Sign in to use this feature.

Years

Between: -

Subjects

remove_circle_outline
remove_circle_outline
remove_circle_outline
remove_circle_outline
remove_circle_outline
remove_circle_outline
remove_circle_outline
remove_circle_outline
remove_circle_outline

Journals

remove_circle_outline
remove_circle_outline
remove_circle_outline
remove_circle_outline
remove_circle_outline
remove_circle_outline
remove_circle_outline
remove_circle_outline

Article Types

Countries / Regions

Search Results (297)

Search Parameters:
Keywords = three-dimension reconstruction

Order results
Result details
Results per page
Select all
Export citation of selected articles as:
24 pages, 1560 KB  
Article
A Machine Learning Pipeline for Cusp Height Prediction in Worn Lower Molars: Methodological Proof-of-Concept and Validation Across Homo
by Rebecca Napolitano, Hajar Alichane, Petra Martini, Giovanni Di Domenico, Robert M. G. Martin, Jean-Jacques Hublin and Gregorio Oxilia
Appl. Sci. 2026, 16(3), 1280; https://doi.org/10.3390/app16031280 - 27 Jan 2026
Abstract
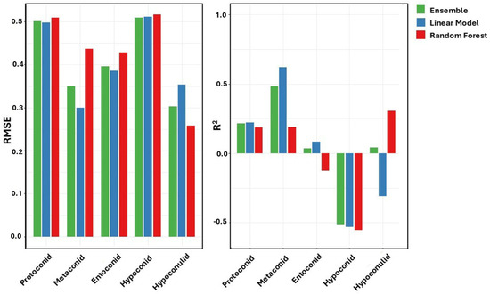
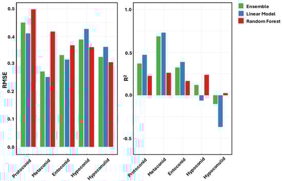
Reconstructing original cusp dimensions in worn molars represents a fundamental challenge across dentistry, anthropology, and paleontology, as dental wear obscures critical morphological information. In this proof-of-concept study, we present a standardized machine learning pipeline for predicting original cusp height, specifically the horn tips [...] Read more.
Reconstructing original cusp dimensions in worn molars represents a fundamental challenge across dentistry, anthropology, and paleontology, as dental wear obscures critical morphological information. In this proof-of-concept study, we present a standardized machine learning pipeline for predicting original cusp height, specifically the horn tips of the enamel–dentine junction (EDJ), in worn lower molars using three-dimensional morphometric data from micro-computed tomography (micro-CT). We analyzed 40 permanent lower first (M1) and second (M2) molars from four hominin groups, systematically evaluated across three wear stages: original, moderately worn (worn1), and severely worn (worn2). Morphometric variables including height, area, and volume were quantified for each cusp, with Random Forest and multiple linear regression models developed individually and combined through ensemble methods. To mimic realistic reconstruction scenarios while preserving a known ground truth, models were trained on unworn specimens (original EDJ morphology) and tested on other teeth after digitally simulated wear (worn1 and worn2). Predictive performance was evaluated using root mean square error (RMSE) and coefficient of determination (R2). Our results demonstrate that under moderate wear (worn1), the ensemble models achieved normalized RMSE values between 11% and 17%. Absolute errors typically below 0.25 mm for most cusps, with R2 values up to ~0.69. Performance deteriorated under severe wear (worn2), particularly for morphologically variable cusps such as the hypoconid and entoconid, but generally remained within sub-millimetric error ranges for several structures. Random Forests and linear models showed complementary strengths, and the ensemble generally offered the most stable performance across cusps and wear states. To enhance transparency and accessibility, we provide a comprehensive, user-friendly software pipeline including pre-trained models, automated prediction scripts, standardized data templates, and detailed documentation. This implementation allows researchers without advanced machine learning expertise to explore EDJ-based reconstruction from standard morphometric measurements in new datasets, while explicitly acknowledging the limitations imposed by our modest and taxonomically unbalanced sample. More broadly, the framework represents an initial step toward predicting complete crown morphology, including enamel thickness, in worn or damaged teeth. As such, it offers a validated methodological foundation for future developments in cusp and crown reconstruction in both clinical and evolutionary dental research. Full article
(This article belongs to the Section Applied Dentistry and Oral Sciences)
Show Figures

Figure 1

14 pages, 358 KB  
Commentary
Aesthetic Medicine and Aesthetic Health Psychology: Toward an Integrative Framework for Patient-Centered Care
by Jeffrey E. Cassisi, Sivanne Gofman, Miranda Proctor and Stacie Becker
J. Aesthetic Med. 2026, 2(1), 2; https://doi.org/10.3390/jaestheticmed2010002 - 19 Jan 2026
Viewed by 150
Abstract
Aesthetic Medicine is advanced as an integrated, evidence-based framework for patient-centered care that unites physical, psychological, social, and aesthetic dimensions of health. Drawing on Clinical Health Psychology, the paper introduces Aesthetic Health Psychology as a specialization that embeds psychological theory, assessment, and intervention [...] Read more.
Aesthetic Medicine is advanced as an integrated, evidence-based framework for patient-centered care that unites physical, psychological, social, and aesthetic dimensions of health. Drawing on Clinical Health Psychology, the paper introduces Aesthetic Health Psychology as a specialization that embeds psychological theory, assessment, and intervention within aesthetic medicine and surgery, emphasizing interdisciplinary collaboration rather than professional mistrust. The paper argues that integrating Aesthetic Health Psychology into aesthetic medicine can enhance ethical practice, improve patient-reported outcomes, and support equity-focused implementation across diverse procedures and settings. It further suggests a practical framework for implementation. Three interrelated models are proposed: the Aesthetic Biopsychosocial Model, which conceptualizes aesthetics as a distinct health domain alongside biological, psychological, and social factors; the Aesthetic Health Care Process Model, which structures care as a five-stage journey supported by systematic screening for body dysmorphic disorder and the routine use of patient-reported outcome measures; and the Aesthetic Health Systems Model, which situates aesthetic care within institutional, policy, and cultural contexts. Idealized but clinically grounded vignettes from elective cosmetic, reconstructive, and gender-affirming settings illustrate how these models address non-linear trajectories of adaptation, evolving expectations, complications, and stigma. These concepts jointly define both the motivation for Aesthetic Health Psychology and its practical implications, from the use of brief, selective aesthetic screening during primary health care visits to the design of equity-focused implementation strategies across aesthetic procedures and settings. Full article
Show Figures

Figure 1

22 pages, 4087 KB  
Article
Wrapped Unsupervised Hyperspectral Band Selection via Reconstruction Error from Wasserstein Generative Adversarial Network
by Haoyang Yu, Hongna Zheng, Tao Yao, Yuling Zhang and Deyin Zhang
Remote Sens. 2026, 18(2), 326; https://doi.org/10.3390/rs18020326 - 18 Jan 2026
Viewed by 195
Abstract
Wrapped unsupervised band selection (WUBS) is a powerful means of reducing the dimensions of hyperspectral images (HSIs) and has drawn much focus recently. Nevertheless, numerous WUBS approaches struggle to strike a balance between computational complexity and performance and typically disregard high-level information between [...] Read more.
Wrapped unsupervised band selection (WUBS) is a powerful means of reducing the dimensions of hyperspectral images (HSIs) and has drawn much focus recently. Nevertheless, numerous WUBS approaches struggle to strike a balance between computational complexity and performance and typically disregard high-level information between bands. This paper presents a new reconstruction error-based algorithm called distance density (DD) and Wasserstein generative adversarial network (WGAN)-driven WUBS (DW-WUBS), which is intended to overcome these problems. Minutely, DW-WUBS employs DD to weigh the spectral fluctuation in different band groups and thus determine the detailed expression of the importance of each group. At the same time, it uses a sequential search method on the important band group instead of the original HSIs, thereby reducing the computational complexity of band retrieval. Afterwards, DW-WUBS trains a WGAN and applies its critical network to test the representativeness of the searched bands by considering their contribution to HSI reconstruction. This automatically derives underlying and higher-level structure information of the spectrum. The superiority of DW-WUBS is certified by comprehensive experiments on three benchmark data sets. For instance, on the Pavia Center scene, the peaked mean accuracy (MA) using the twelve bands chosen via DW-WUBS with the CART classifier exceeds the baseline (i.e., all bands) by 0.91% in the classification task. Full article
(This article belongs to the Section Remote Sensing Image Processing)
Show Figures

Figure 1

15 pages, 4459 KB  
Article
Automated Custom Sunglasses Frame Design Using Artificial Intelligence and Computational Design
by Prodromos Minaoglou, Anastasios Tzotzis, Klodian Dhoska and Panagiotis Kyratsis
Machines 2026, 14(1), 109; https://doi.org/10.3390/machines14010109 - 17 Jan 2026
Viewed by 157
Abstract
Mass production in product design typically relies on standardized geometries and dimensions to accommodate a broad user population. However, when products are required to interface directly with the human body, such generalized design approaches often result in inadequate fit and reduced user comfort. [...] Read more.
Mass production in product design typically relies on standardized geometries and dimensions to accommodate a broad user population. However, when products are required to interface directly with the human body, such generalized design approaches often result in inadequate fit and reduced user comfort. This limitation highlights the necessity of fully personalized design methodologies based on individual anthropometric characteristics. This paper presents a novel application that automates the design of custom-fit sunglasses through the integration of Artificial Intelligence (AI) and Computational Design. The system is implemented using both textual (Python™ version 3.10.11) and visual (Grasshopper 3D™ version 1.0.0007) programming environments. The proposed workflow consists of the following four main stages: (a) acquisition of user facial images, (b) AI-based detection of facial landmarks, (c) three-dimensional reconstruction of facial features via an optimization process, and (d) generation of a personalized sunglass frame, exported as a three-dimensional model. The application demonstrates a robust performance across a diverse set of test images, consistently generating geometries that conformed closely to each user’s facial morphology. The accurate recognition of facial features enables the successful generation of customized sunglass frame designs. The system is further validated through the fabrication of a physical prototype using additive manufacturing, which confirms both the manufacturability and the fit of the final design. Overall, the results indicate that the combined use of AI-driven feature extraction and parametric Computational Design constitutes a powerful framework for the automated development of personalized wearable products. Full article
Show Figures

Figure 1

25 pages, 550 KB  
Article
Assessing the Impact of Digital Economic Development on the Resilience of China’s Agricultural Industry Chain
by Qingxi Zhang, Boyao Song, Siyu Fei and Hongxun Li
Agriculture 2026, 16(2), 230; https://doi.org/10.3390/agriculture16020230 - 15 Jan 2026
Viewed by 187
Abstract
Based on panel data from China’s 31 provinces and municipalities covering 2011–2023, this study constructs a multidimensional evaluation system for digital economic development and agricultural industrial chain resilience within the Technology-Organization-Environment (TOE) framework. It systematically examines the impact of the digital economy on [...] Read more.
Based on panel data from China’s 31 provinces and municipalities covering 2011–2023, this study constructs a multidimensional evaluation system for digital economic development and agricultural industrial chain resilience within the Technology-Organization-Environment (TOE) framework. It systematically examines the impact of the digital economy on agricultural industrial chain resilience and its sub-dimensions, while introducing green finance as a moderating variable. The findings reveal: First, the development of the digital economy significantly enhances the resilience of the agricultural industrial chain. This conclusion withstands multiple robustness tests, and the impact of the digital economy on the three dimensions of agricultural industrial chain resilience (resistance, recovery, and reconstruction) varies, particularly exhibiting a negative effect on reconstruction. Second, the enabling effect of the digital economy on agricultural industrial chain resilience shows a significant spatial gradient. Regionally, resilience is ranked as “Production-Sales Balance Zones > Main Sales Zones > Main Production Zones” within grain functional zones, and “Northeast > West > East > Central” across China’s four major economic regions. Third, green finance development exerts a negative moderating effect on the pathway through which the digital economy enhances agricultural supply chain resilience, higher green finance levels weaken the marginal improvement effect of the digital economy. This study fills research gaps regarding the multidimensional impact of digital economic development on agricultural industrial chain resilience and empirically supplements the lack of evidence on the negative moderating mechanism of green finance and its sub-dimensions, providing policy tools for agricultural modernization and resilience governance. Full article
(This article belongs to the Section Agricultural Economics, Policies and Rural Management)
Show Figures

Figure 1

28 pages, 322 KB  
Article
Capital Factor Market Integration and Corporate ESG Performance: Evidence from China
by Hao Liu and Zhanyu Ying
Sustainability 2026, 18(2), 906; https://doi.org/10.3390/su18020906 - 15 Jan 2026
Viewed by 135
Abstract
This study investigates the impact of city-level capital factor market integration on corporate ESG performance, using a sample of Chinese A-share listed companies from 2010 to 2024. We find that greater capital factor market integration significantly improves firms’ overall ESG performance. Mechanism analysis [...] Read more.
This study investigates the impact of city-level capital factor market integration on corporate ESG performance, using a sample of Chinese A-share listed companies from 2010 to 2024. We find that greater capital factor market integration significantly improves firms’ overall ESG performance. Mechanism analysis reveals that capital factor market integration operates through three channels: market competition, technological advancement, and attention reconstruction, enhancing both firms’ capabilities and incentives to engage in ESG activities. The positive effect is stronger for state-owned enterprises, firms in less polluting industries, and those in regions with high government environmental attention. Further analysis indicates that capital factor market integration suppresses corporate greenwashing behavior and reduces discrepancies across ESG rating agencies. Moreover, capital factor market integration exhibits asymmetric effects across ESG sub-dimensions, significantly improving environmental and governance performance while weakening social responsibility performance. This reflects firms’ preference, under competitive pressure, for environmental and governance domains characterized by shorter payback periods and more readily quantifiable outcomes, as well as their cautious stance toward the social responsibility domain where effects take considerably longer to materialize. This study contributes to understanding the micro-level mechanisms through which capital factor market integration influences corporate sustainable development, providing empirical evidence for China’s construction of a unified national market and the advancement of sustainable development strategies. Full article
(This article belongs to the Section Economic and Business Aspects of Sustainability)
18 pages, 5467 KB  
Article
Automated Dimension Recognition and BIM Modeling of Frame Structures Based on 3D Point Clouds
by Fengyu Zhang, Jinyang Liu, Peizhen Li, Lin Chen and Qingsong Xiong
Electronics 2026, 15(2), 293; https://doi.org/10.3390/electronics15020293 - 9 Jan 2026
Viewed by 175
Abstract
Building information models (BIMs) serve as a foundational tool for digital management of existing structures. Traditional methods suffer from low automation and heavy reliance on manual intervention. This paper proposes an automated method for structural component dimension recognition and BIM modeling based on [...] Read more.
Building information models (BIMs) serve as a foundational tool for digital management of existing structures. Traditional methods suffer from low automation and heavy reliance on manual intervention. This paper proposes an automated method for structural component dimension recognition and BIM modeling based on 3D point cloud data. The proposed methodology follows a three-step workflow. First, the raw point cloud is semantically segmented using the PointNet++ deep learning network, and individual structural components are effectively isolated using the Fast Euclidean Clustering (FEC) algorithm. Second, the principal axis of each component is determined through Principal Component Analysis, and the Random Sample Consensus (RANSAC) algorithm is applied to fit the boundary lines of the projected cross-sections, enabling the automated extraction of geometric dimensions. Finally, an automated script maps the extracted geometric parameters to standard IFC entities to generate the BIM model. The experimental results demonstrate that the average dimensional error for beams and columns is within 3 mm, with the exception of specific occluded components. This study realizes the efficient transformation from point cloud data to BIM models through an automated workflow, providing reliable technical support for the digital reconstruction of existing buildings. Full article
Show Figures

Figure 1

21 pages, 9995 KB  
Article
HCNet: Multi-Exposure High-Dynamic-Range Reconstruction Network for Coded Aperture Snapshot Spectral Imaging
by Hang Shi, Jingxia Chen, Yahui Li, Pengwei Zhang and Jinshou Tian
Sensors 2026, 26(1), 337; https://doi.org/10.3390/s26010337 - 5 Jan 2026
Viewed by 375
Abstract
Coded Aperture Snapshot Spectral Imaging (CASSI) is a rapid hyperspectral imaging technique with broad application prospects. Due to limitations in three-dimensional compressed data acquisition modes and hardware constraints, the compressed measurements output by actual CASSI systems have a finite dynamic range, leading to [...] Read more.
Coded Aperture Snapshot Spectral Imaging (CASSI) is a rapid hyperspectral imaging technique with broad application prospects. Due to limitations in three-dimensional compressed data acquisition modes and hardware constraints, the compressed measurements output by actual CASSI systems have a finite dynamic range, leading to degraded hyperspectral reconstruction quality. To address this issue, a high-quality hyperspectral reconstruction method based on multi-exposure fusion is proposed. A multi-exposure data acquisition strategy is established to capture low-, medium-, and high-exposure low-dynamic-range (LDR) measurements. A multi-exposure fusion-based high-dynamic-range (HDR) CASSI measurement reconstruction network (HCNet) is designed to reconstruct physically consistent HDR measurement images. Unlike traditional HDR networks for visual enhancement, HCNet employs a multiscale feature fusion architecture and combines local–global convolutional joint attention with residual enhancement mechanisms to efficiently fuse complementary information from multiple exposures. This makes it more suitable for CASSI systems, ensuring high-fidelity reconstruction of hyperspectral data in both spatial and spectral dimensions. A multi-exposure fusion CASSI mathematical model is constructed, and a CASSI experimental system is established. Simulation and real-world experimental results demonstrate that the proposed method significantly improves hyperspectral image reconstruction quality compared to traditional single-exposure strategies, exhibiting high robustness against multi-exposure interval jitters and shot noise in practical systems. Leveraging the higher-dynamic-range target information acquired through multiple exposures, especially in HDR scenes, the method enables reconstruction with enhanced contrast in both bright and dark details and also demonstrates higher spectral correlation, validating the enhancement of CASSI reconstruction and effective measurement capability in HDR scenarios. Full article
(This article belongs to the Section Optical Sensors)
Show Figures

Figure 1

16 pages, 4166 KB  
Article
Preliminary Study on the Accuracy Comparison Between 3D-Printed Bone Models and Naked-Eye Stereoscopy-Based Virtual Reality Models for Presurgical Molding in Orbital Floor Fracture Repair
by Masato Tsuchiya, Izumi Yasutake, Satoru Tamura, Satoshi Kubo and Ryuichi Azuma
Appl. Sci. 2025, 15(24), 12963; https://doi.org/10.3390/app152412963 - 9 Dec 2025
Viewed by 351
Abstract
Three-dimensional (3D) printing enables accurate implant pre-shaping in orbital reconstruction but is costly and time-consuming. Naked-eye stereoscopic displays (NEDs) enable virtual implant modeling without fabrication. This study aimed to compare the reproducibility and accuracy of NED-based virtual reality (VR) pre-shaping with conventional 3D-printed [...] Read more.
Three-dimensional (3D) printing enables accurate implant pre-shaping in orbital reconstruction but is costly and time-consuming. Naked-eye stereoscopic displays (NEDs) enable virtual implant modeling without fabrication. This study aimed to compare the reproducibility and accuracy of NED-based virtual reality (VR) pre-shaping with conventional 3D-printed models. Two surgeons pre-shaped implants for 11 unilateral orbital floor fractures using both 3D-printed and NED-based VR models with identical computed tomography data. The depth, area, and axis dimensions were measured, and reproducibility and agreement were assessed using intraclass correlation coefficients (ICCs), Bland–Altman analysis, and shape similarity metrics—Hausdorff distance (HD) and root mean square error (RMSE). Intra-rater ICCs were ≥0.80 for all parameters except depth in the VR model. The HD and RMSE reveal no significant differences between 3D (2.64 ± 0.85 mm; 1.02 ± 0.42 mm) and VR (3.14 ± 1.18 mm; 1.24 ± 0.53 mm). Inter-rater ICCs were ≥0.80 for the area and axes in both modalities, while depth remained low. Between modalities, no significant differences were found; HD and RMSE were 2.95 ± 0.94 mm and 1.28 ± 0.49 mm. The NED-based VR pre-shaping achieved reproducibility and dimensional agreement comparable to 3D printing, suggesting a feasible cost- and time-efficient alternative for orbital reconstruction. These preliminary findings suggest that NED-based preshaping may be feasible; however, larger studies are required to confirm whether VR can achieve performance comparable to 3D-printed models. Full article
(This article belongs to the Special Issue Virtual Reality (VR) in Healthcare)
Show Figures

Figure 1

19 pages, 5695 KB  
Article
Node Collaborative Strategy for 3D Coverage Based on Hopping Adaptive Grey Wolf Optimizer in Wireless Sensor Network
by Minghua Wang, Zhuowen Wu, Bo Fan and Yan Wang
Sensors 2025, 25(24), 7431; https://doi.org/10.3390/s25247431 - 6 Dec 2025
Viewed by 357
Abstract
Wireless sensor networks (WSNs) represent an emerging technology, among which coverage optimization remains a fundamental challenge. In specific application scenarios such as intelligent urban management, three-dimensional (3D) coverage models better reflect real-world requirements and thus hold greater research significance. To maximize the coverage [...] Read more.
Wireless sensor networks (WSNs) represent an emerging technology, among which coverage optimization remains a fundamental challenge. In specific application scenarios such as intelligent urban management, three-dimensional (3D) coverage models better reflect real-world requirements and thus hold greater research significance. To maximize the coverage performance of 3DWSNs, this study proposes a Three-Dimensional Confident Information Coverage (3DCIC) model based on the concept of multi-node cooperative information reconstruction, effectively extending the perceptual domain of sensor nodes. Furthermore, by incorporating adaptive dimension learning and opposition-based learning metchanisms into the wolf pack update strategy, we have developed the Hopping Adaptive Grey Wolf Optimizer (HAGWO) based on the GWO to optimize node deployment. Experimental results demonstrate the superior performance of the 3DCIC model, achieving coverage ranges 2.78 times, 4.41 times, and 4.00 times greater than those of conventional binary spherical models under regular tetrahedral, hexahedral, and octahedral node deployments, respectively. The proposed scheduling algorithm proves highly effective in both classical test functions and three-dimensional coverage problems. Full article
(This article belongs to the Section Sensor Networks)
Show Figures

Figure 1

32 pages, 832 KB  
Article
Executive Cognition, Capability Reconstruction, and Digital Green Innovation Performance in Building Materials Enterprises: A Systems Perspective
by Yonghong Ma and Zihui Wei
Systems 2025, 13(12), 1096; https://doi.org/10.3390/systems13121096 - 3 Dec 2025
Viewed by 525
Abstract
In the context of China’s “dual carbon” strategy, building materials enterprises (BMEs) are in a critical period of digital and green transformation. Their diverse ownership structure and complex industrial types make them important objects of research. To address gaps in the existing literature, [...] Read more.
In the context of China’s “dual carbon” strategy, building materials enterprises (BMEs) are in a critical period of digital and green transformation. Their diverse ownership structure and complex industrial types make them important objects of research. To address gaps in the existing literature, particularly regarding executive cognitive structure segmentation, ecological scenario (ES) influence mechanisms, and enterprise heterogeneity, this study uses Chinese BMEs as samples and incorporates industry characteristics, such as strong policy-driven conditions, a complete industrial chain, and diverse ownership types, to explore the relationship between executive cognition, ability reconstruction, and digital green innovation (DGI) performance (DGIP). Executive cognition is conceptualized through two dimensions: environmental protection cognition and digital intelligence cognition (DIC). A comprehensive test is conducted using fuzzy set qualitative comparative analysis (fsQCA). The results show that (1) both executive cognition and capability reconstruction (CR) significantly promote DGIP, and executive cognition has a positive effect on CR; (2) competency reconfiguration plays a mediating role in the influence of executives’ cognition on innovation performance, with the ES having a positive moderating effect on the relationship between the two types of cognitive role competency reconfiguration; (3) the influence of executive cognition varies depending on the nature of the enterprise and the industry; and (4) three types of performance improvement paths emerge: environmental-cognition-driven, cognitive ability connection, and ES-guided paths. The research’s contributions include (1) dividing executive cognition into two dimensions to enrich its conceptualization; (2) introducing the ES to reveal the dynamic mechanisms of cognition–ability–performance; and (3) conducting a heterogeneity analysis based on the nature of enterprises to deepen insights into paths of differentiated influence. This study provides a theoretical basis and practical inspiration for BMEs to enhance their DGIP. Full article
(This article belongs to the Special Issue Systems Analysis of Enterprise Sustainability: Second Edition)
Show Figures

Figure 1

20 pages, 8298 KB  
Article
Fractal and CT Analysis of Water-Bearing Coal–Rock Composites Under True Triaxial Loading–Unloading
by Qiang Xu, Ze Xia, Shuyu Du, Yukuan Fan, Gang Huang, Shengyan Chen, Zhisen Zhang and Yang Liu
Fractal Fract. 2025, 9(12), 782; https://doi.org/10.3390/fractalfract9120782 - 1 Dec 2025
Viewed by 474
Abstract
To reveal the deformation and failure mechanisms as well as the fracture evolution patterns of water-bearing coal–rock composites under complex stress conditions, this study established a true triaxial stress model for the key load-bearing structure of mined coal pillar dams and developed a [...] Read more.
To reveal the deformation and failure mechanisms as well as the fracture evolution patterns of water-bearing coal–rock composites under complex stress conditions, this study established a true triaxial stress model for the key load-bearing structure of mined coal pillar dams and developed a true triaxial loading apparatus capable of implementing localized unloading paths. True triaxial loading–unloading tests were conducted on coal–rock composites under different water content conditions, and the internal fracture structures were quantitatively characterized using CT scanning combined with fractal analysis. The results indicate that: (1) under a constant axial stress-unloading confining stress path, failure primarily occurs in the coal component, and the extent of failure significantly increases with the water content of the roof rock. For instance, the total fracture volume in the coal body increased by approximately 66% from the dry to the saturated state, while the lateral strain at peak stress decreased by about 65% over the same range, indicating a transition towards more brittle behavior. (2) CT scanning and three-dimensional reconstruction results reveal that the fracture system exhibits pronounced multi-scale polarization, with significant differences in volume, surface area, and morphological parameters between the main fractures and micropores, reflecting strong heterogeneity and anisotropy; (3) fractal dimension analysis of two-dimensional slices indicates that the fracture structures exhibit fractal characteristics in all directions, with the spatial distribution of fractal dimensions closely related to the loading direction. Overall, the XY-direction fractures exhibit the highest complexity, whereas the XZ and YZ directions show pronounced directional anisotropy. As water content increases, the amplitude of fractal dimension fluctuations rises, reflecting an enhancement in the geometric complexity of the fracture system. Full article
Show Figures

Figure 1

13 pages, 1407 KB  
Article
Cultivating Higher-Order Thinking Skills (HOTS) Through the Chinese Philosophy of Self-Cultivation and Awakening: An Educational Intervention Study
by Zixu Zhu, Hui Deng, Mingyong Hu, Nianming Hu and Zhihong Zhang
Philosophies 2025, 10(6), 130; https://doi.org/10.3390/philosophies10060130 - 30 Nov 2025
Viewed by 600
Abstract
This study investigates how the traditional Chinese “philosophy of self-cultivation and awakening” (xiu-wu) can be systematically harnessed to foster Higher-Order Thinking Skills (HOTS) among undergraduates. Through historical–philosophical reconstruction and conceptual analysis, the study distills three recurring instructional principles—gradual cultivation (jian-xiu), gradual awakening (jian-wu), [...] Read more.
This study investigates how the traditional Chinese “philosophy of self-cultivation and awakening” (xiu-wu) can be systematically harnessed to foster Higher-Order Thinking Skills (HOTS) among undergraduates. Through historical–philosophical reconstruction and conceptual analysis, the study distills three recurring instructional principles—gradual cultivation (jian-xiu), gradual awakening (jian-wu), and sudden awakening (dun-wu), and their dialectical synthesis, and re-casts them as design parameters for thinking-centered instruction. These principles are then translated into a macro-level instructional metaphor, the Bridge-Building Model, which sequences curricular elements as bridge piers (the teaching process of “gradual cultivation”), bridge deck (student-constructed “an isolated fragments of knowing”), and final closure (holistic knowledge). The model integrates constructivist, behaviorist and intuitive dimensions: repetitive, scaffolded tasks foster behavioral automaticity; guided reflection precipitates incremental insight; and calibrated “epistemic shocks” elicit sudden reorganization of conceptual schemata. The framework clarifies the locus, timing and contingency of each phase while acknowledging the metaphysical indeterminacy of ultimate “holistic” mastery. By translating classical Chinese pedagogical insights into operational design heuristics, the paper offers higher-education instructors a culturally grounded, theoretically coherent blueprint for systematically nurturing HOTS without sacrificing the spontaneity essential to creative cognition. Full article
Show Figures

Figure 1

44 pages, 8623 KB  
Article
A Novel Three-Dimensional Imaging Method for Space Targets Utilizing Optical-ISAR Joint Observation
by Jishun Li, Yasheng Zhang, Canbin Yin, Can Xu, Xinli Zhu, Haihong Fang and Qingchen Zhang
Remote Sens. 2025, 17(23), 3881; https://doi.org/10.3390/rs17233881 - 29 Nov 2025
Viewed by 451
Abstract
Three-dimensional (3D) reconstruction technology for space targets can provide information support such as target structures and dimensions for space missions including on-orbit services and fault diagnosis, which is crucial for maintaining the normal operation of space assets. Optical devices and ISAR (Inverse Synthetic [...] Read more.
Three-dimensional (3D) reconstruction technology for space targets can provide information support such as target structures and dimensions for space missions including on-orbit services and fault diagnosis, which is crucial for maintaining the normal operation of space assets. Optical devices and ISAR (Inverse Synthetic Aperture Radar) can provide high-resolution two-dimensional (2D) images of space targets, serving as the primary means for space target observation. However, existing 3D imaging methods for space targets exhibit significant limitations: the fusion process of optical observation data and ISAR observation data lacks automation, and factors such as image offset that affect 3D imaging quality are not fully considered. To address these issues, this paper proposes a novel 3D imaging method for space targets utilizing optical-ISAR joint observation. This method first employs semantic segmentation networks to automatically extract target regions from optical and ISAR images. Then, it combines octree-space carving technology for efficient 3D reconstruction and performs correction of target region offset based on projection optimization to achieve high-quality 3D imaging. This method eliminates the need for manual target region extraction, improving the automation level of the algorithm. The application of octree-space carving technology greatly enhances the efficiency of 3D reconstruction. Moreover, by correcting target region offset, the proposed method delivers superior 3D imaging results. Simulation experiments demonstrate that the method exhibits significant superior performance in terms of reconstruction efficiency and imaging quality. Additionally, experiments based on measured data further verify the feasibility and practical application value of the proposed method. Full article
(This article belongs to the Section Remote Sensing Image Processing)
Show Figures

Figure 1

24 pages, 4417 KB  
Article
Safety Helmet-Based Scale Recovery for Low-Cost Monocular 3D Reconstruction on Construction Sites
by Jianyu Ren, Lingling Wang, Xuanxuan Liu and Linghong Zeng
Buildings 2025, 15(23), 4291; https://doi.org/10.3390/buildings15234291 - 26 Nov 2025
Viewed by 367
Abstract
Three-dimensional (3D) reconstruction is increasingly being adopted in construction site management. While most existing studies rely on auxiliary equipment such as LiDAR and depth cameras, monocular depth estimation offers broader applicability under typical site conditions, yet it has received limited attention due to [...] Read more.
Three-dimensional (3D) reconstruction is increasingly being adopted in construction site management. While most existing studies rely on auxiliary equipment such as LiDAR and depth cameras, monocular depth estimation offers broader applicability under typical site conditions, yet it has received limited attention due to the inherent scale ambiguity in monocular vision. To address this limitation, this study proposes a safety helmet-based scale recovery framework that enables low-cost, monocular 3D reconstruction for construction site monitoring. The method utilizes safety helmets as exemplary scale carriers due to their standardized dimensions and frequent appearance in construction scenes. A Standard Template Library (STL) comprising multi-angle safety helmet masks and dimensional information is established and linked to site imagery through template matching. Following three-dimensional scale recovery, multi-frame fusion is applied to optimize the scale factors. Experimental results on multiple real construction videos demonstrate that the proposed method achieves high reconstruction accuracy, with a mean relative error below 10% and outliers not exceeding 5%, across diverse construction environments without site-specific calibration. This work aims to contribute to the practical application of monocular vision in engineering management by leveraging ubiquitous site objects as metrological references. Full article
(This article belongs to the Special Issue Intelligence and Automation in Construction—2nd Edition)
Show Figures

Figure 1

Back to TopTop