Sign in to use this feature.

Years

Between: -

Subjects

remove_circle_outline
remove_circle_outline
remove_circle_outline
remove_circle_outline
remove_circle_outline

Journals

Article Types

Countries / Regions

Search Results (29)

Search Parameters:
Keywords = the microwave polarization difference index

Order results
Result details
Results per page
Select all
Export citation of selected articles as:
17 pages, 5098 KB  
Article
Dynamic Impact of the Southern Annular Mode on the Antarctic Ozone Hole Area
by Jae N. Lee and Dong L. Wu
Remote Sens. 2025, 17(5), 835; https://doi.org/10.3390/rs17050835 - 27 Feb 2025
Viewed by 1321
Abstract
This study investigates the impact of dynamic variability of the Southern Hemisphere (SH) polar middle atmosphere on the ozone hole area. We analyze the influence of the southern annular mode (SAM) and planetary waves (PWs) on ozone depletion from 19 years (2005–2023) of [...] Read more.
This study investigates the impact of dynamic variability of the Southern Hemisphere (SH) polar middle atmosphere on the ozone hole area. We analyze the influence of the southern annular mode (SAM) and planetary waves (PWs) on ozone depletion from 19 years (2005–2023) of aura microwave limb sounder (MLS) geopotential height (GPH) measurements. We employ empirical orthogonal function (EOF) analysis to decompose the GPH variability into distinct spatial patterns. EOF analysis reveals a strong relationship between the first EOF (representing the SAM) and the Antarctic ozone hole area (γ = 0.91). A significant negative lag correlation between the August principal component of the second EOF (PC2) and the September SAM index (γ = −0.76) suggests that lower stratospheric wave activity in August can precondition the polar vortex strength in September. The minor sudden stratospheric warming (SSW) event in 2019 is an example of how strong wave activity can disrupt the polar vortex, leading to significant temperature anomalies and reduced ozone depletion. The coupling of PWs is evident in the lag correlation analysis between different altitudes. A “bottom-up” propagation of PWs from the lower stratosphere to the mesosphere and a potential “top-down” influence from the mesosphere to the lower stratosphere are observed with time lags of 21–30 days. These findings highlight the complex dynamics of PW propagation and their potential impact on the SAM and ozone layer. Further analysis of these correlations could improve one-month lead predictions of the SAM and the ozone hole area. Full article
Show Figures

Figure 1

18 pages, 12913 KB  
Article
Soil Organic Carbon Estimation and Transfer Framework in Agricultural Areas Based on Spatiotemporal Constraint Strategy Combined with Active and Passive Remote Sensing
by Jiaxin Qian, Jie Yang, Weidong Sun, Lingli Zhao, Lei Shi, Hongtao Shi, Lu Liao, Chaoya Dang and Qi Dou
Remote Sens. 2025, 17(2), 333; https://doi.org/10.3390/rs17020333 - 19 Jan 2025
Cited by 2 | Viewed by 1627
Abstract
Mapping soil organic carbon (SOC) plays a crucial role in agricultural productivity and water management. This study discusses the potential of active and passive remote sensing for SOC estimation modeling in agricultural areas, incorporating synthetic aperture radar (SAR) data (L-band quad-polarization and C-band [...] Read more.
Mapping soil organic carbon (SOC) plays a crucial role in agricultural productivity and water management. This study discusses the potential of active and passive remote sensing for SOC estimation modeling in agricultural areas, incorporating synthetic aperture radar (SAR) data (L-band quad-polarization and C-band dual-polarization), multi-spectrum (MS) data, and brightness temperature (TB) data. The performance of five advanced machine learning regression (MLR) models for SOC modeling was assessed, focusing on spatial interpolation accuracy and cross-spatial transfer accuracy, using two field observation datasets for modeling and validation. Results indicate that the SOC estimation accuracy when using MS data alone is comparable to that of using TB data alone, and both perform slightly better than SAR data. Radar cross-polarization ratio index, microwave polarization difference index, shortwave infrared reflectance, and soil parameters (elevation and soil moisture) demonstrate high correlation with the measured SOC. Incorporating temporal features, as opposed to single-phase features, allows each regression model to reach its upper limit of SOC estimation accuracy. The spatial interpolation accuracy of each MLR algorithm is satisfactory, with the Gaussian process regression (GPR) model demonstrating optimal modeling performance. When SAR, MS, or TB data are used individually in modeling, the estimation errors (RMSE) for SOC are 0.637 g/kg, 0.492 g/kg, and 0.229 g/kg for the SMAPVEX12 sampling campaign, and 0.706 g/kg, 0.454 g/kg, and 0.474 g/kg for the SMAPVEX16-MB sampling campaign, respectively. After incorporating soil moisture and topographic factors, the above RMSEs for SOC are further reduced by 57.8%, 35.6%, and 3.5% for the SMAPVEX12, and by 18.4%, 8.8%, and 3.4% for the SMAPVEX16-MB, respectively. However, cross-spatial transfer accuracy of the regression models remains limited (RMSE = 0.866–1.043 g/kg and 0.995–1.679 g/kg for different data sources). To address this, this study reduces uncertainties in SOC cross-spatial transfer by introducing terrain factors sensitive to SOC (RMSE = 0.457–0.516 g/kg and 0.799–1.198 g/kg for different data sources). The proposed SOC estimation and transfer framework, based on active and passive remote sensing data, provides guidance for high-resolution regional-scale SOC mapping and applications. Full article
(This article belongs to the Special Issue Proximal and Remote Sensing for Low-Cost Soil Carbon Stock Estimation)
Show Figures

Figure 1

23 pages, 2062 KB  
Article
The Diurnal Variation of L-Band Polarization Index in the U.S. Corn Belt Is Related to Plant Water Stress
by Richard Cirone and Brian K. Hornbuckle
Remote Sens. 2025, 17(2), 180; https://doi.org/10.3390/rs17020180 - 7 Jan 2025
Viewed by 1327
Abstract
The microwave polarization index (PI), defined as the difference between vertically polarized (V-pol) and horizontally polarized (H-pol) brightness temperature divided by their average, is independent of land surface temperature. Since soil emission is stronger at V-pol than H-pol and vegetation attenuates this polarized [...] Read more.
The microwave polarization index (PI), defined as the difference between vertically polarized (V-pol) and horizontally polarized (H-pol) brightness temperature divided by their average, is independent of land surface temperature. Since soil emission is stronger at V-pol than H-pol and vegetation attenuates this polarized soil signal primarily because of liquid water stored in vegetation tissue, a lower PI will be indicative of more water in vegetation if vegetation emits a mostly unpolarized signal and changes in soil moisture within the emitting depth are small (like during periods of drought) or accommodated by averaging over long periods. We hypothesize that the L-band PI will reveal diurnal changes in vegetation water related to whether plants have adequate soil water. We compare 6 a.m. and 6 p.m. L-band PI from NASA’s Soil Moisture Active Passive (SMAP) satellite to the evaporative stress index (ESI) in the U.S. Corn Belt during the growing season. When ESI<0 (there is not adequate plant-available water, also called plant water stress), the L-band PI is not significantly different at 6 a.m. vs. 6 p.m. On the other hand, when ESI0 (no plant water stress), the L-band PI is greater in the evening than in the morning. This diurnal behavior can be explained by transpiration outpacing root water uptake during daylight hours (resulting in a decrease in vegetation water from 6 a.m. to 6 p.m.) and continued root water uptake overnight (that recharges vegetation water) only when plants have adequate soil water. Consequently, it may be possible to use L-band PI to identify plant water stress in the Corn Belt. Full article
(This article belongs to the Special Issue Monitoring Ecohydrology with Remote Sensing)
Show Figures

Figure 1

23 pages, 7028 KB  
Article
An Assessment of the Seasonal Uncertainty of Microwave L-Band Satellite Soil Moisture Products in Jiangsu Province, China
by Chuanxiang Yi, Xiaojun Li, Zanpin Xing, Xiaozhou Xin, Yifang Ren, Hongwei Zhou, Wenjun Zhou, Pei Zhang, Tong Wu and Jean-Pierre Wigneron
Remote Sens. 2024, 16(22), 4235; https://doi.org/10.3390/rs16224235 - 14 Nov 2024
Cited by 2 | Viewed by 1465
Abstract
Accurate surface soil moisture (SM) data are crucial for agricultural management in Jiangsu Province, one of the major agricultural regions in China. However, the seasonal performance of different SM products in Jiangsu is still unknown. To address this, this study aims to evaluate [...] Read more.
Accurate surface soil moisture (SM) data are crucial for agricultural management in Jiangsu Province, one of the major agricultural regions in China. However, the seasonal performance of different SM products in Jiangsu is still unknown. To address this, this study aims to evaluate the applicability of four L-band microwave remotely sensed SM products, namely, the Soil Moisture Active Passive Single-Channel Algorithm at Vertical Polarization Level 3 (SMAP SCA-V L3, hereafter SMAP-L3), SMOS-SMAP-INRAE-BORDEAUX (SMOSMAP-IB), Soil Moisture and Ocean Salinity in version IC (SMOS-IC), and SMAP-INRAE-BORDEAUX (SMAP-IB) in Jiangsu at the seasonal scale. In addition, the effects of dynamic environmental variables such as the leaf vegetation index (LAI), mean surface soil temperature (MSST), and mean surface soil wetness (MSSM) on the performance of the above products are investigated. The results indicate that all four SM products exhibit significant seasonal differences when evaluated against in situ observations between 2016 and 2022, with most products achieving their highest correlation (R) and unbiased root-mean-square difference (ubRMSD) scores during the autumn. Conversely, their performance significantly deteriorates in the summer, with ubRMSD values exceeding 0.06 m3/m3. SMOS-IC generally achieves better R values across all seasons but has limited temporal availability, while SMAP-IB typically has the lowest ubRMSD values, even reaching 0.03 m3/m3 during morning observation in the winter. Additionally, the sensitivity of different products’ skill metrics to environmental factors varies across seasons. For ubRMSD, SMAP-L3 shows a general increase with LAI across all four seasons, while SMAP-IB exhibits a notable increase as the soil becomes wetter in the summer. Conversely, wet conditions notably reduce the R values during autumn for most products. These findings are expected to offer valuable insights for the appropriate selection of products and the enhancement of SM retrieval algorithms. Full article
Show Figures

Figure 1

21 pages, 5722 KB  
Article
Seasonal Dynamics of the Land-Surface Characteristics in Arid Regions Retrieved by Optical and Microwave Satellite Data
by Ying Tian, Kurt Ackermann, Christopher McCarthy, Troy Sternberg, Myagmartseren Purevtseren, Che Limuge, Katsuro Hagiwara, Kenta Ogawa, Satoru Hobara and Buho Hoshino
Remote Sens. 2024, 16(17), 3143; https://doi.org/10.3390/rs16173143 - 26 Aug 2024
Cited by 1 | Viewed by 1708
Abstract
Establishing a quantitative relationship between Synthetic Aperture Radar (SAR) data and optical data can facilitate the fusion of these two data sources, enhancing the time-series monitoring capabilities for remote sensing of a land surface. In this study, we analyzed the Normalized Difference Vegetation [...] Read more.
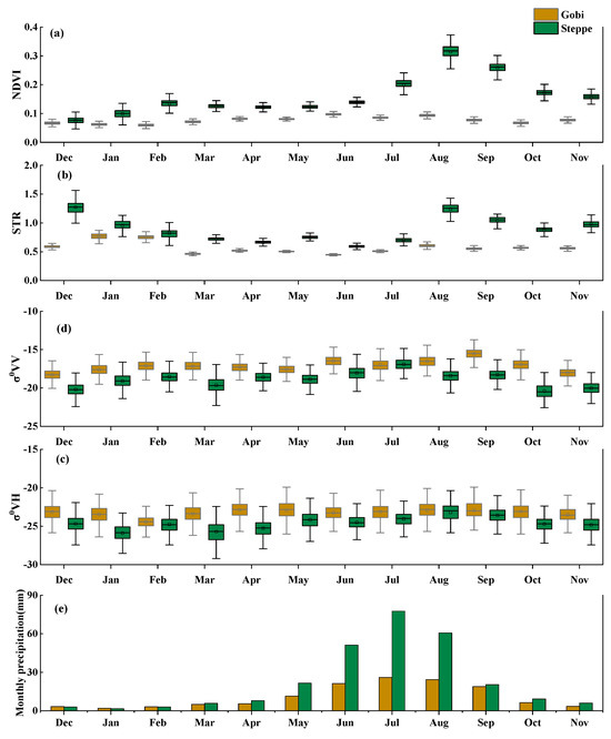
Establishing a quantitative relationship between Synthetic Aperture Radar (SAR) data and optical data can facilitate the fusion of these two data sources, enhancing the time-series monitoring capabilities for remote sensing of a land surface. In this study, we analyzed the Normalized Difference Vegetation Index (NDVI) and Shortwave Infrared Transformed Reflectance (STR) with the backscatter coefficients in vertical polarization VV (σ0VV) and cross polarization VH (σ0VH) across different seasons. We used optical and microwave satellite data spanning from the southern Gobi Desert region to the steppe region in northern Mongolia. The results indicate a relatively high correlation between the NDVI derived from Sentinel-2 and σ0VH (RVH = 0.29, RVH = 0.44, p < 0.001) and a low correlation between the NDVI and σ0VV (RVH = 0.06, RVH = 0.14, p < 0.01) in the Gobi Desert region during summer and fall. STR showed a positive correlation with both σ0VH and σ0VV except in spring, with the highest correlation coefficients observed in summer (RVV = 0.45, RVV = 0.44, p < 0.001). In the steppe region, significant seasonal variations in the NDVI and σ0VH were noted, with a strong positive correlation peaking in summer (RVH = 0.71, p < 0.001) and an inverse correlation with σ0VV except in summer (RVV = −0.43, RVV = −0.34, RVV = −0.13, p < 0.001). Additionally, STR showed a positive correlation with σ0VH and σ0VV in summer (RVH = 0.40, RVV = 0.39, p < 0.001) and fall (RVH = 0.38, RVV = 0.09, p < 0.01), as well as an inverse correlation in spring (RVH= −0.17, RVV= −0.38, p < 0.001) and winter (RVH = −0.21, RVV = −0.06, p < 0.001). The correlations between the NDVI, STR, σ0VH, and σ0VV were shown to vary by season and region. In the Gobi Desert region, perennial shrubs are not photosynthetic in spring and winter, and they affect backscatter due to surface roughness. In the steppe region, annual shrubs were found to be the dominant species and were found to photosynthesize in spring, but not enough to affect the backscatter due to surface roughness. Full article
Show Figures

Figure 1

13 pages, 6374 KB  
Article
Construction and Validation of Surface Soil Moisture Inversion Model Based on Remote Sensing and Neural Network
by Rencai Lin, Zheng Wei, Rongxiang Hu, He Chen, Yinong Li, Baozhong Zhang, Fengjing Wang and Dongxia Hu
Atmosphere 2024, 15(6), 647; https://doi.org/10.3390/atmos15060647 - 28 May 2024
Cited by 4 | Viewed by 1711
Abstract
Surface soil moisture (SSM) reflects the dry and wet states of soil. Microwave remote sensing technology can accurately obtain regional SSM in real time and effectively improve the level of agricultural drought monitoring, and it is of great significance for agricultural precision irrigation [...] Read more.
Surface soil moisture (SSM) reflects the dry and wet states of soil. Microwave remote sensing technology can accurately obtain regional SSM in real time and effectively improve the level of agricultural drought monitoring, and it is of great significance for agricultural precision irrigation and smart agriculture construction. Based on Sentinel-1, Sentinel-2, and Landsat-8 images, the effect of vegetation was removed by the water cloud model (WCM), and SSM was retrieved and validated by a radial basis function (RBF) neural network model in bare soil and vegetated areas, respectively. The normalized difference vegetation index (NDVI) calculated by Landsat-8 (NDVI_Landsat-8) had a better effect on removing the influence the of vegetation layer than that of NDVI_Sentinel-2. The RBF network model, established in a bare area (R = 0.796; RMSE = 0.029 cm3/cm3), and the RBF neural network model, established in vegetated areas (R = 0.855; RMSE = 0.024 cm3/cm3), have better simulation effects on SSM than a linear SSM inversion model with single polarization. The introduction of surface parameters to the RBF neural network model can improve the accuracy of the model and realize the high-accuracy inversion of SSM in the study area. Full article
(This article belongs to the Section Biosphere/Hydrosphere/Land–Atmosphere Interactions)
Show Figures

Figure 1

16 pages, 6431 KB  
Article
Disturbing Variability in Microwave Emission from a Non-Gaussian Distributed and Correlated Multiscale Rough Surface
by Ying Yang and Kun-Shan Chen
Remote Sens. 2023, 15(13), 3297; https://doi.org/10.3390/rs15133297 - 27 Jun 2023
Cited by 1 | Viewed by 1543
Abstract
In passive microwave remote sensing of the Earth’s surface, it is essential to relate the emission to geophysical parameters. The emissivity ranges between 0 and 1. Hence, a slight emissivity variation leads to a significant change in brightness temperature. Many sources of error [...] Read more.
In passive microwave remote sensing of the Earth’s surface, it is essential to relate the emission to geophysical parameters. The emissivity ranges between 0 and 1. Hence, a slight emissivity variation leads to a significant change in brightness temperature. Many sources of error contribute to such tiny variations in emission. This paper quantifies microwave emission variability from a rough surface through model simulation due to the non-Gaussianity in height probability density (HPD) and power spectrum density (PSD). We considered Gaussian and exponential distributions for surface height and correlation functions, representing two extremes of asperity and skewness. Additionally, the surface under consideration contains multiscale roughness. The impact of the HPD and multiscale roughness on the polarization index of the emissivity is evaluated as a function of frequency and roughness. In general, assuming that Gaussian-distributed height leads to an underestimation of the emissivity, with V polarization being less sensitive to the non-Gaussian HPD and PSD effects than H polarization, the emissions are enhanced at high roughness with small look angles but are reduced for smooth surfaces at large look angles under non-Gaussian PSD. In a specific scenario, the dynamic range of the difference between exponential and Gaussian HPD is 0~10%, and the difference in emissivity caused by non-Gaussian PSD ranges from −2% to 16%. These results should be helpful in interpreting the radiometric measurements that exhibit fluctuations and differences with model predictions. Full article
(This article belongs to the Section Remote Sensing in Geology, Geomorphology and Hydrology)
Show Figures

Figure 1

10 pages, 2858 KB  
Communication
Enhanced Spin Hall Shift by Multipoles of Different Orders in Spherical Particles
by Rudao Li, Dongliang Gao and Lei Gao
Photonics 2023, 10(7), 732; https://doi.org/10.3390/photonics10070732 - 26 Jun 2023
Cited by 2 | Viewed by 1541
Abstract
The spin–orbit interaction of light is universal in the process of light scattering, and an important aspect is the spin Hall effect. The spin Hall effect of light also exists in a three-dimensional (3D) system. When circularly polarized light is incident on a [...] Read more.
The spin–orbit interaction of light is universal in the process of light scattering, and an important aspect is the spin Hall effect. The spin Hall effect of light also exists in a three-dimensional (3D) system. When circularly polarized light is incident on a spherical particle, the transverse displacement of the particle relative to the scattering plane can be observed due to the spiraling of the Poynting vector in the far field. In general, the spin Hall shift of light is negligible and difficult to detect in experiments. In this paper, we use a high-refractive-index (HRI) core-shell structure to excite high-order multipoles and explore the interaction between different order multipoles to enhance the spin Hall shift in the microwave band. We show that there exist some angles that increase the spin Hall shift when two particular multipoles are equal and dominated. Our work provides a new perspective for understanding the interaction between light and particles and enhances the spin Hall shift of the sphere in the microwave band. Full article
(This article belongs to the Special Issue Light Control and Particle Manipulation)
Show Figures

Figure 1

15 pages, 7252 KB  
Article
Surface Properties of Global Land Surface Microwave Emissivity Derived from FY-3D/MWRI Measurements
by Ronghan Xu, Zharong Pan, Yang Han, Wei Zheng and Shengli Wu
Sensors 2023, 23(12), 5534; https://doi.org/10.3390/s23125534 - 13 Jun 2023
Cited by 10 | Viewed by 3180
Abstract
Land surface microwave emissivity is crucial to the accurate retrieval of surface and atmospheric parameters and the assimilation of microwave data into numerical models over land. The microwave radiation imager (MWRI) sensors aboard on Chinese FengYun-3 (FY-3) series satellites provide valuable measurements for [...] Read more.
Land surface microwave emissivity is crucial to the accurate retrieval of surface and atmospheric parameters and the assimilation of microwave data into numerical models over land. The microwave radiation imager (MWRI) sensors aboard on Chinese FengYun-3 (FY-3) series satellites provide valuable measurements for the derivation of global microwave physical parameters. In this study, an approximated microwave radiation transfer equation was used to estimate land surface emissivity from MWRI by using brightness temperature observations along with corresponding land and atmospheric properties obtained from ERA-Interim reanalysis data. Surface microwave emissivity at the 10.65, 18.7, 23.8, 36.5, and 89 GHz vertical and horizontal polarizations was derived. Then, the global spatial distribution and spectrum characteristics of emissivity over different land cover types were investigated. The seasonal variations of emissivity for different surface properties were presented. Furthermore, the error source was also discussed in our emissivity derivation. The results showed that the estimated emissivity was able to capture the major large-scale features and contains a wealth of information regarding soil moisture and vegetation density. The emissivity increased with the increase in frequency. The smaller surface roughness and increased scattering effect may result in low emissivity. Desert regions showed high emissivity microwave polarization difference index (MPDI) values, which suggested the high contrast between vertical and horizontal microwave signals in this region. The emissivity of the deciduous needleleaf forest in summer was almost the greatest among different land cover types. There was a sharp decrease in the emissivity at 89 GHz in the winter, possibly due to the influence of deciduous leaves and snowfall. The land surface temperature, the radio-frequency interference, and the high-frequency channel under cloudy conditions may be the main error sources in this retrieval. This work showed the potential capabilities of providing continuous and comprehensive global surface microwave emissivity from FY-3 series satellites for a better understanding of its spatiotemporal variability and underlying processes. Full article
Show Figures

Figure 1

20 pages, 4460 KB  
Article
Microwave Emissivity of Typical Vegetated Land Types Based on AMSR2
by Xueying Wang and Zhenzhan Wang
Remote Sens. 2022, 14(17), 4276; https://doi.org/10.3390/rs14174276 - 30 Aug 2022
Cited by 5 | Viewed by 2419
Abstract
To investigate the microwave radiation characteristics of different vegetation types, the “pure pixels” of 12 typical vegetated land types were selected and corresponding emissivity was retrieved under clear sky based on L1C AMSR2 observed brightness temperatures (TBs). According to the retrieved values for [...] Read more.
To investigate the microwave radiation characteristics of different vegetation types, the “pure pixels” of 12 typical vegetated land types were selected and corresponding emissivity was retrieved under clear sky based on L1C AMSR2 observed brightness temperatures (TBs). According to the retrieved values for the 12 types, the spectral features in summer from 10.65 to 89 GHz were analyzed first. Then, the temporal variations in emissivity at 10.65, 18.7, and 36.5 GHz H-polarized (hereinafter 10H, 18H and 36H) are shown for the period from January 2018 to September 2020. Finally, the responses of 10H emissivity to surface skin temperature (SKT), the normalized differential vegetation index (NDVI), and soil moisture content (SMC) were quantitatively evaluated using a step-by-step analysis method. The general results are as follows: H-polarized (H-pol) emissivity increases with frequency and vegetation biomass, while the polarization differences decrease with frequency and vegetation biomass. The responses of V-pol emissivity to frequency and biomass are different from those of H-pol emissivity, and there are negative correlations with frequency and unusually high low-frequency values in grasslands and open shrublands (OS). The temporal variation amplitude of emissivity seems to be negatively correlated with vegetation biomass, and evergreen broadleaf forests show little variation. In general, the seasonal changes in emissivity are consistent with those of NDVI for most vegetation types. Nevertheless, in some cases, the change in emissivity is obviously ahead or behind that of NDVI, revealing that NDVI and emissivity may be sensitive to different vegetation elements that do not change in sync. In addition, variations in emissivity at different frequencies also show different amplitudes and turning points. Generally, the response of the 10H emissivity to SKT is weak, regardless of whether the response is positive or negative. The relatively large negative responses can be attributed to other indirect causes. NDVI plays a positive role in emissivity of the low-biomass vegetation in drier environments and medium- or high-biomass vegetation with clear seasonal variation. SMC is a complex factor that can have a positive or negative effect on emissivity. Full article
Show Figures

Graphical abstract

21 pages, 5016 KB  
Article
Monitoring Irrigation Events and Crop Dynamics Using Sentinel-1 and Sentinel-2 Time Series
by Chunfeng Ma, Kasper Johansen and Matthew F. McCabe
Remote Sens. 2022, 14(5), 1205; https://doi.org/10.3390/rs14051205 - 1 Mar 2022
Cited by 20 | Viewed by 6177
Abstract
Capturing and identifying field-based agricultural activities, such as the start, duration and end of irrigation, together with crop sowing/germination, growing period and time of harvest, offer informative metrics that can assist in precision agricultural activities in addition to broader water and food security [...] Read more.
Capturing and identifying field-based agricultural activities, such as the start, duration and end of irrigation, together with crop sowing/germination, growing period and time of harvest, offer informative metrics that can assist in precision agricultural activities in addition to broader water and food security monitoring efforts. While optically based band-ratios, such as the normalized difference vegetation index (NDVI) and normalized difference water index (NDWI), have been used as descriptors for monitoring crop dynamics, data are not always available due to the influence of clouds and other atmospheric effects on optical sensors. Satellite-based microwave systems, such as the synthetic aperture radar (SAR), offer an all-weather advantage in monitoring soil and crop conditions. In this paper, we leverage the relative strengths of both optical- and microwave-based approaches by combining high resolution Sentinel-1 SAR and Sentinel-2 optical imagery to monitor irrigation events and crop dynamics in a dryland agricultural landscape. A microwave backscatter model was used to analyze the responses of simulated backscatters to soil moisture, NDVI and NDWI (both are correlated with vegetation water content and can be regarded as vegetation descriptors), allowing an empirical relationship between these two platforms. A correlation analysis was also performed using Sentinel-1 SAR and Sentinel-2 optical data over crops of maize, alfalfa, carrot and Rhodes grass in Al Kharj farm of Saudi Arabia to identify an appropriate SAR-based vegetation descriptor. The results illustrate the relationship between SAR and both NDVI and NDWI and demonstrated the relationship between the cross-polarization ratio (VH/VV) and the two optical indices. We explore the capacity of this multi-platform and multi-sensor approach to inform on the spatio-temporal dynamics of a range of agricultural activities, which can be used to facilitate field-based management decisions. Full article
(This article belongs to the Special Issue Remote Sensing for Agricultural Water Management (RSAWM))
Show Figures

Figure 1

18 pages, 3287 KB  
Article
Detection of Crop Hail Damage with a Machine Learning Algorithm Using Time Series of Remote Sensing Data
by Leandro Sosa, Ana Justel and Íñigo Molina
Agronomy 2021, 11(10), 2078; https://doi.org/10.3390/agronomy11102078 - 18 Oct 2021
Cited by 21 | Viewed by 5864
Abstract
Hailstorms usually result in total crop loss. After a hailstorm, the affected field is inspected by an insurance claims adjuster to assess yield loss. Assessment accuracy depends largely on in situ detection of homogeneous damage sectors within the field, using visual techniques. This [...] Read more.
Hailstorms usually result in total crop loss. After a hailstorm, the affected field is inspected by an insurance claims adjuster to assess yield loss. Assessment accuracy depends largely on in situ detection of homogeneous damage sectors within the field, using visual techniques. This paper presents an algorithm for the automatic detection of homogeneous hail damage through the application of unsupervised machine learning techniques to vegetation indices calculated from remote sensing data. Five microwave and five spectral indices were evaluated before and after a hailstorm in zones with different degrees of damage. Dual Polarization SAR Vegetation Index and Normalized Pigment Chlorophyll Ratio Index were the most sensitive to hail-induced changes. The time series and rates of change of these indices were used as input variables in the K-means method for clustering pixels into homogeneous damage zones. Validation of the algorithm with data from 91 soybean, wheat, and corn plots showed that in 87.01% of cases there was significant evidence of differences in average damage between zones determined by the algorithm within the plot. Thus, the algorithm presented in this paper allowed efficient detection of homogeneous hail damage zones, which is expected to improve accuracy and transparency in the characterization of hailstorm events. Full article
(This article belongs to the Special Issue Geoinformatics Application in Agriculture)
Show Figures

Figure 1

15 pages, 7755 KB  
Article
A Broadband Polarization-Insensitive Graphene Modulator Based on Dual Built-in Orthogonal Slots Plasmonic Waveguide
by Wei Chen, Yan Xu, Yang Gao, Lanjing Ji, Xibin Wang, Xiaoqiang Sun and Daming Zhang
Appl. Sci. 2021, 11(4), 1897; https://doi.org/10.3390/app11041897 - 21 Feb 2021
Cited by 7 | Viewed by 2916
Abstract
A broadband polarization-insensitive graphene modulator has been proposed. The dual built-in orthogonal slots waveguide allows polarization independence for the transverse electric (TE) mode and the transverse magnetic (TM) mode. Due to the introduction of metal slots in both the vertical and horizontal directions, [...] Read more.
A broadband polarization-insensitive graphene modulator has been proposed. The dual built-in orthogonal slots waveguide allows polarization independence for the transverse electric (TE) mode and the transverse magnetic (TM) mode. Due to the introduction of metal slots in both the vertical and horizontal directions, the optical field as well as the electro-absorption of graphene are enhanced by the plasmonic effect. The proposed electro-optic modulator shows a modulation depth of 0.474 and 0.462 dB/μm for two supported modes, respectively. An ultra-low effective index difference of 0.001 can be achieved within the wavelength range from 1100 to 1900 nm. The 3 dB-bandwidth is estimated to be 101 GHz. The power consumption is 271 fJ/bit at a modulation length of 20 μm. The proposed modulator provides high speed broadband solutions in microwave photonic systems. Full article
Show Figures

Figure 1

20 pages, 6703 KB  
Article
Using Microwave Profile Radar to Estimate Forest Canopy Leaf Area Index: Linking 3D Radiative Transfer Model and Forest Gap Model
by Kai Du, Huaguo Huang, Ziyi Feng, Teemu Hakala, Yuwei Chen and Juha Hyyppä
Remote Sens. 2021, 13(2), 297; https://doi.org/10.3390/rs13020297 - 16 Jan 2021
Cited by 5 | Viewed by 3989
Abstract
Profile radar allows direct characterization of the vertical forest structure. Short-wavelength, such as Ku or X band, microwave data provide opportunities to detect the foliage. In order to exploit the potential of radar technology in forestry applications, a helicopter-borne Ku-band profile radar system, [...] Read more.
Profile radar allows direct characterization of the vertical forest structure. Short-wavelength, such as Ku or X band, microwave data provide opportunities to detect the foliage. In order to exploit the potential of radar technology in forestry applications, a helicopter-borne Ku-band profile radar system, named Tomoradar, has been developed by the Finnish Geospatial Research Institute. However, how to use the profile radar waveforms to assess forest canopy parameters remains a challenge. In this study, we proposed a method by matching Tomoradar waveforms with simulated ones to estimate forest canopy leaf area index (LAI). Simulations were conducted by linking an individual tree-based forest gap model ZELIG and a three-dimension (3D) profile radar simulation model RAPID2. The ZELIG model simulated the parameters of potential local forest succession scene, and the RAPID2 model utilized the parameters to generate 3D virtual scenes and simulate waveforms based on Tomoradar configuration. The direct comparison of simulated and collected waveforms from Tomoradar could be carried out, which enabled the derivation of possible canopy LAI distribution corresponding to the Tomoradar waveform. A 600-m stripe of Tomoradar data (HH polarization) collected in the boreal forest at Evo in Finland was used as a test, which was divided into 60 plots with an interval of 10 m along the trajectory. The average waveform of each plot was employed to estimate the canopy LAI. Good results have been found in the waveform matching and the uncertainty of canopy LAI estimation. There were 95% of the plots with the mean relative overlapping rate (RO) above 0.7. The coefficients of variation of canopy LAI estimates were less than 0.20 in 80% of the plots. Compared to lidar-derived canopy effective LAI estimation, the coefficient of determination was 0.46, and the root mean square error (RMSE) was 1.81. This study established a bridge between the Ku band profile radar waveform and the forest canopy LAI by linking the RAPID2 and ZELIG model, presenting the uncertainty of forest canopy LAI estimation using Tomoradar. It is worth noting that since the difference of backscattering contribution is caused by both canopy structure and tree species, similar waveforms may correspond to different canopy LAI, inducing the uncertainty of canopy LAI estimation, which should be noticed in forest parameters estimation with empirical methods. Full article
(This article belongs to the Section Forest Remote Sensing)
Show Figures

Figure 1

26 pages, 3568 KB  
Article
Evaluation of Different Radiative Transfer Models for Microwave Backscatter Estimation of Wheat Fields
by Thomas Weiß, Thomas Ramsauer, Alexander Löw and Philip Marzahn
Remote Sens. 2020, 12(18), 3037; https://doi.org/10.3390/rs12183037 - 17 Sep 2020
Cited by 18 | Viewed by 4492
Abstract
This study aimed to analyze existing microwave surface (Oh, Dubois, Water Cloud Model “WCM”, Integral Equation Model “IEM”) and canopy (Water Cloud Model “WCM”, Single Scattering Radiative Transfer “SSRT”) Radiative Transfer (RT) models and assess advantages and disadvantages of different model combinations in [...] Read more.
This study aimed to analyze existing microwave surface (Oh, Dubois, Water Cloud Model “WCM”, Integral Equation Model “IEM”) and canopy (Water Cloud Model “WCM”, Single Scattering Radiative Transfer “SSRT”) Radiative Transfer (RT) models and assess advantages and disadvantages of different model combinations in terms of VV polarized radar backscatter simulation of wheat fields. The models are driven with field measurements acquired in 2017 at a test site near Munich, Germany. As vegetation descriptor for the canopy models Leaf Area Index (LAI) was used. The effect of empirical model parameters is evaluated in two different ways: (a) empirical model parameters are set as static throughout the whole time series of one growing season and (b) empirical model parameters describing the backscatter attenuation by the canopy are treated as non-static in time. The model results are compared to a dense Sentinel-1 C-band time series with observations every 1.5 days. The utilized Sentinel-1 time series comprises images acquired with different satellite acquisition geometries (different incidence and azimuth angles), which allows us to evaluate the model performance for different acquisition geometries. Results show that total LAI as vegetation descriptor in combination with static empirical parameters fit Sentinel-1 radar backscatter of wheat fields only sufficient within the first half of the vegetation period. With the saturation of LAI and/or canopy height of the wheat fields, the observed increase in Sentinel-1 radar backscatter cannot be modeled. Probable cause are effects of changes within the grains (both structure and water content per leaf area) and their influence on the backscatter. However, model results with LAI and non-static empirical parameters fit the Sentinel-1 data well for the entire vegetation period. Limitations regarding different satellite acquisition geometries become apparent for the second half of the vegetation period. The observed overall increase in backscatter can be modeled, but a trend mismatch between modeled and observed backscatter values of adjacent time points with different acquisition geometries is observed. Full article
(This article belongs to the Special Issue Remote Sensing of Regional Soil Moisture)
Show Figures

Graphical abstract

Back to TopTop