Sign in to use this feature.

Years

Between: -

Subjects

remove_circle_outline
remove_circle_outline
remove_circle_outline
remove_circle_outline
remove_circle_outline
remove_circle_outline
remove_circle_outline
remove_circle_outline
remove_circle_outline

Journals

remove_circle_outline
remove_circle_outline
remove_circle_outline
remove_circle_outline
remove_circle_outline

Article Types

Countries / Regions

remove_circle_outline
remove_circle_outline
remove_circle_outline

Search Results (162)

Search Parameters:
Keywords = trap situation

Order results
Result details
Results per page
Select all
Export citation of selected articles as:
18 pages, 975 KB  
Article
Giant Mpemba Effect via Weak Interactions in Open Quantum Systems
by Stefano Longhi
Entropy 2026, 28(4), 427; https://doi.org/10.3390/e28040427 - 10 Apr 2026
Abstract
The Mpemba effect refers to the counterintuitive situation in which a system initially farther from equilibrium can relax faster than one that starts closer to it. In quantum systems, the effect is enriched by the presence of coherent dynamics, dissipation, and metastable manifolds [...] Read more.
The Mpemba effect refers to the counterintuitive situation in which a system initially farther from equilibrium can relax faster than one that starts closer to it. In quantum systems, the effect is enriched by the presence of coherent dynamics, dissipation, and metastable manifolds associated with long-lived Liouvillian modes. Here we demonstrate a giant Mpemba effect in open quantum systems, where relaxation can be either hyper-accelerated or dramatically slowed depending on the initial state. We focus on weakly-coupled particle-conserving bosonic networks, each of which independently relaxes rapidly to a unique stationary state. When a weak coherent interaction is introduced, the composite system typically develops slow metastable modes and a hierarchy of relaxation timescales. We show that by tailoring the interaction Hamiltonian, these slow modes can be effectively suppressed for a broad class of initial states satisfying a minimal global requirement, enabling ultrafast relaxation even when the system starts far from equilibrium. Conversely, other initial states—sometimes arbitrarily close to the stationary state—may remain trapped in the metastable manifold and decay anomalously slowly. This mechanism provides a general route to engineer giant Mpemba effects, offering new possibilities for controlling dissipative dynamics, accelerating state preparation, and manipulating relaxation processes in complex quantum devices. Full article
17 pages, 3489 KB  
Article
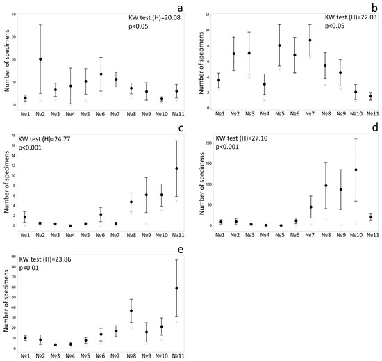
Population Status of Diptera in the First Post-Fire Year in Central European Russia
by Alexander B. Ruchin, Mikhail N. Esin and Anatoliy A. Khapugin
Forests 2026, 17(4), 453; https://doi.org/10.3390/f17040453 - 4 Apr 2026
Viewed by 138
Abstract
In recent years, the frequency of forest fires has increased in many regions worldwide, with many fires developing rapidly and affecting large areas. Such fires lead to profound changes in ecosystem structure and functioning. Diptera play an important role in temperate European forests [...] Read more.
In recent years, the frequency of forest fires has increased in many regions worldwide, with many fires developing rapidly and affecting large areas. Such fires lead to profound changes in ecosystem structure and functioning. Diptera play an important role in temperate European forests and, due to their high mobility, are among the first insect groups to colonize burned areas. However, many aspects of post-fire colonization by flying insects remain insufficiently studied. The study was conducted in the Republic of Mordovia (central European Russia) during the first year after the fires of 2021. Insects were collected using beer traps baited with beer and sugar. Sampling was carried out from April to October 2022 at 11 plots. The plots differed in fire intensity, distance from the 2021 fire edge, and the degree of vegetation recovery following the fires of 2010 and 2021. In total, 44 Diptera families were identified, comprising more than 36,000 specimens. Several families were represented by more than 1000 individuals in traps, including Anthomyiidae, Bibionidae, Chloropidae, Drosophilidae, Milichiidae, Muscidae, Polleniidae, Sciaridae, and Tachinidae. The lowest numbers of individuals and families were recorded at plots located farthest from the fire boundary, i.e., at the greatest distance from unburned areas. We found that Diptera abundance in traps correlated significantly with percentage of wood debris on a plot (r = 0.71, p < 0.05), and number of herb species per plot (r = 0.76, p < 0.01). The lowest values of biodiversity indices (Shannon, Simpson, Margalef, Pielou, and Berger–Parker indices) were recorded at a plot located 1 km inside the burned area. The highest values of these indices were observed at plots situated along the fire boundary. At completely burned plots located far from the fire edge, Diptera abundance dynamics were heterogeneous. Seasonal activity of Diptera at other plots was characterized by a slight increase in abundance in May, followed by a decrease by July, and a subsequent gradual increase from August to October. Full article
(This article belongs to the Special Issue Impacts of Forest Fire on Ecosystem and Climate-Related Drivers)
Show Figures

Figure 1

20 pages, 333 KB  
Article
Optimizing UV-A Solar-Powered Lights to Enhance Lures for Codling Moth, Cydia pomonella L. (Lepidoptera: Tortricidae)
by Alan Lee Knight and Esteban Basoalto
Insects 2026, 17(4), 354; https://doi.org/10.3390/insects17040354 - 24 Mar 2026
Viewed by 430
Abstract
Field trials were conducted to define several parameters associated with adding LEDs to monitoring traps for codling moth (CM), Cydia pomonella (L.), using both a sex pheromone lure (PH1X) and a non-pheromone lure (CM4K). Traps with LEDs emitting at a peak of 395 [...] Read more.
Field trials were conducted to define several parameters associated with adding LEDs to monitoring traps for codling moth (CM), Cydia pomonella (L.), using both a sex pheromone lure (PH1X) and a non-pheromone lure (CM4K). Traps with LEDs emitting at a peak of 395 nm with 1000–2000 mW/m2 were the most effective. Lights with greater intensities caught similar numbers of CMs and significantly more non-targets. Adding the UV-A lights did not increase moth catches early in the season with either the PH1X or CM4K lures. However, UV-A LEDs, when used with these two lures, significantly increased total moth catches 7- and 3-fold in July and August, respectively. The addition of the UV-A LEDs allowed CM4K-baited traps to perform significantly better in previously limiting situations, such as in weedy orchards, and in pear relative to apple. Distance from the light source is a key factor affecting light energy. Irradiance dropped >90% at 15 cm, which is the distance from the lure to the entrance of a standard delta trap. A smaller trap (7.5 cm radius) had a 4-fold greater irradiance at its entrance and caught greater numbers of non-targets but not CMs than delta traps without LEDs. Full article
Show Figures

Graphical abstract

20 pages, 1978 KB  
Article
Investigating the Green and Thermal Environmental Quality of Educational Institutions in an Urban Planning Context: A Debrecen Case Study
by György Csomós, Boglárka Bertalan-Balázs and Jenő Zsolt Farkas
Buildings 2026, 16(4), 836; https://doi.org/10.3390/buildings16040836 - 19 Feb 2026
Viewed by 588
Abstract
Since children spend a significant portion of their developmental years in educational settings, the environmental quality of these institutions—specifically, the extent to which they expose their occupants to green space and heat stress—is a critical determinant of well-being and academic performance. This study [...] Read more.
Since children spend a significant portion of their developmental years in educational settings, the environmental quality of these institutions—specifically, the extent to which they expose their occupants to green space and heat stress—is a critical determinant of well-being and academic performance. This study assesses the green environmental quality of 121 educational institutions (kindergartens, and elementary and secondary schools) in Debrecen, Hungary. The main objective of the research is to identify educational institutions that require immediate intervention to address their lack of green spaces, improve the green environment, and mitigate the urban heat island (UHI) effect. A further aim of the study is to understand how different urban planning practices over the past century have led to the current situation. Therefore, we utilized high-resolution geospatial data (specifically, WorldView-2 imagery) to classify schoolyard vegetation; Landsat data to derive Land Surface Temperature (LST); and the Hoover index to quantify institutions’ spatial concentration. We developed a composite indicator to categorize green environmental quality and heat stress exposure. Our results reveal deep spatial and institutional inequalities. 47.5% of students attend institutions with low environmental quality. While kindergartens typically offer green-rich environments, secondary schools with significant student populations—which are primarily concentrated in the dense historical downtown—are trapped in “grey” zones possessing poor environmental quality. Furthermore, we identify a “green paradox” in socialist housing estates: despite abundant surrounding greenery, schools here record high LST values due to the heat-trapping morphology of vertical concrete structures. The study also highlights institutional maladaptation, such as converting schoolyards into parking lots and using rubber pavements for safety reasons, which contributes to the deterioration of environmental quality. We conclude that current urban planning and school architecture must shift paradigms, treating schoolyards as integral components of the public green infrastructure network through climate-adaptive design. In addition, stakeholders should develop the green environment of educational institutions comprehensively, taking into account both on-site and surrounding green spaces. Full article
(This article belongs to the Section Architectural Design, Urban Science, and Real Estate)
Show Figures

Figure 1

14 pages, 1187 KB  
Article
Flight Characteristics of Bactrocera dorsalis Associated with Long-Distance Migration
by Naoya Hidaka, Kohei Nishiya, Yudai Masuoka, Akiya Jouraku, Yong-Jun Yang, Chia-Jung Ho, Yu-Bing Huang and Akira Otuka
Insects 2026, 17(2), 203; https://doi.org/10.3390/insects17020203 - 14 Feb 2026
Viewed by 606
Abstract
Recently, individuals of the oriental fruit fly and its relatives (Bactrocera dorsalis complex)—previously eradicated in Japan—have occasionally been captured in surveillance traps in the Kyushu District of western Japan, suggesting possible overseas migration. However, as this species generally is not considered capable [...] Read more.
Recently, individuals of the oriental fruit fly and its relatives (Bactrocera dorsalis complex)—previously eradicated in Japan—have occasionally been captured in surveillance traps in the Kyushu District of western Japan, suggesting possible overseas migration. However, as this species generally is not considered capable of long-distance flight, its potential for overseas migration remains largely unexplored. Moreover, this emerging situation in East Asia poses an increasing risk to agricultural industries, highlighting the need to develop a migration prediction model to provide early warnings of their arrival, for which understanding the species’ flight characteristics is essential. In this study, flight experiments were conducted using young first-generation adults that emerged from larvae collected in Taiwan. Outdoor observations revealed that B. dorsalis actively initiates flight around 10:00 and sunset. Flight mill experiments under varying temperature conditions indicated that flight activity ceased at temperatures between 16.2 and 16.5 °C. Furthermore, a 24-h flight test demonstrated that some individuals were capable of sustaining flight for over 7 h, suggesting a potential capacity for long-distance migration. These findings contribute to the development of a migration flight model and enhance our understanding of the flight behavior associated with long-distance migration in B. dorsalis. Full article
(This article belongs to the Special Issue Fly Biology, Ecology, Behavior and Management—2nd Edition)
Show Figures

Graphical abstract

38 pages, 2287 KB  
Article
Optimizing the Bounds of Neural Networks Using a Novel Simulated Annealing Method
by Ioannis G. Tsoulos, Vasileios Charilogis and Dimitrios Tsalikakis
AppliedMath 2026, 6(2), 23; https://doi.org/10.3390/appliedmath6020023 - 6 Feb 2026
Viewed by 481
Abstract
Artificial neural networks are reliable machine learning models that have been applied to a multitude of practical and scientific applications in recent decades. Among these applications, there are examples from the areas of physics, chemistry, medicine, etc. To effectively apply them to these [...] Read more.
Artificial neural networks are reliable machine learning models that have been applied to a multitude of practical and scientific applications in recent decades. Among these applications, there are examples from the areas of physics, chemistry, medicine, etc. To effectively apply them to these problems, it is necessary to adapt their parameters using optimization techniques. However, in order to be effective, optimization techniques must know the range of values for the parameters of the artificial neural network, so that they can adequately train the artificial neural network. In most cases, this is not possible, as these ranges are also significantly affected by the inputs to the artificial neural network from the objective problem it is called upon to solve. This situation usually results in artificial neural networks becoming trapped in local minima of the error function or, even worse, in the phenomenon of overfitting, where although the training error achieves low values, the artificial neural network exhibits low performance in the corresponding test set. To address this limitation, this work proposes a novel two-stage training approach in which a simulated annealing (SA)-based preprocessing stage is employed to automatically identify optimal parameter value intervals before the application of any optimization method to train the neural network. Unlike similar approaches that rely on fixed or heuristically selected parameter bounds, the proposed preprocessing technique explores the parameter space probabilistically, guided by a temperature-controlled acceptance mechanism that balances global exploration and local refinement. The proposed method has been successfully applied to a wide range of classification and regression problems and comparative results are presented in detail in the present work. Full article
(This article belongs to the Section Computational and Numerical Mathematics)
Show Figures

Figure 1

21 pages, 4437 KB  
Article
BAE-UNet: A Background-Aware and Edge-Enhanced Segmentation Network for Two-Stage Pest Recognition in Complex Field Environments
by Jing Chang, Xuefang Li, Xingye Ze, Xue Ding and He Gong
Agronomy 2026, 16(2), 166; https://doi.org/10.3390/agronomy16020166 - 8 Jan 2026
Viewed by 471
Abstract
To address issues such as significant scale differences, complex pose variations, strong background interference, and similar category characteristics of pests in the images obtained from field traps, this study proposes a pest recognition method based on a two-stage “segmentation–detection” approach to improve the [...] Read more.
To address issues such as significant scale differences, complex pose variations, strong background interference, and similar category characteristics of pests in the images obtained from field traps, this study proposes a pest recognition method based on a two-stage “segmentation–detection” approach to improve the accuracy of field pest situation monitoring. In the first stage, an improved segmentation model, BAE-UNet (Background-Aware and Edge-Enhanced U-Net), is adopted. Based on the classic U-Net framework, a Background-Aware Contextual Module (BACM), a Spatial-Channel Refinement and Attention Module (SCRA), and a Multi-Scale Edge-Aware Spatial Attention Module (MESA) are introduced. These modules respectively optimize multi-scale feature extraction, background suppression, and boundary refinement, effectively removing complex background information and accurately extracting pest body regions. In the second stage, the segmented pest body images are input into the YOLOv8 model to achieve precise pest detection and classification. Experimental results show that BAE-UNet performs excellently in the segmentation task, achieving an mIoU of 0.930, a Dice coefficient of 0.951, and a Boundary F1 of 0.943, significantly outperforming both the baseline U-Net and mainstream models such as DeepLabV3+. After segmentation preprocessing, the detection performance of YOLOv8 is also significantly improved. The precision, recall, mAP50, and mAP50–95 increase from 0.748, 0.796, 0.818, and 0.525 to 0.958, 0.971, 0.977, and 0.882, respectively. The results verify that the proposed two-stage recognition method can effectively suppress background interference, enhance the stability and generalization ability of the model in complex natural scenes, and provide an efficient and feasible technical approach for intelligent pest trap image recognition and pest situation monitoring. Full article
(This article belongs to the Section Pest and Disease Management)
Show Figures

Figure 1

14 pages, 3266 KB  
Article
The Effect of Multi-Oxide Layers on the Photoelectrical Performance of Double-Cavity Vertical-Cavity Surface-Emitting Lasers
by Zhu Shi, Xiaodong Chen, Yulian Cao and Zhigang Jia
Photonics 2026, 13(1), 62; https://doi.org/10.3390/photonics13010062 - 8 Jan 2026
Viewed by 442
Abstract
A double-cavity vertical-cavity surface-emitting laser (VCSEL) can effectively suppress high-order transverse modes and achieve a high side-mode suppression ratio (SMSR). However, the double cavity also results in increased fundamental mode loss, reducing output power. In this study, both p-type and n-type oxide layers [...] Read more.
A double-cavity vertical-cavity surface-emitting laser (VCSEL) can effectively suppress high-order transverse modes and achieve a high side-mode suppression ratio (SMSR). However, the double cavity also results in increased fundamental mode loss, reducing output power. In this study, both p-type and n-type oxide layers were simultaneously incorporated into a double-cavity VCSEL and the structure was numerically simulated using Pics3D (2024) software. The simulation results indicate that this approach can significantly enhance the output power, strengthen the single-transverse-mode characteristic, and thus improve the side-mode suppression ratio (SMSR). Generally, as the number of oxide layers increases, their ability to confine the optical field also enhances, trapping more high-order transverse modes within the oxide aperture, leading to a decrease in SMSR. However, in this study, the introduction of an n-type layer resulted in an abnormal increase in the SMSR, because the n-type oxide layer is situated between the active region and the second cavity. When the optical field oscillates between these two regions, some high-order transverse modes are blocked by the n-type oxide holes and cannot participate in mode competition, thereby increasing the SMSR. Full article
(This article belongs to the Special Issue Advanced Technologies in Biophotonics and Medical Physics)
Show Figures

Figure 1

26 pages, 8743 KB  
Article
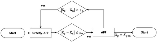
Enhanced Artificial Potential Field for Planning the Safe Return of Wartime Aircraft
by Xuanmiao Sun, Di Shen, Fuping Yu and Xiaowei Niu
Aerospace 2025, 12(12), 1043; https://doi.org/10.3390/aerospace12121043 - 24 Nov 2025
Viewed by 559
Abstract
In the wartime scenario of large-scale air combat, the battlefield situation is dynamically changing, and damaged aircraft often face issues such as limited maneuverability and fuel shortages. Relying on fixed corridors for return flights is no longer feasible. To quickly address wartime demands, [...] Read more.
In the wartime scenario of large-scale air combat, the battlefield situation is dynamically changing, and damaged aircraft often face issues such as limited maneuverability and fuel shortages. Relying on fixed corridors for return flights is no longer feasible. To quickly address wartime demands, it is essential to determine alternative routes for damaged aircraft in real-time, which must not only avoid multi-source threats but also adapt to their performance constraints. This paper improves the traditional artificial potential field algorithm by adopting a two-tier strategy that combines the greedy algorithm with the artificial potential field algorithm. First, to address limitations of the traditional APF method, relative distance is introduced to solve target unreachability, adjustment force is introduced to break local minimum traps, a dynamic potential field reconstruction strategy is introduced to traverse dense obstacles, and a memory-based resultant force is introduced to suppress oscillations. Subsequently, the greedy algorithm optimizes the initial path planned by the APF to shorten the distance. However, when sudden or moving threats are encountered and their influence range is entered, the fast-computing APF algorithm is used for real-time avoidance. The simulation results confirm that the improved algorithm effectively resolves the above issues, with fast planning, smooth, high-quality paths, and guaranteed safe return of aircraft. Full article
(This article belongs to the Section Aeronautics)
Show Figures

Figure 1

31 pages, 6098 KB  
Article
Energy-Harvesting Concurrent LoRa Mesh with Timing Offsets for Underground Mine Emergency Communications
by Hilary Kelechi Anabi, Samuel Frimpong and Sanjay Madria
Information 2025, 16(11), 984; https://doi.org/10.3390/info16110984 - 13 Nov 2025
Cited by 1 | Viewed by 1097
Abstract
Underground mine emergencies destroy communication infrastructure when situational awareness is most critical. Current systems rely on centralized network infrastructure, which fails during emergencies when miners are trapped and require rescue coordination. This paper proposes an energy-harvesting LoRa mesh network that addresses self-powered operation, [...] Read more.
Underground mine emergencies destroy communication infrastructure when situational awareness is most critical. Current systems rely on centralized network infrastructure, which fails during emergencies when miners are trapped and require rescue coordination. This paper proposes an energy-harvesting LoRa mesh network that addresses self-powered operation, interference management, and adaptive physical layer optimization under severe underground propagation conditions. A dual-antenna architecture separates RF energy harvesting (860 MHz) from LoRa communication (915 MHz), enabling continuous operation with supercapacitor storage. The core contribution is a decentralized scheduler that derives optimal timing offsets by modeling concurrent transmissions as a Poisson collision process, exploiting LoRa’s capture effect while maintaining network coherence. A SINR-aware physical layer adapts spreading factor, bandwidth, and coding rate with hysteresis, controls recomputing timing parameters after each change. Experimental validation in Missouri S&T’s operational mine demonstrates far-field wireless power transfer (WPT) reaching 35 m. Simulations across 2000 independent trials show a 2.2× throughput improvement over ALOHA (49% vs. 22% delivery ratio at 10 nodes/hop), 64% collision reduction, and 67% energy efficiency gains, demonstrating resilient emergency communications for underground environments. Full article
(This article belongs to the Section Information and Communications Technology)
Show Figures

Figure 1

10 pages, 2618 KB  
Article
Effects of Carrier Trapping and Noise in Triangular-Shaped GaN Nanowire Wrap-Gate Transistor
by Siva Pratap Reddy Mallem, Peddathimula Puneetha, Yeojin Choi, Mikiyas Mekete Mesheha, Manal Zafer, Kab-Seok Kang, Dong-Yeon Lee, Jaesool Shim, Ki-Sik Im and Sung Jin An
Nanomaterials 2025, 15(17), 1336; https://doi.org/10.3390/nano15171336 - 30 Aug 2025
Viewed by 1146
Abstract
The most widely used nanowire channel architecture for creating state-of-the-art high-performance transistors is the nanowire wrap-gate transistor, which offers low power consumption, high carrier mobility, large electrostatic control, and high-speed switching. The frequency-dependent capacitance and conductance measurements of triangular-shaped GaN nanowire wrap-gate transistors [...] Read more.
The most widely used nanowire channel architecture for creating state-of-the-art high-performance transistors is the nanowire wrap-gate transistor, which offers low power consumption, high carrier mobility, large electrostatic control, and high-speed switching. The frequency-dependent capacitance and conductance measurements of triangular-shaped GaN nanowire wrap-gate transistors are measured in the frequency range of 1 kHz–1 MHz at room temperature to investigate carrier trapping effects in the core and at the surface. The performance of such a low-dimensional device is greatly influenced by its surface traps. With increasing applied frequency, the calculated trap density promptly decreases, from 1.01 × 1013 cm−2 eV−1 at 1 kHz to 8.56 × 1012 cm−2eV−1 at 1 MHz, respectively. The 1/f-noise features show that the noise spectral density rises with applied gate bias and shows 1/f-noise behavior in the accumulation regime. The fabricated device is controlled by 1/f-noise at lower frequencies and 1/f2-noise at frequencies greater than ~ 0.2 kHz in the surface depletion regime. Further generation–recombination (G-R) is responsible for the 1/f2-noise characteristics. This process is primarily brought on by electron trapping and detrapping via deep traps situated on the nanowire’s surface depletion regime. When the device works in the deep-subthreshold regime, the cut-off frequency for the 1/f2-noise characteristics further drops to a lower frequency of 30 Hz–104 Hz. Full article
(This article belongs to the Section Nanophotonics Materials and Devices)
Show Figures

Figure 1

15 pages, 1908 KB  
Article
Evaluating the Performance of a Wastewater Treatment Plant of a Dairy Facility in Southern Minas Gerais, Brazil
by Juan Pablo Pereira Lima and André Aguiar
Sustainability 2025, 17(17), 7597; https://doi.org/10.3390/su17177597 - 22 Aug 2025
Cited by 1 | Viewed by 2023
Abstract
Dairy wastewater is highly polluting and requires treatment before being discharged into receiving surface waters or destined for reuse. This study aimed to evaluate the performance of a wastewater treatment plant (WWTP) at a dairy facility, which includes the following treatment stages: screening, [...] Read more.
Dairy wastewater is highly polluting and requires treatment before being discharged into receiving surface waters or destined for reuse. This study aimed to evaluate the performance of a wastewater treatment plant (WWTP) at a dairy facility, which includes the following treatment stages: screening, grease trap, and an upflow anaerobic filter (UAF). Monitoring data from a WWTP at a dairy situated in the southern region of Minas Gerais, Brazil, were assessed based on pollutant removal efficiency in accordance with Brazilian environmental regulations. The results showed that the WWTP achieved average removal efficiencies of 96.2% for COD and 97.1% for BOD5. The BOD5/COD ratio of raw and treated wastewater averaged 0.46 and 0.30, respectively, indicating preferential removal of the biodegradable organic fraction. The treated wastewater complied with legal standards for pH, settleable solids, and total suspended solids. However, at least one sample did not meet regulatory limits for discharge into water bodies regarding surfactants and oils & greases. Strong linear correlations (R2~0.8) between COD and BOD5 data were observed for both raw and treated wastewater. While the treated wastewater was not suitable for use in the facility’s wood-fired boiler, it may be reused for agricultural irrigation. Full article
Show Figures

Graphical abstract

17 pages, 264 KB  
Article
Factors Influencing New Zealanders’ Attitudes Towards the Euthanasia of Pets and Feral Animals
by Leena Awawdeh, Natalie Waran and Rachel H. Forrest
Pets 2025, 2(3), 29; https://doi.org/10.3390/pets2030029 - 14 Aug 2025
Viewed by 1918
Abstract
Objective: To investigate public attitudes in New Zealand towards the euthanasia of dogs and cats and to explore the factors that influence these views. Materials and Methods: Data were collected through a nationwide online survey conducted in 2019 as part of the Furry [...] Read more.
Objective: To investigate public attitudes in New Zealand towards the euthanasia of dogs and cats and to explore the factors that influence these views. Materials and Methods: Data were collected through a nationwide online survey conducted in 2019 as part of the Furry Whānau Wellbeing research project. The survey included questions about pet euthanasia, and respondents were asked to indicate their level of agreement with various statements. Results: Of 2293 respondents to the 2019 New Zealand Pet Survey, the majority (n = 1756) opposed euthanasia for stray, unwanted, or financially burdensome pets (76.7%; 90.2% and 66.3% of these disagreed or strongly disagreed, respectively). In contrast, a slim majority (n = 1162) supported it for sick animals. Females were less likely to agree with euthanasia in most scenarios compared to males. Māori and New Zealand European respondents (n = 1790) showed higher levels of neutrality than other ethnicities regarding stray animals and lower levels of disagreement regarding financially constrained situations. Older respondents (65+) were more likely to support euthanasia for sick animals, while younger respondents (18–24) were less inclined. Higher education levels are correlated with increased neutrality towards euthanising stray animals and increased support for euthanising feral animals. Respondents with children were more likely to be neutral or to disagree with euthanasia in most scenarios. Those with rural upbringings were more accepting of euthanasia for stray and feral animals. A thematic analysis of 653 respondent comments revealed key themes: euthanasia was seen as complex and context-dependent, a humane last resort for suffering animals, but not for convenience. Respondents emphasised responsible pet ownership and a right to life, even for feral animals, advocating for alternatives such as trap–neuter–release. Conclusion: New Zealanders largely view euthanasia as an ethically acceptable option for terminally ill or suffering animals but reject it when driven by convenience or financial hardship. Attitudes vary across demographic groups, highlighting the need for culturally sensitive education and policy. The findings align with Sustainable Development Goal 3 (Good Health and Well-being) and support broader discussions on responsible pet ownership, ethical decision making, and animal welfare legislation. Full article
23 pages, 3031 KB  
Article
Climbing the Pyramid: From Regional to Local Assessments of CO2 Storage Capacities in Deep Saline Aquifers of the Drava Basin, Pannonian Basin System
by Iva Kolenković Močilac, Marko Cvetković, David Rukavina, Ana Kamenski, Marija Pejić and Bruno Saftić
Energies 2025, 18(14), 3800; https://doi.org/10.3390/en18143800 - 17 Jul 2025
Viewed by 896
Abstract
Deep saline aquifers in the eastern part of Drava Basin were screened for potential storage sites. The input dataset included three seismic volumes, a rather extensive set of old seismic sections and 71 wells. Out of all identified potential storage objects, only two [...] Read more.
Deep saline aquifers in the eastern part of Drava Basin were screened for potential storage sites. The input dataset included three seismic volumes, a rather extensive set of old seismic sections and 71 wells. Out of all identified potential storage objects, only two sites were found to be situated in the favorable geological settings, meaning that the inspected wells drilled through structural traps had a seal at least 20 m thick which was intersected by only a few faults with rather limited displacement. Many more closed structures in the area were tested by exploration wells, but in all other wells, various problems were encountered, including inadequate reservoir properties, inadequate seal or inadequate depth of the identified trap. Analysis was highly affected by the insufficient quality and spatial distribution of the seismic input data, as well as in places with insufficient quality of input well datasets. An initial characterization of identified storage sites was performed, and their attributes were compared, with potential storage object B recognized as the one that should be further developed. However, given the depth and increased geothermal gradient of the potential storage object B, it is possible that it will be developed as a geothermal reservoir, and this brings forward the problem of concurrent subsurface use. Full article
(This article belongs to the Collection Feature Papers in Carbon Capture, Utilization, and Storage)
Show Figures

Figure 1

22 pages, 288 KB  
Concept Paper
Evolving Poverty in Italy: Individual Changes and Social Support Networks
by Serena Quarta
Societies 2025, 15(7), 193; https://doi.org/10.3390/soc15070193 - 9 Jul 2025
Viewed by 4507
Abstract
Over the last 20 years, poverty has undergone profound changes, even affecting people who were once safe from the processes of impoverishment. Hidden under the guise of normal difficulties considered part of the natural course of life, it has lost its “occasional” connotation [...] Read more.
Over the last 20 years, poverty has undergone profound changes, even affecting people who were once safe from the processes of impoverishment. Hidden under the guise of normal difficulties considered part of the natural course of life, it has lost its “occasional” connotation and has become “established” in people’s lives, causing new and dangerous trends. The article offers some reflections on how these dynamics have become particularly widespread in Italy, resulting in two types of poverty: cultural poverty, linked to the phenomenon of young NEETs (Not in Employment, Education, or Training), and working poverty. These types of poverty are linked and risk feeding off each other. On the one hand, poor cultural tools force young people to settle for low-paid jobs. On the other hand, poor-quality work, due to poor training, discourages people from pursuing education and training and traps poor workers in a situation of social stagnation. A possible tool to tackle these issues could be Responsible Welfare, which focuses on the person as a unique entity, implementing the resilience of individuals to promote self-esteem while also enhancing relational, social, and community resources. Full article
Back to TopTop