Evaluating the Performance of a Wastewater Treatment Plant of a Dairy Facility in Southern Minas Gerais, Brazil
Abstract
1. Introduction
2. Materials and Methods
2.1. Some Data About the Dairy Unit Under Study
2.2. Description of Wastewater Treatment Processes in the Dairy Facility
2.3. Legislation Applicable to the Study
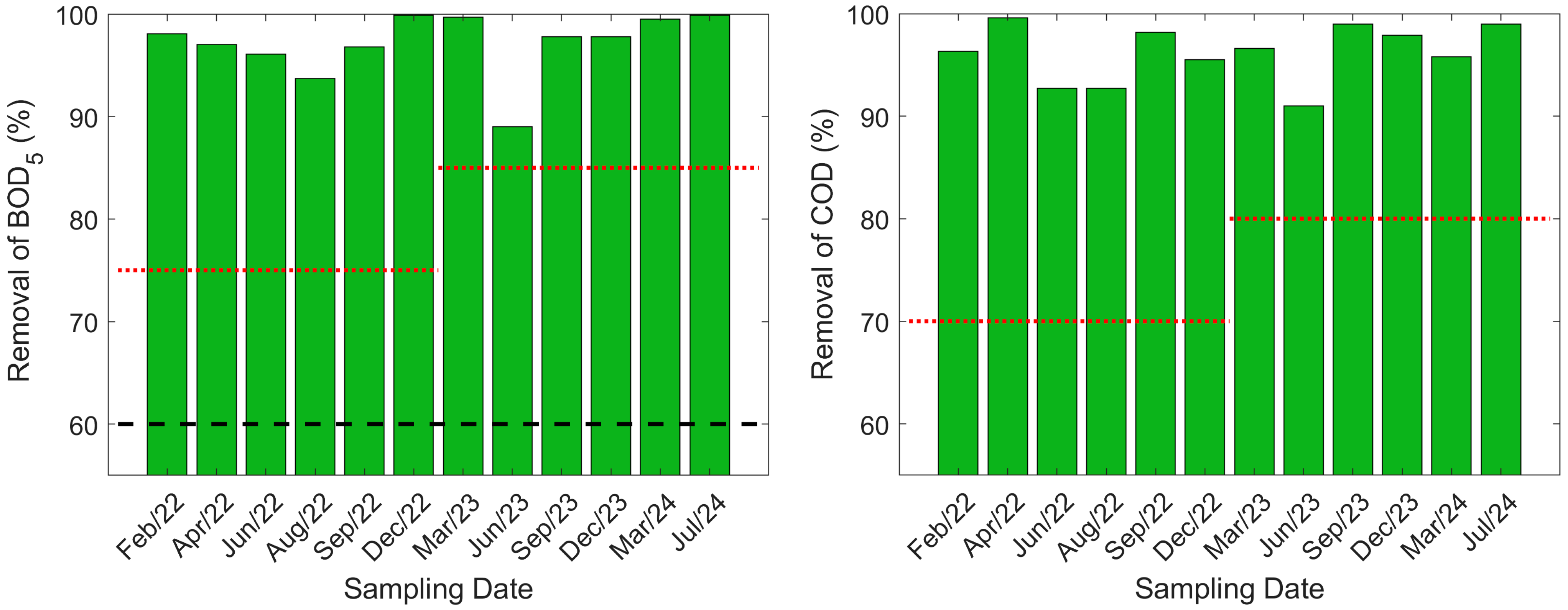
3. Results and Discussion
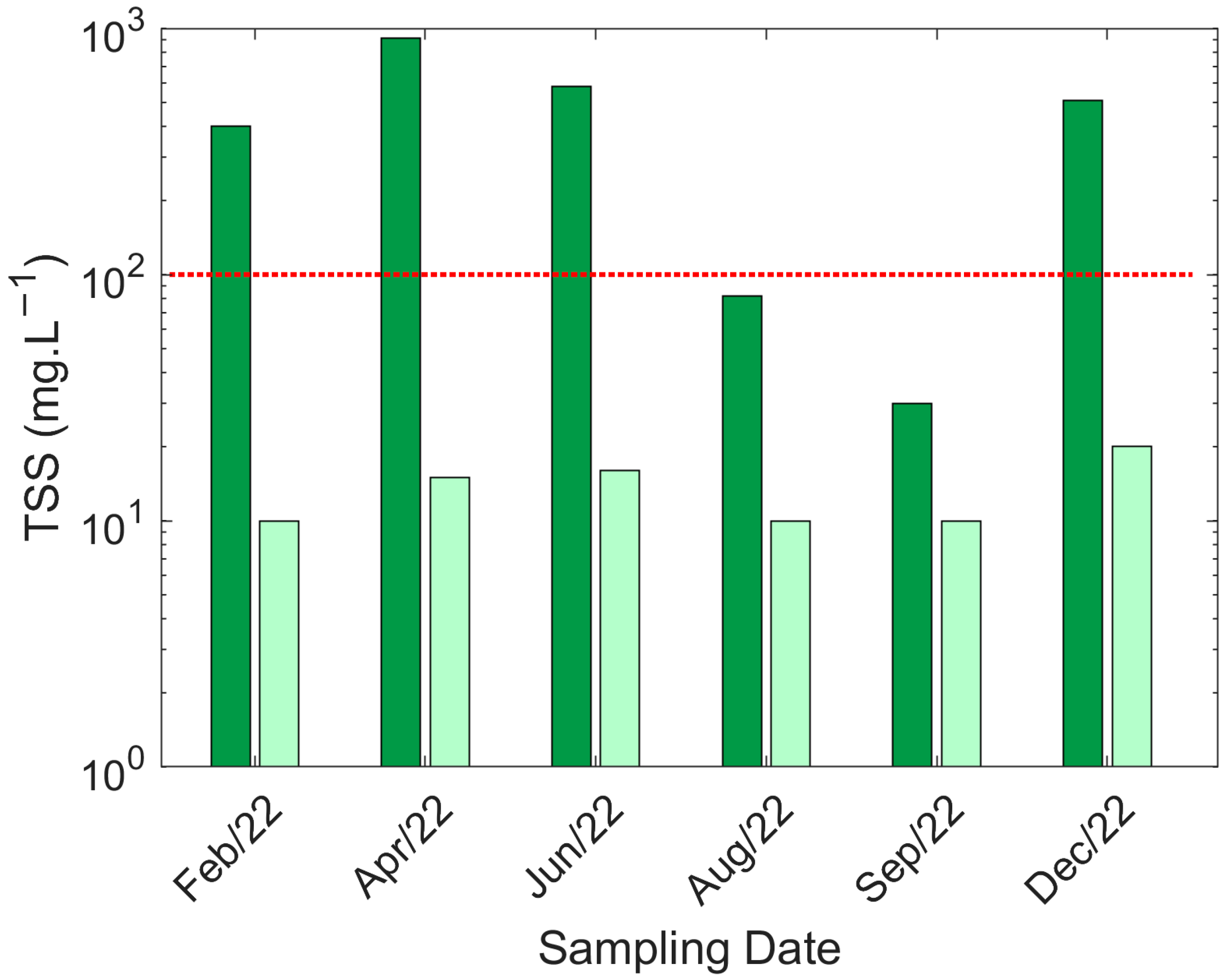
3.1. Evaluation of Wastewater Quality Parameters for Discharge into Receiving Water Bodies
3.2. Linear Correlation Analysis Between COD and BOD5
3.3. Evaluation of Treated Wastewater Reuse and Other Sustainability Aspects
4. Conclusions
Author Contributions
Funding
Institutional Review Board Statement
Informed Consent Statement
Data Availability Statement
Conflicts of Interest
References
- Brazilian Institute of Geography and Statistics (IBGE). IBGE Indicators: Livestock Production Statistics. 2024. Available online: https://biblioteca.ibge.gov.br/index.php/biblioteca-catalogo?view=detalhes&id=72380 (accessed on 1 June 2025).
- Prazeres, A.R.; Carvalho, F.; Rivas, J. Cheese whey management: A review. J. Environ. Manag. 2012, 110, 48–68. [Google Scholar] [CrossRef]
- Silva, R.R.; Siqueira, E.Q.; Nogueira, I.S. Impactos ambientais de efluentes de laticínios em curso d’água na bacia do Rio Pomba. Eng. Sanit. Ambient. 2018, 23, 217–228. [Google Scholar] [CrossRef]
- Tabelini, D.B.; Lima, J.P.P.; Borges, A.C.; Aguiar, A. A review on the characteristics and methods of dairy industry wastewater treatment in the state of Minas Gerais, Brazil. J. Water Process Eng. 2023, 53, 103779. [Google Scholar] [CrossRef]
- Slavov, A.K. Dairy wastewaters—General characteristics and treatment possibilities—A review. Food Technol. Biotechnol. 2017, 55, 14–28. [Google Scholar] [CrossRef]
- Roques, H.; Aurelle, Y. Oil-water separations oil recovery and oily wastewater treatment. In New Developments in Industrial Wastewater Treatment; Springer: Dordrecht, The Netherlands, 1991; pp. 155–174. [Google Scholar] [CrossRef]
- Behjat, M.; Svanström, M.; Peters, G. A meta-analysis of LCAs for environmental assessment of a conceptual system: Phosphorus recovery from dairy wastewater. J. Clean. Prod. 2022, 369, 133307. [Google Scholar] [CrossRef]
- Finnegan, W.; Goggins, J.; Zhan, X. Assessing the environmental impact of the dairy processing industry in the Republic of Ireland. J. Dairy Res. 2018, 85, 396–399. [Google Scholar] [CrossRef]
- Brazil, Ministry of the Environment, National Environment Council (CONAMA). Resolution No. 430. 2011. Available online: https://www.suape.pe.gov.br/images/publicacoes/CONAMA_n.430.2011.pdf (accessed on 1 June 2025).
- Minas Gerais, State Council of Environmental Policy/State Water Resources Council (COPAM/CERH), Normative Resolution No. 1. 2008. Available online: https://www.compe.org.br/estadual/deliberacoes/conjunta/1-2008.pdf (accessed on 12 October 2024).
- Minas Gerais, State Council of Environmental Policy/State Council of Water Resources (COPAM/CERH), Normative Resolution No. 8. 2022. Available online: http://www.siam.mg.gov.br/sla/download.pdf?idNorma=56521 (accessed on 30 October 2024).
- Minas Gerais, Sanitation Company of Minas Gerais (COPASA). Technical Guideline for Discharging Non-Domestic Wastewater into the Public Sewerage Network No. T.187/6; COPASA: Belo Horizonte, Brazil, 2018. [Google Scholar]
- von Sperling, M. Introdução à Qualidade das Águas e ao Tratamento de Esgotos, 4th ed.; UFMG: Belo Horizonte, Brazil, 2014. [Google Scholar]
- Christian, E.; Batista, J.R.; Gerrity, D. Use of COD, TOC, and fluorescence spectroscopy to estimate BOD in wastewater. Water Environ. Res. 2017, 89, 168–177. [Google Scholar] [CrossRef]
- Njoya, M.; Basitere, M.; Ntwampe, S.K.O. Analysis of the characteristics of poultry slaughterhouse wastewater (PSW) and its treatability. Water Pract. Technol. 2019, 14, 959–970. [Google Scholar] [CrossRef]
- Ramos, M.D.N.; Gomes, T.M.; Aquino, S.F.; Aguiar, A. Sewage treatment in cities of the state of Minas Gerais, Brazil, that use the UASB reactor as the only biological treatment: A case study. J. Water Process Eng. 2023, 56, 104509. [Google Scholar] [CrossRef]
- Ribeiro, T.S.; Aguiar, A. Performance evaluation of a wastewater treatment plant from a dairy in the state of Minas Gerais, Brazil: A case study. Environ. Monit. Assess. 2024, 196, 956. [Google Scholar] [CrossRef]
- Karadag, D.; Köroğlu, O.E.; Ozkaya, B.; Cakmakci, M. A review on anaerobic biofilm reactors for the treatment of dairy industry wastewater. Process Biochem. 2015, 50, 262–271. [Google Scholar] [CrossRef]
- Mendonça, H.V.; Otenio, M.H.; Lomeu, A.A.; Rita, A.V.S. Post-treatment of an aerated facultative pond with constructed wetland: First two years of operation in a dairy industry. Ecol. Eng. 2022, 179, 106623. [Google Scholar] [CrossRef]
- Alfiah, T.; Pertiwi, D.D. Performance of dairy factory wastewater treatment plant (case study of Pasuruan dairy factory East Java). J. Community Based Environ. Eng. Manag. 2024, 8, 181–186. [Google Scholar] [CrossRef]
- Ferreira, I.T.R.; Marques, R.F.P.V.; Rodrigues, L.S. Tratamento de efluentes industriais de uma fábrica pet food. Rev. Bras. Geogr. Física 2024, 17, 608–625. [Google Scholar] [CrossRef]
- Hantoush, N.K.; Ghawi, A.H. Performance evaluation of conventional sewage treatment plant, Iraq. IOP Conf. Ser. Earth Environ. Sci. 2023, 1232, 012019. [Google Scholar] [CrossRef]
- Haileselassie, M.M.; Mohamed, J.; Haile, A.T.; Hiruy, A.M.; Acharya, K.; Werner, D. Performance of four wastewater treatment plants serving Ethiopia’s capital city, Addis Ababa. J. Water Sanit. Hyg. Dev. 2025, 15, 127–138. [Google Scholar] [CrossRef]
- Lima, J.P.P.; Aguiar, A. Evaluating the performance of sewage treatment plants containing up-flow anaerobic sludge blanket reactors followed or not by post-treatments. Environments 2025, 12, 146. [Google Scholar] [CrossRef]
- Nwodo, J.C.; Gericke, O.J.; Woyessa, Y.E.; Oke, S.A. Assessment of wastewater treatment efficiency and the impact on surface water quality in the Free State Province, South Africa. IOP Conf. Ser. Earth Environ. Sci. 2025, 1489, 012012. [Google Scholar] [CrossRef]
- APHA. Standard Methods for Water and Wastewater Determination; APHA: Washington, DC, USA, 2017. [Google Scholar]
- Brazil, Ministry of the Environment, National Environment Council (CONAMA). Resolution No. 503 (2021). Available online: https://conama.mma.gov.br/index.php?option=com_sisconama&task=arquivo.download&id=813 (accessed on 1 June 2025).
- Palmer, M.; Hatley, H. The role of surfactants in wastewater treatment: Impact, removal and future techniques: A critical review. Water Res. 2018, 147, 60–72. [Google Scholar] [CrossRef]
- Azadi, N.A.; Falahzadeh, R.A.; Sadeghi, S. Dairy wastewater treatment plant in removal of organic pollution: A case study in Sanandaj, Iran. Environ. Health Eng. Manag. J. 2015, 2, 73–77. [Google Scholar]
- Santos, C. Estatística Descritiva—Manual de Autoaprendizagem, 1st ed.; Edições Sílabo: Lisboa, Portugal, 2007. [Google Scholar]
- Lima, J.P.P.; Melo, E.D.; Aguiar, A. Characteristics and ways of treating cosmetic wastewater generated by Brazilian industries: A review. Process Saf. Environ. Prot. 2022, 155, 601–612. [Google Scholar] [CrossRef]
- Gomes, T.M.; Rossi, F.; Tommaso, G.; Ribeiro, R.; Kushida, M.M.; Stablein, M.J. Supplementation of nutrients for table beets by irrigation with treated dairy effluent. Eng. Agric. 2017, 37, 1137–1147. [Google Scholar] [CrossRef]
- Sdiri, W.; Mansour, H.B.; Albergamo, A.; Di Bella, G. Efectiveness of dairy treated wastewater and diferent irrigation systems on the growth, biomass and fruiting of a Tunisian olive orchard (Olea europaea L., cv Chemlali). Nat. Prod. Res. 2020, 34, 183–186. [Google Scholar] [CrossRef] [PubMed]
- Sdiri, W.; Dabbou, S.; Nava, V.; Di Bella, G.; Mansour, H.B. Pomological descriptors, phenolic compounds, and chemical monitoring in olive fruits irrigated with dairy treated wastewater. Chemosensors 2021, 9, 130. [Google Scholar] [CrossRef]
- Lombardi, B.; Orden, L.; Varela, P.; Garay, M.; Iocoli, G.A.; Montenegro, A.; Sáez-Tovar, J.; Bustamante, M.A.; Juliarena, M.P.; Moral, R. Is dairy effluent an alternative for maize crop fertigation in semiarid regions? An approach to agronomic and environmental effects. Animals 2022, 12, 2025. [Google Scholar] [CrossRef]
- Nakayama, F.S.; Bucks, D.A. Water quality in drip/trickle irrigation: A review. Irrig. Sci. 1991, 12, 187–192. [Google Scholar] [CrossRef]
- Jesus, F.L.F.; Santos, O.N.A.; Talamini, M.V., Jr.; Gomes, T.M.; Rossi, F.; Román, R.M.S. Águas residuárias para irrigação no Brasil: Uma abordagem química, física e microbiológica. Irriga 2020, 25, 562–589. [Google Scholar] [CrossRef]
- Ayers, R.S.; Westcott, D.W. FAO Irrigation and Drainage, 1994, Paper 29 Revision 1. In Water Quality for Agriculture; Food and Agricultural Organization of the United Nations: Rome, Italy, 1994; Available online: https://www.fao.org/4/t0234e/t0234e00.htm (accessed on 1 June 2025).
- Nour, A.H.; Mokaizh, A.A.B.; Alazaiza, M.Y.; Bashir, M.J.; Mustafa, S.E.; Baarimah, A.O. Innovative strategies for microalgae-based bioproduct extraction in biorefineries: Current trends and future solutions integrating wastewater treatment. Sustainability 2024, 16, 10565. [Google Scholar] [CrossRef]
- Sarker, N.K.; Kaparaju, P. Microalgal bioeconomy: A green economy approach towards achieving sustainable development goals. Sustainability 2024, 16, 11218. [Google Scholar] [CrossRef]
- Choi, N.; Nunes, I.V.; Ohira, G.O.; Carvalho, J.C.M.; Matsudo, M.C. Evaluation of Monoraphidium contortum for the tertiary treatment of dairy industry wastewater and biomass production with nitrogen supplementation. Bioproc. Biosyst. Eng. 2023, 46, 265–271. [Google Scholar] [CrossRef]
- Dudek, M.; Debowski, M.; Kazimierowicz, J.; Zielinski, M.; Quattrocelli, P.; Nowicka, A. The cultivation of biohydrogen producing Tetraselmis subcordiformis microalgae as the third stage of dairy wastewater aerobic treatment system. Sustainability 2022, 14, 12085. [Google Scholar] [CrossRef]
- Yapıcıoğlu, P.; Yeşilnacar, M.I. Energy cost assessment of a dairy industry wastewater treatment plant. Environ. Monit. Assess. 2020, 192, 536. [Google Scholar] [CrossRef] [PubMed]
- Asano, T.; Burton, F.; Leverenz, H.; Tsuchihashi, R.; Tchobanoglous, G. Water Reuse-Issues, Technologies, and Applications; McGrow-Hill: New York, NY, USA, 2007. [Google Scholar]
- Brazil, Ministry of the Environment, National Environment Council (CONAMA), Resolution No. 498. 2020. Available online: https://conama.mma.gov.br/index.php?option=com_sisconama&task=arquivo.download&id=797 (accessed on 12 October 2024).











| Parameters | Discharge into Receiving Water Bodies | Disposal into the Municipal Sewage System | Method | ||
|---|---|---|---|---|---|
| pH | 5.0–9.0 | 6.0–9.0 | 5.0–9.0 | 6.0–10.0 | SMWW-4500H+B |
| Temperature (°C) | <40 | <40 | <40 | <40 | SMWW-2550B |
| BOD5 (mg O2·L−1) | Minimum removal of 60% | <60 mg·L−1 or minimal removal of 75% | <60 mg·L−1 or minimal removal of 85% | - | SMWW-5210B |
| COD (mg O2·L−1) | – | <180 mg·L−1 or minimal removal of 70% | <180 mg·L−1 or minimal removal of 80% | <450 | SMWW-5220B/SMWW-5220D * |
| O&G (mg·L−1) | <50 | <50 | <50 | <150 | SMWW-5520B/SMWW-5520D * |
| TSS (mg·L−1) | – | <100 | <100 | <300 | SMWW-2540D |
| SetS (mL·L−1) | <1 | <1 | <1 | <20 | SMWW-2540F |
| Anionic surfactants (mg·L−1) | – | <2 | <2 | <5 | SMWW-5540C |
| Reference | [9] | [10] | [11] | [12] | - |
| Sampling Date | BOD5 (mg O2·L−1) | COD (mg O2·L−1) | pH | SetS (mL·L−1) | TSS (mg·L−1) | O&G (mg·L−1) | Surfactants (mg·L−1) | Temperature (°C) | ||||||||||
|---|---|---|---|---|---|---|---|---|---|---|---|---|---|---|---|---|---|---|
| RW | TW | EF (%) | RW | TW | EF (%) | RW | TW | RW | TW | RW | TW | RW | TW | RW | TW | RW | TW | |
| Feb/22 | 1085.22 | 19.95 | 98.1 | 2200.00 | 80.0 | 96.3 | 6.44 | 6.75 | 6.0 | <0.2 | 400.0 | <10.0 | 50.15 | 11.61 | 1.09 | <0.04 | – | – |
| Apr/22 | 1783.61 | 52.48 | 97.0 | 2850.00 | 100.0 | 99.6 | 5.68 | 6.86 | <0.2 | <0.2 | 910.0 | 15.0 | <10.00 | <10.00 | 1.22 | 3.82 | 22.0 | 25.2 |
| Jun/22 | 1172.34 | 68.12 | 96.1 | 2200.00 | 160.0 | 92.7 | 5.93 | 6.03 | <0.2 | <0.2 | 580.0 | 16.0 | 113.0 | <10.00 | 0.44 | 1.15 | 24.7 | 26.5 |
| Aug/22 | 333.74 | 21.17 | 93.7 | 550.00 | 40.0 | 92.7 | 5.97 | 6.23 | <0.2 | <0.2 | 82.0 | <10.0 | 116.0 | <10.00 | 0.47 | 1.42 | 25.1 | 26.0 |
| Sep/22 | 993.98 | 39.66 | 96.8 | 1241.47 | 50.6 | 98,1 | 5.8 | 6.12 | 0.3 | <0.2 | 30.0 | <10.0 | 21.36 | <10.00 | 0.54 | 0.29 | 24.0 | 24.5 |
| Dec/22 | 452.38 | 9.29 | 99.9 | 900.00 | 40.0 | 95.5 | 6.09 | 6.27 | <0.2 | <0.2 | 510.0 | 20.0 | <10.00 | 10.0 | 0.26 | 1.71 | 25.7 | 25.8 |
| Mar/23 | 648.0 | <2.0 | 99.7 | 2029.0 | 68.0 | 96.6 | 5.81 | 5.92 | 24 | <0.3 | – | – | 43.0 | <16.00 | 9.92 | <0.25 | 25.9 | 26.6 |
| Jun/23 | 840.0 | 92.0 | 89.0 | 2720.0 | 243.0 | 91.0 | 5.95 | 5.77 | 0.4 | <0.3 | – | – | 149.5 | <16.00 | 5.29 | 0.64 | 24.3 | 24.6 |
| Sep/23 | 2013.0 | 43.0 | 97.8 | 14,652.0 | 146.0 | 99.0 | – | – | <0.3 | <0.3 | – | – | 2978.0 | 288.0 | 3.70 | 0.90 | – | – |
| Dec/23 | 232.0 | 5.0 | 97.8 | 2284.0 | 48.0 | 97.9 | 5.91 | 6.06 | 2.1 | <0.3 | – | – | 297.0 | 55.0 | 1.07 | 1.86 | 26.2 | 26.2 |
| Mar/24 | 448.0 | <2.0 | 99.5 | 1081.0 | <45.0 | 95.8 | – | – | <0.3 | 1 | – | – | 152.0 | <0.1 | 1.33 | 1.21 | – | – |
| Jul/24 | 3122.0 | <2.0 | 99.9 | 6153.0 | <45.0 | 99.0 | 6.45 | 6.35 | 30 | <0.3 | – | – | 321.0 | 20.0 | 5.20 | 0.62 | 22.5 | 22.6 |
| Discharge standards | <60 mg·L−1 or minimum 75/85% * removal | <180 mg·L−1 or minimum 70/80% * removal | 5.0 */6.0–9.0 | <1 | <100 | <50 | <2 | <40 °C | ||||||||||
Disclaimer/Publisher’s Note: The statements, opinions and data contained in all publications are solely those of the individual author(s) and contributor(s) and not of MDPI and/or the editor(s). MDPI and/or the editor(s) disclaim responsibility for any injury to people or property resulting from any ideas, methods, instructions or products referred to in the content. |
© 2025 by the authors. Licensee MDPI, Basel, Switzerland. This article is an open access article distributed under the terms and conditions of the Creative Commons Attribution (CC BY) license (https://creativecommons.org/licenses/by/4.0/).
Share and Cite
Lima, J.P.P.; Aguiar, A. Evaluating the Performance of a Wastewater Treatment Plant of a Dairy Facility in Southern Minas Gerais, Brazil. Sustainability 2025, 17, 7597. https://doi.org/10.3390/su17177597
Lima JPP, Aguiar A. Evaluating the Performance of a Wastewater Treatment Plant of a Dairy Facility in Southern Minas Gerais, Brazil. Sustainability. 2025; 17(17):7597. https://doi.org/10.3390/su17177597
Chicago/Turabian StyleLima, Juan Pablo Pereira, and André Aguiar. 2025. "Evaluating the Performance of a Wastewater Treatment Plant of a Dairy Facility in Southern Minas Gerais, Brazil" Sustainability 17, no. 17: 7597. https://doi.org/10.3390/su17177597
APA StyleLima, J. P. P., & Aguiar, A. (2025). Evaluating the Performance of a Wastewater Treatment Plant of a Dairy Facility in Southern Minas Gerais, Brazil. Sustainability, 17(17), 7597. https://doi.org/10.3390/su17177597

