Sign in to use this feature.

Years

Between: -

Subjects

remove_circle_outline
remove_circle_outline
remove_circle_outline
remove_circle_outline
remove_circle_outline
remove_circle_outline
remove_circle_outline
remove_circle_outline
remove_circle_outline

Journals

Article Types

Countries / Regions

remove_circle_outline
remove_circle_outline
remove_circle_outline

Search Results (235)

Search Parameters:
Keywords = subsurface salinity

Order results
Result details
Results per page
Select all
Export citation of selected articles as:
20 pages, 3635 KB  
Article
Rice Cultivation Alters Soil Aggregates by Changing the Distribution of Humic Substances in Saline–Sodic Soils
by Florence Nyambura Gikonyo, Yujie Wu, Kexin Zhu, Zhaoqiang Ju, Kai Guo and Xiaojing Liu
Agronomy 2026, 16(4), 448; https://doi.org/10.3390/agronomy16040448 - 13 Feb 2026
Abstract
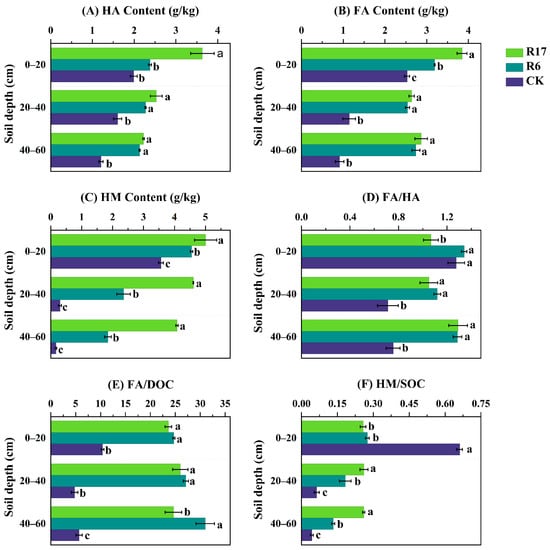
Rice cultivation is widely used for the reclamation of saline–sodic soils. However, the mechanisms by which prolonged flooding alters soil chemical conditions and regulates carbon redistribution and stabilization across the soil profile remain unclear. This study compared soils reclaimed for 6 years (R6) [...] Read more.
Rice cultivation is widely used for the reclamation of saline–sodic soils. However, the mechanisms by which prolonged flooding alters soil chemical conditions and regulates carbon redistribution and stabilization across the soil profile remain unclear. This study compared soils reclaimed for 6 years (R6) and 17 years (R17) with unreclaimed saline–sodic soil (CK) in the Songnen Plain, Northeast China, and evaluated changes across three depths (0–20, 20–40, and 40–60 cm). Reclamation significantly improved aggregate stability, with corresponding increases in mean weight diameter and water-stable aggregates. R17 and R6 promoted greater soil organic carbon (SOC) retention within macroaggregates and increased humic substance concentrations, indicating improved structural protection of carbon. The fulvic/humic acid (FA/HA) ratio increased with depth under flooded conditions, suggesting greater fulvic acid mobility. Although HA and humin (HM) decreased with depth, their concentrations, particularly the HM/SOC ratio, remained higher and more stable in R17. Reductions in salinity acted as a key mediating pathway, regulating carbon redistribution across the soil profile, with mobile carbon fractions destabilizing surface aggregates but promoting organo-mineral bonding and aggregate formation at subsurface depths (20–40 cm). Overall, these findings indicate that rice-based reclamation stabilizes carbon via interconnected processes of salinity reduction, vertical carbon redistribution, and aggregation driven by carbon quality, highlighting subsurface layers as essential for long-term carbon stabilization in saline–sodic soils. Full article
(This article belongs to the Section Soil and Plant Nutrition)
Show Figures

Figure 1

27 pages, 6581 KB  
Article
FWinFormer: A Frequency-Domain Deep Learning Framework for 3D Ocean Subsurface Temperature Prediction
by Juntong Wu, Miao Hu, Xiulin Geng and Xun Zhang
Remote Sens. 2026, 18(4), 575; https://doi.org/10.3390/rs18040575 - 12 Feb 2026
Abstract
Subsurface temperature is an important parameter for characterizing oceanic physical processes, and accurate prediction of subsurface temperature is essential for understanding oceanic changes. Existing methods primarily focus on spatial modeling but offer limited characterization of the spatiotemporal structure and frequency features of sea [...] Read more.
Subsurface temperature is an important parameter for characterizing oceanic physical processes, and accurate prediction of subsurface temperature is essential for understanding oceanic changes. Existing methods primarily focus on spatial modeling but offer limited characterization of the spatiotemporal structure and frequency features of sea temperature. They also suffer from restricted receptive fields and limited ability to model long-term dependencies. In this study, we propose a deep learning model named Fourier Window Transformer (FWinFormer), which integrates frequency-domain modeling to predict the three-dimensional subsurface temperature over the next 24 days. The model incorporates both temporal and frequency characteristics to enhance prediction accuracy. It consists of three modules: a Spatial Block Encoder, a Translator, and a Spatial Block Decoder. The spatial encoding and decoding modules are designed to extract spatial features, while the Translator models multi-scale temporal features based on the features extracted by the encoding and decoding modules. The input consists of 24 days of historical satellite observations, including sea-surface temperature (SST), salinity (SSS), eastward velocity (SSU), northward velocity (SSV) and height (SSH). We compared the model predictions with reanalysis data and evaluated performance from the perspectives of temporal evolution, spatial distribution, and vertical structure. Additionally, we validated the predicted temperatures against in situ observations. The results show that the model achieves strong and consistent performance across various temporal scales and spatial regions, with MAE, RMSE, and R2 values of 0.529, 0.785, and 0.994, respectively, for the 24-day average prediction. Full article
(This article belongs to the Special Issue Artificial Intelligence for Ocean Remote Sensing (Second Edition))
Show Figures

Figure 1

19 pages, 3154 KB  
Article
Subsurface Irrigation Depth Affects High-Yield Triticum aestivum Cultivation in Saline-Alkali Soils: Evidence from Soil–Microbe–Crop Interaction
by Tieqiang Wang, Hanbo Wang, Kai Guo, Xiaobin Li, Weidong Li, Zhenxing Yan and Wenbin Chen
Agronomy 2026, 16(2), 245; https://doi.org/10.3390/agronomy16020245 - 20 Jan 2026
Viewed by 304
Abstract
Drip irrigation burial depth is a critical management factor for saline-alkali agriculture, yet its mechanisms of influencing crop productivity through soil–microbe–plant interactions remain poorly understood. To explore the regulatory effects of drip irrigation burial depth on the growth and rhizosphere microenvironment of dryland [...] Read more.
Drip irrigation burial depth is a critical management factor for saline-alkali agriculture, yet its mechanisms of influencing crop productivity through soil–microbe–plant interactions remain poorly understood. To explore the regulatory effects of drip irrigation burial depth on the growth and rhizosphere microenvironment of dryland wheat in saline-alkali soil, three treatments (no irrigation control, CK; 5 cm shallow-buried drip irrigation, T5; 25 cm deep-buried drip irrigation, T25) were set up, with soil physicochemical properties, microbial community characteristics, and crop yield analyzed. The results showed that drip irrigation significantly improved soil environment and yield, and T25 exhibited superior comprehensive benefits: soil electrical conductivity was reduced by 63%, organic matter content increased by 44%, and water-salt status was significantly optimized; meanwhile, microbial community structure was altered and root nutrient uptake capacity was enhanced, ultimately achieving a yield of 5347.1 kg ha−1, 55.0% higher than CK. In conclusion, 25 cm deep-buried drip irrigation may provide advantages for wheat cultivation primarily through improved water distribution, desalination, and soil structure enhancement. Full article
Show Figures

Figure 1

17 pages, 2752 KB  
Article
Evaluation of Chromium-Crosslinked AMPS-HPAM Copolymer Gels: Effects of Key Parameters on Gelation Time and Strength
by Maryam Sharifi Paroushi, Baojun Bai, Thomas P. Schuman, Yin Zhang and Mingzhen Wei
Gels 2026, 12(1), 87; https://doi.org/10.3390/gels12010087 - 19 Jan 2026
Viewed by 217
Abstract
Controlling CO2 channeling in heterogeneous reservoirs remains a major challenge for both enhanced oil recovery (EOR) and secure geological storage. AMPS-HPAM copolymers exhibit high-temperature resistance and brine tolerance compared with conventional HPAM gels, making them well suited for the harsh environments associated [...] Read more.
Controlling CO2 channeling in heterogeneous reservoirs remains a major challenge for both enhanced oil recovery (EOR) and secure geological storage. AMPS-HPAM copolymers exhibit high-temperature resistance and brine tolerance compared with conventional HPAM gels, making them well suited for the harsh environments associated with CO2 injection. Chromium-based crosslinkers (CrAc and CrCl3) were investigated because sulfonic acid groups in AMPS can coordinate with trivalent chromium ions, enabling dual ionic crosslinking and the formation of a robust gel network. While organic crosslinked AMPS-HPAM gels have been widely studied, the behavior of chromium-crosslinked AMPS-containing systems, particularly their gelation kinetics under CO2 exposure, remains less explored. This experimental study evaluates the gelation behavior and stability of chromium-crosslinked AMPS-HPAM gels by examining the effects of the polymer concentration, molecular weight, polymer–crosslinker ratio, temperature, pH, salinity, and dissolved CO2. The results clarify the crosslinking behavior across a range of formulations and environmental conditions and establish criteria for designing robust gel systems. Gelation times can be controlled from 5 to 10 h, and the resulting gels maintained structural integrity under CO2 exposure with less than 3.6% dehydration. Long-term thermal testing has shown that the gel remains stable after 10 months at 100 °C, with evaluation still ongoing. These results demonstrate that chromium-crosslinked AMPS-HPAM gels provide both durability and tunability for diverse subsurface conditions. Full article
(This article belongs to the Special Issue State-of-the Art Gel Research in USA)
Show Figures

Graphical abstract

19 pages, 3315 KB  
Article
Effects of Deep Ploughing Combined with Subsurface Drainage on Soil Water–Salt Dynamics and Physical Properties in Arid Regions
by Miao Wu, Yingjie Ma, Pengrui Ai, Zhenghu Ma and Changjiang Liu
Sustainability 2026, 18(2), 862; https://doi.org/10.3390/su18020862 - 14 Jan 2026
Viewed by 267
Abstract
A two-year (2024–2025) field experiment was conducted in southern Xinjiang to alleviate soil compaction and severe salinization in saline–alkali soils and to evaluate the combined effects of tillage depth and subsurface drain spacing on soil improvement. Six treatments were established with three deep [...] Read more.
A two-year (2024–2025) field experiment was conducted in southern Xinjiang to alleviate soil compaction and severe salinization in saline–alkali soils and to evaluate the combined effects of tillage depth and subsurface drain spacing on soil improvement. Six treatments were established with three deep tillage depths, 70 cm (W1), 50 cm (W2), and 30 cm (W3), and two subsurface drain spacings, 20 m (S1) and 40 m (S2). Treatment effects on soil water–salt dynamics, soil physical properties and structure, ionic composition, and subsurface drainage and salt removal were analyzed. This study provides mechanistic and practical evidence that coupling deep tillage with subsurface drainage creates a more effective leaching–drainage pathway than either measure alone and enables robust optimization of design parameters (drain spacing × tillage depth) for saline–alkali land improvement in arid regions. Deep tillage in combination with subsurface drainage significantly increased soil profile water content, total porosity, and cumulative subsurface drainage and salt export, all of which reached their maxima under S1W1; it also significantly reduced bulk density, total salinity, and the concentrations of Na+, K+, Mg2+, Ca2+, Cl, and SO42−, which reached their minima under S1W1. After two spring irrigation–leaching events (in 2024 and 2025), surface salt accumulation in the soil profile was markedly alleviated, and the mean salinity in the 0–20 cm layer decreased by 45.68% across treatments. The S1W1 treatment achieved the best desalinization performance in both leaching events, with reductions of 41.36% and 44.68%, respectively. Pearson correlation analysis indicated that the desalinization effect was significantly negatively correlated with porosity and significantly positively correlated with bulk density and ionic concentrations. Overall, coupling deep tillage with subsurface drainage effectively reduced soil salinity and harmful ions, improved soil structure, and enhanced drainage-mediated salt removal, with the 70 cm tillage depth combined with a 20 cm drain spacing delivering the best performance. Full article
Show Figures

Figure 1

19 pages, 9069 KB  
Article
Comparative Analysis of Flow Behavior and Geochemical Impact of CO2 and Hydrogen in Lithuanian Saline Aquifer: A Simulation and Experimental Study
by Shruti Malik, Parsa Alimohammadiardakani and Mayur Pal
Energies 2026, 19(2), 359; https://doi.org/10.3390/en19020359 - 11 Jan 2026
Viewed by 265
Abstract
Lithuania covers the deepest parts of the Baltic basin and contains many reservoirs that have been explored for Hydrocarbon production and gas storage projects, including CO2 and hydrocarbon gas storage. Studies have also been conducted to assess the storage potential of these [...] Read more.
Lithuania covers the deepest parts of the Baltic basin and contains many reservoirs that have been explored for Hydrocarbon production and gas storage projects, including CO2 and hydrocarbon gas storage. Studies have also been conducted to assess the storage potential of these reservoirs for gases like CO2 and Hydrogen. In the studies, four saline aquifers, including Syderiai, Vaskai, and D11, and depleted hydrocarbon reservoirs in the Gargzdai structure were evaluated for potential CO2 storage. However, the long-term fate of these gases’ migration at the field scale has not been reported previously. In response to the existing gap, this study aims to evaluate the risks and challenges associated with subsurface CO2 and Hydrogen storage by conducting numerical simulations at two injection rates, of fluid migration, pH variations, and geomechanical responses using the tNavigator platform, complemented by laboratory experiments on outcrops representative of Syderiai formation, to achieve a detailed understanding of geochemical interactions between rocks and fluids. The results reveal distinct gas-specific behaviors: CO2 exhibits enhanced solubility trapping, density-driven convective mixing, and pronounced pH reduction, whereas Hydrogen demonstrates rapid buoyant migration, higher pressure buildup, and negligible geochemical reactivity. Both gases demonstrate short-term storage viability in the Syderiai aquifer under the modeled conditions, with pressure and total vertical stress remaining below the bottom-hole pressure limit of 450 bars. This integrated simulation and experimental study enhances our understanding of Lithuanian reservoirs for the safe, long-term storage of both CO2 and Hydrogen. Full article
(This article belongs to the Collection Feature Papers in Carbon Capture, Utilization, and Storage)
Show Figures

Figure 1

26 pages, 2999 KB  
Article
A Novel Geophysical Approach for 2D/3D Fresh-Saline Water Assessment Toward Sustainable Groundwater Monitoring
by Fei Yang, Muhammad Hasan and Yanjun Shang
Sustainability 2026, 18(1), 517; https://doi.org/10.3390/su18010517 - 4 Jan 2026
Viewed by 309
Abstract
Saline water intrusion poses a major threat to groundwater security in arid and semi-arid regions, reducing freshwater availability and challenging sustainable water resource management. Accurate delineation of the fresh-saline water interface is therefore essential; however, conventional hydrochemical and laboratory-based assessments remain costly, invasive, [...] Read more.
Saline water intrusion poses a major threat to groundwater security in arid and semi-arid regions, reducing freshwater availability and challenging sustainable water resource management. Accurate delineation of the fresh-saline water interface is therefore essential; however, conventional hydrochemical and laboratory-based assessments remain costly, invasive, and spatially limited. Resistivity methods have long been used to infer subsurface salinity, as low resistivity typically reflects clay-rich saline water and higher resistivity reflects freshwater-bearing sand or gravel. Yet, resistivity values for similar lithologies frequently overlap, causing ambiguity in distinguishing fresh and saline aquifers. To overcome this limitation, Dar–Zarrouk (D–Z) parameters are often applied to enhance hydrogeophysical discrimination, but previous studies have relied exclusively on one-dimensional (1D) D–Z derivations using vertical electrical sounding (VES), which cannot resolve the lateral complexity of alluvial aquifers. This study presents the first application of electrical resistivity tomography (ERT) to derive two- and three-dimensional D–Z parameters for detailed mapping of the fresh-saline water interface in the alluvial aquifers of Punjab, Pakistan. ERT provides non-invasive, continuous, and high-resolution subsurface imaging, enabling volumetric assessment of aquifer electrical properties and salinity structure. The resulting 2D/3D models reveal the geometry, depth, and spatial continuity of salinity transitions with far greater clarity than VES-based or purely hydrochemical methods. Physicochemical analyses from boreholes along the ERT profiles independently verify the geophysical interpretations. The findings demonstrate that ERT-derived 2D/3D D–Z modeling offers a cost-effective, scalable, and significantly more accurate framework for assessing fresh-saline water boundaries. This approach provides a transformative pathway for sustainable groundwater monitoring, improved well siting, and long-term aquifer protection in salinity-stressed alluvial regions. Full article
Show Figures

Figure 1

22 pages, 4785 KB  
Article
Deep Learning-Based 3D Ocean Current Reconstruction Improved by Vertical Temperature and Salinity
by Xinlong Li, Qin Duan, Ying Zhang, Yuhong Zhang and Yan Du
Remote Sens. 2026, 18(1), 96; https://doi.org/10.3390/rs18010096 - 26 Dec 2025
Viewed by 661
Abstract
The ocean circulation in the Western Pacific is crucial for climate regulation and marine ecosystems, but reconstructing 3D subsurface currents remains challenging due to limited observations. This study presents SpadeUp, a novel deep learning model that fuses surface data (wind fields, sea surface [...] Read more.
The ocean circulation in the Western Pacific is crucial for climate regulation and marine ecosystems, but reconstructing 3D subsurface currents remains challenging due to limited observations. This study presents SpadeUp, a novel deep learning model that fuses surface data (wind fields, sea surface height, and surface currents) with subsurface thermohaline data to achieve high-precision 3D ocean current reconstruction. We systematically compared SpadeUp against DiSpade (using only surface data through knowledge distillation) and U-Net (benchmark model). SpadeUp achieved superior performance with average root-mean-square error below 0.05 m/s, representing over 30% improvement compared to U-Net while using fewer parameters. The model successfully reproduced subsurface-intensified eddy in the South China Sea, and accurately captured complex vertical structures of the Kuroshio. Variable importance analysis confirmed that subsurface thermohaline information, especially temperature, is decisive for enhancing reconstruction accuracy, particularly below the thermocline. Full article
Show Figures

Graphical abstract

26 pages, 10794 KB  
Article
An Adaptive Nudging Scheme with Spatially Varying Gain for Improving the Ability of Ocean Temperature Assimilation in SPEEDY-NEMO
by Yushan Wang, Fei Zheng, Changxiang Yan and Muhammad Adnan Abid
J. Mar. Sci. Eng. 2026, 14(1), 1; https://doi.org/10.3390/jmse14010001 - 19 Dec 2025
Viewed by 313
Abstract
Nudging remains a cost-effective data assimilation technique in coupled climate models, yet conventional schemes with fixed spatial strengths struggle to represent heterogeneous ocean processes. This study introduces an adaptive nudging framework in which a spatially varying gain matrix dynamically balances model and observational [...] Read more.
Nudging remains a cost-effective data assimilation technique in coupled climate models, yet conventional schemes with fixed spatial strengths struggle to represent heterogeneous ocean processes. This study introduces an adaptive nudging framework in which a spatially varying gain matrix dynamically balances model and observational errors, providing a more physically consistent determination of nudging coefficients. Implemented in the SPEEDY-NEMO coupled model, the method is systematically evaluated against a traditional latitude-dependent scheme. Results show substantial improvements in subsurface temperature assimilation across key regions, including the Niño3.4, tropical Indian Ocean, North Pacific, North Atlantic, and northeastern Pacific. The most pronounced gains occur above and within the thermocline, where strong stratification renders fixed nudging strengths inadequate, yielding a 20–30% reduction in RMSE and a 30–50% increase in correlation. In mid- to high-latitude regions, improvements extend to greater depths, consistent with deeper thermocline structures. The adaptive framework corrects both systematic bias and variance, enhancing not only the mean state but also variability representation. Additional benefits are found in salinity, currents, and sea surface height, demonstrating that spatially adaptive nudging provides a more effective and practical alternative for improving ocean state estimation in coupled models. Full article
(This article belongs to the Section Physical Oceanography)
Show Figures

Figure 1

21 pages, 5456 KB  
Article
Gravity Flow System at Sulaimani, Kurdistan Region, Iraq: Groundwater and Isotopic Geochemistry and Their Implications for Groundwater Protection
by Rebar Mahmmud, Ondra Sracek, Omed Mustafa, Howri Mansurbeg, Bohuslava Čejková and Ivana Jačková
Water 2025, 17(23), 3366; https://doi.org/10.3390/w17233366 - 25 Nov 2025
Viewed by 607
Abstract
Groundwater recharge sources and residence times in the Sulaimani–Warmawa Sub-basin, located in the Kurdistan Region of Iraq, were assessed through an integrated hydrogeological, hydrochemical, and isotopic investigation. The study area, located around Sulaimani City, is characterized by a semi-arid climate with precipitation predominantly [...] Read more.
Groundwater recharge sources and residence times in the Sulaimani–Warmawa Sub-basin, located in the Kurdistan Region of Iraq, were assessed through an integrated hydrogeological, hydrochemical, and isotopic investigation. The study area, located around Sulaimani City, is characterized by a semi-arid climate with precipitation predominantly occurring during winter and early spring. Hydrochemical results indicate groundwater types ranging from Ca–HCO3 to Mg–Ca–HCO3, accompanied by a progressive increase in electrical conductivity along the regional flow path. Stable isotope signatures (δ2H and δ18O) show that groundwater is primarily recharged by winter precipitation derived from both Eastern Mediterranean and Persian Gulf air masses. Two groundwater groups were identified based on isotopic composition and tritium content: recently recharged groundwater and older groundwater, represented by two samples. Tritium values ranging from 0.8 to 4.9 TU correspond to minimum residence times from less than 10 years to approximately 40 years. Higher tritium concentrations near recharge zones reflect recent infiltration, whereas lower values indicate older groundwater with limited modern recharge. The piston flow model provided the best fit for tritium data, suggesting limited mixing and relatively rapid subsurface flow. Samples with higher salinity likely reflect reduced flushing in low-permeability zones, resulting in elevated dissolved solids. Hydraulic-data-based estimated groundwater flow velocities yielded lower values compared to tritium-based estimates, implying preferential flow in karstified formations. The relatively short groundwater residence times mean there is high vulnerability to contamination, emphasizing the need for careful land-use planning and groundwater protection strategies. Full article
(This article belongs to the Special Issue Application of Isotope Geochemistry in Hydrological Research)
Show Figures

Figure 1

29 pages, 73139 KB  
Article
Hydrogeological Characterization and Water Quality Evaluation of Amman-Wadi as Sir Aquifer, Northeastern Jordan
by Ibraheem Hamdan, Falk Lindenmaier, Paul Koeniger, Mu’ayyad Al Hseinat, Mathias Toll, Armin Margane, Omed Al-Kurdi, Mohammad Alqadi, Mohammad Al-Hyari, Florian Brückner, Rebecca Bahls and Ahmad AlShdaifat
Water 2025, 17(23), 3353; https://doi.org/10.3390/w17233353 - 23 Nov 2025
Viewed by 997
Abstract
Groundwater resources in Jordan are under severe stress due to rapidly increasing water demand and over-abstraction that far exceeds natural replenishment. In addition, water quality is threatened by pollution from the misuse of fertilizers and pesticides, leakage from septic tanks, and illegal waste [...] Read more.
Groundwater resources in Jordan are under severe stress due to rapidly increasing water demand and over-abstraction that far exceeds natural replenishment. In addition, water quality is threatened by pollution from the misuse of fertilizers and pesticides, leakage from septic tanks, and illegal waste disposal. This study focuses on the Aqeb, Corridor, and Special Economic Zone wellfields, where hydrological and hydrochemical investigations were carried out. A total of 36 groundwater samples were collected and analyzed for hydrochemical composition, stable isotopes of oxygen (δ18O) and hydrogen (δ2H), and trace elements. In addition, two exploration 2D seismic profiles crossing the study area were interpreted, providing critical insights into the activity of the subsurface Fuluk Fault zone and its relationship with the wellfields. The hydrochemical results reveal elevated total dissolved solids and nitrate concentrations, accompanied by more depleted δ18O and δ2H values in wells located in the central part of the study area. Three distinct hydrochemical groups were identified within the same aquifer, indicating heterogeneity in groundwater chemistry that reflects variations in recharge conditions, flow paths, and geochemical processes. The first group (high Na/Cl with low salinity) likely represents recently recharged waters with limited rock–water interaction. The second group (intermediate Na/Cl and moderate salinity) may be influenced by evaporation, irrigation return flow, or cation exchange. The third group (low Na/Cl with high salinity) suggests the dissolution of sulfate minerals or mixing with deeper mineralized groundwater, possibly facilitated by structural features such as the Fuluk Fault. Seismic interpretation indicates several active near-surface fault systems that are likely to serve as preferential pathways for salinity and nitrate enrichment, linked to intensive agricultural activities and wastewater leakage from nearby septic tanks. The findings emphasize the combined influence of geochemical processes, excessive groundwater abstraction, and structural features in controlling water quality in the region. Full article
(This article belongs to the Section Hydrogeology)
Show Figures

Figure 1

26 pages, 6716 KB  
Article
Feasibility and Operability of CO2 Circulation in a CO2 Storage-Enabled Geothermal System with Uncertainty Insights from Aquistore
by Alireza Rangriz Shokri and Rick Chalaturnyk
Energies 2025, 18(22), 6031; https://doi.org/10.3390/en18226031 - 18 Nov 2025
Viewed by 422
Abstract
CO2 circulation between subsurface wells is a promising approach for geothermal energy recovery from deep saline formations originally developed for Carbon Capture and Storage (CCS). This study evaluates the feasibility, operability, and performance of sustained CO2 flow between an injector and [...] Read more.
CO2 circulation between subsurface wells is a promising approach for geothermal energy recovery from deep saline formations originally developed for Carbon Capture and Storage (CCS). This study evaluates the feasibility, operability, and performance of sustained CO2 flow between an injector and a producer at the Canadian Aquistore site, a location with active CO2 injection and an established geological model. A high-resolution sector model, derived from a history-matched parent simulation, was used to conduct a comprehensive uncertainty analysis targeting key operational and subsurface variables, including injection and production rates, downhole pressures, completion configurations and near-wellbore effects. All simulation scenarios retained identical initial and boundary conditions to isolate the impact of each variable on system behavior. Performance metrics, including flow rates, pressure gradients, brine inflow, and CO2 retention, were analyzed to evaluate CO2 circulation efficiency. Simulation results reveal several critical findings. Elevated injection rates expanded the CO2 plume, while bottomhole pressure at the producer controlled brine ingress from the regional aquifer. Once the CO2 plume was fully developed, producer parameters emerged as dominant control factors. Completion designs at both wells proved vital in maximizing CO2 recovery and suppressing liquid loading. Permeability variations showed limited influence, likely due to sand-dominated continuity and established plume connectivity at Aquistore. Visualizations of water saturation and CO2 plume geometry underscore the need for constraint optimization to reduce fluid mixing and stabilize CO2-rich zones. The study suggests that CO2 trapped during circulation contributes meaningfully to permanent storage, offering dual environmental and energy benefits. The results emphasize the importance of not underestimating subsurface complexity when CO2 circulation is expected to occur under realistic operating conditions. This understanding paves the way to guide future pilot tests, operational planning, and risk mitigation strategies in CCS-enabled geothermal systems. Full article
Show Figures

Figure 1

25 pages, 9505 KB  
Article
A Comprehensive Assessment of Rangeland Suitability for Grazing Using Time-Series Remote Sensing and Field Data: A Case Study of a Steppe Reserve in Jordan
by Rana N. Jawarneh, Zeyad Makhamreh, Nizar Obeidat and Ahmed Al-Taani
Geographies 2025, 5(4), 63; https://doi.org/10.3390/geographies5040063 - 1 Nov 2025
Viewed by 1269
Abstract
This study employs an integrated framework that combines field-based measurements, remote sensing, and Geographic Information Systems (GISs) to monitor vegetation dynamics and assess the suitability of a steppe range reserve for livestock grazing. Forty-three surface and subsurface soil samples were collected in April [...] Read more.
This study employs an integrated framework that combines field-based measurements, remote sensing, and Geographic Information Systems (GISs) to monitor vegetation dynamics and assess the suitability of a steppe range reserve for livestock grazing. Forty-three surface and subsurface soil samples were collected in April and November 2021 to capture seasonal variations. Above-ground biomass (AGB) measurements were recorded at five sampling locations across the reserve. Six Sentinel-2 satellite imageries, acquired around mid-March 2016–2021, were processed to derive time-series Normalized Difference Vegetation Index (NDVI) data, capturing temporal shifts in vegetation cover and density. The GIS-based Multi-Criteria Decision Analysis (MCDA) was employed to model the suitability of the reserve for livestock grazing. The results showed higher salinity, total dissolved solids (TDSs), and nitrate (NO3) values in April. However, the percentage of organic matter increased from approximately 7% in April to over 15% in November. The dry forage productivity ranged from 111 to 964 kg/ha/year. On average, the reserve’s dry yield was 395 kg/ha/year, suggesting moderate productivity typical of steppe rangelands in this region. The time-series NDVI analyses showed significant fluctuations in vegetation cover, with lower NDVI values prevailing in 2016 and 2018, and higher values estimated in 2019 and 2020. The grazing suitability analysis showed that 13.8% of the range reserve was highly suitable, while 24.4% was moderately suitable. These findings underscore the importance of tailoring grazing practices to enhance forage availability and ecological resilience in steppe rangelands. By integrating satellite-derived metrics with in situ vegetation and soil measurements, this study provides a replicable methodological framework for assessing and monitoring rangelands in semi-arid regions. Full article
Show Figures

Figure 1

15 pages, 4740 KB  
Article
Electrical Resistivity Tomography and 3D Modeling for Groundwater Salinity Assessment in Volcanic Islands: A Case Study in Los Cristianos (Tenerife, Spain)
by Pedro Carrasco-García, José Luis Herrero-Pacheco, Javier Carrasco-García and Daniel Porras-Sanchiz
Appl. Sci. 2025, 15(20), 11215; https://doi.org/10.3390/app152011215 - 20 Oct 2025
Viewed by 884
Abstract
Groundwater management in volcanic islands represents a complex challenge due to the scarcity of surface resources, the strong heterogeneity of volcanic terrains, and the constant threat of marine intrusion. In Tenerife (Canary Islands, Spain), current regulations establish that only saline or brackish waters [...] Read more.
Groundwater management in volcanic islands represents a complex challenge due to the scarcity of surface resources, the strong heterogeneity of volcanic terrains, and the constant threat of marine intrusion. In Tenerife (Canary Islands, Spain), current regulations establish that only saline or brackish waters are permitted for exploitation, to be subsequently desalinated through reverse osmosis for urban and touristic supply. In this context, it is essential to develop geophysical methodologies capable of accurately characterizing subsurface salinity and optimizing the location of new boreholes. The present study applies Electrical Resistivity Tomography (ERT) profiles in the Los Cristianos area (Arona, Tenerife), later integrated into a three-dimensional model using Oasis Montaj software Version 2025.1. The results allow for the differentiation of four geoelectrical domains. The 3D modeling enabled a detailed characterization of the conductive domain, delineating the geometry of the marine intrusion. The findings confirm that the combination of ERT and 3D modeling constitutes an effective, replicable, and economically efficient methodology for precisely locating saline horizons and selecting the most suitable drilling sites, thereby providing an objective basis for the sustainable management of water resources in volcanic islands. Full article
Show Figures

Figure 1

17 pages, 2877 KB  
Article
Prediction/Assessment of CO2 EOR and Storage Efficiency in Residual Oil Zones Using Machine Learning Techniques
by Abdulrahman Abdulwarith, Mohamed Ammar and Birol Dindoruk
Energies 2025, 18(20), 5498; https://doi.org/10.3390/en18205498 - 18 Oct 2025
Cited by 2 | Viewed by 886
Abstract
Residual oil zones (ROZ) arise under the oil–water contact of main pay zones due to diverse geological conditions. Historically, these zones were considered economically unviable for development with conventional recovery methods because of the immobile nature of the oil. However, they represent a [...] Read more.
Residual oil zones (ROZ) arise under the oil–water contact of main pay zones due to diverse geological conditions. Historically, these zones were considered economically unviable for development with conventional recovery methods because of the immobile nature of the oil. However, they represent a substantial subsurface volume with strong potential for CO2 sequestration and storage. Despite this potential, effective techniques for assessing CO2-EOR performance coupled with CCUS in ROZs remain limited. To address this gap, this study introduces a machine learning framework that employs artificial neural network (ANN) models trained on data generated from a large number of reservoir simulations (300 cases produced using Latin Hypercube Sampling across nine geological and operational parameters). The dataset was divided into training and testing subsets to ensure generalization, with key input variables including reservoir properties (thickness, permeability, porosity, Sorg, salinity) and operational parameters (producer BHP and CO2 injection rate). The objective was to forecast CO2 storage capacity and oil recovery potential, thereby reducing reliance on time-consuming and costly reservoir simulations. The developed ANN models achieved high predictive accuracy, with R2 values ranging from 0.90 to 0.98 and mean absolute percentage error (MAPRE) consistently below 10%. Validation against real ROZ field data demonstrated strong agreement, confirming model reliability. Beyond prediction, the workflow also provided insights for reservoir management: optimization results indicated that maintaining a producer BHP of approximately 1250 psi and a CO2 injection rate of 14–16 MMSCF/D offered the best balance between enhanced oil recovery and stable storage efficiency. In summary, the integrated combination of reservoir simulation and machine learning provides a fast, technically robust, and cost-effective tool for evaluating CO2-EOR and CCUS performance in ROZs. The demonstrated accuracy, scalability, and optimization capability make the proposed ANN workflow well-suited for both rapid screening and field-scale applications. Full article
Show Figures

Figure 1

Back to TopTop