Sign in to use this feature.

Years

Between: -

Subjects

remove_circle_outline
remove_circle_outline
remove_circle_outline
remove_circle_outline
remove_circle_outline
remove_circle_outline
remove_circle_outline
remove_circle_outline
remove_circle_outline

Journals

remove_circle_outline
remove_circle_outline
remove_circle_outline
remove_circle_outline
remove_circle_outline
remove_circle_outline
remove_circle_outline
remove_circle_outline

Article Types

Countries / Regions

remove_circle_outline
remove_circle_outline
remove_circle_outline

Search Results (459)

Search Parameters:
Keywords = tracer test

Order results
Result details
Results per page
Select all
Export citation of selected articles as:
29 pages, 45971 KB  
Article
Dual-Tracer Imaging and Deep Learning for Real-Time Prediction of Lymph Node Metastasis in cN0 Papillary Thyroid Carcinoma
by Jing Zhou, Yuchen Zhuang, Qian Xiao, Shiying Yang, Zhuolin Dai, Chun Huang, Chang Deng, Lin Chun, Han Gao and Xinliang Su
Cancers 2026, 18(7), 1157; https://doi.org/10.3390/cancers18071157 - 3 Apr 2026
Viewed by 356
Abstract
Background: Occult lymph node metastasis (LNM) occurs in 30–80% of patients with clinically node-negative papillary thyroid carcinoma (cN0-PTC), partly owing to the limited sensitivity of current preoperative nodal assessment, and may contribute to postoperative recurrence. Conventional sentinel lymph node (SLN) biopsy, typically [...] Read more.
Background: Occult lymph node metastasis (LNM) occurs in 30–80% of patients with clinically node-negative papillary thyroid carcinoma (cN0-PTC), partly owing to the limited sensitivity of current preoperative nodal assessment, and may contribute to postoperative recurrence. Conventional sentinel lymph node (SLN) biopsy, typically performed with a single tracer, has limited reliability for detecting occult metastatic nodes, which can result in either overtreatment or undertreatment with lymph node dissection. We aimed to develop a highly accurate multimodal prediction framework to accurately identify second-echelon lymph node metastasis (SeLNM) and non-sentinel lymph node metastasis (NsLNM). Methods: We prospectively enrolled 301 patients with cN0-PTC between April and October 2024, of whom 131 met the inclusion criteria. Intraoperatively, a dual-tracer technique combining carbon nanoparticles and indocyanine green was applied, and near-infrared imaging was used to record the entire SLN visualization process in real time. For each case, a 3 min video clip (150 frames) was captured. Two senior surgeons delineated regions of interest to generate 19,650 mask images. A total of 2048 spatial features and 20 temporal features were extracted, combined with 32 clinical variables, including demographics, ultrasound characteristics, and gene mutation status. Nine deep learning models were developed and evaluated using 10-fold cross-validation. Model performance was quantified using receiver operating characteristic curves, decision curve analysis curves, calibration curves, precision–recall curves, learning curves, and 12 metrics. Statistical comparisons were performed using the DeLong test, and models were further evaluated using a probability-based ranking approach. Shapley Additive Explanations (SHAP) analysis was applied to interpret key predictive features. The primary outcomes were SeLNM and NsLNM, defined based on postoperative histopathology. Results: The Long Short-Term Memory (LSTM) + Transformer model showed the best performance for both prediction tasks, with stable AUCs across training and testing (SeLNM: 0.980/0.982; NsLNM: 0.986/0.983). In the testing set, the model reached the same accuracy for both outcomes (94.7%) and showed strong sensitivity/specificity for SeLNM (94.7%/94.6%) and NsLNM (96.4%/91.5%). SHAP analysis indicated that time-series fluorescence flow features were the most influential predictors, followed by spatial structural features and SLN status. Conclusions: Dual-tracer SLN mapping with deep learning demonstrated encouraging intraoperative prediction of lymph node metastasis with interpretable features in this single-center cohort. Independent multicenter validation and prospective outcome studies are needed before considering clinical adoption. Full article
(This article belongs to the Section Cancer Informatics and Big Data)
Show Figures

Figure 1

37 pages, 8695 KB  
Article
DIGIT: An In Situ Experiment for Studying the Diffusion of Water and Solutes Under Thermal Gradient in the Toarcian Clayrock at the Tournemire URL; Part 2—Lessons Learned After 20 Months of Heat
by Maïwenn Humbezi Desfeux, Jean-Michel Matray, Aurelie Noret, Uy Vo, Son T. Nguyen, Mamadou Fall, Julio Á. I. Sedano, Charles Wittebroodt and Manuel Marcoux
Minerals 2026, 16(4), 380; https://doi.org/10.3390/min16040380 - 3 Apr 2026
Viewed by 263
Abstract
The DIGIT experiment was launched at the Tournemire Underground Research Laboratory (URL) with the aim of determining the effects of temperature on the transfer of tracers mimicking the most mobile radionuclides in the Toarcian clay rock. The properties of this rock are similar [...] Read more.
The DIGIT experiment was launched at the Tournemire Underground Research Laboratory (URL) with the aim of determining the effects of temperature on the transfer of tracers mimicking the most mobile radionuclides in the Toarcian clay rock. The properties of this rock are similar to those of the host rocks being considered for a future deep geological repository for high-level radioactive waste (HLW). The experiment involves the monitoring of the interaction between a test water doped with stable halides and deuterium at constant concentration, and the porewater of the Toarcian clay rock under constant ambient conditions, as well as at higher temperature induced by artificial heating. This experiment seeks to partially address questions regarding the potential spread of contaminants during the thermal phase of HL waste packages. Specifically, the in situ experiment aims to evaluate the role of scale effects, thermodiffusion, a process that combines Fick’s law, the Soret effect, and convection in the transfer of radionuclides. This paper is the second part of a companion paper dedicated to predictive calculations and the installation of the experimental device. It presents the main experimental and modeling results obtained since the beginning of the installation and after 20 months of heat at 70 °C. The test was carried out in five phases, finishing with a sampling campaign: a phase 0 called “initial conditions”, followed by a pure diffusion phase (5 months), then three phases in a heated period lasting 1 year and 8 months. In total, 47 rock cores were analyzed, with approximately 170 samples tested by four diffusion methods (radial, outgoing, through and in vapor-phase) to determine the tracer concentrations in the porewater, their water content and their diffusive transport parameters. The results show a decrease in tracer concentrations with distance from the test zone, in the directions parallel and perpendicular to the stratification. The anisotropy of the medium results in greater migration in the direction parallel to the stratification. Thermal properties also confirm anisotropy with a higher thermal conductivity in the direction parallel to the stratification. Finally, an activation energy of 22.9 ± 1.7 kJ·mol−1 could be proposed by NMR for deuterium, indicating diffusion behavior following an Arrhenius law between 30 and 70 °C. The experimental data allowed for the calibration of a 2D axisymmetric numerical model using the commercial finite element software COMSOL Multiphysics®. The Fick’s law corrected by an Arrhenius law best reproduces the penetration of deuterium and anions. The Soret effect, integrated into certain scenarios, is only significant for anions’ migration, using a fitted Soret coefficient of 0.1 K−1, as proposed in the literature for the Callovo-Oxfordian, the host rock of the Cigéo project in the east of France. The calibration of the simulated data with the experimental data allowed for the characterization of damaged and/or disturbed zones evolving over time. Simulations over 150 years, the duration of the thermal maximum for HLW packages, show that advection—modeled by Darcy’s law—would have a negligible role in this context due to the low permeability of the upper Toarcian. In conclusion, the DIGIT test showed that, for the Upper Toarcian clay rocks at the Tournemire URL in France, diffusion, corrected for the effect of temperature, is the mechanism that characterizes the transport of radionuclide analogues. The study showed that thermodiffusion has a limited influence on deuterium migration but remains significant for anions in the case of a coupling between temperature correction and thermodiffusion. The test also highlighted the impact of temperature on the spatiotemporal development of a damaged and/or disturbed zone. These new and relevant results in the field will need to be confirmed later through additional experiments. Full article
Show Figures

Figure 1

16 pages, 3039 KB  
Article
A Preclinical Study of a PSMA Ligand-Based Dual-Modality Probe for Radical Prostatectomy
by Haoxi Zhou, Zhiqiang Chen, Long Yi, Baojun Wang, Shaoxi Niu, Yu Gao and Xu Zhang
Pharmaceuticals 2026, 19(4), 564; https://doi.org/10.3390/ph19040564 - 1 Apr 2026
Viewed by 374
Abstract
Purpose: Prostate-specific membrane antigen (PSMA) is a well-established molecular target in prostate cancer (PCa). Both radionuclide imaging and near-infrared fluorescence (NIRF) imaging offer high sensitivity for in vivo tumor detection. PSMA-targeted dual-modality probes integrating these two imaging techniques provide complementary preoperative and [...] Read more.
Purpose: Prostate-specific membrane antigen (PSMA) is a well-established molecular target in prostate cancer (PCa). Both radionuclide imaging and near-infrared fluorescence (NIRF) imaging offer high sensitivity for in vivo tumor detection. PSMA-targeted dual-modality probes integrating these two imaging techniques provide complementary preoperative and intraoperative tumor visualization, thereby improving surgical guidance in PCa. In this study, we aimed to develop a novel dual-labeled PSMA probe combining radioactive and fluorescent properties to achieve precise tumor delineation during radical prostatectomy (RP). Methods: A high-affinity PSMA-targeted fluorescent probe (PSMA-DF) was synthesized using solid-phase synthesis. Subsequent radiolabeling with the radionuclide [68Ga]Ga yielded the successful generation of a dual-modal PSMA-targeted molecular probe, namely [68Ga]Ga-PSMA-DF. The probe was systematically evaluated both in vitro and in vivo, and its safety profile was assessed through acute toxicity testing. Tumor-bearing nude mouse models were established using PSMA-positive 22Rv1 and PSMA-negative PC-3 PCa cell lines. Imaging performance, tumor-targeting specificity, and biodistribution of the probe were comprehensively evaluated using micro-PET imaging, in vivo fluorescence imaging, and biodistribution studies. Results: High-quality and high-purity PSMA-DF was successfully prepared, which exhibited excellent optical properties. Following radiolabeling with [68Ga]Ga, a dual-modality radionuclide-fluorescence probe ([68Ga]Ga-PSMA-DF) was successfully constructed. In vitro cellular uptake studies demonstrated that 22Rv1 cells had relatively high uptake of the probe, reaching 7.34 ± 0.55 IA%/106 cells at 120 min. In contrast, PC-3 cells and blocked 22Rv1 cells displayed minimal uptake, confirming the specific targeting ability of the probe. In vivo evaluations were conducted on tumor-bearing mice using micro-PET/CT and NIRF imaging. The results revealed that [68Ga]Ga-PSMA-DF achieved high specific tumor accumulation in 22Rv1 xenografts, with the peak tumor uptake (SUVmax = 1.748 ± 0.132) and tumor-to-muscle ratio (11.542 ± 1.511) observed at 120 min. Notably, high-contrast fluorescence imaging was also achieved at later time points, yielding a tumor-to-background ratio (TBR) of 6.559 ± 1.415 at 48 h. Notably, ex vivo biodistribution data were consistent with in vivo imaging findings. Conclusions: This preclinical study demonstrates that [68Ga]Ga-PSMA-DF exhibits high and specific uptake in PCa models, supporting its potential as a dual-modality tracer for both PET/CT imaging and real-time intraoperative fluorescence guidance during PCa surgery. Full article
(This article belongs to the Section Medicinal Chemistry)
Show Figures

Figure 1

20 pages, 3634 KB  
Article
A Monitoring Method for In-Flight Droplet Flow Rate Based on Laser Imaging
by Yue Zhong, Zhonghua Miao, Yanlei Liu, Chuangxin He, Yanlong Zhang, Fan Feng, Wei Zou, Changyuan Zhai and Zhichong Wang
Agronomy 2026, 16(7), 684; https://doi.org/10.3390/agronomy16070684 - 24 Mar 2026
Viewed by 245
Abstract
Efficient plant protection requires precise monitoring of spray droplets, yet current in situ methods for measuring in-flight droplet flow are limited. This study proposed a laser imaging-based method to quantify spray intensity without physical contact or tracers. An optimal imaging angle was determined [...] Read more.
Efficient plant protection requires precise monitoring of spray droplets, yet current in situ methods for measuring in-flight droplet flow are limited. This study proposed a laser imaging-based method to quantify spray intensity without physical contact or tracers. An optimal imaging angle was determined via simulation by maximizing the linearity between the received optical feature and droplet volume density while satisfying geometric constraints. A compact acquisition device was then developed and tested with eight nozzle specifications under fixed pressure. Image processing algorithms—including cropping, RGB channel separation, and binarization—were employed to extract pixel area and cumulative intensity, with gravimetric measurements serving as the reference. Results showed that under optimized exposure and gain settings, features from the green and blue channels exhibited a strong linear correlation with flow rate (R2 = 0.93–0.97). Based on these findings, this study demonstrates that in-flight droplet flow rate can be directly quantified from image features—a departure from conventional deposition-based approaches. The proposed method enables rapid, non-contact spray assessment using only a camera and laser module, offering a low-cost, simple-structured solution for spray system optimization and field monitoring. Full article
(This article belongs to the Special Issue Advances in Precision Pesticide Spraying Technology and Equipment)
Show Figures

Figure 1

18 pages, 1632 KB  
Article
Leuprolide Acetate Promotes Sensory Recovery and Modulates Dorsal Root Ganglion Responses After Sciatic Nerve Transection in Rats
by Irma Hernández-Jasso, Denisse Calderón-Vallejo, José Ávila-Mendoza, David Epardo, Jerusa E. Balderas-Márquez, Carlos Arámburo, J. Luis Quintanar and Carlos G. Martínez-Moreno
Brain Sci. 2026, 16(3), 332; https://doi.org/10.3390/brainsci16030332 - 20 Mar 2026
Viewed by 367
Abstract
Background/Objectives: Sciatic nerve injuries are among the most common classes of peripheral nerve harm and have a strong impact on quality of life, as well as a significant negative economic impact for patients, society, and governments, since they represent a frequent cause [...] Read more.
Background/Objectives: Sciatic nerve injuries are among the most common classes of peripheral nerve harm and have a strong impact on quality of life, as well as a significant negative economic impact for patients, society, and governments, since they represent a frequent cause of work-related disabilities and sick leave applications. Following nerve injury, neurons, Schwann, and satellite cells undergo marked changes in phenotype, metabolic activity, neuronal survival, nervous transmission, and an exacerbated activation of the inflammatory response. Leuprolide acetate (LA), a clinically available agonist of gonadotropin-releasing hormone (GnRH), has shown clear neurotrophic properties and is considered a novel potential candidate for treating neural injuries, including sciatic nerve pathologies. This study aimed to analyze the effect of LA treatment on sensory function and dorsal root ganglia (DRG) changes in a rat sciatic nerve full-transection (SNT) model. Methods: Variations in cold and heat sensitivity were assessed using the thermal plate test, while DRG tissue sections were examined for modifications in reactive gliosis by immunofluorescence analysis, and axonal transport using a retrograde tracer. Also, changes in the expression of pro-regenerative genes Stat3, Socs3, Fos, Jun, Atf4, and Limk1 were quantified by qPCR. Results: Our results showed that LA treatment exerted a distinct neurotrophic effect, since it promoted the specific recovery of cold sensitivity, improved axonal transport, regulated the inflammatory response, and modulated the exacerbated expression of pro-regenerative genes in the SNT model. Conclusions: These findings indicate that LA therapy may have the potential to improve sensory recovery in patients with sciatic nerve injuries. Full article
(This article belongs to the Section Molecular and Cellular Neuroscience)
Show Figures

Figure 1

29 pages, 1203 KB  
Article
Ba–Sr–V as Geogenic and Traffic Tracers in Paediatric Hair from Urban–Industrial Spain, with Co-Located Topsoil Vanadium
by Antonio Peña-Fernández, Roberto Valiente, Manuel Higueras, Rafael Moreno-Gómez-Toledano and M. Carmen Lobo-Bedmar
Toxics 2026, 14(3), 268; https://doi.org/10.3390/toxics14030268 - 19 Mar 2026
Viewed by 794
Abstract
Urban–industrial environments can generate mixed geogenic and traffic-related metal signatures in paediatric scalp hair, yet interpretation is challenged by left-censoring and limited health-based guidance values for hair. We quantified barium (Ba), strontium (Sr) and vanadium (V) in archived scalp hair collected in 2001 [...] Read more.
Urban–industrial environments can generate mixed geogenic and traffic-related metal signatures in paediatric scalp hair, yet interpretation is challenged by left-censoring and limited health-based guidance values for hair. We quantified barium (Ba), strontium (Sr) and vanadium (V) in archived scalp hair collected in 2001 from children (6–9 years, n = 120) and adolescents (13–16 years, n = 97) residing in Alcalá de Henares (central Spain). Samples were washed, digested and quantified by Inductively coupled plasma mass spectrometry (ICP–MS; laboratory processing in 2025); results below the limit of detection (LoD) were treated as left-censored using NADA2 (no substitution). In children, Ba and Sr were frequently quantifiable (medians 0.193 and 0.412 µg/g; 38.3% and 23.3% <LoD), whereas V was heavily censored (74.2% <LoD; median 0.003 µg/g). Adolescents showed higher Ba and Sr and broader upper tails (Ba median 0.287 µg/g, P95 2.061 µg/g; Sr median 1.105 µg/g, P95 4.995 µg/g), while V remained low (median 0.011 µg/g, P95 0.052 µg/g). Ba and Sr displayed strong spatial gradients across four residential zones in adolescents (censored-data Peto–Peto tests p < 1 × 10−8), but V did not (p = 0.162). Co-located residential topsoils were available only for V and showed limited between-zone contrast; soil–hair correspondence was weak overall but moderate in adolescent girls (Spearman ρ = 0.433). These findings provide a historical baseline and support a cautious tracer-oriented interpretation in which the observed Ba–Sr spatial patterning is consistent with heterogeneous contact with dust- and traffic-influenced surface materials, while V appears less discriminatory in low-contrast community settings. Full article
Show Figures

Figure 1

17 pages, 1910 KB  
Article
Molecular Lung Imaging Following Exposure to Radiation Predicts Long-Term Survival in Rats
by Anne V. Clough, Kathrina Mpala, Pardis Taheri, Laura Norwood Toro, Andreas M. Beyer, Tracy Gasperetti, Ming Zhao, Sarah Kerns, Heather A. Himburg and Said H. Audi
Int. J. Mol. Sci. 2026, 27(5), 2485; https://doi.org/10.3390/ijms27052485 - 8 Mar 2026
Viewed by 363
Abstract
Delayed effects of acute radiation exposure (DEARE), including radiation pneumonitis (lung-DEARE), develop weeks to months after radiation exposure. Pathway-targeted biomarkers that capture early oxidative stress and cell death could improve risk stratification and provide objective measures of mitigator efficacy. The objective was to [...] Read more.
Delayed effects of acute radiation exposure (DEARE), including radiation pneumonitis (lung-DEARE), develop weeks to months after radiation exposure. Pathway-targeted biomarkers that capture early oxidative stress and cell death could improve risk stratification and provide objective measures of mitigator efficacy. The objective was to test whether molecular lung imaging predicts long-term survival and mitigator response after irradiation. Rats received 13.5 Gy leg-out partial-body irradiation with a subset treated with the radiation-injury mitigator lisinopril. Rats underwent lung imaging at weeks 2 and 4 post-irradiation with 99mTc-duramycin (cell death) and 99mTc-HMPAO (oxidative stress). Plasma mitochondrial damage-associated molecular patterns (mtDAMPs) were also measured. Irradiation reduced survival with animals evidencing significant pleural effusion as an indication of radiation pneumonitis, which was mitigated with lisinopril as previously shown. Lung uptake of both imaging biomarkers increased in irradiated rats between weeks 2 and 4, consistent with worsening cell death and oxidative stress. Rats that succumbed by day 120 exhibited significantly larger increases in both biomarkers than the survivors. A predictive test was developed that predicted death by day 120 with ~70% sensitivity and specificity. Plasma mtDAMPs (ND1/2 and ATPase 6/8) increased following irradiation, and the D-loop increase from week 2 to 3 separated outcomes (increase in nonsurvivors versus decrease in survivors). Both imaging and mtDAMPs data from lisinopril-treated animals showed blunted responses. Early dual-tracer molecular lung imaging predicted long-term survival after radiation exposure and tracked mitigation with lisinopril. Circulating mtDAMPs may provide complementary systemic information to further strengthen early risk stratification after radiation exposure. Full article
(This article belongs to the Special Issue New Insight into Radiation Biology and Radiation Exposure)
Show Figures

Figure 1

17 pages, 5284 KB  
Article
Impact of Mixing-Driven Calcite Precipitation on Solute Transport: Laboratory Visualization and Tracer Test Analysis
by Guido González-Subiabre, Rodrigo Pérez-Illanes, Daniela Reales-Núñez, Maarten W. Saaltink, Michela Trabucchi and Daniel Fernàndez-Garcia
Water 2026, 18(5), 606; https://doi.org/10.3390/w18050606 - 3 Mar 2026
Viewed by 339
Abstract
Understanding the effects of mixing-driven precipitation on solute transport behavior is critical for reactive transport predictions, yet its complexity, arising from the interplay of flow dynamics, solute transport, and geochemical reactions, remains a significant challenge. In particular, mineral precipitation modifies the hydraulic properties [...] Read more.
Understanding the effects of mixing-driven precipitation on solute transport behavior is critical for reactive transport predictions, yet its complexity, arising from the interplay of flow dynamics, solute transport, and geochemical reactions, remains a significant challenge. In particular, mineral precipitation modifies the hydraulic properties of porous media. The impact of this process on the solute transport behavior remains largely unexplored and is crucial for accurate reactive transport predictions. This study presents a controlled laboratory investigation of mixing-driven calcite precipitation (MDP) in an intermediate-scale Hele-Shaw cell, simulating a coarse-sand porous medium. The experiment allowed for direct visualization of the spatiotemporal evolution of precipitation while continuously monitoring hydraulic properties. Self-organized heterogeneities in the precipitate structure were observed, with calcite layers forming symmetric patterns aligned with the main flow, contrasting with the asymmetry predicted by a semi-analytical model under idealized conditions. Tracer tests conducted before and after precipitation demonstrated significant impacts on solute transport, including the emergence of strong anomalous transport features, such as earlier solute arrival, a distinct double peak, and pronounced tailing. These findings highlight the critical role of precipitation-induced heterogeneities in shaping transport behavior, emphasizing the need to integrate these dynamics into reactive transport models for improved predictive accuracy. Full article
(This article belongs to the Section Hydrogeology)
Show Figures

Figure 1

21 pages, 4034 KB  
Article
Developability Evaluation of Single-Domain Antibody-Chelator Conjugates for Diagnostic Radiotracers
by Philipp D. Kaiser, Simon Straß, Sandra Maier, Evgenia Herbold, Bjoern Traenkle and Anne Zeck
Antibodies 2026, 15(2), 22; https://doi.org/10.3390/antib15020022 - 3 Mar 2026
Viewed by 677
Abstract
Background/Objectives: Developability assessment is a critical step in advancing antibody-based molecules toward clinical application. This evaluation typically begins during clinical candidate selection and continues throughout all modifications of the molecule during development. It is guided by the target product profile, which includes [...] Read more.
Background/Objectives: Developability assessment is a critical step in advancing antibody-based molecules toward clinical application. This evaluation typically begins during clinical candidate selection and continues throughout all modifications of the molecule during development. It is guided by the target product profile, which includes the intended administration route and regimen, formulation parameters, and process conditions encountered during manufacturing, storage, and delivery. While developability testing is well established for conventional therapeutic antibodies, strategies for assessing single-domain antibodies (sdAbs) and their conjugates remain underexplored. Here, we present a strategy to test the developability of sdAbs as a case study for two clinical candidates intended as precursors for the production of diagnostic tracers for clinical imaging. Methods: Assays were developed to evaluate chemical and thermodynamic stability, target binding affinity and capacity, and chelation efficiency (“chelatability”). Accelerated stability studies were conducted for both unconjugated sdAbs and their chelator conjugated forms following incubation at two pH conditions, at multiple time points, and after twelve freeze–thaw cycles to simulate process conditions and long-term storage. Analytical assays were applied stepwise in a hierarchical approach to minimize experimental effort and material consumption. Candidates exhibiting critical developability features were selectively addressed by assays with increasing precision. Results: A tailored panel of analytical assays optimized for low molecular weight proteins was established and applied to the two clinical candidates, identifying instability hotspots as well as potential mitigation strategies. Successful engineering of a candidate with an initially critical developability profile was achieved. Conclusions: This study demonstrates the implementation of a structured developability assessment strategy for sdAb conjugates. The approach integrates physicochemical and functional stability evaluations, supporting robust candidate selection, formulation development, and method optimization for this class of molecules. Full article
Show Figures

Graphical abstract

11 pages, 274 KB  
Article
Why People Share (Or Don’t): Race/Ethnicity and Contextual Correlates of Willingness to Disclose Contact Information During the COVID-19 Pandemic in Rural North Carolina
by Leah J. Floyd, Irene Doherty, Tanisha Burford and Deepak Kumar
Int. J. Environ. Res. Public Health 2026, 23(2), 267; https://doi.org/10.3390/ijerph23020267 - 20 Feb 2026
Viewed by 593
Abstract
For historically marginalized groups and residents of low-resource rural communities, contact tracing is a critical tool for controlling the spread of communicable diseases. To improve its effectiveness, more research on identifying factors that influence an individual’s willingness to comply with contact tracers is [...] Read more.
For historically marginalized groups and residents of low-resource rural communities, contact tracing is a critical tool for controlling the spread of communicable diseases. To improve its effectiveness, more research on identifying factors that influence an individual’s willingness to comply with contact tracers is needed. Therefore, we examined the association of race/ethnicity, contextual factors, and willingness to engage in contact tracing during the COVID-19 pandemic. The sample included 337 adults (56% Black/African American and 66% female). Approximately 80% of the participants indicated they would disclose the names of contacts. The results from the multivariate logistic regression analyses indicated lack of access to COVID-19 testing sites (aOR = 2.20; 95% CI = 1.08–4.48) and trust in health care providers (aOR = 7.57; 95% CI = 3.82–14.88) were significantly associated with willingness to share information with contact tracers. Race did not moderate the relationship between trust and engaging with contact tracers. The results suggest contact tracing is a viable strategy for mitigating disease transmission in rural communities, particularly when trust in health care providers is high and access to testing is limited, regardless of race. Public health officials should invest in maintaining contact tracing teams that include medical providers and prioritize building trusting relationships with all community members. Full article
17 pages, 6877 KB  
Systematic Review
Diagnostic Efficacy of FAPI-PET/CT Versus [18F]FDG-PET/CT in Upper-Abdominal Malignancies: A Systematic Review and Meta-Analysis
by Hao Huang, Betül Altunay, Laura Schäfer, Christian Boy, Dirk von Mallek, Felix M. Mottaghy and Susanne Lütje
Diagnostics 2026, 16(4), 520; https://doi.org/10.3390/diagnostics16040520 - 9 Feb 2026
Viewed by 793
Abstract
Background: Radiolabeled fibroblast activation protein inhibitors (FAPIs) have emerged as novel radiopharmaceutical agents for tumor diagnosis. Compared with [18F]fluoro-2-deoxy-D-glucose ([18F]FDG), which reflects glucose uptake in metabolically active regions, FAPIs mainly bind to the fibroblast activation protein (FAP), which [...] Read more.
Background: Radiolabeled fibroblast activation protein inhibitors (FAPIs) have emerged as novel radiopharmaceutical agents for tumor diagnosis. Compared with [18F]fluoro-2-deoxy-D-glucose ([18F]FDG), which reflects glucose uptake in metabolically active regions, FAPIs mainly bind to the fibroblast activation protein (FAP), which is highly expressed in tumor-associated fibroblasts, forming a pronounced signal. Several studies suggested potential superiority of FAPI tracers above [18F]FDG-based imaging in a variety of tumor entities. In this systematic review, we focus on the comparison of FAPI-PET/CT and [18F]FDG-PET/CT in upper-abdominal tumors. Methods: Original research published from 1 January 2021 to 22 December 2024 was collected from the PubMed and Web of Science databases (CRD42025648267). This research included only clinical studies, excluding conference abstracts and case reports. The risk of bias was assessed with the QUADAS-2 tool, and all evaluation steps performed independently by three independent reviewers. A systematic quality assessment of the included studies was conducted based on the imaging performance of FAPI-PET/CT and [18F]FDG-PET/CT for pancreatic, liver, and gastric cancers. The meta-analysis used relative risk (RR) as the effect size, with bias assessed via the Peters test (p-value > 0.05). Cochran’s Q test and I-squared value are used to comprehensively evaluate the magnitude of heterogeneity. Analyses and data visualization were performed in R language. Results: The database search identified 3272 articles. After screening, 31 studies were included in this analysis. The original studies enrolled 1377 participants (M/F: 850/527; ages predominantly between 50 and 70). Of these, 939 patients were ultimately diagnosed with tumors (five cancer subtypes) and included in this analysis. Meta-analysis results showed that FAPI-PET/CT significantly surpassed [18F]FDG-PET/CT in the detection of primary lesions (RRs = 1.20 and 1.17), lymph nodes (RRs = 1.18 and 1.24), distant metastases (RRs = 1.22 and 1.51), peritoneal metastases (RRs = 1.31 and 2.22), and bone metastases (RRs = 1.16 and 1.23). The two imaging methods exhibit clear differences in diagnostic performance (sensitivity: 98% vs. 79%; specificity: 83% vs. 87%), and FAPI-PET/CT demonstrates high and stable diagnostic performance (RRs = 1.20 and 1.17). Conclusions: Compared with [18F]FDG-PET/CT, FAPI-PET/CT demonstrates significant advantages in detecting primary lesions, lymph nodes, distant metastases, and peritoneal and bone metastases in pancreatic, liver, and gastric cancers (RR > 1.0). Overall, FAPI-PET/CT shows better diagnostic performance (RR > 1.0). Full article
(This article belongs to the Section Medical Imaging and Theranostics)
Show Figures

Figure 1

24 pages, 577 KB  
Article
Quality-by-Design Compounding of Semisolids Using an Electronic Mortar and Pestle Device for Compounding Pharmacies: Uniformity, Stability, and Cleaning
by Hudson Polonini, Carolina Schettino Kegele, Savvas Koulouridas and Marcone Augusto Leal de Oliveira
Pharmaceutics 2026, 18(2), 205; https://doi.org/10.3390/pharmaceutics18020205 - 4 Feb 2026
Viewed by 860
Abstract
Background/Objectives: Manual preparation of semisolid formulations (creams, ointments, gels) is prone to variability in mixing energy and time, which may compromise uniform API distribution. This study aimed to evaluate an Electronic Mortar and Pestle (EMP; Unguator™) as a standardized compounding tool, with [...] Read more.
Background/Objectives: Manual preparation of semisolid formulations (creams, ointments, gels) is prone to variability in mixing energy and time, which may compromise uniform API distribution. This study aimed to evaluate an Electronic Mortar and Pestle (EMP; Unguator™) as a standardized compounding tool, with objectives to: (i) validate stability-indicating UHPLC methods; (ii) assess content uniformity across jar strata; (iii) quantify the impact of mixing time and rotation speed via design of experiments (DOE); and (iv) verify cleaning effectiveness and cross-contamination risk. Methods: Five representative formulations were compounded: urea 40%, clobetasol 0.05%, diclofenac 2.5% in hyaluronic acid 3% gel, urea 10% + salicylic acid 1%, and hydroquinone 5%. UHPLC methods were validated per ICH Q2(R2) and stress-tested under acid, base, oxidative, thermal, and UV conditions. Homogeneity was assessed by stratified sampling (top/middle/bottom). A 32 factorial DOE (time: 2/6/10 min; speed: 600/1500/2400 rpm) modeled effects on % label claim and RSD. Cleaning validation employed hydroquinone as a tracer, with swab sampling pre-/post-use and post-sanitization analyzed by HPLC. Results: All UHPLC methods met specificity, linearity, precision, accuracy, and sensitivity criteria and were stability-indicating (Rs ≥ 1.5). Formulations achieved 90–110% label claim with strata CV ≤ 5%. DOE revealed speed as the dominant factor for clobetasol, urea, and diclofenac, while time was more influential for salicylic acid; gels exhibited curvature, indicating diminishing returns at high rpm. Model-predicted optima were implementable on the Unguator™ with minor rounding of rpm/time. Cleaning validation confirmed post-sanitization residues below LOQ and <10 ppm acceptance. Conclusions: The Unguator™ provides a practical, parameter-controlled route for compounding pharmacies to standardize semisolid preparations, achieving reproducible layer-to-layer content uniformity within predefined criteria under the evaluated conditions through programmable set-points and validated cycles. DOE-derived rpm–time relationships define an operational design space within the studied ranges and support selection of implementable device settings and set-points. Importantly, the DOE-derived “optima” in this study are optimized for assay-based content uniformity (mean % label claim and strata variability). Cleaning validation supports a closed, low-cross-contamination workflow, facilitating consistent routines for both routine and complex formulations. Overall, the work implements selected QbD elements (QTPP—Quality Target Product Profile; CQA—Critical Quality Attribute definition; CPP—Critical Process Parameter identification; operational design space; and a proposed control strategy) and should be viewed as a step toward broader lifecycle QbD implementation in compounding. Full article
Show Figures

Graphical abstract

21 pages, 2527 KB  
Article
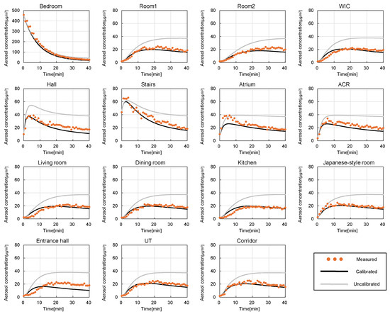
Relative Evaluation Approach for Cross-Room Exposure in a Detached House Using a Measurement-Informed Multizone Model
by Akihiro Katsuki, Koki Kikuta, Yu Tanaka, Masato Iguchi and Motoya Hayashi
Buildings 2026, 16(3), 583; https://doi.org/10.3390/buildings16030583 - 30 Jan 2026
Viewed by 375
Abstract
Household airborne transmission can be promoted when infectious and susceptible occupants share indoor air for long periods, yet practical infection-risk models often require pathogen-specific parameters that are uncertain. This study proposes a measurement-informed multizone/HVAC-network workflow that identifies inter-room airflow rates (q) [...] Read more.
Household airborne transmission can be promoted when infectious and susceptible occupants share indoor air for long periods, yet practical infection-risk models often require pathogen-specific parameters that are uncertain. This study proposes a measurement-informed multizone/HVAC-network workflow that identifies inter-room airflow rates (q) from CO2 tracer time series and estimates an effective first-order non-ventilation aerosol loss rate (λ) by fitting PM2.5 concentration decay dynamics; the identified parameters are then reused within the same whole-house recirculating network model (vtsim) to compute a steady-state exhaled-air tracer concentration index for scenario comparison. The workflow is demonstrated in a high-insulation, airtight detached house equipped with a duct-type whole-house air-conditioning system with return-air recirculation. The results indicate measurable cross-room dispersion under baseline operation and show that a return-side filtration scenario reduces the steady-state index in non-source rooms relative to baseline under the tested operating assumptions. These findings illustrate how measurement-informed identification can support rapid, threshold-free relative comparison of ventilation/HVAC operation or mitigation scenarios within a specific house, rather than estimating absolute infection probability. Limitations include potential non-uniqueness in inverse identification, simplified treatment of leakage and pressure-drop-induced airflow changes, and the use of a steady-state index for inherently transient residential exposures; further validation across additional houses and HVAC topologies is warranted. Full article
(This article belongs to the Section Building Energy, Physics, Environment, and Systems)
Show Figures

Figure 1

16 pages, 6944 KB  
Article
Water Shutoff with Polymer Gels in a High-Temperature Gas Reservoir in China: A Success Story
by Tao Song, Hongjun Wu, Pingde Liu, Junyi Wu, Chunlei Wang, Hualing Zhang, Song Zhang, Mantian Li, Junlei Wang, Bin Ding, Weidong Liu, Jianyun Peng, Yingting Zhu and Falin Wei
Energies 2025, 18(24), 6554; https://doi.org/10.3390/en18246554 - 15 Dec 2025
Viewed by 617
Abstract
Gel treatments have been widely applied to control water production in oil and gas reservoirs. However, for water shutoff in dense gas reservoirs, most gel-based treatments focus on individual wells rather than the entire reservoir, exhibiting limited treatment depth, poor durability, and inadequate [...] Read more.
Gel treatments have been widely applied to control water production in oil and gas reservoirs. However, for water shutoff in dense gas reservoirs, most gel-based treatments focus on individual wells rather than the entire reservoir, exhibiting limited treatment depth, poor durability, and inadequate repeatability Notably, formation damage is a primary consideration in treatment design—most dense gas reservoirs have a permeability of less than 1 mD, making them highly susceptible to damage by formation water, let alone viscous polymer gels. Constrained by well completion methods, gelant can only be bullheaded into deep gas wells in most scenarios. Due to the poor gas/water selective plugging capability of conventional gels, the injected gelant tends to enter both gas and water zones, simultaneously plugging fluid flow in both. Although several techniques have been developed to re-establish gas flow paths post-treatment, treating gas-producing zones remains risky when no effective barrier exists between water and gas strata. Additionally, most water/gas selective plugging materials lack sufficient thermal stability under high-temperature and high-salinity (HTHS) gas reservoir conditions, and their injectivity and field feasibility still require further optimization. To address these challenges, treatment design should be optimized using non-selective gel materials, shifting the focus from directly preventing formation water invasion into individual wells to mitigating or slowing water invasion across the entire gas reservoir. This approach can be achieved by placing large-volume gels along major water flow paths via fully watered-out wells located at structurally lower positions. Furthermore, the drainage capacity of these wells can be preserved by displacing the gel slug to the far-wellbore region, thereby dissipating water-driven energy. This study evaluates the viability of placing gels in fully watered-out wells at structurally lower positions in an edge-water drive gas reservoir to slow water invasion into structurally higher production wells interconnected via numerous microfractures and high-permeability streaks. The gel system primarily comprises polyethyleneimine (PEI), a terpolymer, and nanofibers. Key properties of the gel system are as follows: Static gelation time: 6 h; Elastic modulus of fully crosslinked gel: 8.6 Pa; Thermal stability: Stable in formation water at 130 °C for over 3 months; Injectivity: Easily placed in a 219 mD rock matrix with an injection pressure gradient of 0.8 MPa/m at an injection rate of 1 mL/min; and Plugging performance: Excellent sealing effect on microfractures, with a water breakthrough pressure gradient of 2.25 MPa/m in 0.1 mm fractures. During field implementation, cyclic gelant injections combined with over-displacement techniques were employed to push the gel slug deep into the reservoir while maintaining well drainage capacity. The total volumes of injected fluid and gelant were 2865 m3 and 1400 m3, respectively. Production data and tracer test results from adjacent wells confirmed that the water invasion rate was successfully reduced from 59 m/d to 35 m/d. The pilot test results validate that placing gels in fully watered-out wells at structurally lower positions is a viable strategy to protect the production of gas wells at structurally higher positions. Full article
(This article belongs to the Special Issue New Advances in Oil, Gas and Geothermal Reservoirs—3rd Edition)
Show Figures

Figure 1

14 pages, 1574 KB  
Article
Accurate Construction of a Transient Groundwater Flow Model for a Near-Surface Disposal Site
by Weizhe Cui, Jie Wang, Haifeng Liu, Yuchen Wang, Jingli Shao and Qiulan Zhang
Appl. Sci. 2025, 15(24), 12905; https://doi.org/10.3390/app152412905 - 7 Dec 2025
Viewed by 428
Abstract
Numerical simulation of groundwater level dynamics plays a crucial role in the safety assessment of near-surface radioactive waste disposal facilities. Such disposal sites are typically located in regions characterized by extensive bedrock outcrops. However, accurately characterizing the permeability of fractured media is challenging, [...] Read more.
Numerical simulation of groundwater level dynamics plays a crucial role in the safety assessment of near-surface radioactive waste disposal facilities. Such disposal sites are typically located in regions characterized by extensive bedrock outcrops. However, accurately characterizing the permeability of fractured media is challenging, and the scarcity of groundwater level data poses significant difficulties for constructing reliable numerical models. This study focuses on a near-surface disposal site in northwestern China. By integrating field packer tests with hydraulic conductivity tensors computed from borehole televiewer data, we quantitatively evaluated the permeability of fractured rocks of different lithologies to provide accurate parameters for numerical modeling. The constructed groundwater flow model was further calibrated and validated using long-term groundwater level monitoring data and field tracer-based groundwater flow direction tests, ensuring high model reliability. Using the calibrated model, groundwater level variations were simulated under various rainfall and pumping scenarios. The results show that pumping intensity in the downstream farmland area exerts a limited influence on groundwater levels beneath the disposal site, while rainfall intensity plays a dominant role. Under the heavy rainfall scenario, the groundwater level at the disposal site rises by approximately 5.2 m after 50 years, leaving a 6 m gap above the base of the disposal unit. Under prolonged heavy rainfall conditions, implementing drainage measures may be necessary to ensure the repository’s long-term safety. Full article
(This article belongs to the Special Issue Hydrogeology and Regional Groundwater Flow)
Show Figures

Figure 1

Back to TopTop