Sign in to use this feature.

Years

Between: -

Subjects

remove_circle_outline
remove_circle_outline
remove_circle_outline
remove_circle_outline
remove_circle_outline
remove_circle_outline
remove_circle_outline
remove_circle_outline
remove_circle_outline

Journals

remove_circle_outline
remove_circle_outline
remove_circle_outline
remove_circle_outline
remove_circle_outline
remove_circle_outline
remove_circle_outline
remove_circle_outline
remove_circle_outline
remove_circle_outline
remove_circle_outline
remove_circle_outline
remove_circle_outline

Article Types

Countries / Regions

remove_circle_outline
remove_circle_outline
remove_circle_outline
remove_circle_outline
remove_circle_outline

Search Results (894)

Search Parameters:
Keywords = swapping

Order results
Result details
Results per page
Select all
Export citation of selected articles as:
14 pages, 865 KB  
Article
Randomized Modality Mixing with Patchwise RBF Networks for Robust Multimodal Pain Recognition
by Mehmet Erdal, Sascha Gruss, Steffen Walter and Friedhelm Schwenker
Computers 2026, 15(2), 127; https://doi.org/10.3390/computers15020127 (registering DOI) - 14 Feb 2026
Abstract
Pain recognition based on multimodal physiological signals remains a challenge, not only because of the limited training data, but also due to the varying responses of individuals. In this article, we present a randomized modality mixing technique (Modmix) for multimodal data augmentation and [...] Read more.
Pain recognition based on multimodal physiological signals remains a challenge, not only because of the limited training data, but also due to the varying responses of individuals. In this article, we present a randomized modality mixing technique (Modmix) for multimodal data augmentation and a patchwise radial basis function (RBF) network designed to improve robustness in limited and highly heterogeneous data. Modmix generates new samples by randomly swapping modalities between existing data points, creating new data in a very simple but effective way. The RBF patch network divides the input into randomly selected, overlapping patches that capture local similarities between modalities. Each patch network is trained end-to-end using stochastic gradient descent. Moreover, the model’s performance is further improved by using multiple independently trained networks and combining them into a single decision. Experiments with the two different pain datasets X-ITE and BioVid were performed under limited training data conditions, where only approximately 30% of the original datasets were used for training. With both datasets the RBF patch network achieved significant improvements for a subset of subjects, resulting in a similar or even slightly better mean accuracy compared to competing related models such as random forest and support vector machine. Full article
(This article belongs to the Section Human–Computer Interactions)
Show Figures

Figure 1

23 pages, 1162 KB  
Article
Impact of Socioeconomic Factors and Lifestyle on Salt and Potassium Intake and Sodium-to-Potassium Ratio: EH-UH 2 Study
by Mihaela Marinović Glavić, Matea Bilobrk, Lovorka Bilajac, Andrej Belančić, Marta Bolješić Dumančić, Marija Domislović, Mirjana Fuček, Ana Jelaković, Josipa Josipović, Jagoda Nikić, Ivan Pećin, Ana Stupin, Petar Šušnjara, Željko Reiner and Bojan Jelaković
Nutrients 2026, 18(4), 615; https://doi.org/10.3390/nu18040615 - 13 Feb 2026
Abstract
Background: There are conflicting reports on the association of socioeconomic (SES) characteristics and lifestyle with salt and potassium intake as well as with the sodium-to-potassium (Na/K) ratio. This paper examined how SES status and lifestyle habits affect salt, potassium intake, and the Na/K [...] Read more.
Background: There are conflicting reports on the association of socioeconomic (SES) characteristics and lifestyle with salt and potassium intake as well as with the sodium-to-potassium (Na/K) ratio. This paper examined how SES status and lifestyle habits affect salt, potassium intake, and the Na/K ratio in adults. Methods: Adults subjects (random sample) from the EH-UH 2 nationwide study with valid 24 h urine samples were included in these analyses. We used a questionnaire which included SES and questions related to lifestyle. Salt and potassium levels were measured using a 24 h urine collection. Results: A low level of professional qualification and education are important predictors of high salt and low potassium intake. SES affects salt intake more than potassium intake. Processed meat was the most important determinant of high salt intake. It significantly affected potassium intake, but this was not relevant due to a poor Na/K ratio. Non-smoking status was related to high daily salt and potassium intake, but with no significantly positive impact on Na/K ratio. Former smokers swapped one unhealthy habit for another, such as overeating or consuming too much salt. The Adriatic/Mediterranean diet, represented in this study with frequent olive oil and fish consumption, was related to more favourable salt and potassium intake and a better Na/K ratio. Targets of daily salt and potassium intake, as well as of Na/K ratio were achieved in a very low proportion of the population regardless of SES, lifestyle and behaviour. Conclusions: Our results emphasize the need for public-health strategies that consider both diet and individual characteristics to address nutritional inequalities and promote healthier eating habits. Targeted nutrition programmes for lower SES groups should emphasize salt reduction and encourage potassium-rich diets, thus reducing health imparities and the burden of diet-related chronic diseases. The prevention strategy should be more proactive and specifically designed for the food (meat) industry. A more holistic approach should be taken for smokers when quitting smoking is necessary, the whole population should be educated to change habits toward the Adriatic diet pattern, and the government should make olive oil and fish more affordable to all citizens, particularly to those with poor SES. Full article
(This article belongs to the Section Micronutrients and Human Health)
Show Figures

Graphical abstract

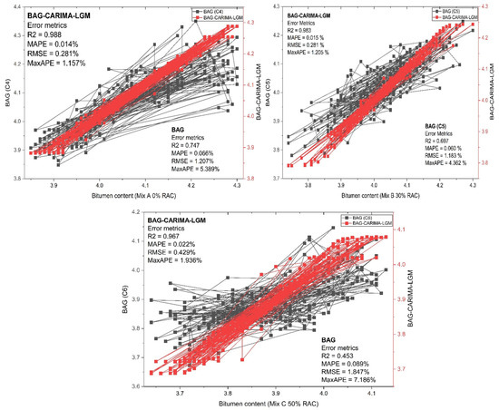
31 pages, 4482 KB  
Article
AI-Driven Prediction of Bitumen Content in Paving Mixtures: A Hybrid Machine Learning Model Applied to Salalah, Oman
by Khalid Ahmed Al Kaaf, Paul C. Okonkwo, Said Mohammed Tabook, Thamir Nasib Faraj Bait Alshab, Awadh Musallem Masan Al Kathiri and Ahmed Mohammed Aqeel Ba Omar
Appl. Sci. 2026, 16(4), 1749; https://doi.org/10.3390/app16041749 (registering DOI) - 10 Feb 2026
Viewed by 83
Abstract
Sustainable pavement solutions that lessen the dependency on virgin materials are required due to mounting environmental and economic pressures. Although recycled asphalt concrete (RAC) has structural and environmental advantages, binder heterogeneity and non-linear material interactions make it difficult to predict the ideal bitumen [...] Read more.
Sustainable pavement solutions that lessen the dependency on virgin materials are required due to mounting environmental and economic pressures. Although recycled asphalt concrete (RAC) has structural and environmental advantages, binder heterogeneity and non-linear material interactions make it difficult to predict the ideal bitumen content in RAC mixtures. This study predicts the bitumen content of asphalt mixtures infused with RAC by combining sophisticated machine learning (ML) with traditional laboratory testing. While this study combines AI-driven predictions with experimental insights to create a state-of-the-art framework for sustainable pavement engineering, 780 data points were obtained from the preparation and testing of three mixtures (0%, 30%, and 50% RAC) for volumetric and mechanical characteristics. Controlled Autoregressive Integrated Moving Average (CARIMA), Swapped Autoregressive Integrated Moving Average (SARIMA), radial basis function artificial neural network (RBF), bagging (BAG), multilayer perceptron (MLP) artificial neural network, and boosting (BOT) ensembles were among the models created. BAG-CARIMA-LGM is a new hybrid model that combines logistic probabilistic generalization, ensemble variance reduction, and time-series forecasting. Higher predictive accuracy and resilience across different RAC levels were attained by the hybrid BAG-CARIMA-LGM model, which performed noticeably better than standalone algorithms. The findings demonstrated improved Marshall stability and controlled flow along with a progressive decrease in mean bitumen content as RAC increased. While 50% RAC with rejuvenators maintained durability and structural integrity, the 30% RAC mixture produced the most balanced performance. The model’s capacity to manage non-linear interactions, volumetric variability, and aging effects was validated by statistical analyses. The BAG-CARIMA-LGM hybrid model optimizes RAC incorporation in asphalt mixtures, supports circular economy goals, and improves technical accuracy. The results point to a revolutionary route towards intelligent, environmentally friendly road systems that support international sustainability objectives. Full article
Show Figures

Figure 1

12 pages, 472 KB  
Article
Highly Parallel Sorting Network Verification Using FPGAs
by Philippos Papaphilippou
Chips 2026, 5(1), 5; https://doi.org/10.3390/chips5010005 - 4 Feb 2026
Viewed by 135
Abstract
Sorting networks are of prime importance as circuits, with applications in sorting small data chunks, big data analytics, permuting packets, and system interconnects. Finding optimal sorting networks is a highly complex problem, and knowledge on optimal sorting networks is limited. When optimising the [...] Read more.
Sorting networks are of prime importance as circuits, with applications in sorting small data chunks, big data analytics, permuting packets, and system interconnects. Finding optimal sorting networks is a highly complex problem, and knowledge on optimal sorting networks is limited. When optimising the network depth or the number of comparators, one of the most expensive tasks is considered to be verification, that is, to verify that the candidate compare-and-swap network actually sorts the data. This grows exponentially with the size of the sorting network. However, FPGAs allow vast amounts of internal parallelism, and our presented work exploits this flexibility using dataflow techniques to achieve unparalleled amounts of speedup for sorting network verification. This work can be used in a modular way to accelerate the search for optimal sorting networks with a high number of inputs, as well for similar verification problems. Full article
Show Figures

Figure 1

49 pages, 17611 KB  
Article
Admissible Powertrain Alternatives for Heavy-Duty Fleets: A Case Study on Resiliency and Efficiency
by Gurneesh S. Jatana, Ruixiao Sun, Kesavan Ramakrishnan, Priyank Jain and Vivek Sujan
World Electr. Veh. J. 2026, 17(2), 74; https://doi.org/10.3390/wevj17020074 - 3 Feb 2026
Viewed by 328
Abstract
Heavy-duty vehicles dominate global freight movement and primarily rely on fossil-derived diesel fuel. However, fluctuations in crude oil prices and evolving emissions regulations have prompted interest in alternative powertrains to enhance fleet energy resiliency. This study paired real-world operational data from a large [...] Read more.
Heavy-duty vehicles dominate global freight movement and primarily rely on fossil-derived diesel fuel. However, fluctuations in crude oil prices and evolving emissions regulations have prompted interest in alternative powertrains to enhance fleet energy resiliency. This study paired real-world operational data from a large commercial fleet with high-fidelity vehicle models to evaluate the potential for replacing diesel internal combustion engine (ICE) trucks with alternative powertrain architectures. The baseline vehicle for this analysis is a diesel-powered ICE truck. Alternatives include ICE trucks fueled by bio- and renewable diesel, compressed natural gas (CNG) or hydrogen (H2), as well as plug-in hybrid (PHEV), fuel cell electric (FCEV), and battery electric vehicles (BEV). While most alternative powertrains resulted in some payload capacity loss, the overall fleetwide impact was negligible due to underutilized payload capacity for the specific fleet considered in this study. For sleeper cab trucks, CNG-powered trucks achieved the highest replacement potential, covering 85% of the fleet. In contrast, H2 and BEV architectures could replace fewer than 10% and 1% of trucks, respectively. Day cab trucks, with shorter daily routes, showed higher replacement potential: 98% for CNG, 78% for H2, and 34% for BEVs. However, achieving full fleet replacement would still require significant operational changes such as route reassignment and enroute refueling, along with considerable improvements to onboard energy storage capacity. Additionally, the higher total cost of ownership (TCO) for alternative powertrains remains a key challenge. This study also evaluated lifecycle impacts across various fuel sources, both fossil and bio-derived. Bio-derived synthetic diesel fuels emerged as a practical option for diesel displacement without disrupting operations. Conversely, H2 and electrified powertrains provide limited lifecycle impacts under the current energy scenario. This analysis highlights the complexity of replacing diesel ICE trucks with admissible alternatives while balancing fleet resiliency, operational demands, and emissions goals. These results reflect a US-based fleet’s duty cycles, payloads, GVWR allowances, and an assumption of depot-only refueling/recharging. Applicability to other fleets and regions may differ based on differing routing practices or technical features such as battery swapping. Full article
(This article belongs to the Section Propulsion Systems and Components)
Show Figures

Figure 1

20 pages, 3914 KB  
Article
Legume-Based Rotations Reduce Cereal Yield Loss and Water Use to Enhance System Yield Resilience in Response to Climate Change
by Bo Wang, Xiaolin Yang, Jos van Dam, Tiegui Nan, Taisheng Du, Shaozhong Kang and Coen Ritsema
Agriculture 2026, 16(3), 335; https://doi.org/10.3390/agriculture16030335 - 29 Jan 2026
Viewed by 219
Abstract
Climate change significantly challenges efforts to maintain and improve crop production worldwide. Diversified crop rotations have emerged as a promising way to adapt cropping systems and bolster food security under changing climate conditions; however, robust empirical evidence remains limited. This study evaluates the [...] Read more.
Climate change significantly challenges efforts to maintain and improve crop production worldwide. Diversified crop rotations have emerged as a promising way to adapt cropping systems and bolster food security under changing climate conditions; however, robust empirical evidence remains limited. This study evaluates the long-term performance of diversified crop rotations under future climate scenarios in the North China Plain via an 80-year scenario analysis (2020–2100) spanning three shared socioeconomic pathways (SSPs:126, 370, 585). The calibrated and validated SWAP (Soil–Water–Atmosphere–Plant)–WOFOST (WOrld FOod STudies) model simulated water consumption and yield. Sustainability indices were employed to assess the cereal yield stability and compensation effect to yield loss caused by climate change. The study compares the conventional winter wheat–summer maize rotation (WM) with two legume-based rotations: soybean–WM (S–WM) and peanut–WM (P–WM). The results indicate that, under all three climate scenarios, the two legume-based rotations reduced annual water consumption by 7–9%, maintained system economic equivalent yields with one crop less, and improved water productivity by up to 10%. Future climate change decreased cereal yields by 9–26% across all rotations compared to historical baselines. However, the two legume-based rotations showed a significant residual effect, increasing subsequent cereal yields by 9–14% over the conventional WM under all scenarios. Consequently, the legume-based rotations provided a 25–51% yield compensation. Additionally, these rotations improved the sustainable yield index and system resilience and reduced cereal yield variance under future climate scenarios compared to the more vulnerable WM. This study demonstrates that diversified crop rotations are a viable strategy to mitigate negative climate impacts. The study provides critical insights for policy-makers, supporting crop-rotation diversification as a core component of risk-reduction strategies to mitigate future climate change impacts. Full article
(This article belongs to the Section Agricultural Systems and Management)
Show Figures

Figure 1

15 pages, 1988 KB  
Article
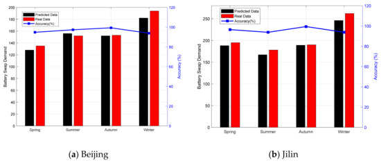
QoS and Grid-Shifting Ability Guaranteed Optimal Capacity Sizing Method of Battery Swapping Station Considering Seasonal Characteristics
by Jingruo Hu, Jiawei Chen, Xi Chen, Yuan Jin and Zhuoqun Li
Electronics 2026, 15(3), 600; https://doi.org/10.3390/electronics15030600 - 29 Jan 2026
Viewed by 174
Abstract
A battery swapping station (BSS) is an enabling facility for battery swapping electric vehicles (EVs). To ensure the high quality of service (QoS) provided for EV customers while providing new batteries, the capacities of batteries and chargers in a BSS should be optimized. [...] Read more.
A battery swapping station (BSS) is an enabling facility for battery swapping electric vehicles (EVs). To ensure the high quality of service (QoS) provided for EV customers while providing new batteries, the capacities of batteries and chargers in a BSS should be optimized. To achieve that, an EV battery swapping demand prediction model that specially considers the influences of different seasons, the output of which is the key data for capacity sizing, is firstly developed based on Monte Carlo algorithm. Then, an optimal capacity sizing model targeted at both minimizing the construction and operation cost of the BSS and maximizing the grid-shifting ability is proposed under a proposed optimal battery swapping and charging algorithm. The optimal capacity sizing for the batteries and chargers is finally obtained using the NSGA-II algorithm to solve the developed model with all operation constraints. Case studies based on the real data provided by BSS operation companies in China are done to verify the validity of the proposed method. The results show that the cost of the BSS can be reduced while peak-shifting can be enabled with the proposed capacity sizing and battery charging/discharging algorithm. Full article
Show Figures

Figure 1

24 pages, 3493 KB  
Article
Tackling Urban Water Resilience: Exploiting the Potential of Smart Water Allocation in the Lisbon Living Lab
by Rita Ribeiro, Pedro Teixeira, Catarina Silva, Catarina Freitas and Maria João Rosa
Water 2026, 18(3), 337; https://doi.org/10.3390/w18030337 - 29 Jan 2026
Viewed by 304
Abstract
Climate change is widening the mismatch between water supply and water demand in urban areas, affecting both. Additionally, water demand is increasing due to population growth and economic development. Water allocation is a key component of sustainable urban water management and, unlike traditional [...] Read more.
Climate change is widening the mismatch between water supply and water demand in urban areas, affecting both. Additionally, water demand is increasing due to population growth and economic development. Water allocation is a key component of sustainable urban water management and, unlike traditional approaches, must rely on a fit-for-purpose principle, where water is valued by its quality adequacy based on the use rather than by its source, with water reuse playing a central role in urban water resilience. This paper presents a novel framework, together with the step-by-step process for its application—the smart water allocation process (SWAP) for urban non-potable uses—and the developed software toolset to facilitate the decision-making process by urban managers, water utilities, and other stakeholders. It was developed within the context of a living lab to accelerate the innovation uptake. The demand–supply matchmaking and the plan module are comprehensively described and the SWAP results and their contribution to water resilience in Lisbon are discussed. Three water allocation alternatives were defined to implement different strategies, conservation, redundancy and reuse, in two green area clusters. Synergy with climate action funding was identified. The application of the SWAP enabled decision-making based on factual evidence and fostered intuitive understanding of the urban water resilience challenges. Full article
(This article belongs to the Special Issue Resilience and Risk Management in Urban Water Systems)
Show Figures

Figure 1

51 pages, 7365 KB  
Review
Recent Advances in Underwater Energy Systems and Wireless Power Transfer for Autonomous Underwater Vehicle Charging
by Ramamurthi Sekar, Narayanamoorthi Rajamanickam, Hassan Z. Al Garni, Jamal Aldahmashi and Ahmed Emara
Energies 2026, 19(3), 708; https://doi.org/10.3390/en19030708 - 29 Jan 2026
Viewed by 325
Abstract
In recent years, the need for autonomous underwater vehicles (AUVs) for offshore infrastructure maintenance and oceanographic surveillance has been prominently increasing. Continuous monitoring and surveillance are the essential tasks the AUVs are designed to perform. However, the long endurance of the AUV is [...] Read more.
In recent years, the need for autonomous underwater vehicles (AUVs) for offshore infrastructure maintenance and oceanographic surveillance has been prominently increasing. Continuous monitoring and surveillance are the essential tasks the AUVs are designed to perform. However, the long endurance of the AUV is a challenging task due to the limited size and capacity of the onboard battery. The conventional way of recharging using battery swapping or a wet mate connector limits the autonomy of the AUV. Underwater wireless power transfer (UWPT) technology seems to be a suitable alternative for overcoming the above limitations, which can provide autonomy to the AUV charging process. However, designing a UWPT system has its limitations in the marine environment and requires enough engineering studies of the different modules of the system. Different investigations are proposed in the literature on the UWPT system, both at the system level and circuit level. This article provides an overview of the latest advancements in the UWPT system and discusses marine power sources, power converter topologies, compensation topologies, and different types of magnetic couplers. The article also discusses the engineering challenges in designing a UWPT system, including eddy current loss and biofouling. The article also summarizes current research trends, potential challenges in UWPT, and future technological developments from prototypes to practical products and offers recommendations for further progress. Full article
(This article belongs to the Special Issue Advances in Wireless Power Transfer Technologies and Applications)
Show Figures

Figure 1

23 pages, 1098 KB  
Article
Optimization of Multi-Trip Vehicle Routing Problem Considering Multiple Delivery Locations
by Wansu Zou and Huixin Song
Symmetry 2026, 18(2), 233; https://doi.org/10.3390/sym18020233 - 28 Jan 2026
Viewed by 214
Abstract
This paper addresses the challenges of improving last-mile logistics delivery satisfaction in urban areas by studying a multi-trip vehicle routing problem with multiple delivery locations (MTVRPMDL). The MTVRPMDL simultaneously decides the visiting order of customers for each vehicle and selects an appropriate delivery [...] Read more.
This paper addresses the challenges of improving last-mile logistics delivery satisfaction in urban areas by studying a multi-trip vehicle routing problem with multiple delivery locations (MTVRPMDL). The MTVRPMDL simultaneously decides the visiting order of customers for each vehicle and selects an appropriate delivery location for every customer. The problem exhibits intrinsic spatial and decision symmetries, arising from interchangeable vehicle trips, alternative delivery locations for each customer, and symmetric route permutations that lead to equivalent operational outcomes. A mixed-integer programming model is proposed, aiming to minimize the total vehicle travel time. Within an iterated local search framework, a modified Solomon greedy insertion heuristic suitable for multi-delivery address and multi-trip settings is developed to generate initial solutions. During the iterative search phase, Or-opt and Relocate local search operators are employed, together with random swap perturbations, to enhance solution exploration. Computational experiments confirm the efficiency of the proposed model and algorithm, showing that allowing customers to have multiple delivery locations can significantly reduce overall travel time and improve the flexibility of vehicle routing decisions. Full article
(This article belongs to the Section Mathematics)
Show Figures

Figure 1

36 pages, 4336 KB  
Review
UAV Positioning Using GNSS: A Review of the Current Status
by Chaopei Jiang, Xingyu Zhou, Hua Chen and Tianjun Liu
Drones 2026, 10(2), 91; https://doi.org/10.3390/drones10020091 - 28 Jan 2026
Viewed by 418
Abstract
Accurate and robust positioning is a critical enabler for Unmanned Aerial Vehicle (UAV) applications, ranging from mapping and inspection to emerging Urban Air Mobility (UAM). While Global Navigation Satellite Systems (GNSS) remain the backbone of absolute positioning, their performance is severely constrained by [...] Read more.
Accurate and robust positioning is a critical enabler for Unmanned Aerial Vehicle (UAV) applications, ranging from mapping and inspection to emerging Urban Air Mobility (UAM). While Global Navigation Satellite Systems (GNSS) remain the backbone of absolute positioning, their performance is severely constrained by UAV platform characteristics and complex low-altitude environments. This paper presents a system-level review of GNSS-based UAV positioning. Instead of treating GNSS in isolation, we first link mission requirements and platform constraints, such as aggressive dynamics and Size, Weight, and Power (SWaP) limitations, to specific positioning challenges. We then critically evaluate the spectrum of GNSS techniques, from standalone and Satellite-Based Augmentation System (SBAS) modes to high-precision carrier-phase methods including Real-Time Kinematic (RTK), Post-Processed Kinematic (PPK), Precise Point Positioning (PPP), and PPP-RTK. Furthermore, we discuss multi-sensor fusion with inertial, visual, and Light Detection and Ranging (LiDAR) sensors to mitigate vulnerabilities in urban canyons and GNSS-denied conditions. Finally, we outline key challenges and future directions, highlighting integrity-aware architectures, Artificial Intelligence (AI)-enhanced signal processing, and multi-layer Positioning, Navigation, and Timing (PNT) concepts. The review provides a structured framework and system-level insights to guide resilient navigation for UAV operations in low-altitude airspace. Full article
Show Figures

Figure 1

17 pages, 2940 KB  
Article
Loss-Driven Design Methodology for MHz-Class GaN QSW Buck Converters with a PCB Air-Core Inductor in SWaP-Constrained Aerospace Applications
by Jinshu Lin, Hui Li, Shan Yin, Xi Liu, Chen Song, Honglang Zhang and Minghai Dong
Aerospace 2026, 13(1), 105; https://doi.org/10.3390/aerospace13010105 - 21 Jan 2026
Viewed by 170
Abstract
Aerospace power systems, including satellites in low earth orbit (LEO) and geostationary earth orbit (GEO), face stringent thermal constraints to minimize size, weight, and power (SWaP). Gallium nitride (GaN) devices offer superior radiation hardness—critical for the harsh space environment—and MHz-level switching capabilities. This [...] Read more.
Aerospace power systems, including satellites in low earth orbit (LEO) and geostationary earth orbit (GEO), face stringent thermal constraints to minimize size, weight, and power (SWaP). Gallium nitride (GaN) devices offer superior radiation hardness—critical for the harsh space environment—and MHz-level switching capabilities. This high-frequency operation minimizes passive components, particularly magnetics, thereby reducing the overall volume. However, above 10 MHz, magnetic cores become impractical due to material limitations. To address these issues, this article proposes a design methodology for a GaN-based quasi-square-wave (QSW) buck converter integrated with a PCB air-core inductor. First, the impact of the switching frequency and dead time on the zero-voltage switching (ZVS) condition is elaborated. Then, a power loss model accounting for various loss mechanisms is presented. To overcome high GaN body diode reverse conduction loss, an auxiliary diode is employed. Based on the model, a design procedure is developed to optimize the inductor for 10 MHz operation while maximizing efficiency. To validate the design, a 28 V/12 V, 18 W prototype was built and tested. Experimental results demonstrate a peak efficiency of 86.5% at 10 MHz. The auxiliary diode improves efficiency by 4%, verifying reverse conduction loss mitigation. Thermal analysis confirms a full-load case temperature of 62.2 °C, providing a 47.8 °C safety margin compliant with aerospace derating standards. These findings validate the solution for high-frequency, space-constrained aerospace applications. Full article
Show Figures

Figure 1

18 pages, 1201 KB  
Article
Federated Learning Semantic Communication in UAV Systems: PPO-Based Joint Trajectory and Resource Allocation Optimization
by Shuang Du, Yue Zhang, Zhen Tao, Han Li and Haibo Mei
Sensors 2026, 26(2), 675; https://doi.org/10.3390/s26020675 - 20 Jan 2026
Viewed by 186
Abstract
Semantic Communication (SC), driven by a deep learning (DL)-based “understand-before-transmit” paradigm, transmits lightweight semantic information (SI) instead of raw data. This approach significantly reduces data volume and communication overhead while maintaining performance, making it particularly suitable for UAV communications where the platform is [...] Read more.
Semantic Communication (SC), driven by a deep learning (DL)-based “understand-before-transmit” paradigm, transmits lightweight semantic information (SI) instead of raw data. This approach significantly reduces data volume and communication overhead while maintaining performance, making it particularly suitable for UAV communications where the platform is constrained by size, weight, and power (SWAP) limitations. To alleviate the computational burden of semantic extraction (SE) on the UAV, this paper introduces federated learning (FL) as a distributed training framework. By establishing a collaborative architecture with edge users, computationally intensive tasks are offloaded to the edge devices, while the UAV serves as a central coordinator. We first demonstrate the feasibility of integrating FL into SC systems and then propose a novel solution based on Proximal Policy Optimization (PPO) to address the critical challenge of ensuring service fairness in UAV-assisted semantic communications. Specifically, we formulate a joint optimization problem that simultaneously designs the UAV’s flight trajectory and bandwidth allocation strategy. Experimental results validate that our FL-based training framework significantly reduces computational resource consumption, while the PPO-based algorithm approach effectively minimizes both energy consumption and task completion time while ensuring equitable quality-of-service (QoS) across all edge users. Full article
(This article belongs to the Special Issue 6G Communication and Edge Intelligence in Wireless Sensor Networks)
Show Figures

Figure 1

13 pages, 3377 KB  
Article
Clock Synchronization with Kuramoto Oscillators for Space Systems
by Nathaniel Ristoff, Hunter Kettering and James Camparo
Time Space 2026, 2(1), 1; https://doi.org/10.3390/timespace2010001 - 15 Jan 2026
Viewed by 194
Abstract
As space systems evolve towards cis-lunar missions and beyond, the demand for precise yet low-size, -weight, and -power (SWaP) clocks and synchronization methods becomes increasingly critical. We introduce a novel clock synchronization approach based on the Kuramoto oscillator model that facilitates the creation [...] Read more.
As space systems evolve towards cis-lunar missions and beyond, the demand for precise yet low-size, -weight, and -power (SWaP) clocks and synchronization methods becomes increasingly critical. We introduce a novel clock synchronization approach based on the Kuramoto oscillator model that facilitates the creation of an ensemble timescale for satellite constellations. Unlike traditional ensembling algorithms, the proposed Kuramoto method leverages nearest-neighbor interactions to achieve collective synchronization. This method simplifies the communication architecture and data-sharing requirements, making it well suited for dynamically connected networks such as proliferated low Earth orbit (pLEO) and lunar or Martian constellations, where intersatellite links may frequently change. Through simulations incorporating realistic noise models for small-scale atomic clocks, we demonstrate that the Kuramoto ensemble can yield an improvement in stability on the order of 1/√N, while mitigating the impact of constellation fragmentation and defragmentation. The results indicate that the Kuramoto oscillator-based algorithm can potentially deliver performance comparable to established techniques like Equal Weights Frequency Averaging (EWFA), yet with enhanced scalability and resource efficiency critical for future spaceborne PNT and communication systems. Full article
Show Figures

Figure 1

15 pages, 6874 KB  
Article
vIRA Inhibition of Antiviral Necroptosis and RIPK3 Binding Are Separable Events
by Katherine B. Ragan, Haripriya Sridharan, Aaron S. Stark, Kaela Ilami, Amanda D. Fisher, Olivia N. Brahms, William J. Kaiser and Jason W. Upton
Pathogens 2026, 15(1), 79; https://doi.org/10.3390/pathogens15010079 - 10 Jan 2026
Viewed by 518
Abstract
Necroptosis is an antiviral form of programmed cell death modulated by proteins that interact via RIP Homotypic Interaction Motifs (RHIMs). The result of the signaling pathways depends on which RHIM-containing proteins are involved: although both host and viral proteins contain RHIMs, virally encoded [...] Read more.
Necroptosis is an antiviral form of programmed cell death modulated by proteins that interact via RIP Homotypic Interaction Motifs (RHIMs). The result of the signaling pathways depends on which RHIM-containing proteins are involved: although both host and viral proteins contain RHIMs, virally encoded RHIM proteins, such as murine cytomegalovirus (MCMV)-encoded viral inhibitor of RIP activation (vIRA) serve to prevent cell death. Although every RHIM contains the same core four-amino-acid pattern, there are variations in individual sequences that we hypothesized would determine the differential outcomes in necroptotic signaling. As such, we replaced the RHIM in vIRA with the RHIMs from other proteins involved in the signaling cascade (RIPK1, RIPK3, ZBP1, ICP6) to assess the effect on necroptosis during MCMV infection. Although these RHIM-swap vIRA constructs remained able to bind to RIPK3, in the context of MCMV infection, they lost the ability to prevent necroptosis. These results are consistent with other studies that demonstrate that RHIM-containing proteins form amyloid fibrils unique to the proteins interfacing. Our results provide biological context for the growing model that the outcome of RHIM-based signaling is influenced by the specific amyloid fibril structures that are driven by the unique amino-acid sequences of each RHIM present. Full article
(This article belongs to the Special Issue Pathogen–Host Interactions: Death, Defense, and Disease)
Show Figures

Figure 1

Back to TopTop