Sign in to use this feature.

Years

Between: -

Subjects

remove_circle_outline
remove_circle_outline
remove_circle_outline
remove_circle_outline
remove_circle_outline
remove_circle_outline
remove_circle_outline
remove_circle_outline

Journals

Article Types

Countries / Regions

remove_circle_outline
remove_circle_outline
remove_circle_outline
remove_circle_outline

Search Results (688)

Search Parameters:
Keywords = torque ripple

Order results
Result details
Results per page
Select all
Export citation of selected articles as:
27 pages, 8741 KB  
Article
Performance Enhancement of an Outer Rotor Brushless DC Scooter Motor Through Stator Optimization
by Berk Demirsoy and Mucahit Soyaslan
Electronics 2026, 15(7), 1478; https://doi.org/10.3390/electronics15071478 - 1 Apr 2026
Viewed by 213
Abstract
This study presents a stator-focused electromagnetic optimization of a 350 W, 27-slot, 30-pole outer-rotor brushless direct current (BLDC) motor developed for electric scooter applications. Unlike conventional redesign approaches that modify rotor topology or overall motor dimensions, the proposed methodology preserves the rotor structure [...] Read more.
This study presents a stator-focused electromagnetic optimization of a 350 W, 27-slot, 30-pole outer-rotor brushless direct current (BLDC) motor developed for electric scooter applications. Unlike conventional redesign approaches that modify rotor topology or overall motor dimensions, the proposed methodology preserves the rotor structure and external geometry of a commercially validated reference motor and improves performance primarily through targeted stator geometric refinement, with minor adjustments in the winding configuration. A two-stage optimization strategy combining parametric analysis and genetic algorithm (GA)-based multi-objective optimization is implemented to minimize cogging torque and torque ripple while maximizing efficiency. Finite element analyses (FEA) were conducted to evaluate back electromotive force (back-EMF) characteristics, magnetic flux density distribution, torque behavior, and current density. Experimental validation confirms a 54.86% reduction in cogging torque (from 257 mNm to 116 mNm), a 19.6% decrease in torque ripple, a 6.17% reduction in maximum current density, and a 2–3% improvement in efficiency within the nominal load range (5.2–6.45 Nm), reaching 85.69% efficiency at 350 W output power. The results demonstrate that systematic stator geometry optimization, supported by minor winding modifications, can significantly enhance efficiency, torque smoothness, and thermal margin without increasing motor size, rated power, or manufacturing complexity. This work provides a practical and manufacturable design pathway for high-performance outer rotor BLDC motors in light electric vehicle (LEV) propulsion systems. Full article
Show Figures

Figure 1

23 pages, 11851 KB  
Article
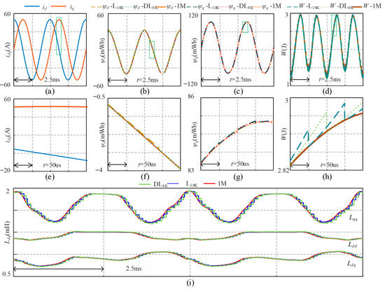
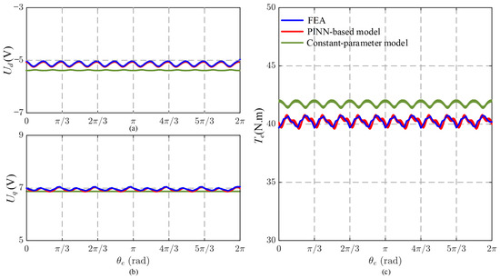
Modeling and Simulation of a PINN-Based Nonlinear Motor Drive System
by Yi Li and Xinjian Wang
Appl. Sci. 2026, 16(7), 3426; https://doi.org/10.3390/app16073426 - 1 Apr 2026
Viewed by 167
Abstract
To address the insufficient accuracy of conventional permanent magnet synchronous motor (PMSM) models caused by neglecting magnetic saturation nonlinearity and periodic parameter disturbances, a nonlinear motor system model integrating a Physics-Informed Neural Network (PINN) is developed. By exploiting the differential relationships among incremental [...] Read more.
To address the insufficient accuracy of conventional permanent magnet synchronous motor (PMSM) models caused by neglecting magnetic saturation nonlinearity and periodic parameter disturbances, a nonlinear motor system model integrating a Physics-Informed Neural Network (PINN) is developed. By exploiting the differential relationships among incremental inductance, flux linkage, and magnetic energy, the voltage and torque equations considering rotor position variation are derived, and analytical expressions for the derivatives of incremental inductances are obtained. To reduce the computational burden of PINN in system-level simulations, linear and nonlinear approximation strategies based on incremental inductances and their derivatives are proposed, which significantly reduce the frequency of PINN calls while maintaining model accuracy. CPU/GPU collaborative computation and cross-frequency-domain scheduling are further implemented to improve simulation efficiency. Considering the influence of the test bench mechanical dynamics, an electromechanical–magnetic coupled simulation model is established. The accuracy of the proposed nonlinear motor model is validated through two-phase short-circuit tests as well as simulations and test bench experiments under sinusoidal and non-sinusoidal excitations. The results demonstrate that the proposed model accurately captures the nonlinear electromagnetic characteristics of PMSMs while significantly improving system simulation efficiency. Full article
(This article belongs to the Section Electrical, Electronics and Communications Engineering)
Show Figures

Figure 1

16 pages, 6831 KB  
Article
Data-Driven Optimization of Electromagnetic–Mechanical Coupling of Permanent Magnet Topology for Vibration Suppression in PMDC Motors
by Kai Ren, Ziyang Tian, Zilong Zhuang, Yujing Xu, Haiyang Sun and Min Dong
Machines 2026, 14(4), 389; https://doi.org/10.3390/machines14040389 - 1 Apr 2026
Viewed by 224
Abstract
This study proposes a vibration reduction strategy for a 12-slot, two-pole permanent magnet brushed DC (PMDC) motor used in automotive blower systems. A multi-parameter optimization framework combining finite element analysis and experimental validation is developed to address cogging torque, a critical source of [...] Read more.
This study proposes a vibration reduction strategy for a 12-slot, two-pole permanent magnet brushed DC (PMDC) motor used in automotive blower systems. A multi-parameter optimization framework combining finite element analysis and experimental validation is developed to address cogging torque, a critical source of electromagnetic vibration and acoustic noise. The influence of pole arc coefficient and permanent magnet eccentricity on cogging torque is systematically investigated using response surface methodology, identifying an optimal design with significantly reduced torque ripple and vibration. Furthermore, a machine learning model based on the random forest algorithm is introduced to predict cogging torque, air gap magnetic flux density, and output torque, achieving high accuracy and strong generalizability. The results confirm that the optimized motor structure suppresses resonance-induced noise near 7500 Hz, improving overall motor stability and acoustic performance. The proposed data-driven design approach offers a reliable and efficient pathway for vibration optimization in low-cost automotive PMDC motors. Full article
(This article belongs to the Section Electrical Machines and Drives)
Show Figures

Figure 1

29 pages, 2771 KB  
Review
Multiphysics Modeling and Simulation of NVH Phenomena in Electric Vehicle Powertrains
by Krisztian Horvath
World Electr. Veh. J. 2026, 17(4), 183; https://doi.org/10.3390/wevj17040183 - 1 Apr 2026
Viewed by 316
Abstract
The rapid electrification of road vehicles has fundamentally reshaped the priorities of noise, vibration, and harshness (NVH) engineering. In the absence of combustion-related broadband masking, tonal and order-related phenomena originating from the electric machine, inverter switching, and high-speed reduction gearing have become clearly [...] Read more.
The rapid electrification of road vehicles has fundamentally reshaped the priorities of noise, vibration, and harshness (NVH) engineering. In the absence of combustion-related broadband masking, tonal and order-related phenomena originating from the electric machine, inverter switching, and high-speed reduction gearing have become clearly perceptible and, in many cases, acoustically dominant. Consequently, drivetrain noise in electric vehicles can no longer be assessed at component level alone; it must be understood as a coupled system response shaped by excitation mechanisms, structural dynamics, transfer paths, radiation efficiency, and ultimately human perception. This review adopts a source-to-perception perspective and consolidates the principal physical mechanisms governing vibro-acoustic behavior in integrated electric drive units. Electromagnetic force harmonics and torque ripple are discussed alongside transmission-error-driven gear mesh excitation, while bearing and shaft nonlinearities are examined in the context of high-speed operation. In addition, ancillary thermoacoustic and aerodynamic contributions are considered, reflecting the increasingly integrated packaging of modern e-axle architectures. On this mechanism-oriented basis, dominant excitation types are linked to frequency-appropriate modeling strategies, spanning electromagnetic force extraction, multibody drivetrain simulation, structural finite element analysis, transfer path analysis, and acoustic radiation prediction. Particular attention is given to workflow integration across domains. Finally, the paper identifies research challenges that predominantly arise at system level, including multi-source interaction effects, installation-dependent transfer-path variability, emergent resonances in assembled structures, manufacturing-induced tonal artifacts, and the still limited correlation between predicted vibration fields and perceived sound quality. Full article
(This article belongs to the Section Propulsion Systems and Components)
Show Figures

Graphical abstract

24 pages, 6361 KB  
Article
A Novel Type of Pneumatic Rotary Positioner Using Three-Phase Pressure Commutation
by Valentin Ciupe, Robert Kristof and Ghadeer Ismael
Actuators 2026, 15(4), 192; https://doi.org/10.3390/act15040192 - 31 Mar 2026
Viewed by 212
Abstract
This paper presents the design, simulation, and experimental validation of a novel type of pneumatic rotary positioner that is based on a three-cylinder radial mechanism driven by independently controlled pressures. The system uses standard off-the-shelf industrial components, including pneumatic cylinders, proportional pressure regulators, [...] Read more.
This paper presents the design, simulation, and experimental validation of a novel type of pneumatic rotary positioner that is based on a three-cylinder radial mechanism driven by independently controlled pressures. The system uses standard off-the-shelf industrial components, including pneumatic cylinders, proportional pressure regulators, and a programmable logic controller. In order to obtain angular positioning, a three-phase sinusoidal pressure commutation scheme is adopted, similar to the three-phase electrical motors. Analytical expressions for piston kinematics and torque generation are derived and used to design direct open-loop, open-loop with friction compensation, and closed-loop position control strategies. The technical implementation, with the prototype tested unloaded, can achieve accurate positioning (±3° in open-loop mode with feedforward to ±0.3° in closed-loop mode with PD controller), with very good repeatability on average (<0.5°) and smooth theoretical torque (average 1.4 Nm, with 0.51% ripple) at low speeds (<60 rpm). The experimental prototype was designed as a compact device, having approx. 94 mm diameter and 110 mm depth. When used in open-loop mode, the actuator is connected to the control system using just three pneumatic tubes and thus is completely free of any electromagnetic fields, making it suitable for some environment-critical applications. These advantages promote the proposed positioner as a practical rotary actuator in specialized automation and robotics applications where established electrical servomotors cannot be used. Full article
(This article belongs to the Special Issue Actuation and Sensing of Intelligent Soft Robots—2nd Edition)
Show Figures

Figure 1

22 pages, 10117 KB  
Article
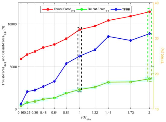
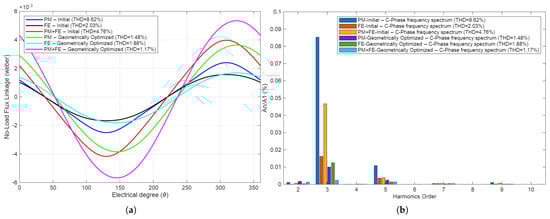
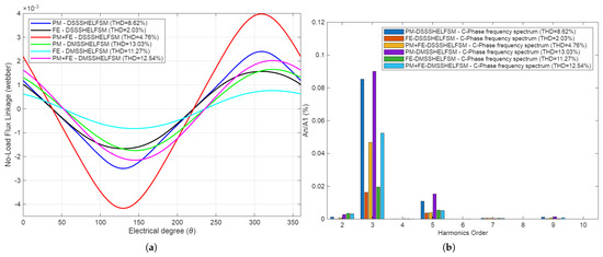
Dual-Stator Versus Dual-Mover Segmented Secondary Hybrid Excited Linear Flux Switching Machine for Ropeless Elevator System
by Noman Ullah, Mohsin Shahzad and Faisal Khan
Machines 2026, 14(4), 374; https://doi.org/10.3390/machines14040374 - 28 Mar 2026
Viewed by 224
Abstract
Rotatory electric motors provide low efficiency in the case of linear motion. The reason for this is the mechanical conversion system required to convert rotary torque to linear thrust force. In this paper, two novel linear machines i.e., a Dual-Mover Segmented Secondary Hybrid [...] Read more.
Rotatory electric motors provide low efficiency in the case of linear motion. The reason for this is the mechanical conversion system required to convert rotary torque to linear thrust force. In this paper, two novel linear machines i.e., a Dual-Mover Segmented Secondary Hybrid Excited Linear Flux Switching Machine (DMSSHELFSM) and Dual-Stator Segmented Secondary Hybrid Excited Linear Flux Switching Machine (DSSSHELFSM), were investigated and compared for a ropeless vertical elevator system. The novelties of these designs include both series and parallel magnetic circuits, a complementary AC coil structure, and their unequal primary tooth width. Results reveal that the DSSSHELFSM exhibits better performance with higher and more sinusoidal flux linkage, higher thrust force, and a robust mechanical structure. Secondly, the selected linear motor was optimized using a deterministic optimization approach. An average thrust force of 10kN and a thrust force ripple ratio of less than 10% were considered as performance constraints during the optimization process. Finally, full-scale no-load experimental results were obtained, and they validated the research. Full article
(This article belongs to the Special Issue Wound Field and Less Rare-Earth Electrical Machines in Renewables)
Show Figures

Figure 1

25 pages, 6692 KB  
Article
High-Performance Speed Control of BLDC Motor Drives Using a PI Sailfish Optimization Algorithm
by Othman Abdalkader Othman, Mohan Arun Noyal Doss, Jamal Aldahmashi, Moustafa Ahmed Ibrahim and Narayanamoorthi Rajamanickam
Energies 2026, 19(7), 1644; https://doi.org/10.3390/en19071644 - 27 Mar 2026
Viewed by 393
Abstract
BLDC motors are utilized in electric cars, robotics, drones, home appliances and medical equipment due to their effectiveness, dependability, and accurate control. PI controllers have been put forward to enhance the dynamic performance of brushless direct current (BLDC) motors, and they have been [...] Read more.
BLDC motors are utilized in electric cars, robotics, drones, home appliances and medical equipment due to their effectiveness, dependability, and accurate control. PI controllers have been put forward to enhance the dynamic performance of brushless direct current (BLDC) motors, and they have been tested in many papers with various algorithms (such as PSO, GA, GWO, ACO and ABC) and strategies (such as PI/PID control, FOC, FLC, SMC and MPC). Meanwhile, in this research, and for the first time, the PI controller was tuned by the proposed Sailfish Optimization algorithm (SFO) with a direct torque control (DTC) strategy to enhance the dynamic performance of BLDC motors. Although DTC provides a very fast torque response, it still suffers from high torque ripple and noticeable instability at low speeds. These issues persist even when using conventional PI tuning or common optimization algorithms. Hence, in this research, we proposed an improved control strategy that combines DTC with PI tuning optimized by the Sailfish Optimization algorithm (SFO), which delivers smoother torque, more stable low-speed operation, and stronger robustness during sudden changes in load. In this regard, the PI controller was tested under different levels of torque and compared with the traditional Gray Wolf Optimization (GWO-PI) algorithm controller, as well as PI and PID controllers, and the performance of each of them was evaluated for different torque levels at speeds of 600 rpm and 2000 rpm during physical experiments. The simulation results showed that the Sailfish-PI controller, compared to the others, recorded the fastest response with a rise time of 2.1 ms and settling time of 2.9 ms under 2.39 Nm nominal torque at 2000 rpm speed; in addition, it continuously showed the lowest values of overshoot and undershoot as torque increased. It also maintained the most accurate and consistent performance, keeping the peak rpm almost flat and extremely near to the target of 2001 rpm. Therefore, in systems that require variable speed and torque while operating, such as electric automobiles, the proposed method is suitable for application. Full article
(This article belongs to the Special Issue Advanced Control Strategies for Power Electronics and Motor Drives)
Show Figures

Figure 1

19 pages, 2937 KB  
Article
High-Efficiency Direct Torque Control of Induction Motor Driven by Three-Level VSI for Photovoltaic Water Pumping System in Kairouan, Tunisia: MPPT-Based Fuzzy Logic Approach
by Salma Jnayah and Adel Khedher
Automation 2026, 7(2), 53; https://doi.org/10.3390/automation7020053 - 24 Mar 2026
Viewed by 212
Abstract
This paper presents an efficient stand-alone photovoltaic water pumping system (PVWPS) intended for agricultural irrigation applications, operating without energy storage. The system employs a three-phase induction motor supplied by a three-level neutral point clamped (NPC) inverter. The proposed control strategy integrates the advantages [...] Read more.
This paper presents an efficient stand-alone photovoltaic water pumping system (PVWPS) intended for agricultural irrigation applications, operating without energy storage. The system employs a three-phase induction motor supplied by a three-level neutral point clamped (NPC) inverter. The proposed control strategy integrates the advantages of two distinct controllers to enhance both energy extraction and drive performance. On the photovoltaic side, a fuzzy logic-based maximum power point tracking (MPPT) algorithm is implemented to ensure continuous operation at the global maximum power point under rapidly varying irradiance conditions. On the motor drive side, a direct torque control (DTC) scheme is combined with the multilevel NPC inverter to regulate electromagnetic torque and stator flux. The use of a multilevel inverter significantly mitigates the inherent drawbacks of conventional DTC, notably torque and flux ripples, as well as stator current harmonic distortion. The overall control architecture maximizes power transfer from the photovoltaic generator to the pumping system, resulting in improved dynamic response and energy efficiency. The proposed system is validated through detailed MATLAB/Simulink simulations under abrupt irradiance variations and a realistic daily solar profile corresponding to August conditions in Kairouan, Tunisia. Simulation results demonstrate substantial performance improvements, including an 88% reduction in torque ripples, a 50% decrease in flux ripple, a 77.9% reduction in stator current THD, and a 33.3% enhancement in speed transient response compared to conventional DTC-based systems. Full article
(This article belongs to the Section Control Theory and Methods)
Show Figures

Figure 1

28 pages, 11377 KB  
Article
Extended State Observer-Assisted Fast Adaptive Extremum-Seeking Searching Interval Type-2 Fuzzy PID Control of Permanent Magnet Synchronous Motors for Speed Ripple Mitigation at Low-Speed Operation
by Fuat Kılıç
Appl. Sci. 2026, 16(6), 3093; https://doi.org/10.3390/app16063093 - 23 Mar 2026
Viewed by 195
Abstract
Permanent magnet synchronous motors (PMSMs) are utilized in demanding conditions and applications requiring precision and accuracy, such as servo systems. Especially at low speeds, the effects of cogging torque, current measurement and offset errors, improper controller gains, mechanical resonance, and torque fluctuations caused [...] Read more.
Permanent magnet synchronous motors (PMSMs) are utilized in demanding conditions and applications requiring precision and accuracy, such as servo systems. Especially at low speeds, the effects of cogging torque, current measurement and offset errors, improper controller gains, mechanical resonance, and torque fluctuations caused by load torque and flux result in fluctuations at various frequencies in the motor output speed. This study, motivated by two factors, proposes an extended state observer (ESO)-based multivariable fast response extremum-seeking (FESC) interval type-2 fuzzy PID (IT2FPID) controller to improve dynamic response and reduce speed ripple at low speeds in situations where all these negative factors could arise. This approach enables the real-time adaptation of parameters to counteract the decline in controller performance caused by the nonlinear characteristics of PMSMs and parameter fluctuations while also optimizing disturbance rejection in the speed response under varying operating conditions and existing speed ripple. The experimental results from the prototype setup validate that the proposed control mechanism is functional, valid, and precise in diminishing speed ripples during low-speed operations. The simulation and test outcomes of the control scheme show that speed noise at low speeds is reduced from 26% to 3% compared to traditional proportional-integral (PI) controller and supertwisting (STW) sliding mode controller (SMC) responses and that the scheme exhibits a 16–23% reduction in undershoot amplitude and faster recovery in the presence of load torque variations. Full article
(This article belongs to the Special Issue Fuzzy Control Systems and Decision-Making)
Show Figures

Figure 1

39 pages, 2845 KB  
Article
Cascaded Neural Network-Based Power Control for Enhanced Performance of Doubly Fed Induction Generator-Based Wind Energy Conversion Systems
by Habib Benbouhenni and Nicu Bizon
Sustainability 2026, 18(6), 3062; https://doi.org/10.3390/su18063062 - 20 Mar 2026
Viewed by 308
Abstract
The increasing penetration of wind energy is a key enabler of the global transition toward low-carbon and sustainable power systems. However, ensuring high efficiency, power quality, and operational reliability under variable wind and grid conditions remains a critical challenge for doubly fed induction [...] Read more.
The increasing penetration of wind energy is a key enabler of the global transition toward low-carbon and sustainable power systems. However, ensuring high efficiency, power quality, and operational reliability under variable wind and grid conditions remains a critical challenge for doubly fed induction generator (DFIG)-based wind energy conversion systems. Conventional direct power control (DPC) strategies based on proportional–integral (PI) regulators are simple and widely implemented, yet their performance degrades in the presence of nonlinear system dynamics, parameter uncertainties, and rapid wind speed fluctuations—factors that directly affect energy yield, component lifetime, and grid stability. To enhance the sustainability and resilience of wind power generation, this study proposes a cascaded neural network-based control architecture for DFIG-driven systems. The outer neural control loop regulates active and reactive power references to optimize energy capture and support grid requirements, while the inner neural loop ensures fast and precise tracking by generating appropriate control signals for the rotor-side converter. Leveraging their adaptive learning capability, the neural controllers effectively model nonlinear dynamics and compensate for uncertainties in real time. Compared with the conventional DPC-PI scheme, the proposed approach achieves improved dynamic response, reduced power and electromagnetic torque ripples, enhanced disturbance rejection, and greater robustness under varying wind and grid conditions. These improvements contribute to sustainable energy production by increasing conversion efficiency, reducing mechanical stress, minimizing maintenance requirements, and extending turbine service life. Furthermore, improved reactive power control enhances grid integration and supports stable operation in renewable-dominated power systems. Simulation results validate the superior performance of the cascaded intelligent control strategy. The findings demonstrate that advanced adaptive control techniques can play a significant role in strengthening the reliability, efficiency, and long-term sustainability of wind energy systems, thereby supporting global decarbonization goals and the broader transition to sustainable energy infrastructures. Future work will focus on real-time implementation, stability assessment, and experimental validation to facilitate practical deployment. Full article
(This article belongs to the Topic Advances in Power Science and Technology, 2nd Edition)
Show Figures

Figure 1

21 pages, 6186 KB  
Article
Performance Optimization of External Rotor Permanent Magnet Synchronous Motor Based on Electromagnetic Noise Analysis
by Min Li, Liuyang Yang, Kunfeng Liang, Jinglong Liu, Haijiang He and Xinxue Ye
World Electr. Veh. J. 2026, 17(3), 158; https://doi.org/10.3390/wevj17030158 - 20 Mar 2026
Viewed by 273
Abstract
This paper proposes a multi-objective optimization method based on response surface methodology and genetic algorithm to address the electromagnetic noise issue in external rotor permanent magnet synchronous motors. Theoretical analysis and 2D finite element simulation of electromagnetic force were conducted to identify the [...] Read more.
This paper proposes a multi-objective optimization method based on response surface methodology and genetic algorithm to address the electromagnetic noise issue in external rotor permanent magnet synchronous motors. Theoretical analysis and 2D finite element simulation of electromagnetic force were conducted to identify the main orders of electromagnetic force; subsequently, through motor load and no-load tests, it was determined that the 6th-order radial electromagnetic force is the primary source of electromagnetic noise. Taking the 6th-order radial electromagnetic force, average torque, and torque ripple as optimization objectives, three key structural parameters were selected from eight optimization variables to construct a response surface model. The structural parameter optimization scheme for the motor was then obtained using a genetic algorithm. Finally, the optimization scheme obtained by the response surface method was validated under motor load conditions using two-dimensional finite element simulation; simulation results indicate that, compared to the original design, the optimized motor, exhibits a reduction in torque ripple by 65%, with the harmonic content of the radial air-gap flux density at the 1st, 3rd, 5th, and 7th orders decreasing by 8.7%, 6.4%, 12.5%, and 10.7%, respectively, and the 6th-order radial electromagnetic force reduced by 16.4%. Based on experimental identification of the dominant noise source, this reduction is expected to effectively suppress electromagnetic noise, which will be validated on a prototype in future work. Full article
(This article belongs to the Section Propulsion Systems and Components)
Show Figures

Figure 1

20 pages, 6081 KB  
Article
Cooperative MPC-DITC Strategy for Torque Ripple Suppression in Switched Reluctance Motors
by Liuxi Li, Jingbo Wu, Yafeng Yang, Zhijun Guo, Hongyao Wang and Shaofeng Li
World Electr. Veh. J. 2026, 17(3), 154; https://doi.org/10.3390/wevj17030154 - 18 Mar 2026
Viewed by 182
Abstract
This study presents a novel cooperative control strategy designed to mitigate torque ripple and enhance the disturbance rejection capability of switched reluctance motors (SRMs). The proposed approach integrates model predictive control (MPC) with direct instantaneous torque control (DITC), leveraging the torque sharing function [...] Read more.
This study presents a novel cooperative control strategy designed to mitigate torque ripple and enhance the disturbance rejection capability of switched reluctance motors (SRMs). The proposed approach integrates model predictive control (MPC) with direct instantaneous torque control (DITC), leveraging the torque sharing function (TSF) to generate phase-specific reference torque profiles. MPC employs rolling optimization to compute the optimal duty cycle in real time, achieving low torque ripple and consistent switching frequency during steady-state operation. To overcome the inherent delay in MPC’s dynamic response, DITC is incorporated as a fast-acting compensation loop that activates immediately upon detecting abrupt variations in speed or load, thereby delivering rapid torque adjustment and reinforcing system resilience. For validation, an 8/6-pole SRM control model was developed using Ansys/Maxwell and MATLAB/Simulink, and subjected to multi-scenario simulations. The results reveal that, compared to conventional MPC, the proposed method reduces steady-state torque ripple by 19.4% and shortens dynamic recovery time by 40%, demonstrating superior torque smoothness and improved robustness against external disturbances. Full article
(This article belongs to the Section Vehicle and Transportation Systems)
Show Figures

Figure 1

34 pages, 7080 KB  
Article
Torque Ripple Reduction in Surface-Mounted Permanent Magnet Machine with Model-Based Current Reference Control
by Abdulkerim Gundogan and Ahmet Faruk Bakan
Electronics 2026, 15(6), 1240; https://doi.org/10.3390/electronics15061240 - 17 Mar 2026
Viewed by 327
Abstract
Permanent magnet synchronous machines (PMSMs) are widely used in high-performance drive systems. However, parasitic torque ripple remains a critical limitation, causing acoustic noise, mechanical vibration, and speed fluctuations. This study presents a compact, model-based torque control strategy for surface-mounted PMSMs (SPMSMs) that suppresses [...] Read more.
Permanent magnet synchronous machines (PMSMs) are widely used in high-performance drive systems. However, parasitic torque ripple remains a critical limitation, causing acoustic noise, mechanical vibration, and speed fluctuations. This study presents a compact, model-based torque control strategy for surface-mounted PMSMs (SPMSMs) that suppresses torque ripple by generating a structured current reference. Grounded in the magnetic co-energy principle, the proposed method utilizes a deterministic analytical model to compensate for cogging torque and inductance harmonics, avoiding computationally intensive iterative estimators. A primary contribution involves adapting the harmonic injection profile to varying loads and magnetic saturation levels. Comprehensive finite element analysis (FEA) co-simulations demonstrate that the proposed method reduces torque ripple by approximately 87.5% and speed ripple by over 90% at 1500 RPM compared to conventional maximum torque per ampere (MTPA) strategies. Furthermore, extended dynamic analysis confirms superior robustness during start-up, transients, and low-speed operation (100 RPM), maintaining high control authority even under deep magnetic saturation (2.0 p.u.). Performance evaluations verify that this significant enhancement in torque quality is achieved with a negligible increase in total power losses (~2.1%), presenting a computationally feasible solution for industrial embedded platforms. Full article
(This article belongs to the Section Power Electronics)
Show Figures

Figure 1

41 pages, 10075 KB  
Article
Deep Deterministic Policy Gradient-Based Actor–Critic Reinforcement Learning for Torque Ripple Minimization in Switched Reluctance Motors
by Divya Ramasamy and Sundaram Maruthachalam
Machines 2026, 14(3), 333; https://doi.org/10.3390/machines14030333 - 16 Mar 2026
Viewed by 323
Abstract
The aim of this research is to investigate and reduce the torque ripple in Switched Reluctance Motor (SRM) drives, which is one of the major barriers to their acceptance for electric vehicle propulsion applications despite the advantages of robustness, efficiency, and wide operating [...] Read more.
The aim of this research is to investigate and reduce the torque ripple in Switched Reluctance Motor (SRM) drives, which is one of the major barriers to their acceptance for electric vehicle propulsion applications despite the advantages of robustness, efficiency, and wide operating range. High torque ripple not only deteriorates drive smoothness but also contributes to noise and vibration, demanding an advanced control strategy beyond traditional current-shaping and switching-based approaches. In this context, this work proposes a DDPG (Deep Deterministic Policy Gradient) Actor–Critic Neural Network-based reinforcement learning control framework that learns the optimal firing angle offsets dynamically to ensure less ripple electromagnetic torque under varying speeds and load conditions. The developed strategy has been designed and trained in MATLAB Simulink R2024b and then deployed in real time using an FPGA-based digital controller for validation on hardware. Comparative analysis with TSF (Torque Sharing Function) and DITC (Direct Instantaneous Torque Control) demonstrates that the reinforcement learning approach gives a much smoother torque response with better dynamic behavior over the operating range analyzed. Full article
(This article belongs to the Section Electrical Machines and Drives)
Show Figures

Figure 1

24 pages, 1628 KB  
Article
A Fractional-Order Sliding Mode DTC–SVM Framework for Precision Control of Surgical Robot Actuators
by Fatma Ben Salem, Jaouhar Mouine and Nabil Derbel
Fractal Fract. 2026, 10(3), 193; https://doi.org/10.3390/fractalfract10030193 - 13 Mar 2026
Viewed by 217
Abstract
Precise and smooth actuation is a central requirement in surgical robotics, where small tracking errors or oscillations can directly affect task quality and safety. This paper studies the control of an induction-motor-driven surgical joint using a sliding-mode strategy enhanced by fractional-order operators and [...] Read more.
Precise and smooth actuation is a central requirement in surgical robotics, where small tracking errors or oscillations can directly affect task quality and safety. This paper studies the control of an induction-motor-driven surgical joint using a sliding-mode strategy enhanced by fractional-order operators and implemented within a DTC–SVM structure. The motivation is to improve motion smoothness and disturbance rejection without sacrificing the fast dynamic response offered by direct torque control. A dynamic model of the actuator is developed by combining the electrical equations of the induction motor with the mechanical dynamics of a robotic joint, including inertia, viscous friction, gravity-induced torque, and Coulomb friction. Fractional-order sliding surfaces are introduced for both position and flux regulation, and the closed-loop stability is examined through Lyapunov-based arguments. Simulation results show accurate trajectory tracking with limited overshoot and smooth transient responses. The motor speed remains well regulated, while stator flux and currents stay within admissible bounds. The electromagnetic torque adapts to load variations with reduced ripple, and the rotor pulsation remains bounded. Within the limits of numerical evaluation, these results indicate that the proposed fractional-order sliding-mode DTC–SVM scheme is suitable for precision-oriented surgical robotic actuation. Full article
(This article belongs to the Special Issue Advanced Numerical Methods for Fractional Functional Models)
Show Figures

Figure 1

Back to TopTop