Sign in to use this feature.

Years

Between: -

Subjects

remove_circle_outline
remove_circle_outline
remove_circle_outline
remove_circle_outline
remove_circle_outline
remove_circle_outline
remove_circle_outline
remove_circle_outline
remove_circle_outline

Journals

remove_circle_outline
remove_circle_outline
remove_circle_outline
remove_circle_outline

Article Types

Countries / Regions

Search Results (180)

Search Parameters:
Keywords = transient flow force

Order results
Result details
Results per page
Select all
Export citation of selected articles as:
12 pages, 2297 KB  
Article
Analysis of Masseter Muscle Structure in Patients with Mandibular Asymmetry Using Ultrasonic Diagnostic Equipment
by Akito Umehara, Shugo Haga, Momoko Takakaze, Rika Kobayashi, Kanako Akatsuka, Misaki Yamashiro, Shiina Tatsuta and Haruhisa Nakano
Bioengineering 2025, 12(11), 1159; https://doi.org/10.3390/bioengineering12111159 (registering DOI) - 26 Oct 2025
Abstract
Mandibular asymmetry often requires orthognathic surgery, and postsurgical relapse remains a concern. The masseter muscle may influence stability, but most studies have emphasized volumetric rather than qualitative changes. This prospective study evaluated 24 patients with mandibular asymmetry using ultrasonography preoperatively and at 1, [...] Read more.
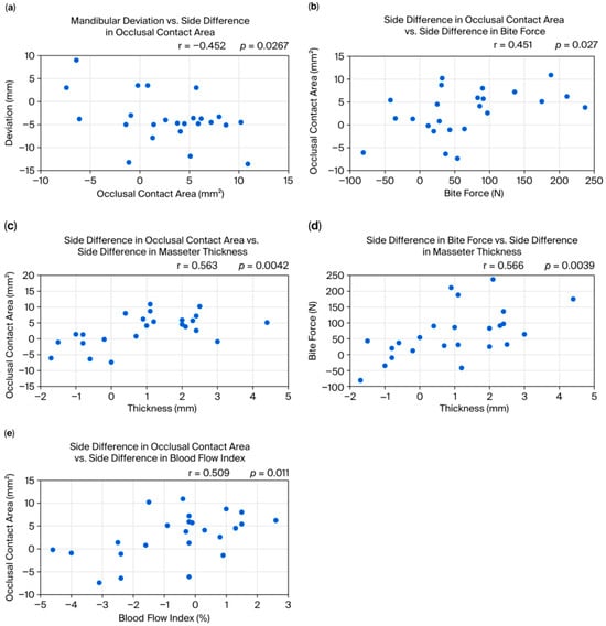
Mandibular asymmetry often requires orthognathic surgery, and postsurgical relapse remains a concern. The masseter muscle may influence stability, but most studies have emphasized volumetric rather than qualitative changes. This prospective study evaluated 24 patients with mandibular asymmetry using ultrasonography preoperatively and at 1, 3, and 6 months after surgery. The parameters measured were thickness, stiffness ratio, echo intensity, and blood flow. The results showed significant postoperative adaptations. Masseter echo intensity increased markedly at 1 month (p < 0.001), peaked at 3 months (p = 0.042), and decreased toward baseline at 6 months (p < 0.001). Blood flow increased significantly from T1 to T2 (p < 0.001). Bite force dropped transiently at 1 month (p < 0.001) but recovered by 6 months (p < 0.001). At baseline, BMI correlated with echo intensity (r = 0.724, p < 0.001) and grip strength correlated with bite force (r = 0.705, p < 0.001). The stiffness ratio difference (contraction–rest) correlated with bite force (right: r = 0.629; left: r = 0.690). Relapse occurred in 25% of patients and correlated only with preoperative deviation and not ultrasound indices. Conclusions: Ultrasonography revealed meaningful qualitative muscle changes during recovery, though these were not strong predictors of relapse. Ultrasound remains a reliable, noninvasive tool for monitoring postoperative adaptation. Full article
Show Figures

Figure 1

30 pages, 23274 KB  
Article
Unsteady Hydrodynamic Analysis and Experimental Methodology for Voith Schneider Propeller
by Wentao Liu, Zhihua Liu, Weixin Xue and Qian Chen
J. Mar. Sci. Eng. 2025, 13(10), 1933; https://doi.org/10.3390/jmse13101933 - 9 Oct 2025
Viewed by 228
Abstract
The Voith Schneider Propeller (VSP) operates with blades undergoing an approximately sinusoidal periodic motion along a circular path. Hydrodynamically, the continuous significant variation in the angle of attack between the blades and incoming flow, together with additional inertial effects caused by accelerated rotation, [...] Read more.
The Voith Schneider Propeller (VSP) operates with blades undergoing an approximately sinusoidal periodic motion along a circular path. Hydrodynamically, the continuous significant variation in the angle of attack between the blades and incoming flow, together with additional inertial effects caused by accelerated rotation, complicates the computation and measurement of hydrodynamic performance. To investigate the unsteady hydrodynamic behavior resulting from this coupled motion, a numerical model incorporating adaptive mesh refinement was developed to simulate VSP performance. Based on insights into the interaction between blade motion and hydrodynamics, an experimental platform was designed using servo motors to achieve precise synchronized blade control, enabling mutual validation between numerical simulations and transient hydrodynamic measurements. Results demonstrate that the coupled blade motion induces nonlinear variations in hydrodynamic forces. Rotational power loss limits VSP efficiency, and a negative thrust regime occurs at high advance coefficients. Rapid blade flipping leads to flow separation, identified as the primary cause of nonlinear lateral forces. The consistency between numerical and experimental results provides reliable data supporting theoretical studies. These findings offer valuable insights for optimizing motion control strategies in cycloidal propeller applications. Full article
(This article belongs to the Section Ocean Engineering)
Show Figures

Figure 1

26 pages, 5646 KB  
Article
Air–Water Dynamic Performance Analysis of a Cross-Medium Foldable-Wing Vehicle
by Jiaqi Cheng, Dazhi Huang, Hongkun He, Feifei Yang, Tiande Lv and Kun Chen
Fluids 2025, 10(10), 254; https://doi.org/10.3390/fluids10100254 - 27 Sep 2025
Viewed by 268
Abstract
Inspired by the free-flight capabilities of the gannet in both aerial and underwater environments, a foldable-wing air–water cross-medium vehicle was designed. To enhance its propulsive performance and transition stability across these two media, aero-hydrodynamic performance analyses were conducted under three representative operating states: [...] Read more.
Inspired by the free-flight capabilities of the gannet in both aerial and underwater environments, a foldable-wing air–water cross-medium vehicle was designed. To enhance its propulsive performance and transition stability across these two media, aero-hydrodynamic performance analyses were conducted under three representative operating states: aerial flight, underwater navigation, and water entry. Numerical simulations were performed in ANSYS Fluent (Version 2022R2) to quantify lift, drag, lift-to-drag ratio (L/D), and tri-axial moment responses in both air and water. The transient multiphase flow characteristics during water entry were captured using the Volume of Fluid (VOF) method. The results indicate that: (1) in the aerial state, the lift coefficient increases almost linearly with the angle of attack, and the L/D ratio peaks within the range of 4–6°; (2) in the folded (underwater) configuration, the fuselage still generates effective lift, with a maximum L/D ratio of approximately 2.67 at a 10° angle of attack; (3) transient water entry exhibits a characteristic two-stage force history (“initial impact” followed by “steady release”), with the peak vertical load increasing significantly with water entry angle and velocity. The maximum vertical force reaches 353.42 N under the 60°, 5 m/s condition, while the recommended compromise scheme of 60°, 3 m/s effectively reduces peak load and improves attitude stability. This study establishes a closed-loop analysis framework from biomimetic design to aero-hydrodynamic modeling and water entry analysis, providing the physical basis and parameter support for subsequent cross-medium attitude control, path planning, and intelligent control system development. Full article
Show Figures

Figure 1

16 pages, 12741 KB  
Article
Investigation of Waves’ Impact on Floating Objects Using Numerical Simulations and Experiments
by Erling Calvert Dolve, Saeed Bikass, Mariusz Domagala and Hassan Momeni
Energies 2025, 18(19), 5091; https://doi.org/10.3390/en18195091 - 25 Sep 2025
Viewed by 346
Abstract
Wave loads significantly influence offshore structure design; the structures must be strong enough to resist those loads. On the other hand, waves can be used as a renewable energy source if the loads are adequately exploited. The wave loads can be obtained by [...] Read more.
Wave loads significantly influence offshore structure design; the structures must be strong enough to resist those loads. On the other hand, waves can be used as a renewable energy source if the loads are adequately exploited. The wave loads can be obtained by experimental methods or simulations. However, experimental methods are costly and limited in shape, accuracy, and the details of the measurements. This study uses the CFD method to capture the interaction between waves and a partially submerged object. The simulations are performed by utilizing two-phase open-channel transient flow and Volume of Fluid (VOF) techniques. The simulations are performed for different wave scenarios, i.e., wave height and frequency. Simulation results are validated by experimental tests. The experiments are performed in a dedicated lab, which includes a water tank with a wave generator and a facility for measuring drag and lift forces. The study focuses on the study of wave loads on partially submerged objects. The CFD simulations show strong consistency with the experimental data. The results show load distribution over the floating objects that can be used to design proper structures for resisting or energy-harvesting wave loads. Full article
(This article belongs to the Special Issue CFD Simulation in Energy Engineering Research)
Show Figures

Figure 1

18 pages, 8295 KB  
Article
Evolution Mechanism of Flow Patterns and Pressure Fluctuations During Runaway Processes of Three Pump–Turbines with Different Blade Lean Angles
by Zhiyan Yang, Jie Fang, Baoyong Zhang, Chengjun Li, Tang Qian and Chunze Zhang
Water 2025, 17(18), 2784; https://doi.org/10.3390/w17182784 - 21 Sep 2025
Viewed by 510
Abstract
Pumped storage power stations are effective stabilizers and regulators of the power grids. However, during the transient process, especially the operating point entering the S-shaped region, the internal flow patterns and pressure pulsations in the pump–turbine unit change violently, seriously affecting the safety [...] Read more.
Pumped storage power stations are effective stabilizers and regulators of the power grids. However, during the transient process, especially the operating point entering the S-shaped region, the internal flow patterns and pressure pulsations in the pump–turbine unit change violently, seriously affecting the safety of the power stations, which requires enough optimizations in the design stage of the pump–turbine. In this paper, to explore the key factors which influence the evolutions of flow patterns and pressure pulsations during the runaway process, three pump–turbine runners with different inlet blade lean, including positive angle, no angle and negative angle, were selected to simulate by using the three-dimensional method. The results show that the changes in the inlet blade lean angles have significant effects on the variation periods and maximum values of the macro parameters during the runaway process, and especially the runner with no lean angle results in the smallest oscillation periods and pressure pulsations but enlarges the runner radial forces. In addition, backflows generate from the hub side under the cases with positive or no blade lean angle, while those occur from the shroud side due to the negative angle. The results provide a basic reference for the design of the pump–turbine. Full article
(This article belongs to the Section Hydraulics and Hydrodynamics)
Show Figures

Figure 1

26 pages, 4998 KB  
Article
Analysis of Radial Hydraulic Forces in Centrifugal Pump Operation via Hierarchical Clustering (HC) Algorithms
by Hehui Zhang, Kang Li, Ting Liu, Yichu Liu, Jianxin Hu, Qingsong Zuo and Liangxing Jiang
Appl. Sci. 2025, 15(18), 10251; https://doi.org/10.3390/app151810251 - 20 Sep 2025
Viewed by 482
Abstract
As critical industrial equipment, the operational stability of a centrifugal pump is profoundly affected by hydraulic radial forces acting on the impeller. However, existing research has limitations in systematically characterizing time-varying force patterns, elucidating the correlations between fluid–structure interaction (FSI) and vibration and [...] Read more.
As critical industrial equipment, the operational stability of a centrifugal pump is profoundly affected by hydraulic radial forces acting on the impeller. However, existing research has limitations in systematically characterizing time-varying force patterns, elucidating the correlations between fluid–structure interaction (FSI) and vibration and noise, and developing multi-operating condition analysis methodologies. This study focuses on a horizontal end-suction centrifugal pump, integrating computational fluid dynamics (CFD) simulations to develop a transient radial force dataset covering nine operating conditions ranging from 0.4 Qn to 1.2 Qn. Feature engineering was utilized to extract 23 time-frequency domain features. Through Pearson correlation analysis and agglomerative hierarchical clustering (AHC) algorithms, multi-operating condition classification patterns of hydraulic radial forces were unveiled. Key findings include: (1) the X/Y directional force components exhibit distinct anisotropic correlations with the flow rate; (2) hierarchical clustering based on cosine distance and average linkage divides operating conditions into low, medium, and high flow regimes; (3) feature redundancy elimination requires balancing statistical metrics with physical interpretability. This work proposes an unsupervised learning framework, offering a data-driven approach for the hydraulic optimization of centrifugal pumps and intelligent diagnostics, with engineering significance for improving equipment reliability and operational efficiency. Full article
Show Figures

Figure 1

20 pages, 4553 KB  
Article
Transient Pressure Response in Pipes Colonized by Golden Mussels (Limnoperna fortunei): An Experimental Study
by Afonso Gabriel Ferreira, Bruno Eustáquio Pires Ferreira, Tâmara Rita Costa de Souza, Adriano Silva Bastos, Edna Maria de Faria Viana and Carlos Barreira Martinez
Appl. Sci. 2025, 15(16), 8923; https://doi.org/10.3390/app15168923 - 13 Aug 2025
Viewed by 506
Abstract
Rapid pressure fluctuations—known as hydraulic transients—occur during valve operations or load changes in turbines and pumps. The presence of biofouling, particularly caused by the golden mussel (Limnoperna fortunei), can intensify these effects and compromise the structural integrity of pressurized systems. This [...] Read more.
Rapid pressure fluctuations—known as hydraulic transients—occur during valve operations or load changes in turbines and pumps. The presence of biofouling, particularly caused by the golden mussel (Limnoperna fortunei), can intensify these effects and compromise the structural integrity of pressurized systems. This study experimentally evaluated the influence of such biofouling on pressure peaks during transient events in forced conduits. A hydraulic test rig was developed using PVC pipes with nominal diameters of 2½”, 3”, and 4”, tested under both clean conditions and with simulated biofouling printed in 3D, replicating mussel morphology. Results showed that, under the same initial flow rates, pressure peaks in biofouled pipes were significantly higher than in clean ones, especially in smaller diameters. To mitigate structural risks, the downstream shut-off valve closure time was modulated using a needle valve, effectively reducing peak pressures to levels closer to design limits. It is concluded that L. fortunei colonization alters transient hydraulic behavior and should be considered in the design and operation of systems vulnerable to biofouling, particularly in critical infrastructure such as water supply networks and hydroelectric power plants. Full article
Show Figures

Figure 1

22 pages, 7542 KB  
Article
Flow-Induced Vibration Stability in Pilot-Operated Control Valves with Nonlinear Fluid–Structure Interaction Analysis
by Lingxia Yang, Shuxun Li and Jianjun Hou
Actuators 2025, 14(8), 372; https://doi.org/10.3390/act14080372 - 25 Jul 2025
Viewed by 492
Abstract
Control valves in nuclear systems operate under high-pressure differentials generating intense transient fluid forces that induce destructive structural vibrations, risking resonance and the valve stem fracture. In this study, computational fluid dynamics (CFD) was employed to characterize the internal flow dynamics of the [...] Read more.
Control valves in nuclear systems operate under high-pressure differentials generating intense transient fluid forces that induce destructive structural vibrations, risking resonance and the valve stem fracture. In this study, computational fluid dynamics (CFD) was employed to characterize the internal flow dynamics of the valve, supported by experiment validation of the fluid model. To account for nonlinear structural effects such as contact and damping, a coupled fluid–structure interaction approach incorporating nonlinear perturbation analysis was applied to evaluate the dynamic response of the valve core assembly under fluid excitation. The results indicate that flow separation, re-circulation, and vortex shedding within the throttling region are primary contributors to structural vibrations. A comparative analysis of stability coefficients, modal damping ratios, and logarithmic decrements under different valve openings revealed that the valve core assembly remains relatively stable overall. However, critical stability risks were identified in the lower-order modal frequency range at 50% and 70% openings. Notably, at a 70% opening, the first-order modal frequency of the valve core assembly closely aligns with the frequency of fluid excitation, indicating a potential for critical resonance. This research provides important insights for evaluating and enhancing the vibration stability and operational safety of control valves under complex flow conditions. Full article
(This article belongs to the Section Control Systems)
Show Figures

Figure 1

20 pages, 7276 KB  
Article
Research on the Heavy Gas Setting Method of Oil-Immersed Transformer Based on Oil Flow Acceleration Characteristics
by Yuangang Sun, Zhixiang Tong, Jian Mao, Junchao Wang, Shixian He, Tengbo Zhang and Shuting Wan
Energies 2025, 18(14), 3859; https://doi.org/10.3390/en18143859 - 20 Jul 2025
Viewed by 381
Abstract
As the key non-electric protection equipment of an oil-immersed transformer, the gas relay plays an important role in ensuring the safe operation of the transformer. To further enhance the sensitivity of gas relays for the heavy gas alarm, this paper takes the BF [...] Read more.
As the key non-electric protection equipment of an oil-immersed transformer, the gas relay plays an important role in ensuring the safe operation of the transformer. To further enhance the sensitivity of gas relays for the heavy gas alarm, this paper takes the BF type double float gas relay as the research object and proposes a new method for heavy gas setting, which is based on the internal oil flow acceleration characteristics of the gas relay. Firstly, the analytical derivation of the force acting on the gas relay baffle is carried out, and through theoretical analysis, the internal mechanism of heavy gas action under transient oil flow excitation is revealed. Then, the numerical simulation and experimental research on the variation of oil flow velocity and acceleration under different fault energies are carried out. The results show that with the increase of fault energy, the oil flow velocity fluctuates up and down during heavy gas action, but the oil flow acceleration shows a linear correlation. The oil flow acceleration can be set as the threshold of heavy gas action, and the severity of the fault can be judged. At the same time, the alarm time of the heavy gas setting method based on the oil flow acceleration characteristics is greatly shortened, which can reflect the internal fault of the transformer in time and significantly improve the sensitivity of the heavy gas alarm. Full article
Show Figures

Figure 1

29 pages, 4726 KB  
Article
Adaptive Pendulum-Tuned Mass Damper Based on Adjustable-Length Cable for Skyscraper Vibration Control
by Krzysztof Twardoch, Kacper Górski, Rafał Kwiatkowski, Kamil Jaśkielewicz and Bogumił Chiliński
Sustainability 2025, 17(14), 6301; https://doi.org/10.3390/su17146301 - 9 Jul 2025
Cited by 1 | Viewed by 1620
Abstract
The dynamic control of vibrations in skyscrapers is a critical consideration in sustainable building design, particularly in response to environmental excitations such as wind impact or seismic activity. Effective vibration neutralisation plays a crucial role in providing the safety of high-rise buildings. This [...] Read more.
The dynamic control of vibrations in skyscrapers is a critical consideration in sustainable building design, particularly in response to environmental excitations such as wind impact or seismic activity. Effective vibration neutralisation plays a crucial role in providing the safety of high-rise buildings. This research introduces an innovative concept for an active vibration damper that operates based on fluid dynamic transport to adaptively alter a skyscraper’s natural frequency, thereby counteracting resonant vibrations. A distinctive feature of this system is an adjustable-length cable mechanism, allowing for the dynamic modification of the pendulum’s effective length in real time. The structure, based on cable length adjustment, enables the PTMD to precisely tune its natural frequency to variable excitation conditions, thereby improving damping during transient or resonance phenomena of the building’s dynamic behaviour. A comprehensive mathematical model based on Lagrangian mechanics outlines the governing equations for this system, capturing the interactions between pendulum motion, fluid flow, and the damping forces necessary to maintain stability. Simulation analyses examine the role of initial excitation frequency and variable damping coefficients, revealing critical insights into optimal damper performance under varied structural conditions. The findings indicate that the proposed pendulum damper effectively mitigates resonance risks, paving the way for sustainable skyscraper design through enhanced structural adaptability and resilience. This adaptive PTMD, featuring an adjustable-length cable, provides a solution for creating safe and energy-efficient skyscraper designs, aligning with sustainable architectural practices and advancing future trends in vibration management technology. The study presented in this article supports the development of modern skyscraper design, with a focus on dynamic vibration control for sustainability and structural safety. It combines advanced numerical modelling, data-driven control algorithms, and experimental validation. From a sustainability perspective, the proposed PTMD system reduces the need for oversized structural components by providing adaptive, efficient damping, thereby lowering material consumption and embedded carbon. Through dynamically retuning structural stiffness and mass, the proposed PTMD enhances resilience and energy efficiency in skyscrapers, lowers lifetime energy use associated with passive damping devices, and enhances occupant comfort. This aligns with global sustainability objectives and new-generation building standards. Full article
Show Figures

Figure 1

20 pages, 1654 KB  
Article
Circulating Antimicrobial Peptides as Biomarkers of Inflammation and Airway Dysfunction After Marathon Running
by Marie-Therese Lingitz, Hannes Kühtreiber, Lisa Auer, Michael Mildner, Claus G. Krenn, Clemens Aigner, Bernhard Moser, Christine Bekos and Hendrik Jan Ankersmit
Biology 2025, 14(7), 825; https://doi.org/10.3390/biology14070825 - 7 Jul 2025
Viewed by 636
Abstract
Marathon running exerts physical stress and may lead to transient immune dysregulation, increasing susceptibility to airway inflammation and exercise-induced bronchoconstriction (EIB). This study investigated systemic levels of antimicrobial peptides in athletes and their association with EIB. Serum concentrations of angiogenin, human beta-defensin 2 [...] Read more.
Marathon running exerts physical stress and may lead to transient immune dysregulation, increasing susceptibility to airway inflammation and exercise-induced bronchoconstriction (EIB). This study investigated systemic levels of antimicrobial peptides in athletes and their association with EIB. Serum concentrations of angiogenin, human beta-defensin 2 (hBD-2), major basic protein (MBP), S100A8, and S100A8/A9 were measured in 34 marathoners and 36 half-marathoners at baseline, immediately after a race, and seven days postrace using enzyme-linked immunosorbent assays and compared with 30 sedentary controls. Lung function was assessed by spirometry to identify bronchoconstriction. Levels of hBD-2 and S100A8/A9 were significantly elevated postrace in runners compared to baseline and controls, returning to baseline during recovery. During recovery, S100A8 levels remained slightly elevated in marathoners with EIB. Similarly, human beta-defensin 2 was modestly increased in runners who developed bronchoconstriction. Notably, S100A8 levels correlated negatively with lung function parameters, including forced expiratory volume and mid-expiratory flows. These findings suggest that endurance running induces systemic inflammatory responses and modulates innate immune peptides, particularly in individuals prone to bronchoconstriction. These peptides may serve as biomarkers of respiratory stress and help guide personalized strategies in endurance sports. Full article
(This article belongs to the Section Biochemistry and Molecular Biology)
Show Figures

Figure 1

34 pages, 41240 KB  
Article
Mechanisms of Geometric Parameter Influence on Fast Transient Response Process of the Flow Path Under Inertial Forces
by Kang Zuo, Shuiting Ding, Peng Liu, Tian Qiu, Jiajun Wang, Zijun Li and Chuankai Liu
Appl. Sci. 2025, 15(13), 7320; https://doi.org/10.3390/app15137320 - 29 Jun 2025
Viewed by 314
Abstract
This study investigates the evolution of axial loads in the secondary air system following shaft failure in aeroengines. It addresses a significant gap in the existing literature regarding the effects of inertial forces within the cavity, as well as the unclear mechanisms by [...] Read more.
This study investigates the evolution of axial loads in the secondary air system following shaft failure in aeroengines. It addresses a significant gap in the existing literature regarding the effects of inertial forces within the cavity, as well as the unclear mechanisms by which the geometric parameters of the flow path influence these forces. A combined approach of three-dimensional simulation and experimental validation is utilized to propose a method for analyzing the evolution of axial loads during the fast transient response process, based on changes in the Cavity Inertial Force Dominant Zone (CIDZ). The research examines both single cavities and cavity–tube combination flow paths to explore the impact of inertial forces on the axial load response process and, subsequently, the influence of flow path geometric parameters on this response. The results demonstrate that inertial forces within the cavity and the geometric parameters of the flow path significantly affect the axial load response process by influencing the intensity, phase, and minor oscillation amplitude of the axial load response at various end faces within the cavity. The variation in a single geometric parameter in this study resulted in a maximum impact exceeding 500% on the differences in axial loads at different end faces within the cavity. The study offers theoretical support for the load response analysis of the secondary air system in the context of shaft failure, serving as a foundation for safety design related to this failure mode. Full article
(This article belongs to the Special Issue Advances in Fluid Mechanics Analysis)
Show Figures

Figure 1

21 pages, 13453 KB  
Article
Buoyant Flow and Thermal Analysis in a Nanofluid-Filled Cylindrical Porous Annulus with a Circular Baffle: A Computational and Machine Learning-Based Approach
by Pushpa Gowda, Sankar Mani, Ahmad Salah and Sebastian A. Altmeyer
Mathematics 2025, 13(12), 2027; https://doi.org/10.3390/math13122027 - 19 Jun 2025
Viewed by 1421
Abstract
Control of buoyancy-assisted convective flow and the associated thermal behavior of nanofluids in finite-sized conduits has become a great challenge for the design of many types of thermal equipment, particularly for heat exchangers. This investigation discusses the numerical simulation of the buoyancy-driven convection [...] Read more.
Control of buoyancy-assisted convective flow and the associated thermal behavior of nanofluids in finite-sized conduits has become a great challenge for the design of many types of thermal equipment, particularly for heat exchangers. This investigation discusses the numerical simulation of the buoyancy-driven convection (BDC) of a nanofluid (NF) in a differently heated cylindrical annular domain with an interior cylinder attached with a thin baffle. The annular region is filled with non-Darcy porous material saturated-nanofluid and both NF and the porous structure are in local thermal equilibrium (LTE). Higher thermal conditions are imposed along the interior cylinder as well as the baffle, while the exterior cylinder is maintained with lower or cold thermal conditions. The Darcy–Brinkman–Forchheimer model, which accounts for inertial, viscous, and non-linear drag forces was adopted to model the momentum equations. An implicit finite difference methodology by considering time-splitting methods for transient equations and relaxation-based techniques is chosen for the steady-state model equations. The impacts of various pertinent parameters, such as the Rayleigh and Darcy numbers, baffle dimensions, like length and position, on flow, thermal distributions, as well as thermal dissipation rates are systematically estimated through accurate numerical predictions. It was found that the baffle dimensions are very crucial parameters to effectively control the flow and associated thermal dissipation rates in the domain. In addition, machine learning techniques were adopted for the chosen analysis and an appropriate model developed to predict the outcome accurately among the different models considered. Full article
(This article belongs to the Special Issue Numerical Simulation and Methods in Computational Fluid Dynamics)
Show Figures

Figure 1

30 pages, 14479 KB  
Article
Exploring Dissipation Terms in the SPH Momentum Equation for Wave Breaking on a Vertical Pile
by Corrado Altomare, Yuzhu Pearl Li and Angelantonio Tafuni
J. Mar. Sci. Eng. 2025, 13(6), 1005; https://doi.org/10.3390/jmse13061005 - 22 May 2025
Cited by 1 | Viewed by 1051
Abstract
Accurate simulation of fluid flow around vertical cylinders is essential in numerous engineering applications, particularly in the design and assessment of offshore structures, bridge piers, and coastal defenses. This study employs the smoothed particle hydrodynamics (SPH) method to investigate the complex dynamics of [...] Read more.
Accurate simulation of fluid flow around vertical cylinders is essential in numerous engineering applications, particularly in the design and assessment of offshore structures, bridge piers, and coastal defenses. This study employs the smoothed particle hydrodynamics (SPH) method to investigate the complex dynamics of breaking waves impacting a vertical pile, a scenario marked by strong free-surface deformation, turbulence, and the wave–structure interaction. The mesh-free nature of SPH makes it especially suitable for capturing such highly nonlinear and transient hydrodynamic phenomena. The primary objective of the research is to evaluate the performance of different SPH dissipation schemes, namely artificial viscosity, laminar viscosity, and sub-particle scale (SPS) turbulence models, in reproducing key hydrodynamic features. Numerical results obtained with each scheme are systematically compared against experimental data to assess their relative accuracy and physical fidelity. Specifically, the laminar + SPS model reproduced the peak horizontal wave force within 5% of experimental values, while the artificial viscosity model overestimated the force by up to 25%. The predicted wave impact occurred at a non-dimensional time of t/T0.28, closely matching the experimental observation. Furthermore, force and elevation predictions with the laminar + SPS model remained consistent across three particle spacings (dp=0.05m,0.065m,0.076m), demonstrating good numerical convergence. This work provides critical insights into the suitability of SPH for modeling wave–structure interactions under breaking wave conditions and highlights the importance of proper dissipation modeling in achieving realistic simulations. The performance of the dissipation schemes remained robust across three tested particle spacings, confirming consistency in force and elevation predictions. Additionally, it underscores the sensitivity of SPH predictions to spatial resolution, highlighting the need for careful calibration to ensure robust and reliable outcomes. The study contributes to advancing SPH as a practical tool for engineering design and hazard assessment in coastal and offshore environments. Full article
Show Figures

Figure 1

22 pages, 7708 KB  
Article
Top and Side Leakage Effects on Thermoregulation and Moisture Retention with Facemask Wearing
by Kian Barari, Xiuhua Si, Rozhin Hajian and Jinxiang Xi
J. Respir. 2025, 5(2), 5; https://doi.org/10.3390/jor5020005 - 3 Apr 2025
Viewed by 1768
Abstract
Background/Objectives: Mask-wearing-induced discomfort often leads to unconscious loosening of the mask to relieve the discomfort, thereby compromising protective efficacy. This study investigated how leakage flows affect mask-associated thermoregulation and vapor trapping to inform better mask designs. An integrated ambience–mask–face–airway model with various mask-wearing [...] Read more.
Background/Objectives: Mask-wearing-induced discomfort often leads to unconscious loosening of the mask to relieve the discomfort, thereby compromising protective efficacy. This study investigated how leakage flows affect mask-associated thermoregulation and vapor trapping to inform better mask designs. An integrated ambience–mask–face–airway model with various mask-wearing misfits was developed. Methods: The transient warming/cooling effects, thermal buoyancy force, tissue heat generation, vapor phase change, and fluid/heat/mass transfer through a porous medium were considered in this model, which was validated using Schlieren imaging, a thermal camera, and velocity/temperature measurements. Leakages from the top and side of the mask were analyzed in comparison to a no-leak scenario under cyclic respiration conditions. Results: A significant inverse relationship was observed between mask leakage and facial temperature/humidity. An equivalent impact from buoyancy forces and exhalation flow inertia was observed both experimentally and numerically, indicating a delicate balance between natural convection and forced convection, which is sensitive to leakage flows and critical in thermo-humidity regulation. For a given gap, the leakage fraction was not constant within one breathing cycle but constantly increased during exhalation. Persistently higher temperatures were found in the nose region throughout the breathing cycle in a sealed mask and were mitigated during inhalation when gaps were present. Vapor condensation occurred within the mask medium during exhalation in all mask-wearing cases. Conclusions: The thermal and vapor temporal variation profiles were sensitive to the location of the gap, highlighting the feasibility of leveraging temperature and relative humidity to test mask fit and quantify leakage fraction. Full article
(This article belongs to the Collection Feature Papers in Journal of Respiration)
Show Figures

Figure 1

Back to TopTop