Sign in to use this feature.

Years

Between: -

Subjects

remove_circle_outline
remove_circle_outline
remove_circle_outline
remove_circle_outline
remove_circle_outline
remove_circle_outline
remove_circle_outline
remove_circle_outline
remove_circle_outline

Journals

remove_circle_outline
remove_circle_outline
remove_circle_outline
remove_circle_outline

Article Types

Countries / Regions

remove_circle_outline
remove_circle_outline
remove_circle_outline
remove_circle_outline

Search Results (454)

Search Parameters:
Keywords = surface reconfiguration

Order results
Result details
Results per page
Select all
Export citation of selected articles as:
15 pages, 584 KB  
Article
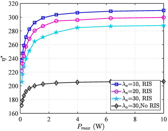
A Scheme for Covert Communication with a Reconfigurable Intelligent Surface in Cognitive Radio Networks
by Yan Xu, Jin Qian and Pengcheng Zhu
Sensors 2025, 25(20), 6490; https://doi.org/10.3390/s25206490 - 21 Oct 2025
Abstract
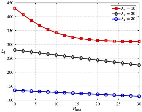
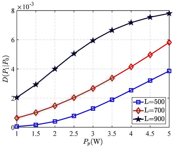
This paper proposes a scheme for enhancing covert communication in cognitive radio networks (CRNs) using a reconfigurable intelligent surface (RIS), which ensures that transmissions by secondary users (SUs) remains statistically undetectable by adversaries (e.g., wardens like Willie). However, there exist stringent challenges in [...] Read more.
This paper proposes a scheme for enhancing covert communication in cognitive radio networks (CRNs) using a reconfigurable intelligent surface (RIS), which ensures that transmissions by secondary users (SUs) remains statistically undetectable by adversaries (e.g., wardens like Willie). However, there exist stringent challenges in CRNs due to the dual constraints of avoiding detection and preventing harmful interference to primary users (PUs). Leveraging the RIS’s ability to dynamically reconfigure the wireless propagation environment, our scheme jointly optimizes the SU’s transmit power, communication block length, and RIS’s passive beamforming (phase shifts) to maximize the effective covert throughput (ECT) under rigorous covertness constraints quantified by detection error probability or relative entropy while strictly adhering to PU interference limits. Crucially, the RIS configuration is explicitly designed to simultaneously enhance signal quality at the legitimate SU receiver and degrade signal quality at the warden, thereby relaxing the inherent trade-off between covertness and throughput imposed by the fundamental square root law. Furthermore, we analyze the impact of unequal transmit prior probabilities (UTPPs), demonstrating their superiority over equal priors (ETPPs) in flexibly balancing throughput and covertness, and extend the framework to practical scenarios with Poisson packet arrivals typical of IoT networks. Extensive results confirm that RIS assistance significantly boosts ECT compared to non-RIS baselines and establishes the RIS as a key enabler for secure and spectrally efficient next-generation cognitive networks. Full article
(This article belongs to the Section Communications)
Show Figures

Figure 1

9 pages, 753 KB  
Article
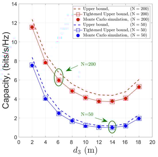
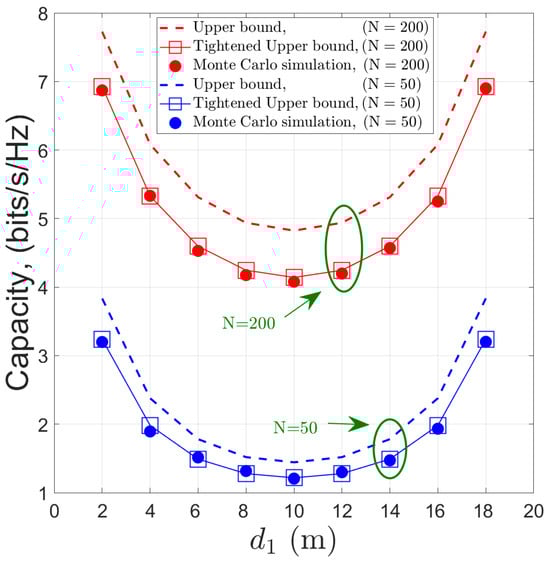
Novel Tight Jensen’s Inequality-Based Performance Analysis of RIS-Aided Ambient Backscatter Communication Systems
by Kyuhyuk Chung
Electronics 2025, 14(20), 4099; https://doi.org/10.3390/electronics14204099 - 19 Oct 2025
Viewed by 19
Abstract
This paper presents a performance analysis of the reconfigurable intelligent surface (RIS)-aided ambient backscatter communication (AmBC) network. The system consists of a base station (BS), a backscatter device (BD), an RIS, and a destination (D). No direct link exists between the BS and [...] Read more.
This paper presents a performance analysis of the reconfigurable intelligent surface (RIS)-aided ambient backscatter communication (AmBC) network. The system consists of a base station (BS), a backscatter device (BD), an RIS, and a destination (D). No direct link exists between the BS and RIS and between the BD and D. We propose a novel tight Jensen’s inequality. A new tighter upper bound is derived for the ergodic capacity, and we demonstrate that the proposed upper bound is much tighter than the existing bound. Monte Carlo simulations are performed to validate the analytical results. The tightened upper bound is found to be almost identical to that in the Monte Carlo simulation results, and the ergodic capacity significantly increases with the number of reflecting elements. In addition, the ergodic capacity improves when the RIS is placed close to the BD or D, and when the distance between the BS and BD is small, the ergodic capacity is severely affected. Full article
Show Figures

Figure 1

17 pages, 1147 KB  
Article
Fully Decentralized Sliding Mode Control for Frequency Regulation and Power Sharing in Islanded Microgrids
by Carlos Xavier Rosero, Fredy Rosero and Fausto Tapia
Energies 2025, 18(20), 5495; https://doi.org/10.3390/en18205495 - 18 Oct 2025
Viewed by 166
Abstract
This paper proposes a local sliding mode control (SMC) strategy for frequency regulation and active power sharing in islanded microgrids (MGs). Unlike advanced strategies, either droop-based or droop-free, that rely on inter-inverter communication, the proposed method operates in a fully decentralized manner, using [...] Read more.
This paper proposes a local sliding mode control (SMC) strategy for frequency regulation and active power sharing in islanded microgrids (MGs). Unlike advanced strategies, either droop-based or droop-free, that rely on inter-inverter communication, the proposed method operates in a fully decentralized manner, using only measurements available at each inverter. In addition, it adopts a minimalist structure that avoids adaptive laws and consensus mechanisms, which simplifies implementation. A discontinuous control law is derived to enforce sliding dynamics on a frequency-based surface, ensuring robust behavior in the face of disturbances, such as clock drifts, sudden load variations, and topological reconfigurations. A formal Lyapunov-based analysis is conducted to establish the stability of the closed-loop system under the proposed control law. The method guarantees that steady-state frequency deviations remain bounded and predictable as a function of the controller parameters. Simulation results demonstrate that the proposed controller achieves rapid frequency convergence, equitable active power sharing, and sustained stability. Owing to its communication-free design, the proposed strategy is particularly well-suited for MGs operating in rural, isolated, or resource-constrained environments. A comparative evaluation against both conventional droop and communication-based droop-free SMC approaches further highlights the method’s strengths in terms of resilience, implementation simplicity, and practical deployability. Full article
Show Figures

Figure 1

19 pages, 1077 KB  
Article
Research on Optimization of RIS-Assisted Air-Ground Communication System Based on Reinforcement Learning
by Yuanyuan Yao, Xinyang Liu, Sai Huang and Xinwei Yue
Sensors 2025, 25(20), 6382; https://doi.org/10.3390/s25206382 - 16 Oct 2025
Viewed by 228
Abstract
In urban emergency communication scenarios, building obstructions can reduce the performance of base station (BS) communication networks. To address such issues, this paper proposes an air-ground wireless network enabled by an unmanned aerial vehicle (UAV) and assisted by reconfigurable intelligent surfaces (RIS). This [...] Read more.
In urban emergency communication scenarios, building obstructions can reduce the performance of base station (BS) communication networks. To address such issues, this paper proposes an air-ground wireless network enabled by an unmanned aerial vehicle (UAV) and assisted by reconfigurable intelligent surfaces (RIS). This system enhances the efficacy of UAV-enabled MISO networks. Treating the UAV as an intelligent agent moving in 3D space, sensing changes in the channel environment, and adopting zero-forcing (ZF) precoding to eliminate interference from ground users. Meanwhile, joint design is performed for UAV movement, RIS phase shifts, and power allocation for users. We propose two deep reinforcement learning (DRL) algorithms, which are termed D3QN-WF and DDQN-WF, respectively. Simulation results indicate that D3QN-WF achieves a 15.9% higher sum rate and 50.1% greater throughput than the DDQN-WF baseline, while also demonstrating significantly faster convergence. Full article
Show Figures

Figure 1

16 pages, 4981 KB  
Article
Reconfigurable Intelligent Surface-Assisted Antenna Design with Enhanced Beam Steering and Performance Benchmarking
by Mustafa Adnan Abed and Osman Nuri Uçan
Electronics 2025, 14(20), 4039; https://doi.org/10.3390/electronics14204039 - 14 Oct 2025
Viewed by 192
Abstract
This paper presents a high-gain wide-band planar antenna with a Reconfigurable Intelligent Surface (RIS) for modern wireless communication applications. The antenna consists of two main parts, a basic antenna part with cross-line slots and two light-dependent resistor switches, and a second part based [...] Read more.
This paper presents a high-gain wide-band planar antenna with a Reconfigurable Intelligent Surface (RIS) for modern wireless communication applications. The antenna consists of two main parts, a basic antenna part with cross-line slots and two light-dependent resistor switches, and a second part based on the RIS layer for beam steering. The RIS is constructed from 5 × 5-unit cells with two sides, forming a square geometry. The antenna substrate is a dielectric layer of FR4 epoxy glass with a thickness of 1.6 mm. The RIS inclusions are designed and tested numerically to achieve the desired electromagnetic properties at the frequency band of interest. The fabricated prototype shows a wide band covering frequencies from 0.9 GHz to 3.5 GHz with S11 below −10 dB, achieving an antenna gain varying from 10.5 dBi up to 16.8 dBi. Experimental measurements show effective aperture usage in all configurations, and beam steering from +22° to −22° is accomplished without degrading side-lobe levels. The proposed antenna performance is tested against real-world measurements to evaluate channel performance in terms of bit error rate (BER) and channel capacity (CC). The proposed LDR-controlled design achieves compact beam steering with minimal insertion loss, unlike conventional RIS-assisted antennas that rely on PIN or varactor switches. Full article
Show Figures

Figure 1

37 pages, 3630 KB  
Review
Adaptive Antenna for Maritime LoRaWAN: A Systematic Review on Performance, Energy Efficiency, and Environmental Resilience
by Martine Lyimo, Bonny Mgawe, Judith Leo, Mussa Dida and Kisangiri Michael
Sensors 2025, 25(19), 6110; https://doi.org/10.3390/s25196110 - 3 Oct 2025
Viewed by 602
Abstract
Long Range Wide Area Network (LoRaWAN) has become an attractive option for maritime communication because it is low-cost, long-range, and energy-efficient. Yet its performance at sea is often limited by fading, interference, and the strict energy budgets of maritime Internet of Things (IoT) [...] Read more.
Long Range Wide Area Network (LoRaWAN) has become an attractive option for maritime communication because it is low-cost, long-range, and energy-efficient. Yet its performance at sea is often limited by fading, interference, and the strict energy budgets of maritime Internet of Things (IoT) devices. This review, prepared in line with the Preferred Reporting Items for Systematic Reviews and Meta-Analyses (PRISMA) 2020 guidelines, examines 23 peer-reviewed studies published between 2019 and 2025 that explore adaptive antenna solutions for LoRaWAN in marine environments. The work covered four main categories: switched-beam, phased array, reconfigurable, and Artificial Intelligence or Machine Learning (AI/ML)-enabled antennas. Results across studies show that adaptive approaches improve gain, beam agility, and signal reliability even under unstable conditions. Switched-beam antennas dominate the literature (45%), followed by phased arrays (30%), reconfigurable designs (20%), and AI/ML-enabled systems (5%). Unlike previous reviews, this study emphasizes maritime propagation, environmental resilience, and energy use. Despite encouraging results in signal-to-noise ratio (SNR), packet delivery, and coverage range, clear gaps remain in protocol-level integration, lightweight AI for constrained nodes, and large-scale trials at sea. Research on reconfigurable intelligent surfaces (RIS) in maritime environments remains limited. However, these technologies could play an important role in enhancing spectral efficiency, coverage, and the scalability of maritime IoT networks. Full article
(This article belongs to the Special Issue LoRa Communication Technology for IoT Applications—2nd Edition)
Show Figures

Figure 1

17 pages, 11694 KB  
Article
RIS Wireless Network Optimization Based on TD3 Algorithm in Coal-Mine Tunnels
by Shuqi Wang and Fengjiao Wang
Sensors 2025, 25(19), 6058; https://doi.org/10.3390/s25196058 - 2 Oct 2025
Viewed by 283
Abstract
As an emerging technology, Reconfigurable Intelligent Surfaces (RIS) offers an efficient communication performance optimization solution for the complex and spatially constrained environment of coal mines by effectively controlling signal-propagation paths. This study investigates the channel attenuation characteristics of a semi-circular arch coal-mine tunnel [...] Read more.
As an emerging technology, Reconfigurable Intelligent Surfaces (RIS) offers an efficient communication performance optimization solution for the complex and spatially constrained environment of coal mines by effectively controlling signal-propagation paths. This study investigates the channel attenuation characteristics of a semi-circular arch coal-mine tunnel with a dual RIS reflection link. By jointly optimizing the base-station beamforming matrix and the RIS phase-shift matrix, an improved Twin Delayed Deep Deterministic Policy Gradient (TD3)-based algorithm with a Noise Fading (TD3-NF) propagation optimization scheme is proposed, effectively improving the sum rate of the coal-mine wireless communication system. Simulation results show that when the transmit power is 38 dBm, the average link rate of the system reaches 11.1 bps/Hz, representing a 29.07% improvement compared to Deep Deterministic Policy Gradient (DDPG). The average sum rate of the 8 × 8 structure RIS is 3.3 bps/Hz higher than that of the 4 × 4 structure. The research findings provide new solutions for optimizing mine communication quality and applying artificial intelligence technology in complex environments. Full article
(This article belongs to the Section Communications)
Show Figures

Figure 1

42 pages, 5827 KB  
Review
A Review of Reconfigurable Intelligent Surfaces in Underwater Wireless Communication: Challenges and Future Directions
by Tharuka Govinda Waduge, Yang Yang and Boon-Chong Seet
J. Sens. Actuator Netw. 2025, 14(5), 97; https://doi.org/10.3390/jsan14050097 - 26 Sep 2025
Viewed by 1040
Abstract
Underwater wireless communication (UWC) is an emerging technology crucial for automating marine industries, such as offshore aquaculture and energy production, and military applications. It is a key part of the 6G vision of creating a hyperconnected world for extending connectivity to the underwater [...] Read more.
Underwater wireless communication (UWC) is an emerging technology crucial for automating marine industries, such as offshore aquaculture and energy production, and military applications. It is a key part of the 6G vision of creating a hyperconnected world for extending connectivity to the underwater environment. Of the three main practicable UWC technologies (acoustic, optical, and radiofrequency), acoustic methods are best for far-reaching links, while optical is best for high-bandwidth communication. Recently, utilizing reconfigurable intelligent surfaces (RISs) has become a hot topic in terrestrial applications, underscoring significant benefits for extending coverage, providing connectivity to blind spots, wireless power transmission, and more. However, the potential for further research works in underwater RIS is vast. Here, for the first time, we conduct an extensive survey of state-of-the-art of RIS and metasurfaces with a focus on underwater applications. Within a holistic perspective, this survey systematically evaluates acoustic, optical, and hybrid RIS, showing that environment-aware channel switching and joint communication architectures could deliver holistic gains over single-domain RIS in the distance–bandwidth trade-off, congestion mitigation, security, and energy efficiency. Additional focus is placed on the current challenges from research and realization perspectives. We discuss recent advances and suggest design considerations for coupling hybrid RIS with optical energy and piezoelectric acoustic energy harvesting, which along with distributed relaying, could realize self-sustainable underwater networks that are highly reliable, long-range, and high throughput. The most impactful future directions seem to be in applying RIS for enhancing underwater links in inhomogeneous environments and overcoming time-varying effects, realizing RIS hardware suitable for the underwater conditions, and achieving simultaneous transmission and reflection (STAR-RIS), and, particularly, in optical links—integrating the latest developments in metasurfaces. Full article
Show Figures

Figure 1

19 pages, 839 KB  
Article
RIS-Assisted Backscatter V2I Communication System: Spectral-Energy Efficient Trade-Off
by Yi Dong, Peng Xu, Xiaoyu Lan, Yupeng Wang and Yufeng Li
Electronics 2025, 14(19), 3800; https://doi.org/10.3390/electronics14193800 - 25 Sep 2025
Viewed by 224
Abstract
In this paper, an energy efficiency (EE)–spectral efficiency (SE) trade-off scheme is investigated for the distributed reconfigurable intelligent surface (RIS)-assisted backscatter vehicle-to-infrastructure (V2I) communication system. Firstly, a multi-objective optimization framework balancing EE and SE is established using the linear weighting method, and the [...] Read more.
In this paper, an energy efficiency (EE)–spectral efficiency (SE) trade-off scheme is investigated for the distributed reconfigurable intelligent surface (RIS)-assisted backscatter vehicle-to-infrastructure (V2I) communication system. Firstly, a multi-objective optimization framework balancing EE and SE is established using the linear weighting method, and the quadratic transformation is utilized to recast the optimization problem as a strictly convex problem. Secondly, an alternating optimization (AO) approach is applied to partition the original problem into two independent subproblems of the BS and RIS beamforming, which are, respectively, designed by the weighted minimization mean-square error (WMMSE) and the Riemannian conjugate gradient (RCG) algorithms. Finally, according to the trade-off factor, the power reflection coefficients of backscatter devices (BDs) are dynamically optimized with the BS beamforming vectors and RIS phase shift matrices, considering their activation requirements and the vehicle minimum quality of service (QoS). The simulation results verify the effectiveness of the proposed algorithm in simultaneously improving SE and the EE in practical V2I applications through rational optimization of the BD power reflection coefficient. Full article
Show Figures

Figure 1

19 pages, 1027 KB  
Article
A Convolutional-Transformer Residual Network for Channel Estimation in Intelligent Reflective Surface Aided MIMO Systems
by Qingying Wu, Junqi Bao, Hui Xu, Benjamin K. Ng, Chan-Tong Lam and Sio-Kei Im
Sensors 2025, 25(19), 5959; https://doi.org/10.3390/s25195959 - 25 Sep 2025
Viewed by 523
Abstract
Intelligent Reflective Surface (IRS)-aided Multiple-Input Multiple-Output (MIMO) systems have emerged as a promising solution to enhance spectral and energy efficiency in future wireless communications. However, accurate channel estimation remains a key challenge due to the passive nature and high dimensionality of IRS channels. [...] Read more.
Intelligent Reflective Surface (IRS)-aided Multiple-Input Multiple-Output (MIMO) systems have emerged as a promising solution to enhance spectral and energy efficiency in future wireless communications. However, accurate channel estimation remains a key challenge due to the passive nature and high dimensionality of IRS channels. This paper proposes a lightweight hybrid framework for cascaded channel estimation by combining a physics-based Bilinear Alternating Least Squares (BALS) algorithm with a deep neural network named ConvTrans-ResNet. The network integrates convolutional embeddings and Transformer modules within a residual learning architecture to exploit both local and global spatial features effectively while ensuring training stability. A series of ablation studies is conducted to optimize architectural components, resulting in a compact configuration with low parameter count and computational complexity. Extensive simulations demonstrate that the proposed method significantly outperforms state-of-the-art neural models such as HA02, ReEsNet, and InterpResNet across a wide range of SNR levels and IRS element sizes in terms of the Normalized Mean Squared Error (NMSE). Compared to existing solutions, our method achieves better estimation accuracy with improved efficiency, making it suitable for practical deployment in IRS-aided systems. Full article
(This article belongs to the Section Communications)
Show Figures

Figure 1

26 pages, 737 KB  
Article
Partitioned RIS-Assisted Vehicular Secure Communication Based on Meta-Learning and Reinforcement Learning
by Hui Li, Fengshuan Wang, Jin Qian, Pengcheng Zhu and Aiping Zhou
Sensors 2025, 25(18), 5874; https://doi.org/10.3390/s25185874 - 19 Sep 2025
Cited by 1 | Viewed by 456
Abstract
This study tackles the issue of ensuring secure communications in vehicular ad hoc networks (VANETs) under dynamic eavesdropping threats, where eavesdroppers adaptively reposition to intercept transmissions. We introduce a scheme utilizing a partitioned reconfigurable intelligent surface (RIS) to assist in the joint transmission [...] Read more.
This study tackles the issue of ensuring secure communications in vehicular ad hoc networks (VANETs) under dynamic eavesdropping threats, where eavesdroppers adaptively reposition to intercept transmissions. We introduce a scheme utilizing a partitioned reconfigurable intelligent surface (RIS) to assist in the joint transmission of confidential signals and artificial noise (AN) from a source station. The RIS is divided into segments: one enhances legitimate signal reflection toward the intended vehicular receiver, while the other directs AN toward eavesdroppers to degrade their reception. To maximize secrecy performance in rapidly changing environments, we introduce a joint optimization framework integrating meta-learning for RIS partitioning and reinforcement learning (RL) for reflection matrix optimization. The meta-learning component rapidly determines the optimal RIS partitioning ratio when encountering new eavesdropping scenarios, leveraging prior experience to adapt with minimal data. Subsequently, RL is employed to dynamically optimize both beamforming vectors as well as RIS reflection coefficients, thereby further improving the security performance. Extensive simulations demonstrate that the suggested approach attain a 28% higher secrecy rate relative to conventional RIS-assisted techniques, along with more rapid convergence compared to traditional deep learning approaches. This framework successfully balances signal enhancement with jamming interference, guaranteeing robust and energy-efficient security in highly dynamic vehicular settings. Full article
Show Figures

Figure 1

20 pages, 4448 KB  
Article
AFSS Wide-Frequency Reconfigurable Design and Electromagnetic Characterization Research
by Lei Gong, Xinru Tian, Ge Zhang, Xuan Liu, Shigeng Song, Jian Song, Haoyang Liu, Liguo Wang and Zhiqiang Yang
Electronics 2025, 14(18), 3628; https://doi.org/10.3390/electronics14183628 - 12 Sep 2025
Viewed by 407
Abstract
In order to solve the dynamic adaptation problem of the working frequency band of the FSS in the complex electromagnetic environment and further expand the frequency tuning range, a reconfigurable AFSS unit model based on PIN and varactor diodes are designed, which can [...] Read more.
In order to solve the dynamic adaptation problem of the working frequency band of the FSS in the complex electromagnetic environment and further expand the frequency tuning range, a reconfigurable AFSS unit model based on PIN and varactor diodes are designed, which can achieve the insertion loss below−1 dB in the wide frequency range of 10.2–15.2 GHz, meet the working-band switching, and allow for flexibly adjusting the working frequency point. In order to verify the accuracy of the design method, a square-ring aperture and notched patch-coupling structure that can exhibit broadband transmission response in the X-Ku band is first proposed based on the equivalent circuit model topology. A numerical simulation and a processing test of the structure are carried out. The measured data are in good agreement with the simulation results. After optimizing the unit structure, different capacitance values and resistance values are added to the diodes in the numerical simulation to control the equivalent PIN diode switch and the capacitance change in the varactor diodes. According to the equivalent circuit model and the electric-field intensity distribution, the AFSS regulation mechanism of the loaded diodes is explored. In this paper, through numerical simulation optimizations and experimental verification, the design method and performance optimization strategy of frequency-tunable FSS in the working range of 2–18 GHz are systematically studied, which provides theoretical support for the design of electromagnetic functional devices in the new generation of communication, radar, and electronic warfare systems. Full article
Show Figures

Figure 1

24 pages, 3588 KB  
Article
Application of Gels in the Conservation of Chinese Ancient Calligraphy and Paintings
by Zifan Chen, Xiaolong Zhao, Peng Xia, Xiaohan Qi, Xueling Zou and Shuya Wei
Gels 2025, 11(9), 726; https://doi.org/10.3390/gels11090726 - 11 Sep 2025
Cited by 1 | Viewed by 491
Abstract
Chinese ancient calligraphy and paintings, as priceless cultural heritage, face dual conservation challenges: cleaning accumulated contaminants and combating microbial deterioration. Addressing these issues, this study develops a multifunctional poly(vinyl alcohol)/poly(2-hydroxyethyl acrylate) (PVA/PHEAA)-based hydrogel system, including a basic robust hydrogel, an ethylene glycol (EG)-modified [...] Read more.
Chinese ancient calligraphy and paintings, as priceless cultural heritage, face dual conservation challenges: cleaning accumulated contaminants and combating microbial deterioration. Addressing these issues, this study develops a multifunctional poly(vinyl alcohol)/poly(2-hydroxyethyl acrylate) (PVA/PHEAA)-based hydrogel system, including a basic robust hydrogel, an ethylene glycol (EG)-modified antifreeze version, and a polyhexamethylene biguanide (PHMB)-composite antibacterial hydrogel. By tuning interfacial adhesion energy at the molecular level, these hydrogels enable gentle yet effective cleaning of delicate substrates such as Xuan paper, efficiently removing surface and embedded dirt without mechanical damage. Molecular dynamics simulations revealed a “capture-and-fixation” dual-mode mechanism driven by hydrogen bonding and network reconfiguration, supporting the experimental findings. The EG-modified hydrogel retains elasticity at −20 °C, allowing conservation work in cold environments. Meanwhile, the PHMB-integrated hydrogel achieves a 99.6% antibacterial rate against E. coli and S. aureus, combining cleaning and long-term antimicrobial protection. Quantitative cleaning tests (n = 3) showed the PVA/PHEAA gel removed >90% of particulates, significantly outperforming traditional methods while leaving no detectable residues. Experimental results confirm the hydrogels’ compatibility with cultural materials and their multifunctionality in Xuan paper conservation. This study introduces a novel material solution for restoring traditional Chinese calligraphy and paintings, significantly advancing the application of functional hydrogels in cultural heritage preservation. By extending the lifespan of ancient artworks through a safe, residue-free, and reversible cleaning approach, it contributes to the enduring transmission of Chinese civilization. Full article
(This article belongs to the Special Issue Chemical Properties and Application of Gel Materials)
Show Figures

Figure 1

22 pages, 11625 KB  
Article
PDO-Modulated ENSO Impact on Southern South China Sea Winter SST: Multi-Anticyclone Synergy
by Zhaoyun Wang, Yanyan Wang, Mingpan Qiu, Yimin Zhang, Guosheng Zhang and Wenjing Dong
J. Mar. Sci. Eng. 2025, 13(9), 1741; https://doi.org/10.3390/jmse13091741 - 10 Sep 2025
Viewed by 351
Abstract
El Niño fundamentally elevates the southern South China Sea (SSCS) winter sea surface temperature (SST), and this relationship exhibits significant interdecadal modulation by the Pacific Decadal Oscillation (PDO). Correlation analyses reveal a negative linkage between El Niño-SSCS SST relationship and PDO index (r [...] Read more.
El Niño fundamentally elevates the southern South China Sea (SSCS) winter sea surface temperature (SST), and this relationship exhibits significant interdecadal modulation by the Pacific Decadal Oscillation (PDO). Correlation analyses reveal a negative linkage between El Niño-SSCS SST relationship and PDO index (r = −0.5, p < 0.05). Mechanistically, negative PDO phase reconfigures the multi-anticyclone system: a weaker and northeastward-shifted Philippine Sea anticyclone (PSAC, 25° poleward), dissipating northern Indian Ocean anticyclone (NIOAC) and persistent southeastern Indian Ocean anticyclone (SEIOAC) through a reduction in Aleutian low and El Niño intensity. In the negative-minus-positive PDO phase composite, this drives anomalous southerlies/southwesterlies over the SSCS, establishing a zonal SST dipole (west-cooling/east-warming; −0.1 °C/+0.2 °C east/west of 108° E). Ekman dynamics (positive/negative wind stress curl west/east of 108° E), horizontal heat advection and latent heat flux (driven by southwesterly wind) dominate the SST dipole formation. From December to February, Aleutian low suppression and El Niño decay progressively modify the multi-anticyclone system configuration and replace southerly anomalies with northerlies, reducing regional warm SST in the N-P composite. The multi-anticyclone system thus mediates SSCS SST interannual variability, with critical implications for marine predictability under climate oscillations. Full article
(This article belongs to the Section Physical Oceanography)
Show Figures

Figure 1

12 pages, 2523 KB  
Article
Lightweight Design Method for Micromanufacturing Systems Based on Multi-Objective Optimization
by Shan Li and Seyed Hamed Hashemi Sohi
Micromachines 2025, 16(9), 1032; https://doi.org/10.3390/mi16091032 - 9 Sep 2025
Viewed by 461
Abstract
This study proposes a multi-stage collaborative design framework integrating sensitivity analysis, response surface methodology (RSM), and topology optimization for synergistic lightweighting and performance enhancement of micromanufacturing systems using ultra-precision computer numerical control (CNC) machine tools. Overall sensitivity analysis identified the base and column [...] Read more.
This study proposes a multi-stage collaborative design framework integrating sensitivity analysis, response surface methodology (RSM), and topology optimization for synergistic lightweighting and performance enhancement of micromanufacturing systems using ultra-precision computer numerical control (CNC) machine tools. Overall sensitivity analysis identified the base and column as stiffness-critical components, while the spindle box exhibited significant weight-reduction potential. Using spindle box wall and bottom thickness as variables, RSM models for mass and stress were constructed. Multi-objective optimization via a genetic clustering algorithm achieved a 57.2% (590 kg) weight reduction under stress constraints (<45 MPa). Subsequent variable-density topology optimization (SIMP model) reconfigured the rib layouts of the base and column under volume constraints, reducing their weights by 38.5% (2844 kg) and 41.5% (1292 kg), respectively. Whole-machine validation showed that maximum static deformation decreased from 0.17 mm to 0.09 mm, maximum stress reduced from 58 MPa to 35 MPa, and first-order natural frequency increased from 50.68 Hz to 84.08 Hz, significantly enhancing dynamic stiffness. Cumulative weight reduction exceeded 3000 kg, achieving a balance between lightweighting and static/dynamic performance improvement. This work provides an effective engineering pathway for a structural design of high-end micromanufacturing systems. Full article
Show Figures

Figure 1

Back to TopTop