Periodic Noise Characteristics and Acoustic Control in Long Highway Tunnels: An FEM Study with In Situ Validation
Abstract
1. Introduction
2. Acoustic Finite Element Modeling and Measurement Methods
2.1. Development of the Tunnel Acoustic Model
2.1.1. Finite Element Method for Acoustic Field Calculation
2.1.2. Acoustic FEM Model of the Tunnel
2.1.3. Material Parameters
2.1.4. Computational Parameters and Computational Response Points
2.2. Model Validation
3. Results and Discussion
3.1. Model Accuracy Analysis
3.2. Analysis of Initial Tunnel Noise Characteristics
3.2.1. Overall Analysis of Tunnel Noise Characteristics
3.2.2. Noise Characteristics Along the Tunnel Centerline
3.3. Noise Reduction Performance of Different Acoustic Cladding Materials
3.4. Noise Reduction Performance of Different Pavement Structures
4. Conclusions
- By comparing the measured tunnel noise with the results obtained from the acoustic finite element model of the tunnel in LMS Virtual. Lab, the discrepancy between measured and simulated values was controlled within 3 dB(A). The high level of agreement, confirmed by the Kappa consistency test, demonstrates that the established finite element model is accurate and satisfies the required computational precision;
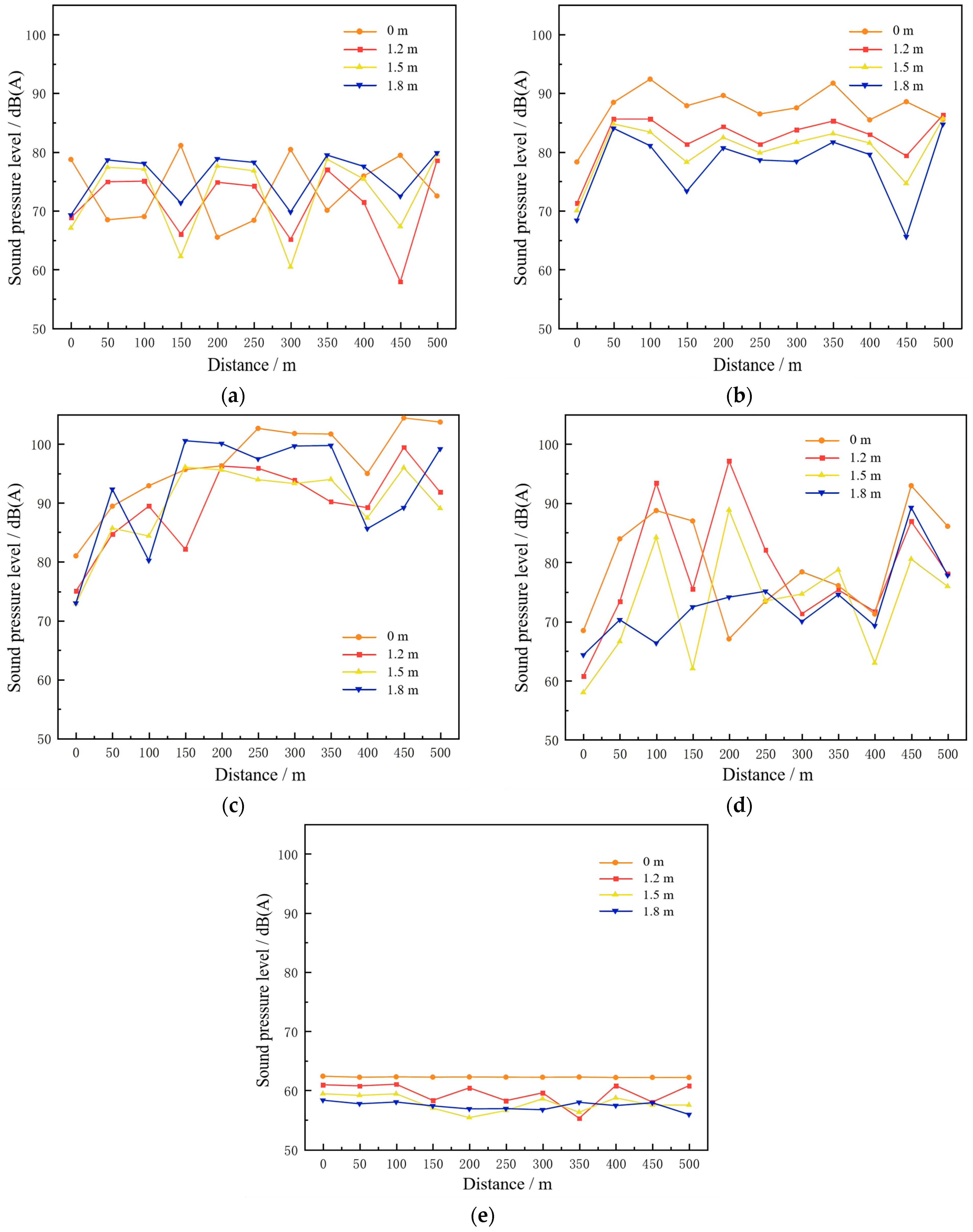
- Analysis of the original tunnel noise field indicates that SPLs at the tunnel center are generally higher than at the portal, with periodic fluctuations rather than a monotonic decrease toward the exit. Both measurements and simulations reveal that the dominant noise frequencies range from 125 Hz to 500 Hz. SPLs at 1.8 m above the road surface are significantly higher than at 1.2 m and 1.5 m, suggesting that drivers of large vehicles experience higher noise exposure than those in smaller vehicles;
- Installing sound-absorbing materials in the midsection of the tunnel provides more effective attenuation. Among commonly used lining materials, expanded perlite panels, single-layer metal micro-perforated panels, and FC quiet perforated panels (FC-PP) offer the best performance. Practical material selection should also consider cost-effectiveness for optimized tunnel noise control;
- Comparison of different pavement types indicates that porous asphalt, owing to its high void ratio, effectively absorbs tunnel noise and achieves superior attenuation compared with dense-graded and conventional asphalt pavements. Dense-graded asphalt, with lower porosity, exhibits limited noise reduction, even less than conventional asphalt.
Author Contributions
Funding
Data Availability Statement
Conflicts of Interest
References
- Lokhande, S.K.; Kale, V.B.; Jain, M.C. Road Tunnel Noise: Monitoring, Prediction and Evaluation of Noise-Induced Hearing Loss. Environ. Sci. Pollut. Res. 2023, 30, 86338–86351. [Google Scholar] [CrossRef] [PubMed]
- Ren, W.; Zhang, Y.; Yuan, M.; Li, J. Experimental Analysis of Noise Characteristics on Different Types of Pavements inside and outside Highway Tunnels. Coatings 2024, 14, 1213. [Google Scholar] [CrossRef]
- Zhang, Z.; Luan, B.; Liu, X.; Zhang, M. Effects of Surface Texture on Tire-Pavement Noise and Skid Resistance in Long Freeway Tunnels: From Field Investigation to Technical Practice. Appl. Acoust. 2020, 160, 107120. [Google Scholar] [CrossRef]
- Li, K.M.; Lam, K.C. Full-Scale Measurements for Noise Transmission in Tunnels. J. Acoust. Soc. Am. 2005, 117, 1138–1145. [Google Scholar] [CrossRef]
- Aliyev, A.A.; Nurubeyli, T.K.; Haziyev, Y.H.; Valiyev, S.M.; Najafov, E.T.; Mammadov, F.I. Innovative Noise Mitigation Techniques in Transportation Systems: Toward Sustainable Urban Mobility. Int. J. Tech. Phys. Probl. Eng. 2025, 63, 142–151. [Google Scholar]
- Eriksson, C.; Nilsson, M.E.; Stenkvist, D.; Bellander, T.; Pershagen, G. Residential Traffic Noise Exposure Assessment: Application and Evaluation of European Environmental Noise Directive Maps. J. Expo. Sci. Environ. Epidemiol. 2013, 23, 531–538. [Google Scholar] [CrossRef] [PubMed]
- Lin, Z.; Gong, W.; Wan, L.; Shen, J.; Zhang, H.; Huang, J.; Zhu, B. Field Measurements for Traffic Noise Reduction in Highway Tunnels Using Closed-Cell Aluminum Foam Board. Appl. Sci. 2022, 12, 538. [Google Scholar] [CrossRef]
- Zhang, X.; Wei, Q.; Zhao, Z.; Tian, Q.; Ni, Y. FEM-Based Study on Distribution Characteristics of Noise Field in Highway Tunnel. J. Chang’an Univ. (Nat. Sci. Ed.) 2014, 34, 131–138. [Google Scholar]
- Shi, L. Prediction and Noise Reduction Measures of Traffic Noise in Highway Tunnels. Noise Vib. Control 2010, 30, 66–68. [Google Scholar]
- Williams, P.; Karimi, M.; Sepehrirahnama, S.; Garcia, J.; Croft, B.; Hanson, D.; Miller, A.; Parnell, J. Investigation into Noise Attenuation Strategies Within Train Tunnels; Australian Acoustical Society: Toowong, Australia, 2024. [Google Scholar]
- Ghangale, D.; Colaço, A.; Alves Costa, P.; Arcos, R. A Methodology Based on Structural Finite Element Method-Boundary Element Method and Acoustic Boundary Element Method Models in 2.5D for the Prediction of Reradiated Noise in Railway-Induced Ground-Borne Vibration Problems. J. Vib. Acoust. 2019, 141, 031011. [Google Scholar] [CrossRef]
- Merchan, C.I.; Díaz-Balteiro, L. Noise Pollution Mapping Approach and Accuracy on Landscape Scales. Sci. Total Environ. 2013, 449, 115–125. [Google Scholar] [CrossRef] [PubMed]
- Huang, B.; Pan, Z.; Liu, Z.; Hou, G.; Yang, H. Acoustic Amenity Analysis for High-Rise Building along Urban Expressway: Modeling Traffic Noise Vertical Propagation Using Neural Networks. Transp. Res. Part D Transp. Environ. 2017, 53, 63–77. [Google Scholar] [CrossRef]
- Li, F.; Wang, H.; Du, C.; Lan, Z.; Yu, F.; Rong, Y. Probabilistic Prediction Model for Expressway Traffic Noise Based on Short-Term Monitoring Data. Sustainability 2024, 16, 6841. [Google Scholar] [CrossRef]
- Min, H.; Lou, H.; Rong, N.; Zhao, Y. Acoustic Performance of Micro-Perforated Panel Sound Absorbers with Paralleled Coiled-up Cavities for Noise Reduction in Traffic Tunnels. Build. Environ. 2025, 278, 113003. [Google Scholar] [CrossRef]
- Wei, Q.; Zhang, X.; Zang, C.; Ni, Y.; Hu, B. Analogue Simulation of the Active Noise Control Source Location in Highway Tunnel. J. Beijing Jiaotong Univ. 2017, 41, 17–22. [Google Scholar]
- Wei, Q.; Zhang, X.; Zang, C.; Ni, Y. Study on Active Noise Control Sound Field in Highway Tunnel. China J. Highw. Transp. 2017, 30, 77–82. [Google Scholar] [CrossRef]
- Kinsler, L.E.; Frey, A.R.; Coppens, A.B.; Sanders, J.V. Fundamentals of Acoustics, 4th ed.; John Wiley & Sons: Hoboken, NJ, USA, 2000. [Google Scholar]
- China Building Industry Press Editorial Committee. Noise Control and Architectural Acoustic Equipment and Material Selection Handbook; China Building Industry Press: Beijing, China, 2007. (In Chinese) [Google Scholar]
- Lan, X.; Han, J.; Zhang, J.; Xiao, X.; Peng, L.; Zhao, Y. Interior Noise Characteristics, Source Identification and Its Quantification Contribution of 400 km/h High-Speed Train in Different Operating Environments. Appl. Acoust. 2025, 228, 110321. [Google Scholar] [CrossRef]
- Dai, W.; Zheng, X.; Hao, Z. Prediction of Interior Noise of High-speed Trains Based on Energy Finite Element Analysis. J. Zhejiang Univ. (Eng. Sci.) 2019, 53, 2396–2403. [Google Scholar]













| Types of Sound Absorption Panels | Panel Thickness | Cavity Size | Center Frequency/Hz | ||||||
|---|---|---|---|---|---|---|---|---|---|
| 125 | 250 | 500 | 1000 | 2000 | 4000 | ||||
| Panel Resonance Absorbers | Aluminum composite panel | 10 | / | 0.04 | 0.07 | 0.16 | 0.60 | 0.80 | — |
| Foam-Based Absorptive Materials | Cellular Glass Board | 50 | / | 0.11 | 0.27 | 0.35 | 0.31 | 0.43 | — |
| CEMCOM High-Efficiency Acoustic Panel | 60 | / | 0.21 | 0.33 | 0.83 | 0.83 | 0.94 | 0.87 | |
| Cellular Ceramic Acoustic Panel (C-FP) | 50 | 100 | 0.16 | 0.48 | 0.69 | 0.53 | 0.74 | 0.89 | |
| WHB-1 Type Inorganic Foamed Particle Acoustic Board | 50 | / | 0.08 | 0.18 | 0.57 | 0.98 | 0.58 | 0.84 | |
| Architectural Sound-Absorbing Materials | Expanded Perlite Acoustic Board | 35 | / | 0.28 | 0.85 | 0.90 | 0.84 | 0.64 | 0.83 |
| Perforated Panel Absorbers | Single-Layer Micro-Perforated Metal Panel | 0.8 | / | 0.28 | 0.67 | 0.52 | 0.42 | 0.40 | 0.30 |
| FC Silent Perforated Acoustic Panel (FC-PP) (Perforation rate 8%) | 4 | 100 | 0.53 | 0.77 | 0.90 | 0.73 | 0.70 | 0.65 | |
| Center Frequency/Hz | 100 | 125 | 250 | 500 | 1000 | 2000 | 4000 |
|---|---|---|---|---|---|---|---|
| Porous Asphalt Pavement | 0.05 | 0.05 | 0.10 | 0.40 | 0.80 | 0.50 | 0.70 |
| Dense-Graded Asphalt Pavement | 0.02 | 0.03 | 0.03 | 0.03 | 0.03 | 0.02 | 0.02 |
| Conventional Asphalt Pavement (Reference) | 0.03 | 0.03 | 0.05 | 0.06 | 0.08 | 0.08 | 0.08 |
| Types | Design Purpose | Position | Spacing | Number |
|---|---|---|---|---|
| Measurement surface | SPL Contour Plot | Tunnel cross-section | 50 m Distribution along the traffic stream | 11 items |
| Measurement points | SPL | Along the tunnel centerline, at heights of 0 m, 1.2 m, 1.5 m, and 1.8 m above the ground | 50 m Distribution along the traffic stream | Four series, with 11 items in each. |
| Measurement points | SPL | At the shoulder, 1.2 m above the road surface. | 50 m Distribution along the traffic stream | 11 items |
| Distances/m | 0 | 50 | 100 | 150 | 200 | 250 | 300 | 350 | 400 | 450 | 500 |
|---|---|---|---|---|---|---|---|---|---|---|---|
| 63 Hz | −2.8 | −0.4 | −2.8 | −0.2 | −2 | 1.9 | 1.8 | 1 | 1 | 0.8 | 1.5 |
| 125 Hz | 2.7 | 2.6 | 0.7 | −0.3 | −2 | −1.9 | −2.1 | 1.8 | −0.4 | −1.6 | −0.3 |
| 250 Hz | −0.1 | −1.3 | 0.1 | 2.1 | 1.4 | 0.3 | 1.1 | −2.1 | 0 | −2.9 | −2.7 |
| 500 Hz | −1.7 | −2.5 | 2.9 | 1.7 | 0.5 | 1.3 | −1.5 | −3 | 2.6 | 0.7 | 1.5 |
| 1000 Hz | −3 | −0.7 | 2.9 | 0.1 | −2.5 | −1.9 | −1.6 | −0.7 | −2 | −0.8 | 0.1 |
| Distances/m | 0 | 50 | 100 | 150 | 200 | 250 | 300 | 350 | 400 | 450 | 500 |
|---|---|---|---|---|---|---|---|---|---|---|---|
| Simulated results | 68.2 | 78.4 | 75.4 | 86.2 | 87.1 | 83.7 | 89.4 | 85.8 | 88.4 | 85.9 | 79.7 |
| Field measured results | 67.9 | 77.2 | 75.6 | 88.3 | 88.5 | 84.0 | 90.4 | 83.7 | 88.4 | 83.3 | 77.3 |
| Deviations | −0.3 | −1.2 | 0.2 | 2.1 | 1.4 | 0.3 | 1.1 | −2.1 | 0.0 | −2.6 | −2.4 |
Disclaimer/Publisher’s Note: The statements, opinions and data contained in all publications are solely those of the individual author(s) and contributor(s) and not of MDPI and/or the editor(s). MDPI and/or the editor(s) disclaim responsibility for any injury to people or property resulting from any ideas, methods, instructions or products referred to in the content. |
© 2026 by the authors. Licensee MDPI, Basel, Switzerland. This article is an open access article distributed under the terms and conditions of the Creative Commons Attribution (CC BY) license.
Share and Cite
Ding, R.; Gu, X.; Liao, C.; Wang, H.; Xu, Z.; Lei, K.; Jiang, J. Periodic Noise Characteristics and Acoustic Control in Long Highway Tunnels: An FEM Study with In Situ Validation. Materials 2026, 19, 1548. https://doi.org/10.3390/ma19081548
Ding R, Gu X, Liao C, Wang H, Xu Z, Lei K, Jiang J. Periodic Noise Characteristics and Acoustic Control in Long Highway Tunnels: An FEM Study with In Situ Validation. Materials. 2026; 19(8):1548. https://doi.org/10.3390/ma19081548
Chicago/Turabian StyleDing, Ruifeng, Xingyu Gu, Chenlin Liao, Hongchang Wang, Zengbin Xu, Kaiwen Lei, and Jiwang Jiang. 2026. "Periodic Noise Characteristics and Acoustic Control in Long Highway Tunnels: An FEM Study with In Situ Validation" Materials 19, no. 8: 1548. https://doi.org/10.3390/ma19081548
APA StyleDing, R., Gu, X., Liao, C., Wang, H., Xu, Z., Lei, K., & Jiang, J. (2026). Periodic Noise Characteristics and Acoustic Control in Long Highway Tunnels: An FEM Study with In Situ Validation. Materials, 19(8), 1548. https://doi.org/10.3390/ma19081548

