced the ductility of the lining models. The mechanical performance of linings with an optimal steel fiber content surpassed that of models with either increased rebar alone or steel fibers alone. In this study, an optimal combination of a 0.36% rebar ratio and a 1.5% steel fiber volume fraction effectively improved the tensile performance of the lining while reducing rebar consumption, without compromising the inherent mechanical performance of the tunnel structure. Full article
Show Figures

Figure 1

22 pages, 6270 KB  
Article
Design and Modelling of an SMA Vortex Generator Architecture to Address Flow Control
by Bernardino Galasso, Salvatore Ameduri, Pietro Catalano, Carmelo Izzo, Fabrizio De Gregorio, Maria Chiara Noviello, Antonio Concilio and Francesco Caputo
Appl. Sci. 2026, 16(7), 3114; https://doi.org/10.3390/app16073114 - 24 Mar 2026
Viewed by 298
Abstract
This paper focuses on the modeling and design of an adaptive vortex generator (AVG). The device is actuated through shape memory alloy (SMA) elements. The interest of the research community in these devices is due to their ability to improve the performance of [...] Read more.
This paper focuses on the modeling and design of an adaptive vortex generator (AVG). The device is actuated through shape memory alloy (SMA) elements. The interest of the research community in these devices is due to their ability to improve the performance of the aircraft, directly altering and controlling the boundary layer. Their action consists of energizing the flow, thereby hindering separation. The peculiarity of the presented AVG architecture lies in its compactness and adaptability, which allows for its activation just for some specific phases that are not adequately covered by the conventional. This system can enable load alleviation in the cruise phase when a gust occurs (spoiler modality) and stall prevention in high-lift conditions (vane modality). These two working capabilities can be obtained by mounting the AVGs at different angles of incidence, with respect to the direction of the flow. The present paper is structured as follows. First, the project of RADAR, hosting the activities, is presented with specific focus on the main objectives and on the strategy of maturation of the technologies. Then, attention is paid to the simulations of the aerodynamic field produced by the AVG. These outcomes have driven the next part of the work, focusing on the identification of the architecture of the AVG. A dedicated finite element modeling approach was implemented to address the design task, even in the presence of SMA non-linear elements. Three main operational phases were simulated: (1) the stretching of the springs up to their connection to the architecture (pre-load phase); (2) the elastic recovery of the springs and the achievement of equilibrium with the hosting structure; and (3) the activation of the springs through heating to deflect the AVG. The simulations proved the capability of the system to produce the required deflection/deployment, even under the most severe load conditions. In particular, the simulations highlighted the capability of the system to produce a deflection of the vortex generator of 83.5 deg under the most severe load conditions, against the required value of 80 deg. This result was obtained by also keeping the structural safety factor at a value of four, in line with the wind tunnel facility requirement. Another key outcome of the dynamic analysis was the absence of coupling with vortex shedding, since the system resonance frequencies (135 and 415 Hz) are well outside the vortex-shedding frequency range (500–1400 Hz). Full article
(This article belongs to the Section Aerospace Science and Engineering)
Show Figures

Figure 1

23 pages, 56439 KB  
Article
Multipath Credibility Selection for Robust UWB Angle-of-Arrival Estimation in Narrow Underground Corridors
by Jianjia Li, Baoguo Yu, Songzuo Cui, Menghuan Yang, Jun Zhao, Runjia Su and Runze Tian
Sensors 2026, 26(6), 2002; https://doi.org/10.3390/s26062002 - 23 Mar 2026
Viewed by 409
Abstract
Waveguide-like propagation in elongated underground environments—utility corridors, logistics tunnels—generates dense multipath that can cause the earliest or strongest resolvable channel impulse response (CIR) component to originate from a specular reflection rather than the direct line-of-sight (LOS) path. In the single-anchor CIR-tap-based implementations common [...] Read more.
Waveguide-like propagation in elongated underground environments—utility corridors, logistics tunnels—generates dense multipath that can cause the earliest or strongest resolvable channel impulse response (CIR) component to originate from a specular reflection rather than the direct line-of-sight (LOS) path. In the single-anchor CIR-tap-based implementations common to practical ultra-wideband (UWB) systems, baseline estimators such as phase-difference-of-arrival (PDOA) and MUSIC rely on selecting a single dominant CIR component, producing large angle-of-arrival (AoA) errors whenever the selected path is a reflection. We propose a multipath credibility selection (MCS) AoA estimator, MCS-AoA, that does not require explicit LOS/NLOS classification. The algorithm scores each resolvable CIR component with four credibility factors—amplitude significance, time-of-flight (TOF) consistency, inter-baseline phase–geometry agreement, and cross-baseline coherence—and fuses retained candidates into a credibility-weighted spatial covariance matrix for 2D MUSIC search. Field experiments on a custom five-channel coherent UWB platform compare MCS-AoA against six baselines—PDOA, MUSIC, MVDR/Capon, TLS-ESPRIT, PwMUSIC, and DNN-AoA. In an underground corridor (5–40 m), MCS-AoA achieves an azimuth/elevation MAE of 1.00°/1.46°, outperforming all baselines (PDOA: 2.26°/2.49°; MUSIC: 1.76°/2.40°; next-best PwMUSIC: 1.44°/2.17°); in a logistics tunnel (5–80 m), it achieves a 1.19° overall azimuth MAE. Simulations corroborate these gains, with a 0.71° azimuth RMSE at 80 m (69.3% reduction over PDOA) and 86.6% of estimates falling within 1°. Full article
(This article belongs to the Section Navigation and Positioning)
Show Figures

Figure 1

25 pages, 3971 KB  
Article
Model Test and Bearing Characteristics of Prestressed Anchor Bolts in Tunnels
by Zihao Wang and Zeqi Zhu
CivilEng 2026, 7(1), 19; https://doi.org/10.3390/civileng7010019 - 22 Mar 2026
Viewed by 417
Abstract
Active support systems are being increasingly applied in the control of large deformation in soft rock tunnels, and exploring the bearing characteristics of prestressed anchor bolts is of great engineering value for improving the long-term stability of tunnel structures. To address the problems [...] Read more.
Active support systems are being increasingly applied in the control of large deformation in soft rock tunnels, and exploring the bearing characteristics of prestressed anchor bolts is of great engineering value for improving the long-term stability of tunnel structures. To address the problems of insufficient quantitative characterization of the bearing performance of prestressed anchor bolt support in soft rock tunnels and the difficulty of small-scale model tests in revealing the synergistic bearing law of support and surrounding rock, this study took a 350 km/h double-line high-speed railway tunnel as the prototype and established a large-scale tunnel structure model test system to conduct comparative tests under three working conditions: unsupported, ordinary bolt support, and prestressed anchor bolt support. By monitoring the tunnel failure process and mechanical response of the support structure throughout the test, the failure modes, bearing capacity, deformation characteristics, and axial force distribution of anchor bolts of tunnels under different support forms were systematically analyzed to quantitatively reveal the active support mechanism and bearing strengthening effect of prestressed anchor bolts. The results show that the design bearing capacity of the tunnel model with prestressed anchor bolt support is increased by 127.3% and 31.6% compared with that of the unsupported and ordinary bolt support models, and the ultimate bearing capacity is increased by 120.0% and 43.5%, respectively. Its secant stiffness in the initial loading stage reaches 80.0 kPa/mm, which is five times that of the ordinary bolt support and can effectively restrain the early plastic deformation of the surrounding rock. When the design bearing capacity is reached, the tensile stress of prestressed anchor bolts accounts for 40.2~69.8% of the ultimate tensile strength, with a more uniform axial force distribution and a much higher utilization rate of material mechanical properties than ordinary anchor bolts, which can fully mobilize the bearing potential of deep rock mass and realize the synergistic bearing of support and surrounding rock. This study accurately quantifies the bearing strengthening law of prestressed anchor bolts on tunnel support systems and clarifies the core mechanism of their active support. The research results provide important experimental basis and theoretical reference for the optimal design and engineering application of prestressed anchor bolts in soft rock tunnel engineering. Full article
(This article belongs to the Section Structural and Earthquake Engineering)
Show Figures

Figure 1

22 pages, 5684 KB  
Article
Seismic Damage Response Analysis of the Daliang Tunnel on the Lanzhou-Xinjiang High-Speed Railway Crossing a Reverse Strike-Slip Fault
by Xiangyu Zhang, Abudureyimujiang Aosimanjiang, Qunyi Huang, Chaochao Sun, Longlong Wei, Ge Yan and Mulatijiang Maimaiti
Buildings 2026, 16(6), 1232; https://doi.org/10.3390/buildings16061232 - 20 Mar 2026
Viewed by 220
Abstract
Taking the Daliang Tunnel of the Lanzhou–Xinjiang High-speed Railway crossing a reverse strike-slip fault as the engineering background, seismic damage investigations of the Daliang Tunnel and other cross-fault tunnels under earthquake action were conducted. Using 1:50 meso-scale model tests, experimental analyses were carried [...] Read more.
Taking the Daliang Tunnel of the Lanzhou–Xinjiang High-speed Railway crossing a reverse strike-slip fault as the engineering background, seismic damage investigations of the Daliang Tunnel and other cross-fault tunnels under earthquake action were conducted. Using 1:50 meso-scale model tests, experimental analyses were carried out on the lining strain response, internal crack development and failure, and surrounding rock pressure variation during fault dislocation. The failure modes and mechanisms of tunnels crossing reverse strike-slip faults were thoroughly explored. Meanwhile, a three-dimensional numerical model of the Daliang Tunnel was established to investigate the influence of dislocation modes with structural zonation within the fault zone on the surrounding rock response. The results indicate that the damage and strain response of the tunnel lining are mainly distributed within the fracture zone, predominantly characterized by combined oblique shear and compression failure. Due to the displacement of the lining induced by strong surrounding rock movement, surrounding rock pressure exhibits considerable variation at the boundaries of the fracture zone, accompanied by certain void detachment phenomena. The overall deformation of the tunnel crossing the reverse strike-slip fault presents an “S”-shaped pattern, which is consistent with the numerical simulations. The compression and dislocation morphology of the sidewalls within the rupture surface is in good agreement with the point cloud plan view. The compressive deformation and strain of the surrounding rock are most significant within the rupture surface. Meanwhile, the soft-to-hard transition segments between the new fracture zone and the rupture surface, as well as between the rupture surface and the influence zone, exhibit a trend of first decreasing and then increasing. Full article
(This article belongs to the Section Building Structures)
Show Figures

Figure 1

20 pages, 6774 KB  
Article
Non-Monotonic Stability Evolution of In Situ Tunnel Expansion: Insights from Physical Model Tests and Numerical Simulation
by Xiaochuan Han, Minghui Hu, Zhonggang Ji, Zheng Yuan, Meng Wang, Jinpeng Zhu and Xiaoliang Dong
Buildings 2026, 16(6), 1225; https://doi.org/10.3390/buildings16061225 - 19 Mar 2026
Viewed by 177
Abstract
In situ tunnel expansion provides a cost-effective and environmentally sustainable alternative to new tunnel construction. However, staged widening disturbs the lining–rock system, triggering complex, non-monotonic stability responses. This study integrates physical model tests and FLAC3D simulations to investigate the mechanical evolution of a [...] Read more.
In situ tunnel expansion provides a cost-effective and environmentally sustainable alternative to new tunnel construction. However, staged widening disturbs the lining–rock system, triggering complex, non-monotonic stability responses. This study integrates physical model tests and FLAC3D simulations to investigate the mechanical evolution of a limestone tunnel widened by the Center Diaphragm (CD) method. Seven cross-sections (S1–S7) were fabricated and tested under uniaxial compression with digital image correlation. Results show that the peak load decreases from 385.73 kN in the lined baseline (S1) to 184.14 kN at the first unilateral cut (S3), a 49% reduction, but recovers to 262.28 kN at the left-half closure (S4) before dropping to 128.16 kN at the upper-right excavation (S5). The final relined stage (S7) regains 200.69 kN, a 40% improvement over the unlined enlarged state (S6). Numerical analyses confirm this non-monotonic trajectory in terms of the peak plastic-zone fraction. It reaches at 86.32% in S3, decreases to 74.03% in S4, and rises to 76.43% in S5. The fractions further reach 88.51% in S6 and 87.70% in S7, reflecting the enlarged span and redistributed yielding. Targeted bolting at weak stages S3 and S5 reduced plastic-zone fraction by 14.73 and 4.75 percentage points, and reduced crown settlement by 68% and 41%, respectively. These findings challenge the conventional monotonic degradation assumption, identify S3 and S5 as critical weak links, and validate selective reinforcement for enhancing stability during tunnel expansion. Full article
(This article belongs to the Section Construction Management, and Computers & Digitization)
Show Figures

Figure 1

24 pages, 8260 KB  
Article
Numerical Investigation of the Seismic Performance of FRP-Reinforced Tunnel Linings Under Dynamic Excitation
by Qiwei Lin, Yujing Jiang and Satoshi Sugimoto
Infrastructures 2026, 11(3), 100; https://doi.org/10.3390/infrastructures11030100 - 17 Mar 2026
Viewed by 324
Abstract
Tunnel linings are critical structural components of underground infrastructure, and their seismic performance plays a decisive role in maintaining the serviceability and safety of tunnels. Under dynamic loading, excessive deformation and damage of the lining may reduce the effective cross-sectional capacity and threaten [...] Read more.
Tunnel linings are critical structural components of underground infrastructure, and their seismic performance plays a decisive role in maintaining the serviceability and safety of tunnels. Under dynamic loading, excessive deformation and damage of the lining may reduce the effective cross-sectional capacity and threaten the minimum safety clearance required for tunnel operation. Therefore, it is essential to investigate the deformation behavior and failure mechanisms of tunnel linings subjected to seismic excitation and to evaluate the effectiveness of reinforcement measures. In this study, a coupled numerical framework combining the finite difference method (FLAC3D) and the discrete element method (PFC3D) is developed to analyze the dynamic response of tunnel lining systems. The surrounding rock mass is modeled in FLAC3D to simulate stress wave propagation and global deformation, while the tunnel lining is represented in PFC3D using bonded particles to capture crack initiation, propagation, and post-peak failure behavior. The proposed FLAC3D–PFC3D coupled approach provides an effective tool for evaluating the seismic performance of reinforced tunnel linings and offers a practical basis for the design and assessment of seismic strengthening measures in underground engineering. Full article
Show Figures

Figure 1

23 pages, 9651 KB  
Article
Numerical Study on the Mechanical Behavior of Composite Segments Cut by a Shield Cutterhead in Metro Connected Aisles
by Yueqiang Duan, Jinghe Wang, Hui Wu, Maolei Wang, Fa Chang, Boyuan Zhang, Yuxiang Guo and Weiyu Sun
Appl. Sci. 2026, 16(6), 2828; https://doi.org/10.3390/app16062828 - 16 Mar 2026
Viewed by 305
Abstract
The mechanical method has become a new construction method for connected aisles in metro tunnels due to its advantages of fast construction speed, high safety, and minimal ground disturbance. During the tunneling process, the interaction mechanism between the composite segment and the shield [...] Read more.
The mechanical method has become a new construction method for connected aisles in metro tunnels due to its advantages of fast construction speed, high safety, and minimal ground disturbance. During the tunneling process, the interaction mechanism between the composite segment and the shield cutterhead is complex. Taking Shenzhen Metro Line 8 No. 1 Connected Aisle as the research object, a 3D refined model of the shield cutterhead, composite segments and bolt system were built with Abaqus to investigate their dynamic response under cutting. The Drucker–Prager damage model and contact algorithm were introduced to describe the nonlinear behavior of the cutting process. The reliability of the numerical model was verified by concrete cutting tests and on-site Fiber Bragg Grating monitoring, and good agreements were observed. Results show cutterhead cutting first induces circumferential squeezing, then extends longitudinally with a notable time lag, and longitudinal dynamic response is much stronger than transverse. Affected by cutterhead thrust–rotation coupling, cuttable segments have larger displacement with maximum 0.07 mm, forming an asymmetric deformation zone. Ring joint opening follows “a distal attenuation of the opening amount” rule with maximum 0.018 mm, while bolt stress and displacement show “near-end concentration with gradient attenuation”, with longitudinal bolts being more responsive. Mechanical disturbance from small-shield cutting is minimal, with tunnel segment deformation, joint openings, and bolt stress all remaining well below code-specified allowable values. Numerical results show good agreement with field monitoring data of ring joint openings obtained using Fiber Bragg Grating (FBG) sensors, confirming the reliability of the simulation. The results can provide references for structural design and construction parameter optimization of composite segments in a connected aisle. Full article
(This article belongs to the Special Issue Advances in Tunnel Excavation and Underground Construction)
Show Figures

Figure 1

Back to TopTop