Sign in to use this feature.

Years

Between: -

Subjects

remove_circle_outline
remove_circle_outline
remove_circle_outline
remove_circle_outline
remove_circle_outline
remove_circle_outline
remove_circle_outline
remove_circle_outline
remove_circle_outline

Journals

remove_circle_outline
remove_circle_outline
remove_circle_outline
remove_circle_outline
remove_circle_outline
remove_circle_outline
remove_circle_outline
remove_circle_outline
remove_circle_outline
remove_circle_outline
remove_circle_outline
remove_circle_outline
remove_circle_outline
remove_circle_outline
remove_circle_outline
remove_circle_outline
remove_circle_outline
remove_circle_outline
remove_circle_outline
remove_circle_outline
remove_circle_outline
remove_circle_outline
remove_circle_outline
remove_circle_outline
remove_circle_outline
remove_circle_outline
remove_circle_outline

Article Types

Countries / Regions

remove_circle_outline
remove_circle_outline
remove_circle_outline
remove_circle_outline
remove_circle_outline

Search Results (2,722)

Search Parameters:
Keywords = sunlight

Order results
Result details
Results per page
Select all
Export citation of selected articles as:
17 pages, 14773 KB  
Article
Chitosan-Entrapped TiO2 Nanoparticles Synthesized Using Calendula officinalis Flower Extract—Photophysical Characterization, Biocompatibility, and Textile Dye Remediation
by Sushmitha Sundarraj, Sridhanya Mysore Shreethar, Nivitha Shri Chandrasekaran and Koyeli Girigoswami
Polymers 2026, 18(6), 745; https://doi.org/10.3390/polym18060745 (registering DOI) - 19 Mar 2026
Abstract
Effluents from industries, manufacturing companies, textile looms, and floodwater contaminate the surface water reservoirs. This endangers the quality of water for use by humans. Wastewater remediation is one of the ways to recycle the dirty water and make it suitable for use. Photocatalysis [...] Read more.
Effluents from industries, manufacturing companies, textile looms, and floodwater contaminate the surface water reservoirs. This endangers the quality of water for use by humans. Wastewater remediation is one of the ways to recycle the dirty water and make it suitable for use. Photocatalysis is the most common method for wastewater remediation, especially using Titanium dioxide (TiO2) nanoparticles. However, chemical synthesis and direct addition of nanoparticles may cause toxicity to the flora and fauna present in the water body. To address this limitation, we have green-synthesized TiO2 nanoparticles using a horticulture waste, Calendula officinalis dried flower extract and entrapped them in a natural polymer, chitosan (CTS-TiO2-CO nanocomposite). The polymer entrapment ensures biocompatibility as well as reduced aggregation of nanoparticles. The synthesized CTS-TiO2-CO nanocomposite was characterized using UV-visible spectrophotometry, dynamic light scattering, zeta potential, Fourier Transformed Infrared Spectroscopy (FTIR), X-ray diffractometry (XRD), scanning electron microscopy (SEM) and energy-dispersive X-ray spectroscopy (EDAX) analysis. The absorption peak was found at 302 nm, and the hydrodynamic diameter at 490 nm. SEM images show flower-like morphology with 326 nm average particle diameter. The non-toxic dose of the nanoparticles was estimated by MTT assay and zebrafish embryo developmental studies. More than 82% fibroblast cells were viable after treatment with 100 μg/mL of CTS-TiO2-CO nanocomposite. 85% embryos hatched after treatment with 50 μg/mL of CTS-TiO2-CO nanocomposite. Further, the textile dye remediation assessment was done using the dye crystal violet, exhibiting 69.19% dye degradation after 4 h of sunlight exposure. Altogether, the results demonstrate that the CTS-TiO2-CO nanocomposite was effective in the remediation of crystal violet without causing any toxicity up to a dose of 100 μg/mL. Full article
Show Figures

Figure 1

18 pages, 6368 KB  
Article
Twenty-Four-Hour Continuous Water Purification: Coupling S-Scheme CoFe2O4/BiVO4 Heterojunctions with Phase Change Materials for All-Weather Photocatalytic–Thermocatalytic Dye Removal
by Zan Li, Kun Gao, Wenrui Jiang, Jiao Xu and Pavel Lushchyk
Sustainability 2026, 18(6), 2995; https://doi.org/10.3390/su18062995 - 18 Mar 2026
Abstract
To overcome the limitations imposed by the intermittent nature of sunlight in photocatalytic applications, this research constructs a round-the-clock purification system. We integrated an optimized S-scheme CoFe2O4/BiVO4 (CFO/BV) heterojunction (synthesized via ultrasonic self-assembly at a 0.5:0.5 ratio) with [...] Read more.
To overcome the limitations imposed by the intermittent nature of sunlight in photocatalytic applications, this research constructs a round-the-clock purification system. We integrated an optimized S-scheme CoFe2O4/BiVO4 (CFO/BV) heterojunction (synthesized via ultrasonic self-assembly at a 0.5:0.5 ratio) with a thermal energy storage (TES) unit consisting of SiO2-encapsulated Na2SO4·10H2O phase change materials (PCMs). Comprehensive characterization techniques, including XRD, HRTEM, UV-Vis DRS, EPR, and DSC, confirmed the successful formation of the interface, a broadened visible-light response (λ > 650 nm), efficient radical production, and a high latent heat storage capacity (>200 J/g). Under simulated solar irradiation, the composite exhibited superior performance, degrading 98% of the Rhodamine B within 6 h (k = 0.00994 min−1), significantly surpassing single-component counterparts. More importantly, during the subsequent 12 h dark period, the heat released from the PCM maintained the reaction temperature above 35 °C, driving a 64% degradation efficiency via a thermocatalytic pathway. The system demonstrated robust stability (>90% efficiency after five cycles), excellent magnetic recoverability (98%), and high tolerance to saline textile wastewater (<10% activity loss). Furthermore, Life Cycle Assessment (LCA) indicated a 40% reduction in energy consumption compared to conventional UV/TiO2 processes, highlighting a sustainable strategy for continuous wastewater remediation through synergistic photocatalysis and thermocatalysis. Full article
Show Figures

Figure 1

25 pages, 2712 KB  
Review
Vitamin D and Hemopoietic Stem Cell Transplantation: Clinical Guidance for GVHD Management and Post-Transplant Outcomes
by Manlio Fazio, Maria Elisa Nasso, Sebastiano Gangemi, Adele Bottaro, Luca Gammeri, Fabio Stagno and Alessandro Allegra
Cancers 2026, 18(6), 972; https://doi.org/10.3390/cancers18060972 - 17 Mar 2026
Abstract
Vitamin D is a pleiotropic secosteroid with endocrine and intracrine actions that influence key phases of allogeneic hematopoietic stem cell transplantation. Epithelial barriers, antigen-presenting cells and effector lymphocytes express the vitamin D receptor and enzymes required for local activation, allowing circulating 25-hydroxyvitamin D [...] Read more.
Vitamin D is a pleiotropic secosteroid with endocrine and intracrine actions that influence key phases of allogeneic hematopoietic stem cell transplantation. Epithelial barriers, antigen-presenting cells and effector lymphocytes express the vitamin D receptor and enzymes required for local activation, allowing circulating 25-hydroxyvitamin D to be converted into its active form and modulate immune interactions. During the peri-transplant period, sunlight deprivation, reduced intake, mucosal injury, cholestasis and corticosteroid exposure markedly reduce vitamin D levels at a time when antigen presentation and immune reconstitution occur. This review integrates mechanistic immunology with clinical observations and interventional data to outline strategies that prevent severe deficiency. It summarizes epidemiology before and after transplantation, associations with acute and chronic graft-versus-host disease, relapse, engraftment, infections, bone health and survival, and evaluates dosing approaches including pre-conditioning loading and reassessment at day thirty with escalation if needed. Absorption-savvy formulations such as oral thin-film and intramuscular cholecalciferol are considered when gastrointestinal function is compromised. Given the high prevalence of deficiency, biological plausibility, safety and low cost, a structured approach that includes screening, repletion and monitoring to achieve concentrations of at least thirty nanograms per milliliter by day thirty represents a pragmatic and low-risk component of supportive care pending definitive evidence. Full article
(This article belongs to the Section Cancer Immunology and Immunotherapy)
Show Figures

Figure 1

19 pages, 2580 KB  
Article
Quantitative Analysis of the Vitamin D3 Content in Dietary Supplements Marketed in Hungary Using High-Performance Liquid Chromatography
by András Nagy, Róbert György Vida, Eszter Fliszár-Nyúl, Gábor Lovász, Katalin Fábián and Gábor Pozsgai
Pharmaceuticals 2026, 19(3), 493; https://doi.org/10.3390/ph19030493 - 17 Mar 2026
Abstract
Background/Objectives: The use of over-the-counter vitamin D3 supplements has increased substantially in recent years. Compared with pharmaceuticals, dietary supplements are subject to less stringent regulatory oversight, raising concerns regarding labeling accuracy, consumer knowledge, and patient safety. This study aimed to assess public [...] Read more.
Background/Objectives: The use of over-the-counter vitamin D3 supplements has increased substantially in recent years. Compared with pharmaceuticals, dietary supplements are subject to less stringent regulatory oversight, raising concerns regarding labeling accuracy, consumer knowledge, and patient safety. This study aimed to assess public knowledge and preferences related to vitamin D3 supplementation and to evaluate the content accuracy and short-term stability of commonly used products. Methods: A cross-sectional online survey containing 39 questions was conducted in Hungary between 1 May and 30 June 2024. Based on survey responses, the most frequently used vitamin D3 supplements (five soft gel capsules and four tablets) were selected for laboratory analysis. Vitamin D3 content was quantified using a validated high-performance liquid chromatography (HPLC) method with UV detection. Soft gel capsules were additionally exposed to natural daylight for one month to assess short-term photostability. Results: In total, 367 participants (mean age 31.0 ± 12.5 years) completed the survey, and only 3.5% answered correctly all knowledge-based questions. Six commonly reported supplement brands accounted for approximately 90% of responses. Measured vitamin D3 content remained within the tolerance limit (−20% to +50%). Following sunlight exposure, three of four capsule products showed no substantial vitamin D3 loss, while one exhibited a 14.7% decrease. Conclusions: Most analyzed vitamin D3 supplements complied with labeled content claims, but substantial knowledge gaps were identified that may affect patient safety. The validated HPLC method supports pharmacovigilance-oriented quality monitoring of vitamin D3 supplements and underscores the need for improved professional counseling. Full article
Show Figures

Graphical abstract

25 pages, 3993 KB  
Article
Growth and Fruit Quality of Watermelon Affected by Different Supplemental Light Sources in a Greenhouse
by Yumin Jeon, Cheolku Youn, Eun-Jeong Kim, Kyu-Hoi Lee, Myung-Min Oh and Ki-Ho Son
Horticulturae 2026, 12(3), 358; https://doi.org/10.3390/horticulturae12030358 - 14 Mar 2026
Abstract
This study evaluated the effects of various LED spectra—white (W), red and blue (RB), W plus far-red (FR), and RB plus FR—on the growth, fruit quality, and phytochemical accumulation of greenhouse-grown hydroponic watermelon. Watermelons were cultivated with controlled temperature and humidity and subjected [...] Read more.
This study evaluated the effects of various LED spectra—white (W), red and blue (RB), W plus far-red (FR), and RB plus FR—on the growth, fruit quality, and phytochemical accumulation of greenhouse-grown hydroponic watermelon. Watermelons were cultivated with controlled temperature and humidity and subjected to four LED treatments at an equivalent PPFD of 200 ± 3 µmol·m−2·s−1 and a 15 h light period for 43 days, with sunlight as a control. The photosynthetic rate and stomatal conductance were significantly higher in the RB LEDs than in all other treatments. Fv/Fm and PIABS exhibited time-dependent differences among treatments after 13:00, with all LED treatments showing higher values than the control, except for the Fv/Fm of RB LEDs. SPAD, chlorophyll, and carotenoid contents were the highest in the RB LEDs, and 40%, 30%, and 19% higher than those in the control group, respectively. Growth characteristics, such as plant height and node and leaf number, were highest in the control group and were significantly higher than the RB LEDs. Petiole length tended to increase in LEDs treated with FR. Sweetness was the highest in W LEDs. Therefore, supplemental LED lighting can potentially improve the production and fruit quality of greenhouse watermelons. Full article
Show Figures

Figure 1

20 pages, 421 KB  
Article
Sunlight in the Shadows: Anti-Authoritarian Polemic and the Political Ġhazal-s in Dushyant Kumar’s Poetry
by Nishant Upadhyay
Literature 2026, 6(1), 4; https://doi.org/10.3390/literature6010004 - 13 Mar 2026
Viewed by 72
Abstract
This paper examines how Dushyant Kumar’s collection, sāye meṅ dhūp (lit. Sunlight in the Shadows), reinvented the classical ġhazal genre as a vernacular weapon of anti-authoritarian dissent—not by abandoning ambiguity, but by recalibrating it under conditions of constraint—during India’s Emergency. This study argues [...] Read more.
This paper examines how Dushyant Kumar’s collection, sāye meṅ dhūp (lit. Sunlight in the Shadows), reinvented the classical ġhazal genre as a vernacular weapon of anti-authoritarian dissent—not by abandoning ambiguity, but by recalibrating it under conditions of constraint—during India’s Emergency. This study argues that Kumar’s work constitutes a radical departure from the genre’s traditional emphasis on the abstract longing of the lover for the beloved and other tropes which are peculiar to writing ġhazal in the Perso-Urdu world. Instead, Kumar systematically repurposed its conventions—its ambiguity, its metaphors of the beloved and the garden, its themes of sacrifice—to mount a sharp polemic against Indira Gandhi’s regime. Through an analysis of ġhazal-s selected for their range of polemical strategies—from direct satire and political allegory to the recasting of traditional themes like martyrdom—this paper demonstrates how Kumar’s conscious use of a blended Hindi–Urdu vernacular was central to his political project. By writing in “the language I speak,” he dragged the elite ġhazal into the public square, transforming it into a medium for articulating collective disillusionment, resistance, and a scathing critique of a democracy in crisis. Kumar’s work thus stands as a testament to the ġhazal’s potent, and often overlooked, capacity for explicit political engagement. Full article
13 pages, 4447 KB  
Proceeding Paper
Environmental Applications of Quantum Dots in Photocatalytic Treatment of Urban Wastewater
by Sabbir Hossain, Sk. Tanjim Jaman Supto, Tahzib Ibrahim Protik and Md. Nurjaman Ridoy
Mater. Proc. 2025, 26(1), 15; https://doi.org/10.3390/materproc2025026015 - 9 Mar 2026
Abstract
Quantum dots (QDs) have drawn a lot of attention as photocatalytic materials due to the growing need for environmentally friendly wastewater treatment technologies. Among these, carbon-based QDs, including graphene oxide quantum dots (GOQDs), graphitic carbon nitride (g-C3N4), and carbon [...] Read more.
Quantum dots (QDs) have drawn a lot of attention as photocatalytic materials due to the growing need for environmentally friendly wastewater treatment technologies. Among these, carbon-based QDs, including graphene oxide quantum dots (GOQDs), graphitic carbon nitride (g-C3N4), and carbon quantum dots (CQDs), have exceptional optical, electronic, and surface characteristics that increase their suitability for degrading pollutants when exposed to sunlight or visible light. These composites are better at transferring charges, staying stable in light, and breaking down pollutants. Metal-based QDs like ZnO and CdS also have strong photocatalytic activity, but their sustainability remains a concern due to the potential release of toxic ions when they corrode in light. The green synthesis approach addresses these challenges. Using natural extracts, like polyphenols from tea leaves, to biofunctionalize surfaces has been shown to reduce toxicity and improve photocatalytic performance. Green synthesis using renewable precursors solves problems with toxicity, resource depletion, and environmental pollution, which supports a low-impact and circular technological approach. This study examines recent developments in the making, modifying, and use of QD-based photocatalysts in the environment, with a focus on CQD/g-C3N4 hybrid systems. Future research should focus on making green, non-toxic, regenerable, and highly active carbon-based QDs for safe large-scale water treatment. Full article
(This article belongs to the Proceedings of The 4th International Online Conference on Materials)
Show Figures

Figure 1

13 pages, 856 KB  
Article
Sun-Exposed vs. Non-Sun-Exposed Areas: Epidemiology and Pathogenesis of Non-Metastatic Merkel Cell Carcinoma
by Alexander Yakobson, Ronen Brenner, Hanna T. Frumin Edri, Anna Ievko, Sofiia Turaieva, Tanzilya Tairov, Ilia Berezhnov, Shlomit Fenig, Eyal Fenig, Tomer Ziv-Baran, Sabri El-Saied and Walid Shalata
Diagnostics 2026, 16(5), 818; https://doi.org/10.3390/diagnostics16050818 - 9 Mar 2026
Viewed by 142
Abstract
Background: Merkel cell carcinoma (MCC) is a rare and aggressive cutaneous neuroendocrine malignancy. The prognostic impact of sun exposure at the primary tumor site in localized and locally advanced MCC remains incompletely defined. We aimed to compare clinicopathologic characteristics and survival outcomes between [...] Read more.
Background: Merkel cell carcinoma (MCC) is a rare and aggressive cutaneous neuroendocrine malignancy. The prognostic impact of sun exposure at the primary tumor site in localized and locally advanced MCC remains incompletely defined. We aimed to compare clinicopathologic characteristics and survival outcomes between sun-exposed and non-sun-exposed MCC in a large, multi-center Israeli cohort. Methods: We retrospectively identified 249 patients diagnosed with localized or locally advanced MCC between January 1985 and December 2020. Of these, 225 patients met eligibility criteria and were included in the analysis: 142 with sun-exposed primary tumors (cohort A) and 83 with non-sun-exposed tumors (cohort B). Baseline characteristics included age, sex, tumor size, lymph node (LN) involvement at diagnosis, disease-free survival (DFS), and overall survival (OS). Results: Median age at diagnosis was similar between cohorts (~73 years), with a male predominance in both groups. LN involvement was significantly more frequent in non-sun-exposed tumors compared with sun-exposed tumors (57.0% vs. 30.0%, p < 0.001), while tumor size distribution did not differ significantly. Median DFS was numerically longer in sun-exposed patients (58.0 vs. 47.8 months, p ≈ 0.18), whereas median OS favored non-sun-exposed patients (89.7 vs. 79.7 months, p ≈ 0.21), though neither difference reached statistical significance overall. Females demonstrated longer DFS and OS than males across both cohorts. Among LN-negative patients, non-sun-exposed tumors were associated with significantly improved OS (105.9 vs. 91.4 months, p ≈ 0.03), particularly in males. Primary tumor size further stratified outcomes: non-sun-exposed patients had significantly superior OS for tumors <2 cm and both improved DFS and OS for tumors ≥2 cm. Conclusions: In this large real-world MCC cohort, sun exposure status was associated with distinct patterns of nodal involvement and survival in clinically relevant subgroups. Non-sun-exposed MCC demonstrated favorable survival outcomes, particularly in LN-negative disease and across tumor size categories, suggesting underlying biological differences that merit further investigation. Full article
(This article belongs to the Special Issue Advances in Diagnosis and Management of Skin Diseases)
Show Figures

Figure 1

29 pages, 10745 KB  
Article
A Machine Learning-Based Multi-Objective Optimization and Decision Support Framework for Age-Friendly Outdoor Activity Spaces
by Hui Wang, Rui Zhang, Ling Jiang, Lu Zhang and Guang Yang
Buildings 2026, 16(5), 1088; https://doi.org/10.3390/buildings16051088 - 9 Mar 2026
Viewed by 203
Abstract
Thermal comfort and adequate sunlight exposure are essential for maintaining the health of older adults. Although multi-objective optimization (MOO) has been increasingly applied to improve environmental performance in spatial design, most existing studies still rely on computationally expensive physical simulations, and their optimization [...] Read more.
Thermal comfort and adequate sunlight exposure are essential for maintaining the health of older adults. Although multi-objective optimization (MOO) has been increasingly applied to improve environmental performance in spatial design, most existing studies still rely on computationally expensive physical simulations, and their optimization results often lack interpretability and operability in early design decision-making. To address these issues, this study proposes a collaborative optimization framework that integrates machine learning surrogate models with neural visualization tools to support performance-driven design of age-friendly outdoor spaces at the early stage. Based on survey data from 46 typical Beijing communities, we constructed a parametric model with three objectives: minimizing summer UTCI, maximizing winter UTCI, and maximizing sunlight duration. An XGBoost model is adopted as a surrogate to accelerate performance prediction, while a self-organizing map (SOM) was applied to cluster and visualize Pareto-optimal solutions. The results indicate that the surrogate model achieves high predictive accuracy and reduces overall computational time by approximately 45% compared with conventional physical simulations. Moreover, the SOM-based visual decision process compresses the high-dimensional solution space and reduces candidate schemes by more than 90%, enabling rapid identification of design solutions that balance environmental performance and spatial morphology. The proposed framework improves both computational efficiency and decision support capacity for performance-oriented spatial design and provides a novel methodological reference for the environmental renewal of age-friendly outdoor spaces. Full article
(This article belongs to the Section Architectural Design, Urban Science, and Real Estate)
Show Figures

Figure 1

21 pages, 4695 KB  
Article
Solar-Driven Remediation of Complex Cationic Dye Mixtures Using α-Fe2O3/ZnFe2O4 Heterocatalyst Under Sunlight: Insights from Single and Binary Systems
by Karima Rouibah, Dalila Bousba, Fatima Zohra Akika, Hana Ferkous, Abir Gouasmia, Messaoud Benamira, Ilknur Kucuk, Ivalina Avramova, Sabrina Lekmine, Hamza Odeibat, Mohammad Shamsul Ola, Abdeltif Amrane and Hichem Tahraoui
Catalysts 2026, 16(3), 253; https://doi.org/10.3390/catal16030253 - 8 Mar 2026
Viewed by 254
Abstract
In the current investigation, the solar photocatalytic degradation of two cationic model dyes (methyl green (MG) and crystal violet (CV)) was studied using α-Fe2O3/ZnFe2O4 nanocomposite. The fine powder of nanoparticles was obtained by co-precipitation method at [...] Read more.
In the current investigation, the solar photocatalytic degradation of two cationic model dyes (methyl green (MG) and crystal violet (CV)) was studied using α-Fe2O3/ZnFe2O4 nanocomposite. The fine powder of nanoparticles was obtained by co-precipitation method at pH = 10 and characterized by X-ray diffraction (XRD), Field Emission Scanning Electron Microscopy (FESEM) and UV-vis spectroscopy. The surface properties were further examined through temperature-programmed desorption (TPD) and point of zero charge (PZC) measurements to assess the acid–base characteristics and surface charge behavior of the material. Adsorption and photocatalytic performance were systematically evaluated in both single and binary systems. Dark adsorption experiments showed a better affinity of the α-Fe2O3/ZnFe2O4 heterosystem towards MG dye in both cases. Under natural sunlight irradiation in the individual system, the photocatalytic activity of the nanoparticles was significantly higher for MG (81.67% removal) compared to CV (41.70%). Kinetics analysis revealed that the photodegradation of both dyes followed a pseudo-first-order model. In binary systems, competitive adsorption effects strongly influenced the degradation behavior, with MG showing preferential adsorption and higher degradation rates. Moreover, the MG discoloration kinetics followed a second-order model, while CV kinetics transitioned from second- to zero-order with increased initial concentration. Full article
Show Figures

Figure 1

23 pages, 2333 KB  
Article
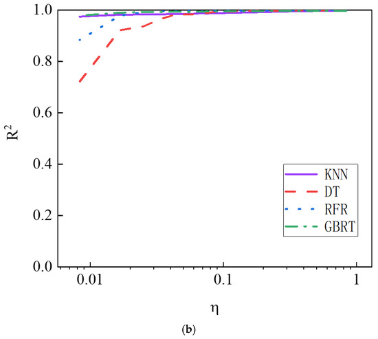
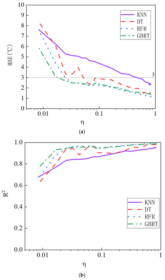
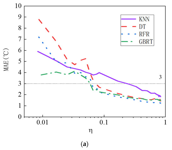
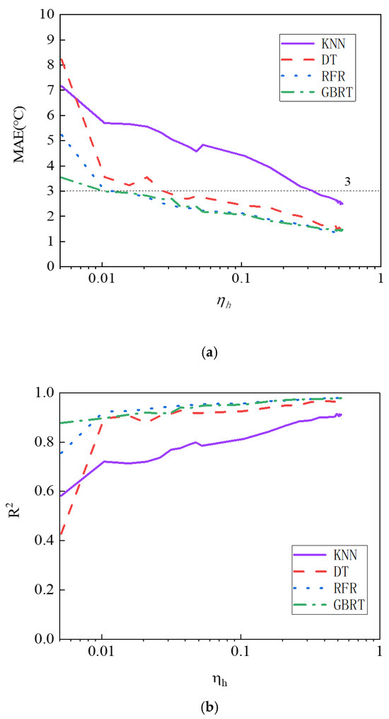
Measurement of Metal Surface Temperature Based on Visible Light Images: A Strategy for On-Site Image Acquisition
by Xingwang Li, Wenhua Wu, Chengxiang Lei, Yang Chen, Zheng Tian and Qizheng Ye
Appl. Sci. 2026, 16(5), 2556; https://doi.org/10.3390/app16052556 - 6 Mar 2026
Viewed by 125
Abstract
Based on the mechanism of thermally modulated reflected light, visible light images combined with machine learning methods can be used to estimate the surface temperature of metal equipment at ambient temperature under sunlight conditions. However, the surface conditions of on-site equipment and camera [...] Read more.
Based on the mechanism of thermally modulated reflected light, visible light images combined with machine learning methods can be used to estimate the surface temperature of metal equipment at ambient temperature under sunlight conditions. However, the surface conditions of on-site equipment and camera imaging parameters vary greatly across different scenarios, leading to poor generalization of models trained solely on laboratory image databases. To address this, it is necessary to update the original laboratory database by incorporating on-site images and retrain the model accordingly; on the other hand, since most of the on-site equipment is working normally, there are few images capturing fault-induced high temperatures. Even if the method of updating and retraining on-site images is used, the data imbalance in the image database can still cause significant measurement errors in these high-temperature images. This study studies image database update schemes to address both multi-scenario and data imbalance problems and demonstrates that retraining with as little as 5% scenario-specific images or 1% high-temperature images significantly improves temperature prediction accuracy, which was validated through on-site experiments at a substation. By comparing four machine learning algorithms (random forest regression, gradient boosted regression trees, decision trees, and k-nearest neighbors), this study reveals that RFR yields the best performance. These findings enhance the practical applicability of visible light image-based temperature measurement models in engineering contexts. Full article
(This article belongs to the Special Issue Applied Computer Vision and Deep Learning)
Show Figures

Figure 1

14 pages, 1978 KB  
Article
Inter-Row Reflective Film Mulching Revealed the Regulation of Ground-Reflected Light on Grape Flavoromics
by Ning Shi, Hao-Cheng Lu, Meng-Bo Tian, Ming-Yu Li, Chang-Qing Duan, Jun Wang and Fei He
Foods 2026, 15(5), 930; https://doi.org/10.3390/foods15050930 - 6 Mar 2026
Viewed by 123
Abstract
Inter-row mulching with reflective film (RF) has been increasingly adopted in cool-climate vineyards to improve light availability and promote grape ripening. This study investigated the effects of ground-reflected light on the flavoromic profiles of wine grape berries (Vitis vinifera L.) over two [...] Read more.
Inter-row mulching with reflective film (RF) has been increasingly adopted in cool-climate vineyards to improve light availability and promote grape ripening. This study investigated the effects of ground-reflected light on the flavoromic profiles of wine grape berries (Vitis vinifera L.) over two consecutive vintages (2020–2021) in the Beijing Fangshan region of Eastern China, an area characterized by high precipitation and limited sunlight during ripening. Physicochemical analyses showed that RF treatment significantly increased total soluble solids (TSSs) and decreased titratable acidity (TA) at harvest. Targeted metabolomic analyses using HPLC–MS and GC–MS identified 21 flavonoids and 35 volatile compounds responsive to altered light conditions. RF treatment markedly enhanced the accumulation of anthocyanins and flavonols, especially malvidin-based derivatives, and increased terpene and norisoprenoid concentrations, while C6/C9 compounds were more abundant in control berries. Multivariate analysis revealed that PC1 was mainly associated with anthocyanin accumulation, clearly separating RF-treated samples, whereas PC2 reflected differences in flavonols and flavan-3-ols, with higher flavonols under RF and higher skin- and seed-derived flavan-3-ols in controls. Overall, these findings demonstrate that ground-reflected light plays a critical role in modulating grape flavor composition and provides practical guidance for improving fruit quality in suboptimal climatic regions. Full article
(This article belongs to the Section Foodomics)
Show Figures

Figure 1

28 pages, 5608 KB  
Article
Optimizing Thermal–Daylight Performance of South-Facing High-Rise Apartment Rooms Using Slat-Based Shading Devices in Tropical Regions
by Yu Hong, Mohd Farid Mohamed, Wardah Fatimah Mohammad Yusoff, Ende Yang, Jia Li, Feng Peng and Qi Yang
Buildings 2026, 16(5), 1048; https://doi.org/10.3390/buildings16051048 - 6 Mar 2026
Viewed by 142
Abstract
Tropical daylight provision is inherently coupled with intensive solar heat gains, particularly in south-facing rooms that experience pronounced seasonal variations in solar altitude and exposure across different times of the year. When appropriately designed, external shading devices can mitigate solar heat gains while [...] Read more.
Tropical daylight provision is inherently coupled with intensive solar heat gains, particularly in south-facing rooms that experience pronounced seasonal variations in solar altitude and exposure across different times of the year. When appropriately designed, external shading devices can mitigate solar heat gains while maintaining adequate indoor daylight availability. This study investigates the daylighting and thermal performance of a representative south-facing apartment room equipped with combined horizontal and vertical slat-based shading devices using a controlled, comparative simulation framework under tropical climate conditions. Parametric simulations were conducted using IES-VE to evaluate multiple shading configurations with varying slat positions, depths, and combinations under representative sky conditions and seasonal design days. The results demonstrate that mid-height horizontal slat configurations reduced front-zone Estimated Indoor Illuminance (EII) by up to 54.9%, while enhancing daylight penetration into deeper areas under direct sunlight conditions. Bottom horizontal slats further improved daylight distribution by reflecting sunlight into deeper zones, producing peak increases in EII of up to 26.8% in the middle zone and 19.7% in the rear zone under direct solar conditions. The addition of vertical slats further improved thermal performance by limiting lateral solar exposure without significantly diminishing the daylight-redirecting effects of horizontal elements. Selected integrated shading configurations achieved maximum reductions in operative temperature of up to 2.5 °C during peak afternoon periods compared with the base case within the adopted evaluation framework. However, under intermediate sky conditions without direct solar contribution, the daylighting and thermal benefits of slat-based shading were substantially reduced. Based on these findings, the study proposes a movable external shading system with adjustable horizontal and vertical slats for south-facing apartment rooms, intended to respond to changing solar conditions across the evaluated design days. Overall, this study provides mechanism-oriented insights to support the development of climate-responsive façade strategies for tropical high-rise residential buildings, with the aim of improving daylight distribution and reducing cooling demand. Full article
(This article belongs to the Section Building Energy, Physics, Environment, and Systems)
Show Figures

Figure 1

18 pages, 3091 KB  
Article
Glare Impact from Photovoltaic Systems on Driver Safety
by Mieczysław Słowik, Przemysław Skrzypczak and Krzysztof Wandachowicz
Sustainability 2026, 18(5), 2541; https://doi.org/10.3390/su18052541 - 5 Mar 2026
Viewed by 176
Abstract
This article examines the potential risk of impaired visibility for drivers caused by sunlight reflecting off the surfaces of PV panels installed within the right-of-way of motorways and expressways. A literature review was conducted to describe the current state of knowledge and identify [...] Read more.
This article examines the potential risk of impaired visibility for drivers caused by sunlight reflecting off the surfaces of PV panels installed within the right-of-way of motorways and expressways. A literature review was conducted to describe the current state of knowledge and identify the requirements applicable to this area. The procedures for measuring the reflective properties of PV panels using a goniophotometer and a luminance camera (imaging luminance measuring device—ILMD) were evaluated. The measurement results for three PV panels with different surface structures are presented, allowing the properties of PV panels to be determined in terms of their potential impact on driver safety. A computer application was developed to determine whether the sun’s rays will reflect off a photovoltaic panel’s surface toward a vehicle’s direction of travel. The application graphically displays information on whether the sun will be reflected in the direction of a moving vehicle and whether this reflection poses a threat to driver safety. A comprehensive procedure for assessing the risk of glare caused by sunlight reflecting off the surfaces of photovoltaic panels was developed, along with detailed requirements. This study supports sustainable development by promoting renewable energy deployment in motorway corridors while simultaneously ensuring road safety. It integrates environmental (renewable energy use), social (driver safety), and technical (quantitative glare assessment methods) dimensions of sustainability. Full article
Show Figures

Figure 1

14 pages, 1730 KB  
Article
Cotton-Supported UiO-66-NH2 Photocatalyst for Efficient Solar Degradation of Acetaminophen
by Miguel García-Rollán, María Ariadna Álvarez-Montero, Jorge Bedia and Carolina Belver
Catalysts 2026, 16(3), 233; https://doi.org/10.3390/catal16030233 - 3 Mar 2026
Viewed by 330
Abstract
Emerging pharmaceutical pollutants such as acetaminophen (ACE) pose health and environmental risks. Solar photocatalysis provides a sustainable and efficient treatment option. In this study, UiO-66-NH2 metal–organic framework was immobilized on cotton fabrics to enable their application in both batch and continuous flow [...] Read more.
Emerging pharmaceutical pollutants such as acetaminophen (ACE) pose health and environmental risks. Solar photocatalysis provides a sustainable and efficient treatment option. In this study, UiO-66-NH2 metal–organic framework was immobilized on cotton fabrics to enable their application in both batch and continuous flow systems. Cotton, a biodegradable and low-cost support, was first functionalized by two strategies: hydroxylation (-OH) and carboxylation (-COOH), to promote MOF anchoring. Cotton fabric functionalization and MOF growth were confirmed by ATR and X-ray diffraction, while SEM and EDX analyses revealed that carboxylated fibers achieved higher MOF loading. Photocatalytic experiments under simulated solar irradiation demonstrated significantly higher degradation of acetaminophen when the carboxylated cotton fabric-based catalyst (F-COOH-UiO-66-NH2) was used. Mott–Schottky analysis and band alignment revealed that, under the applied reaction conditions, hydroxyl radical generation was not favored due to the position of the valence band. Studies with scavengers identified the superoxide radical as the dominant oxidative agent responsible for the photodegradation process. In particular, the F-COOH-UiO-66-NH2 system demonstrated its suitability for application in continuous flow systems, achieving acetaminophen conversion of up to 50% under simulated solar irradiation. This confirms its potential for scalable application in practical water treatment technologies. These results reinforce the feasibility of immobilizing MOF-based photocatalysts on functionalized textile waste, offering a dual-purpose solution that combines the removal of pharmaceutical pollutants with the valorization of waste materials. The synergistic integration of high photocatalytic efficiency, sunlight harvesting and recyclability of the materials underlines the eco-friendly and cost-effective nature of the proposed strategy. Full article
(This article belongs to the Section Catalytic Materials)
Show Figures

Graphical abstract

Back to TopTop