Aerodynamic Performance of a Natural Laminar Flow Swept-Back Wing for Low-Speed UAVs Under Take Off/Landing Flight Conditions and Atmospheric Turbulence
Abstract
1. Introduction
2. Material and Methods
2.1. Geometry of the Wing and Airfoil Selection: Benchmarking of the CFD Code
2.2. CFD Simulation and Turbulence Modeling
3. Results and Discussion
3.1. Take Off/Landing Flight Conditions Under Minimal Inflow Turbulence (Simulations S1 and S2) , ,
3.1.1. Analysis of the near-Wing Flow Under Minimal Inflow Turbulence (Case S2)
3.1.2. Analysis of the near-Wake Flow Under Minimal Inflow Turbulence (Case S2): Comparison of Near- and Far-Wake with RANS Predictions
3.1.3. Aerodynamic Loading of the Wing by Intermediate Inflow Turbulence Levels
4. Conclusions
- The use of NLF(1)-0416 low-speed airfoil for the design of a light aircraft wing is very promising. There is strong evidence that the wing achieves significant extents of laminar flow, at least of the chord, solely through favorable pressure gradients. This results in a considerable lift-to-drag ratio close to 19 under take off/landing flight consditions (wing aerodynamic metrics: Cl = 1.147 and Cd = 0.0596 at AoA = , which is stall condition).
- By the flat wing tip, the boundary initially detaches at the two tip corners, and thus, two shear layers are formed which subsequently roll up and merge to form a coherent vortex. This mechanism leads to a tip vortex with significant axial velocity surplus, e.g., , which diminishes downstream, i.e., an almost full recovery of the freestream flow is achieved at a cross-plane two chords downstream of the wing. The WTV also exhibits a straight, instead of a meandering, trajectory.
- The CFD code delivers well in benchmarking against the wind tunnel results of the NLF airfoil at conditions AoA = , Mach = 0.1 and Re = . Although the kOmegaSSTLM turbulence model satisfactorily reproduces the experimental finding in 2D simulations, the IDDES model for the 3D cases around the wing is chosen since the latter does not predict but simulates the transition. In the current work, definite evidence is produced that the IDDES model can identify the transition (emergence of instabilities) even for industrial applications with relatively coarse meshes and high time steps for light aircrafts at low speeds.
- The numerical method verifies that some shear Reynolds stresses are shifted 45 degrees from the corresponding mean strain rate in the rolling wing tip vortex, which is also verified experimentally by Chow et al. [27] and numerically by Jiang et al. [12]. This hints at the inadequacy of the Boussinesq Approximation for modeling the highly anisotropic nature of turbulence in regions such as in the vicinity of the wing tip. The calculation of Reynolds stresses through the Boussinesq assumption introduces errors that result in considerably different wake patterns. IDDES predicts a considerably higher velocity deficit and higher turbulence levels than RANS in the WTV that persist at least 3 m downstream of the wing tip. The WTV trajectory is also directed inboard (towards the empennage) while the WTV diameter widens downstream. The shadowing of the empennage (if it happens, it depends on the design) and the authority mitigation of the control surfaces is predicted to be higher by IDDES than RANS simulation. Therefore, the use of safety factors in the design of the control surfaces is recommended if the designer uses RANS models for the prediction of WTV/empennage aerodynamic interaction.
- The inflow turbulence plays a significant role in the aerodynamic performance of the wing in question. Although the synthetically constructed velocity field that encounters the wing has a medium-level turbulence intensity , the predicted lift reduction is in the order of and the increase in drag close to , in comparison to minimal inflow turbulence simulation (S1). This fact does not pose a threat to the aircraft during take off, which is the main concern of the study, since a large portion of the lift is retained but increases the thrust requirements. These findings are in accordance with the bibliography that claims the aerodynamic performance mitigation of airfoils in turbulent weather calls for a more exhaustive research on the effect of turbulence on low-speed, swept-back wings under high loading conditions.
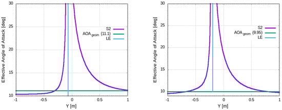
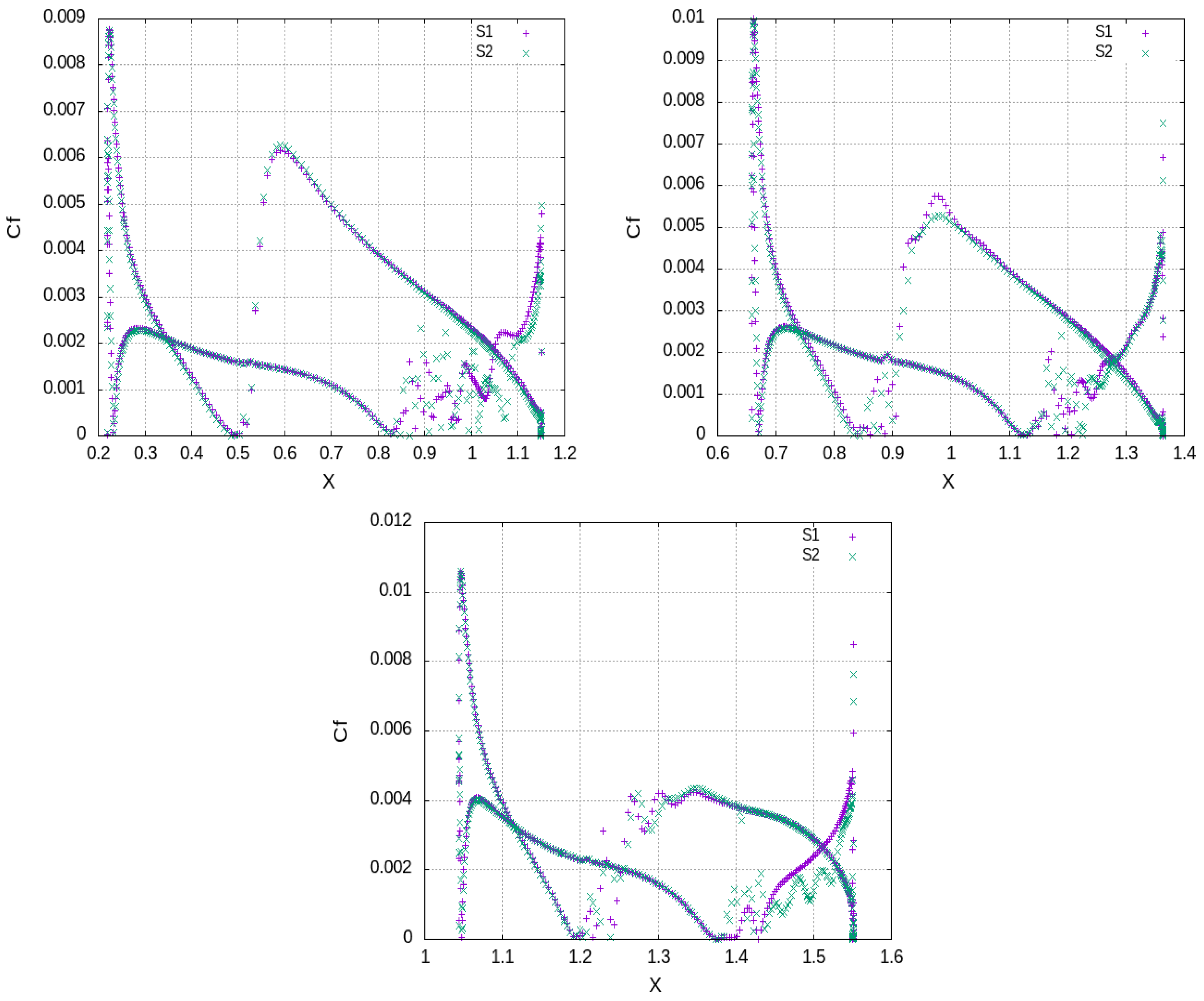
- The wing is safe against stall at high AoA since the laminar separation bubble is suppressed, the boundary layer becomes turbulent and the flow reattaches. This is verified by the distributions, the visualization of the flow in the bubble region and the kinematics of the flow (angles , which are close to the theoretical values.
- The meshing strategy, as tabulated in Table 5, gives confidence in the results which are tabulated in Table 6. All block-structured meshes (S0, S1, S2) produce high lift-to-drag ratio of about 18 to 19. S0 produces double skin friction drag vs. S1, S2 due to its fully turbulent character. S5, which is an unstructured voxel-type mesh, also identifies the transition since it produces low-level skin friction drag and a slightly higher lift than S1, S2. The voxel meshes being used for the inflow turbulence cases (S3, S4) predict both the lift reduction in comparison to minimal inflow turbulence case and the high increase in drag.
Author Contributions
Funding
Data Availability Statement
Acknowledgments
Conflicts of Interest
Nomenclature
| Effective Angle of Attack | |
| Induced Angle of Attack | |
| AoA | Angle of Attack |
| AR | Aspect Ratio |
| Lift Coefficient | |
| Drag Coefficient | |
| DDES | Delayed Deatched Eddy Simulation |
| Induced Downwash Angle | |
| HPC | High-Performance Computing |
| IDDES | Improved Delayed Detatched Eddy simulation |
| kOmegaSSTLM | Shear Stress Transport Turbulence Model with Modeling of Transition |
| from Laminar to Turbulence | |
| LES | Large Eddy Simulation |
| NLF | Natural Laminar Flow |
| RANS-SA | Reynolds Averaged Navier–Stokes Turbulence Model of Spalart-Allmaras |
| URANS | Unsteady Reynolds Averaged Navier–Stokes |
| WMLS | Wall-Modeled Large Eddy Simulation |
| WTV | Wing Tip Vortex |
| Kinematic viscosity |
References
- Van Ingen, J.L. The eN method for transition prediction. Historical review of work at TU Delft. In Proceedings of the 38th Fluid Dynamics Conference and Exhibition, Seattle, DC, USA, 23–26 June 2008. [Google Scholar] [CrossRef]
- Langtry, R.B.; Menter, F.R. Correlation-Based Transition Modeling for Unstructured Parallelized Computational Fluid Dynamics Codes. AIAA J. 2009, 47, 2894–2906. [Google Scholar] [CrossRef]
- Fischer, J.S. A Framework for the Transition Delay Using Linear Stability Theory and Adjoint Optimization. Ph.D. Thesis, Universiteit Twente, Oldenburg, Germany, 1991. [Google Scholar]
- Spalart, P.R.; Deck, S.; Shur, M.L.; Squires, K.D.; Strelets, M.K.; Travin, A. A new version of detached-eddy simulation, resistant to ambiguous grid densities. Theor. Comput. Fluid Dyn. 2006, 20, 181–195. [Google Scholar] [CrossRef]
- Verhoeven, O. Trailing Edge Noise Simulations Using IDDES in OpenFOAM. Master’s Thesis, Delft University of Technology, Delft, The Netherlands, 2011. [Google Scholar]
- Sadraey, M.H. Aircraft Design: A System Engineering Approach; Aerospace Series; John Wiley and Sons: Chichester, UK, 2013. [Google Scholar] [CrossRef]
- Soltani, M.; Masdari, M.; Tirandaz, M. Effect of an end plate on surface pressure distributions of two swept wings. Chin. J. Aeronaut. 2017, 30, 1631–1643. [Google Scholar] [CrossRef]
- Antoniou, S.; Kapsalis, S.; Panagiotou, P.; Yakinthos, K. Parametric Investigation of Leading-Edge Slats on a Blended-Wing-Body UAV Using the Taguchi Method. Aerospace 2023, 10, 720. [Google Scholar] [CrossRef]
- O’Regan, M.S.; Griffin, P.C.; Young, T.M. A vorticity confinement model applied to URANS and LES simulations of a wing-tip vortex in the near-field. Int. J. Heat Fluid Flow 2016, 61, 355–365. [Google Scholar] [CrossRef]
- Feder, D.F.; Dhone, M.; Kornev, N.; Abdel-Maksoud, M. Comparison of different approaches tracking a wing-tip vortex. Ocean. Eng. 2018, 147, 659–675. [Google Scholar] [CrossRef]
- Liang, Z.; Xue, L. Detached-eddy simulation of wing-tip vortex in the near field of NACA 0015 airfoil. J. Hydrodyn. 2014, 26, 199–206. [Google Scholar] [CrossRef]
- Jiang, L.; Cai, J.; Liu, C. Large-eddy Simulation of Wing Tip Vortex in the Near Field. Int. J. Comput. Fluid Dyn. 2008, 22, 289–330. [Google Scholar] [CrossRef]
- Rogowski, K.; Hansen, M.O.L.; Hanse, R.; Piecna, J.; Lichota, P. Detached Eddy Simulation Model for the DU-91-W2-250 Airfoil. J. Phys. Conf. Ser. 2018, 1037, 022019. [Google Scholar] [CrossRef]
- Mitchell, A.; Morton, S.; Forsythe, J.; Cummings, R. Analysis of Delta-Wing Vortical Substructures Using Detached-Eddy Simulation. AIAA J. 2006, 44, 964–972. [Google Scholar] [CrossRef]
- Pereira, R.L.; Lucci, J.O.M.; Medina, F.N. Aerodynamic Performance of Natural Laminar Flow Aerofoils Applied to Low-and High-Speed Wings. In Proceedings of the 10th Aerospace Technology Congress, Stockholm, Sweden, 8–9 October 2019; Swedish Society of Aeronautics and Astronautics (FTF): Stockholm, Sweden, 2019; Available online: https://ep.liu.se/ecp/162/006/ecp19162006.pdf (accessed on 13 October 2025).
- Dassault Systèmes, “XFlow Brochure,” 2019. [Online]. Available online: https://www.3ds.com/ (accessed on 26 June 2019).
- Spalart, P.R.; Jou, W.-H.; Strelets, M.; Allmaras, S.R. Comments on the Feasibility of LES for Wings, and on a Hybrid RANS/LES. In Advances in DNS/LES; Greyden Press: Columbus, OH, USA, 1997; pp. 137–147. [Google Scholar]
- Shur, M.L.; Spalart, P.R.; Strelets, M.K.; Travin, A.K. A hybrid RANS-LES approach with delayed-DES and wall-modelled LES capabilities. Int. J. Heat Fluid Flow 2008, 29, 1638–1649. [Google Scholar] [CrossRef]
- Kim, W.W.; Menon, S. A new dynamic one-equation subgrid-scale model for large eddy simulations. In Proceedings of the 33rd Aerospace Sciences Meeting and Exhibit, Reno, NV, USA, 9–12 January 1995. [Google Scholar] [CrossRef]
- Poletto, R.; Craft, T.; Revell, A. A New Divergence Free Synthetic Eddy Method for the Reproduction of Inlet Flow Conditions for LES. Flow Turbul. Combust. 2013, 91, 519–539. [Google Scholar] [CrossRef]
- Weller, H.G.; Tabor, G.; Jasak, H.; Fureby, C. A tensorial approach to computational continuum mechanics using object-oriented techniques. Comput. Phys. 1998, 12, 620–631. [Google Scholar] [CrossRef]
- Somers, D.M. Design and Experimental Results for a Natural-Laminar-Flow Airfoil for General Aviation Applications; NASA Technical Paper 1861; NASA: Washington, DC, USA, 1981. [Google Scholar]
- Piomelli, U.; Chasnov, J.R. Large-eddy simulations: Theory and applications. In Transition and Turbulence Modelling; Henningson, D., Hallbaeck, M., Alfreddson, H., Johansson, A., Eds.; Kluwer Academic Publishers: Dordrecht, The Netherlands, 1996; pp. 269–336. [Google Scholar]
- Raymer, D. Aircraft Design: A Conceptual Approach, 15th ed.; American Institute of Aeronautics and Astronautics, Inc.: Reston, VA, USA, 2012. [Google Scholar] [CrossRef]
- McConnell, M.R.; Knight, J.; Buic, J. Improved Delayed Detached-Eddy Simulation of Turbulent Vortex Shedding in Inert Flow over a Triangular Bluff Body. Fluids 2024, 9, 246. [Google Scholar] [CrossRef]
- Gudmundsson, S. General Aviation Aircaft Design: Applied Methods and Procedures; Aerospace Series; John Wiley and Sons, Elsevier Science: Waltham, MA, USA, 2021; ISBN 978-0-12-818465-3. [Google Scholar]
- Chow, J.S.; Zilliac, G.G.; Bradshaw, P. Mean and turbulence measurements in the near field of a wingtip vortex. AIAA J. 1997, 35, 1561–1567. [Google Scholar] [CrossRef]
- Boy, T.E.; Djidjeli, K.; Xie, Z. Impact of Large-Scale Freestream Turbulence on a Pitching Airfoil. Flow 2023, 4, E3. [Google Scholar] [CrossRef]
- Wang, R.; Xiao, Z. Influence of free-stream turbulence on the aerodynamic performance of a three-dimensional airfoil. AIP Adv. 2021, 11, 075304. [Google Scholar] [CrossRef]
- Herbst, S.L.; Kähler, C.J.; Hain, R. Influence of large-scale free-stream turbulence on an SD7003 airfoil at low reynolds numbers. In Proceedings of the 2018 Applied Aerodynamics Conference, Atlanta, GA, USA, 25–29 June 2018. [Google Scholar]
- Mahmoodilari, M. The Effect of Turbulent Flow on Wind Turbine Loading and Performance. Ph.D. Thesis, University of Manchester, Manchester, UK, 2012. [Google Scholar]






























| Speed [m/s] | 20 |
| AoA [deg] | 12 |
| Kinematic Viscosity [m2/s] | |
| Density [Kg/m3] | 1.225 |
| Simulation No. | Type of Mesh | Mesh Size (Cells) | Turbulence Model |
|---|---|---|---|
| NLF1 | 2D | 320 × 100 | kOmegaSSTLM |
| NLF2 | 3D | 1600 × 60 × 70 | URANS-SA |
| NLF3 | 3D | 1600 × 60 × 70 | IDDES |
| NLF4 | 3D | 1600 × 60 × 70 | LES |
| NLF5 | 3D | 300 × 30 × 20 | URANS-SA |
| NLF6 | 3D | 300 × 30 × 20 | IDDES |
| Simulation No. | SSL | SST | PSL | PST | ||||
|---|---|---|---|---|---|---|---|---|
| NLF1 | 0.4142 | 0.42 | 0.00856 | 0.0084 | 0.45 | 0.5 | 0.6 | 0.65 |
| NLF2 | 0.3787 | 0.42 | 0.0127 | 0.0084 | 0.45 | 0.5 | 0.6 | 0.65 |
| NLF3 | 0.4214 | 0.42 | 0.007 | 0.0084 | 0.45 | 0.5 | 0.6 | 0.65 |
| NLF4 | 0.4105 | 0.42 | 0.0075 | 0.0084 | 0.45 | 0.5 | 0.6 | 0.65 |
| NLF5 | 0.3867 | 0.42 | 0.01311 | 0.0084 | 0.45 | 0.5 | 0.6 | 0.65 |
| NLF6 | 0.4171 | 0.42 | 0.0073 | 0.0084 | 0.45 | 0.5 | 0.6 | 0.65 |
| Semi-Span [m] | 3.25 |
| Sweep [deg] | 35 |
| Twist [deg] | 4 |
| Dihedral [deg] | −3 |
| Root Chord [m] | 1.1 |
| Tip Chord [m] | 0.5 |
| Mean Chord [m] | 0.8375 |
| Aspect Ratio (AR) | 8.12 |
| Blunt trailing edge width (Tip) [mm] | 3.2 |
| Blunt trailing edge width (Root) [mm] | 7 |
| No | Type of Mesh | Model | Mesh Size (Cells) | ||
|---|---|---|---|---|---|
| S0 | Block-Structured (408 × 60 × 354) | RANS-SA | Minimal | 32 M | 1 |
| S1 | Block-Structured (408 × 60 × 354) | IDDES | Minimal | 27 M | 0.46 |
| S2 | Block-Structured (408 × 60 × 354) | IDDES | Minimal | 32 M | 0.85 |
| S3 | Voxel (252 × 30 × 500) | IDDES | ≈2% | 13 M | <1 |
| S4 | Voxel (252 × 30 × 500) | k− | ≈2% | 13 M | <1 |
| S5 | Voxel (252 × 30 × 500) | IDDES | Minimal | 17 M | <1 |
| No | Lift [Nt] | Drag [Nt] | L/D | Pres Drag [Nt] | Visc Drag [Nt] | DR (XC4) 0.5 m | DR (XC6) 1.25 m | DR (XC7) 3.25 m | Tu % (XC4) 0.5 m | Tu % (XC6) 1.25 m | Tu % (XC7) 3.25 m |
|---|---|---|---|---|---|---|---|---|---|---|---|
| S0 | 722 | 40 | 18 | 34 | 6 | 0.95 | 0.84 | 0.83 | 8 | 4.1 | 3.12 |
| S1 | 731 | 38 | 19.2 | 35 | 3 | 1.42 | 0.88 | 0.55 | 1.3 | 19.3 | 23.4 |
| S2 | 749 | 38 | 19.7 | 35 | 3 | 1.48 | 0.92 | 0.59 | 3.6 | 21.8 | 13.25 |
| S3 | 672 | 69 | 9.73 | 62.5 | 6.51 | - | - | - | - | - | - |
| S4 | 644 | 100 | 6.44 | 92 | 8.5 | - | - | - | - | - | - |
| S5 | 783 | 42 | 18.6 | 39 | 3 | - | - | - | - | - | - |
| Position | |||
|---|---|---|---|
| 11.1 | 10.36 | 0.74 | |
| 9.95 | 9.52 | 0.43 |
| Abbreviation | Description |
|---|---|
| XC1 | Cross section at 50% of tip chord measured from the leading edge |
| XC2 | Cross section plane at 99% |
| XC3 | Cross section plane at 110% |
| XC4 | Cross section at 150% |
| XC5 | Cross section at 200% |
| XC6 | Cross section at 300% |
| XC7 | Cross section at 700% |
| P | Instantaneous Static Pressure (P = 0 atmospheric datum pressure) |
| Instantaneous Axial Velocity | |
| Instantaneous normalized axial vorticity | |
| UPrime2Mean | Prime-squared mean of the velocity field |
| Cross Plane | Coordinates of Vortex Center |
|---|---|
| XC3 | x = 1.630 y = −0.3530 z = 3.242 |
| XC4 | x = 1.822 y = −0.3330 z = 3.210 |
| XC5 | x = 2.065 y = −0.3260 z = 3.200 |
| XC6 | x = +2.548 y = −0.3056 z = 3.176 |
Disclaimer/Publisher’s Note: The statements, opinions and data contained in all publications are solely those of the individual author(s) and contributor(s) and not of MDPI and/or the editor(s). MDPI and/or the editor(s) disclaim responsibility for any injury to people or property resulting from any ideas, methods, instructions or products referred to in the content. |
© 2025 by the authors. Licensee MDPI, Basel, Switzerland. This article is an open access article distributed under the terms and conditions of the Creative Commons Attribution (CC BY) license (https://creativecommons.org/licenses/by/4.0/).
Share and Cite
Lampropoulos, N.K.; Sarris, I.E.; Antoniou, S.; Ziogas, O.; Panagiotou, P.; Yakinthos, K. Aerodynamic Performance of a Natural Laminar Flow Swept-Back Wing for Low-Speed UAVs Under Take Off/Landing Flight Conditions and Atmospheric Turbulence. Aerospace 2025, 12, 934. https://doi.org/10.3390/aerospace12100934
Lampropoulos NK, Sarris IE, Antoniou S, Ziogas O, Panagiotou P, Yakinthos K. Aerodynamic Performance of a Natural Laminar Flow Swept-Back Wing for Low-Speed UAVs Under Take Off/Landing Flight Conditions and Atmospheric Turbulence. Aerospace. 2025; 12(10):934. https://doi.org/10.3390/aerospace12100934
Chicago/Turabian StyleLampropoulos, Nikolaos K., Ioannis E. Sarris, Spyridon Antoniou, Odysseas Ziogas, Pericles Panagiotou, and Kyros Yakinthos. 2025. "Aerodynamic Performance of a Natural Laminar Flow Swept-Back Wing for Low-Speed UAVs Under Take Off/Landing Flight Conditions and Atmospheric Turbulence" Aerospace 12, no. 10: 934. https://doi.org/10.3390/aerospace12100934
APA StyleLampropoulos, N. K., Sarris, I. E., Antoniou, S., Ziogas, O., Panagiotou, P., & Yakinthos, K. (2025). Aerodynamic Performance of a Natural Laminar Flow Swept-Back Wing for Low-Speed UAVs Under Take Off/Landing Flight Conditions and Atmospheric Turbulence. Aerospace, 12(10), 934. https://doi.org/10.3390/aerospace12100934

