Next Article in Journal
Enhancing Aboveground Biomass Estimation in Rubber Plantations Using UAV Multispectral Data for Satellite Upscaling
Next Article in Special Issue
A Domain Adaptation-Based Ocean Mesoscale Eddy Detection Method Under Harsh Sea States
Previous Article in Journal
Detection of Pine Wilt Disease-Infected Dead Trees in Complex Mountainous Areas Using Enhanced YOLOv5 and UAV Remote Sensing
Previous Article in Special Issue
“Ground–Aerial–Satellite” Atmospheric Correction Method Based on UAV Hyperspectral Data for Coastal Waters
 
 
Font Type:
Arial Georgia Verdana
Font Size:
Aa Aa Aa
Line Spacing:
Column Width:
Background:
Article

Reconstruction of the Subsurface Temperature and Salinity in the South China Sea Using Deep-Learning Techniques with a Physical Guidance

1
State Key Laboratory of Tropical Oceanography, Guangdong Key Laboratory of Ocean Remote Sensing and Big Data, South China Sea Institute of Oceanology, Chinese Academy of Sciences, Guangzhou 511458, China
2
College of Computer Science and Technology, Ocean University of China, Qingdao 266404, China
3
Southern Marine Science and Engineering Guangdong Laboratory (Guangzhou), Guangzhou 511458, China
4
College of Oceanography, Hohai University, Nanjing 210024, China
*
Author to whom correspondence should be addressed.
These authors contributed equally to this work.
Remote Sens. 2025, 17(17), 2954; https://doi.org/10.3390/rs17172954
Submission received: 26 June 2025 / Revised: 16 August 2025 / Accepted: 21 August 2025 / Published: 26 August 2025

Abstract

In this paper, we develop a deep learning neural network characterized by feature fusion and physical guidance (denoted as FFPG-net) for reconstructing subsurface sea temperature (T) and salinity (S) from sea surface data. Designed with the idea of feature fusion, FFPG-net combines the deep learning algorithms of residual and channel attention with the physical constraints of vertical modes of T/S profiles decomposed by empirical orthogonal functions (EOFs). The results from a series of single point experiments show that FFPG-net outperforms the CNN or CNN-PG (without physical guidance or feature fusion) in the reconstruction of subsurface T/S in a region of the South China Sea (SCS), with monthly mean RMSEs of 0.31 °C (0.35 °C) and 0.06 psu (0.07 psu) for the reconstructed T/S profiles in winter (summer), averaged over the water depth of 1200 m and the study area. In addition, the performance of the FFPG-net can be improved significantly by incorporating full surface currents or geostrophic currents derived from SSH into the input variables for training the neural network. The preliminary application of FFPG-net in the SCS using satellite-derived sea surface observations indicates that FFPG-net is reliable and feasible for reconstructing subsurface ocean thermal fields in real situations. Our study highlights the advantages and necessity of combining deep learning algorithms with physical constraints in reconstructing subsurface T/S profiles. It provides an effective tool for reconstructing the subsurface global ocean from remote-sensing sea surface observations in the future.

1. Introduction

The ocean is the primary regulator of global climate and balancer of the Earth’s thermal energy, where the oceanic temperature and salinity play a key role in the distribution of the heat content and the motion of the ocean [1,2]. With the availability of a large amount of satellite remote sensing data with a high spatio-temporal resolution and long time series, research on ocean surface elements and phenomena has been greatly promoted [3,4,5,6,7]. However, research on the subsurface ocean is still limited because satellite remote sensing is unable to observe the subsurface ocean state directly, and the cost of underwater acquisition is extremely expensive, resulting in the scarcity of observations of temperature and salinity in the ocean interior [8]. Here, the subsurface ocean refers to the interior region of the ocean beneath the sea surface at certain depths (for example, in the field of satellite ocean remote sensing, the depth typically ranges from 5 m to 1000 m below the sea surface), whose physical properties, such as temperature, salinity, density and current velocity, cannot be directly acquired via satellite or aerial remote sensing. Although the Argo buoy network has realized global ocean observations in the depth range of 0–2000 m, its time series is too short and its spatial distribution is too sparse to support the analysis of ocean phenomena on large spatio-temporal scales [9], especially in the South China Sea (SCS), where fewer Argo buoys are available. Therefore, it is of great necessity and value to establish a fast and accurate reconstruction system of subsurface temperature and salinity.
Traditional reconstruction methods for the subsurface temperature and salinity include dynamic-based methods [10] and statistical methods [11]. For example, Isern-Fontanet et al. [12] developed an approach based on the surface quasi-geostrophic (SQG) dynamics and achieved good reconstructions of subsurface temperature and salinity above 500 m; however, the accuracy and reliability of the subsurface reconstruction by the dynamics-based methods cannot be guaranteed, due to the complexity and uncertainty of the oceanic dynamic mechanism. On the other hand, various statistics-based methods have been developed for reconstructing subsurface temperature and salinity. The empirical orthogonal function method (EOF) was usually employed to derive the vertical projection modes of coupled surface and subsurface temperature or salinity [13], which can serve to simplify the dynamic relations between the surface and subsurface. Nonetheless, the ability of such statistical models with EOF analysis to [14] identify and distinguish physically meaningful processes depends on the degree of variation in the characteristic time scales and vertical structures associated with various processes [15], and marine data usually exhibit inherent spatial heterogeneity and temporal discontinuity, which makes the reconstruction of the subsurface ocean state still associated with considerable biases compared to the real one.
With the development of ocean big data, artificial intelligence (AI) technology has been gradually applied in various fields of oceanography, such as the inversion and forecasting of marine variables and the prediction of typical climate phenomena and disasters [16,17,18]. The powerful capability of data analysis and data mapping provides a new solution to the reconstruction of the ocean subsurface state. The early machine learning algorithms, such as the Artificial Neural Network (ANN) [19], Self-Organizing Mapping (SOM) [20], Random Forests (RF) [19], Support Vector Machines (SVM) [11], eXtreme Gradient Boosting (XGBoost) [21], and so on, were widely used in oceanography. However, these early machine learning algorithms are not able to consider the spatio-temporal characteristics of marine data. The data-driven deep learning methods, on the other hand, have are able to learn the nonlinear relationship and identify the spatio-temporal characteristics from multi-dimensional and multi-scale feature data through specific neural networks, and thus are gradually employed in the reconstruction of the ocean subsurface state and have achieved good results [22,23,24]. However, few of these previous attempts based on deep learning methods have taken into account the physical constraints or dynamical processes of oceanography. In addition, the input variables selected to train the network in these previous attempts are generally sea surface temperature (SST), sea surface salinity (SSS), sea surface height (SSH), and sea surface wind speed or location information [25,26], which lack information associated with the sea surface currents. Some studies have demonstrated that both vertical and horizontal motions affect subsurface temperature and density variations [27], and the fusion of current fields may lead to a more accurate reconstruction of the thermohaline [28]. Therefore, to achieve a better reconstruction of the subsurface ocean state, it is essential to integrate deep learning algorithms with physical constraints or dynamical processes of oceanography and utilize the surface current information in the training neural network. That is what the present study aims to explore.
The South China Sea, which connects the Pacific Ocean in the east and the Indian Ocean in the southwest through straits or waterways, is a semi-enclosed sea with an average depth of 1212 m and a maximum depth of 5559 m. Under the influence of strong monsoons, the SCS possesses a complex marine environment with various multiscale dynamics and physical phenomena [29,30]. In this paper, a neural network integrating deep learning and physical constraints through a vertical EOF decomposition is proposed to reconstruct the subsurface temperature and salinity in the SCS down to a depth of 1200 m.
The rest of the paper is organized as follows. Section 2 describes the data and methods. Section 3 describes the experimental setup. The reconstruction results from different experiments are presented in Section 4. Conclusions and discussions are given in the last section.

2. Methods

2.1. Reconstruction Domain and Data

A domain Ω (110–119.1°E, 10.9–17.7°N) in the central SCS is selected for this study, as shown in Figure 1. To save computational costs, all the experiments used to compare the performance of different neural networks and investigate the effect of adding surface currents as input variables for training are first carried out on a single point (located at 114°E and 16.7°N, as denoted by the star in Figure 1), and then some of them are selected to be carried out in the whole domain Ω.
The Reanalysis Dataset of the South China Sea (REDOS) [30,31] is applied to the training and testing of neural networks established in this study. The development of REDOS utilized five types of data: ocean observation data, atmospheric forcing data, open boundary data, initial field data, and topography data. Among these, the assimilated observational data included sea surface height anomalies from satellite observations, SST from satellite and ship observations, and CTD and XBT data from Argo, WOD09, and research cruises conducted by the South China Sea Institute of Oceanology, Chinese Academy of Sciences, respectively. Compared with over 2000 independent temperature–salinity profile data, the root mean squared errors (RMSEs) for the average temperature (salinity) in each layer of REDOS were all less than 1 °C (0.1 psu). The maximum values were located in the seasonal thermocline, at approximately 1.2 °C (0.12 psu), with the vertically-averaged values being about 0.6 °C (0.06 psu). The REDOS spans from 1992 to 2011, with a horizontal resolution of 0.1° and 24 vertical layers from the sea surface to a depth of 1200 m. The input variables include the SST, SSS, SSH, and u and v components of the full sea surface currents (SSC) (denoted as Uc and Vc, respectively) or geostrophic currents derived from SSH (denoted as Ug and Vg). The dataset is divided into 3 subsets for training, validation and testing, respectively, with a ratio of 13:1:1 from 1992 to 2006. For the practical application of the proposed network to the reconstruction of subsurface T/S profiles at two locations every month of (13.602°N, 113.3°E and 13.662°N, 113.195°E) and (14.178°N, 112.296°E and 14.355°N, 115.012°E) where Argo-buoy-observed T/S profiles are available for validation, the input data used for reconstruction is the High-resolution Blended Analysis SST developed by the National Oceanic and Atmospheric Administration (NOAA), the SSS derived from the Copernicus Marine Data Store (CMDS), the Archivage, Validation et Interprétation des données des Satellites Océanographiques (AVISO) Altimeter-based SSH, as well as the SSH-derived geostrophic surface currents, and the T/S profiles from the World Ocean Atlas (WOA) 2018 dataset. The two Argo-buoy-observed T/S profile data, collected in (15 January 2014 and 23 January 2014) and (18 July 2014 and 16 January 2014), respectively, are used for validation.

2.2. A Brief Introduction of the Widely Used Neural Networks and Their Parameter Settings in This Study

To demonstrate the advantage of the proposed network, several AI networks commonly used in the reconstruction of the subsurface ocean state, including Artificial Neural Network (ANN), Transformer, Random Forest (RF), and Convolutional neural network (CNN), are selected for comparison, and a brief introduction to each algorithm, including its parameter setting in this study, is given as follows.
Artificial Neural Network As one of the most complex algorithms in machine learning and a fundamental component of deep learning, ANN, also known as a Multilayer Perceptron, consists of an input layer, an output layer, and n hidden layers. It has been applied in ocean variable prediction [32,33] and sea subsurface variable inversion [9]. In this study, we set up an input of 5 neurons corresponding to five daily sea surface variables for each single point and an output layer of 24 neurons representing the temperature and salinity at the 24 vertical layers. The parameters for the hidden layers followed those used in [34], where the first and second hidden layer have 30 and 20 neurons, respectively.
Transformer In recent years, the Transformer initially applied in Natural Language Processing (NLP) has gradually been experimentally adopted in areas such as Computer Vision (CV) and ocean remote sensing, exemplified by the Swin Transformer. These models extract features by dividing two-dimensional grid data into multiple patches and computing local self-attention mechanisms on these patches. The Swin Transformer further introduces the Shifted Window technique, which aggregates information between non-overlapping windows to effectively extract data features and integrates STB (Swin Transformer Block) modules. Inspired by such work, we employed a Vision Transformer (ViT)-based model architecture in our experiments. In detail, the model first divides the input image into 8 × 8 patches through a convolutional layer (PatchEmbed) and projects each patch into a 64-dimensional embedding space. These embeddings are then processed through a sequence of 3 transformer blocks. Each transformer block consists of a multi-head self-attention mechanism (Attention) and a two-layer feed-forward neural network (MLP), with the hidden layer dimension of the feed-forward network being 256. Each block also includes layer normalization (LayerNorm) and residual connections. Finally, the model outputs classification results through a global layer normalization (LayerNorm) and a fully connected layer (head), with the output dimension of the fully connected layer being 24, corresponding to the number of task categories (layers).
Random Forest The RF algorithm is a commonly used AI algorithm for reconstructing three-dimensional (3D) subsurface temperature and salinity fields [35]. It randomly resamples training data and fits numerous decision trees on various subsets of data. To improve prediction accuracy and control overfitting, RF adopts an averaging method. RF requires only two input parameters for training, namely the number of trees in the forest (n_trees) and the number of variables/features in the random subset at each node (m_try). In our study, the two parameters are set as n_trees = 500 and m_try = 2, following the setting by Su et al. [35].
Convolutional neural network CNN is an advanced deep learning algorithm. It achieves sparse connectivity and parameter sharing through convolutional operations; meanwhile, it reduces the spatial size of the data and the number of parameters in the network through pooling layers so as to reduce the computational cost and control the overfitting. CNN is mainly applicable to structured grid-like data, such as image data, and can be used for detecting mesoscale eddy or marine front and reconstructing subsurface states. In this study, to maximize the effectiveness of the spatial feature extraction capability of CNN, the data of the five gridded sea surface variables (i.e., SST, SSS, SSH, Uc/Ug) and Vc/Vg) within a 2° × 2° region centered at the reconstruction point are used as input, and features are extracted by double-layer convolution + ReLU + pooling layer with a convolution kernel of 5 × 5 and a step size of 1 × 1. Afterwards, the features of each variable are concatenated into one-dimensional data and input into the fully connected layer, and after calculating the fully connected network in two layers, the vertical profiles of temperature and salinity at 24 layers are obtained as the output.

2.3. The Design of FFPG-Net

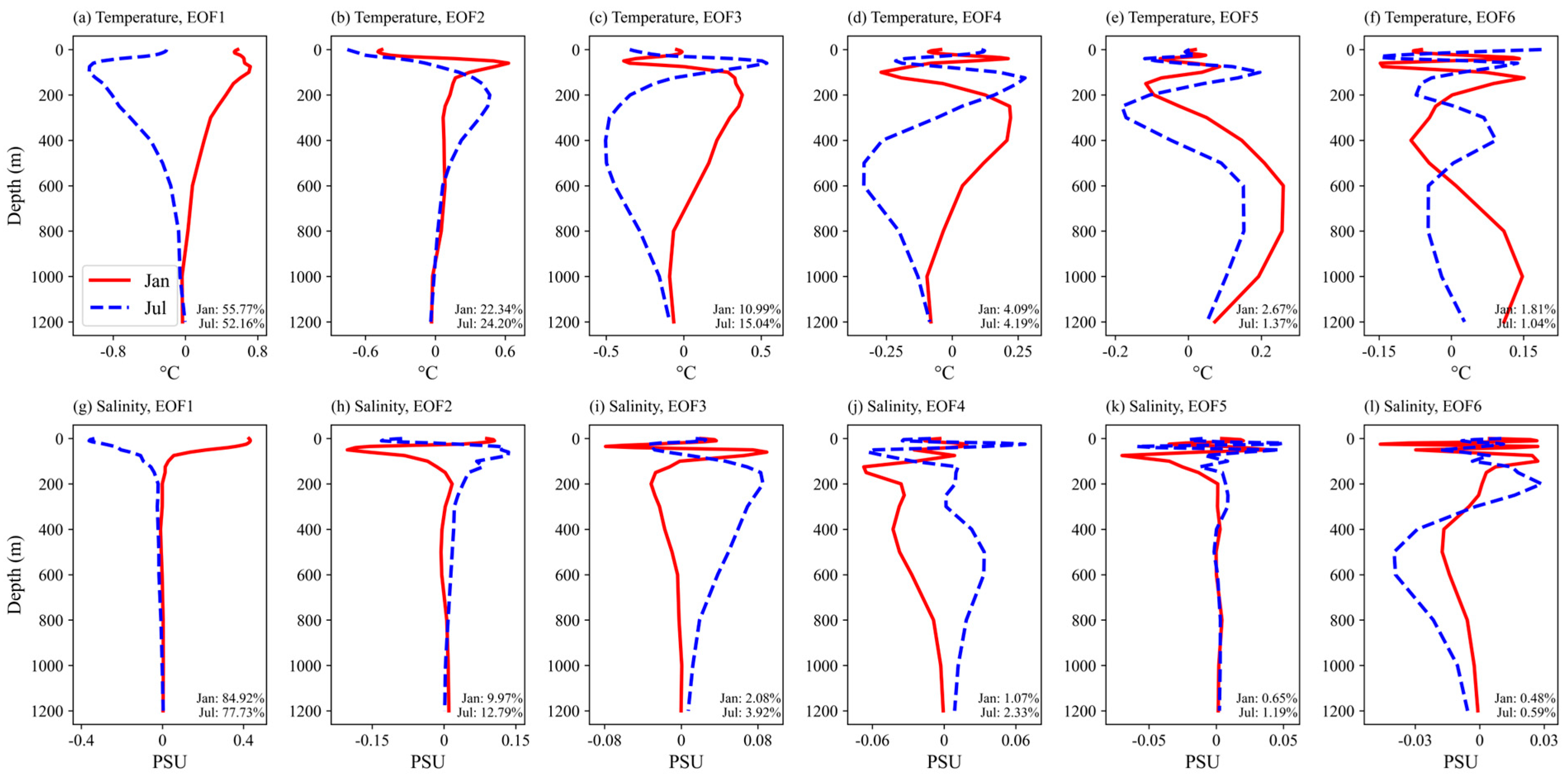
One of the most essential features in subsurface ocean physics/dynamics is the multi-mode/multi-scale structures/movements in both horizontal and vertical directions. The vertical profiles of sea temperature and salinity are the combinations of different vertical modes with different temporal evolutions, which can be demonstrated by an EOF decomposition. Figure 2 shows the first 6 modes of temperature and salinity from the EOF decomposition for winter (January) and summer (July), the sum of whose variances accounts for more than 97% of the total variance. It can be seen that the vertical structures are quite different for different modes and different seasons, with higher modes manifesting more complicated and smaller structures near the thermocline.
Based on this consideration, a novel neural network with feature fusion and physical guidance, denoted FFPG-net, is proposed in this study. In FFPG-net, the physical guidance is realized through the EOF decomposition of vertical profiles of sea temperature and salinity into different vertical modes, with the time series (also called principle components, PCs) of the amplitudes (coefficients) of the first 6 modes used as the labeled data to train the model to learn the relationship between these 6 modes and the surface variables, as shown in Figure 3a.
Residual modules with double-layer convolution and channel attention are established to extract features for each variable. Feature fusion refers to the process of integrating information extracted from different variables or from multiple spatial and temporal scales to enhance the model’s representational capacity. Hence, a fusion module is further designed so that when the extracted features of each variable are spliced into the fully connected network, the fusion feature ‘Fus’ can work to make a specific arrangement with the extracted features of each variable and further extract the deeper features from the arrangement. The alignment aims to artificially assign the extracted weights of each variable based on existing experience in the field, i.e., the features of SST and SSS, and Fus are arranged in a zigzag pattern to maximize the intersection of the main influencing features. The loss function in FFPG_net is defined as follows:
L o s s = 1 M i = 1 M ( P C R ( i ) P C L ( i ) ) 2 + j = 1 n ( P r o f i l e _ T S R ( j ) × P r o f i l e _ T S L ( j ) ) j = 1 n P r o f i l e _ T S R ( j ) 2 × j = 1 n P r o f i l e _ T S L ( j ) 2
where PC represents the first M principal components (PCs) of the vertical temperature and salinity profiles, and Profile_TS(j) denotes the values of temperature or/and salinity on the jth layer (j = 1, …, n). The subscripts R and L denote the reconstructed and labeled quantities, respectively. The first term of the right-hand side of Equation (1) measures the distance of the reconstructed PC away from the labeled one, while the second term measures the similarity between the reconstructed T/S profiles and the labeled ones.
Although the labeled data consist of the time series of amplitudes (i.e., PCs) of the first six vertical modes obtained through EOF decomposition, it is practically impossible for the deep learning model to simulate this process with perfect accuracy. Some degree of loss is inevitable. Moreover, when the learned time series are subsequently applied to reconstructing the vertical profiles of temperature and salinity, the reconstruction error may be further amplified. Therefore, we impose an additional similarity constraint between the reconstructed and true temperature/salinity profiles on the loss function to improve the overall reconstruction accuracy and stability of the model.
This study utilises the PyTorch deep learning framework to train the proposed FFPG_net with the facilitation of Python V3.10 and CUDA V12.4. The training is performed on a machine equipped with six RTX 3090 graphics cards, each with 24 GB of VRAM. The training process for 1612 points took approximately 22 h to complete, with each point undergoing 50 epochs.

2.4. Geostrophic Current Calculation

Generally, the full surface currents can be decomposed into geostrophic and non-geostrophic components. Geostrophic currents are associated with meso- and large-scale motions driven by a balance between the Coriolis force and the pressure gradient force, while non-geostrophic currents belong to submesoscale motions in which that balance is broken.
In this study, we derived the geostrophic current fields over the target region based on SSH data from REDOS. Quasi-geostrophic balance is an approximation used in oceanography to simplify the governing equations of fluid motion, particularly for large-scale oceanic phenomena. We assume that the ocean is in a quasi-geostrophic balance, which means that the Coriolis force and the pressure gradient force are nearly, but not exactly, balanced. Based on this, the specific computational procedure is as follows:
With the corresponding latitude and longitude information, the Coriolis parameter at each grid point is calculated as follows:
f = 2 ω   sin ( )
where ω   = 7.292 × 10−5 rad/s is the Earth’s angular velocity and is the latitude. The Earth’s radius is set as a = 6.4 × 106 m. To convert the gradients in the longitudinal and latitudinal directions into physical distances (in meters), the spatial resolutions in the x- and y-directions are computed as follows:
d x = a   cos · λ ,         d y = a ·
where λ and denote the longitudinal and latitudinal increments in radians, respectively. After extracting a subregion of SSH data within the region of interest, we can calculate the gradients of SSH in the x (longitudinal) and y (latitudinal) directions using central difference methods, represented as ∂η/∂x and ∂η/∂y, respectively. These gradients are then substituted into the geostrophic balance equations to obtain the geostrophic velocity components:
u g = g f η y ,               v g = g f η x
where g = 9.8 m/s2 is the gravitational acceleration and η represents the SSH.
This computation is repeated over each time frame, yielding a time series of geostrophic velocity vectors (ug, vg), which provides essential support for subsequent flow field modeling and analysis.

2.5. Experimental Setup

As summarized in Table 1, two sets of experiments are designed to demonstrate the performance of the proposed FFPG-net in reconstructing the T/S profiles and its advantage compared to other networks. The first set includes 4 experiments, referred to as S1-RF, S1-ANN, S1-CNN and S1-Transformer, which aim to investigate the performance of commonly used networks (i.e., ANN, Transformer, RF and CNN) without physical guidance. It helps us to set a reliable starting point for integrating physical guidance and designing subsequent optimization strategies. The second set also includes 4 experiments, named S2-CNN-PG, S2-FFPG-net, S2-FFPG-net-ucvc and S2-FFPG-net-ugvg, which aim to investigate the effectiveness of combining deep learning with physical guidance, as well as the additional benefits of employing feature fusion in deep learning and adding the full surface currents or the geostrophic surface currents derived from SSH as input variables for the network.
All experiments in the first and second sets are performed at the single point A in January and July, respectively, for a comparison of performance among different networks; they take T, S and SSH as the input variables of their networks, except S2-FFPG-net-ucvc and S2-FFPG-net-ugvg, which take T, S, SSH, Uc/Ug and Vc/Vg as the input variables. In addition, the main experiments in the second set are implemented at all grid points in the domain Ω to further validate the robustness of the proposed network in reconstructing the subsurface temperature and salinity profiles in the SCS. The monthly mean RMSE at each layer is used for assessing the performance of each experiment, as defined below:
R M S E = 1 M × N i = 1 M j = 1 N X i j Y i j 2
where M and N are the number of days and vertical layers, respectively (here, they are set as M = 30 and N = 24), and Xij and Yij are the reconstructed and labeled (“true”) values of temperature or salinity at layer j and day i. Either the vertically averaged RMSE for a single profile or the regionally averaged RMSE for the whole domain Ω is calculated to evaluate the performance of various networks.

3. Results

3.1. The Performance of Commonly Used Networks Without Physical Guidance

Figure 4 and Table 2 provide the horizontally averaged RMSEs at each layer and vertically averaged RMSEs of the temperature and salinity profiles constructed by four commonly used networks (namely ANN, Transformer, RF and CNN) at point A in January and July, respectively. Figure 4 indicates that CNN performs best in the comprehensive reconstruction of temperature and salinity profiles at all depths. Specifically, taking the temperature reconstruction in January as an example, the vertically averaged RMSE can be seen from Table 2 to be 0.82 °C, compared to 0.94 °C, 0.97 °C and 0.88 °C for ANN, Transformer and RF, respectively. It is worth noting that, although Transformer takes into account the spatio-temporal nature and incorporates the attention mechanism, its performance is worse than that of CNN. The reason may be that, although Transformer is better than CNN in identifying global features, it is not good at capturing the locally small-scale features, which are more important than the globally large-scale features in the reconstruction of subsurface T/S profiles. In addition, Transformer’s characteristic of constructing features from bottom to top also places a high demand on the amount of training data, which degrades its performance in the reconstruction due to the lack of sufficient data in the subsurface ocean. Therefore, CNN is determined to be the benchmark network with which the proposed network FFPG-net is developed/compared. Here, we do not aim to claim that CNNs are inherently superior or uniquely suited to this task. On the contrary, the selected model CNNs served as a reliable starting point for integrating physical guidance and designing subsequent optimization strategies.
Moreover, the RMSEs of the reconstructed vertical T/S profiles generated by different networks in July are a bit smaller than those in January, especially for temperature. In the experiment areas, the northeast monsoon prevails in the SCS and Northwestern Pacific Ocean in January, whose wind stress is stronger than that of the SCS summer monsoon in July. The disturbance induced by the wind stress of northeast monsoons and the mixing effect of surface waves is more intense at the ocean surface, which introduces more noise to the AI network for reconstructing subsurface T/S profiles using the sea surface data as input and thus induces larger RMSE.

3.2. The Performance of the Various Networks with Physical Guidance

Table 3 displays the vertically averaged RMSE of the January and July T/S profiles reconstructed from the second group of two experiments under physical guidance, as well as the vertically averaged RMSE of the T/S curve from the best-performing S1-CNN in the first group without the consideration of physical guidance for comparison. Compared to S1-CNN, the RMSE of S2-CNN-PG has decreased to some extent, indicating that integrating deep learning with physical guidance can effectively improve the performance reconstructing subsurface T/S profiles. The proposed network, FFPG-net, which incorporates feature fusion with physical guidance, further reduces the RMSEs of temperature (salinity) by 59% (40%) and 36% (36%) in winter and summer, compared with S2-CNN-PG. Figure 5 shows the monthly mean RMSEs of each layer reconstructed by different experiments. It further validates that FFPG-net outperforms all other networks in reconstructing subsurface T/S profiles at various depths. Taking the temperature reconstruction in January as an example, the improvement is approximately 61% near the thermocline.

3.3. The Influence of Sea Surface Currents on the Reconstruction of Subsurface T/S Profiles

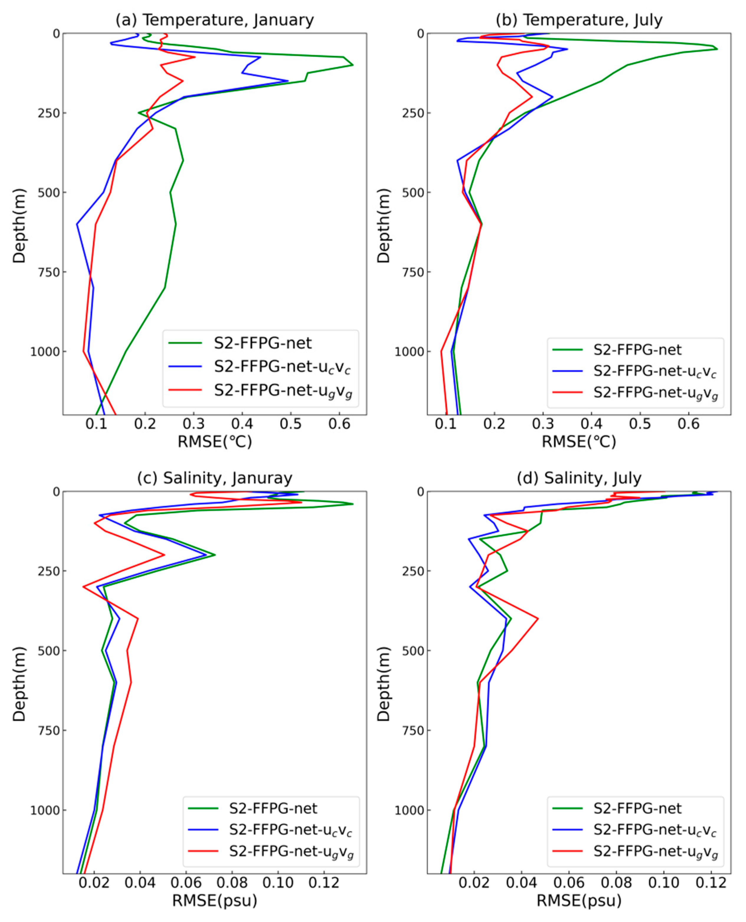
Few previous studies on the reconstruction of subsurface T/S profiles have taken into account the effectiveness of surface currents, mainly due to the lack of surface current observations. With the REDOS, the sea surface currents, which have been proven reliable and feasible, are available and can be applied to training the neural network. Our experimental results show that S2-FFPG-net-uv, which adds the surface currents as input variable besides T, S and SSH for training the network, significantly reduces the vertically averaged RMSEs of temperature (salinity) from 0.31 °C (0.06 psu) to 0.23 °C (0.057 psu) in winter and from 0.35 °C (0.07 psu) to 0.22 °C (0.0551 psu) in summer compared to S2-FFPG-net (Table 4), especially around the thermohaline (Figure 6). Given that it is hard to obtain surface current observations in practice, we replace the full surface currents with the geostrophic surface currents, which are considered the dominant mode of motion within the ocean interior and can be derived from SSH. It is encouraging to see that the geostrophic surface currents have a similar or even slightly better effectiveness in reconstructing the subsurface T/S profiles than the full surface currents. This implies that the large-scale geostrophic component of the surface currents primarily determines the subsurface temperature and salinity, rather than the small-scale non-geostrophic component. Moreover, it also demonstrates that, although SSH has worked as one of the input variables, its derivative (i.e., the geostrophic surface currents) may provide more useful information in addition to SSH itself for reconstructing the subsurface T/S profiles.

3.4. The Performance of FFPG-Net in the Reconstruction of Subsurface T/S Profiles in a Region of the SCS

To further validate the effectiveness of the proposed network, FFPG-net, in reconstructing subsurface T/S profiles, as well as its robustness and advantages compared to other networks, the second set of experiments and the S1-CNN in the first set are carried out over the domain Ω in the SCS. Figure 7 shows the monthly mean RMSEs of the reconstructed temperature and salinity profiles averaged over domain Ω in winter and summer from different experiments. In general, FFPG-net with the geostrophic surface currents derived from SSH performs best in both winter and summer for the reconstruction of temperature and salinity, especially near the thermocline (around 100 m depth) and halocline (around 50 m depth) layers, which is similar to the results of the experiments on a single point. The monthly mean RMSEs of the reconstructed temperature and salinity averaged over the whole depth and domain Ω are given in Table 5, in which those from the experiment S2-FFPG-net-ugvg are 0.11 °C (0.14 °C) and 0.0241 psu (0.031 psu) in winter (summer), respectively, a similar improvement of 30%, compared to other experiments with input variables to the single-point conclusion.
Figure 8 and Figure 9 show the horizontal distribution of the reconstructed temperature and salinity from different experiments, as well as the “truth” over domain Ω at various layers in winter. Compared to S1-CNN, all the experiments using the proposed network FFPG-net recover the main characteristics of the horizontal patterns of the “truth”, especially the one with SSH-derived geostrophic surface currents, which performs much better by capturing most of the details in the “truth” at different depths, especially in the shallow layers within 100 m, where the improvement is up to 34% for temperature and 42.9% for salinity, respectively (Figure 7). Similarly to the results from experiments on the single point, the proposed network with SSH-derived geostrophic surface currents performs better than the one with the full surface currents, which shows again that the non-geostrophic component in the full surface currents appears to have some negative effects on the reconstruction of the thermohaline/halocline structure and that the geostrophic component has a larger impact on the shallow layers; this finding warrants further investigation and validation. Figure 10 and Figure 11 show similar conclusions in July. Moreover, the outperformance of the proposed network FFPG-net can be attributed to the combination of physical guidance through vertical EOF decomposition with comprehensive feature fusion in a multidimensional and multimodal way. Without incorporating any physical constraints, the baseline neural network models (such as CNN, ANN, and Transformer) often lead to vertical inconsistencies or noisy outputs in reconstructed results, thereby exhibiting a certain degree of incoherence (Figure 4). In contrast, various optimization strategies, such as physical guidance and the incorporation of surface current features, enhance the model’s physical consistency and generalization capability, while also improving its feature extraction performance. As a result, the reconstructed vertical profiles in Figure 7 appear much smoother and more coherent.
The above reconstruction results over domain Ω further prove the accuracy and robustness of the proposed network in the reconstruction of the subsurface T/S profiles using sea surface data and demonstrate its potential applications in real situations.

3.5. The Application of FFPG-Net in the Reconstruction of Subsurface T/S Profiles Using Satellite-Derived Surface Data

The ultimate goal of this study is to apply the proposed network in real situations. For example, we aim to reconstruct the subsurface T/S profiles with satellite-derived surface data, including SST, SSS and SSH. However, due to the limitation of subsurface observations for validation, we only apply FFPG-net on two locations every month within the domain Ω at which the Argo-buoy-observed T/S profiles are available to compare with the Modular Ocean Data Assimilation System (MODAS). Table 6 presents the RMSEs between the reconstructed and Argo-buoy-observed T/S profiles. As is shown, the vertically averaged temperature RMSEs from FFPG-net with SSH-derived geostrophic currents are 0.4 °C (0.52 °C) and 0.63 °C (0.45 °C) in January (July) for the two profiles, respectively, an improvement of about 55%, compared to 0.89 °C (1.23 °C) and 1.4 °C (1.21 °C) from the MODAS, while the reconstructed salinity profiles are not fully satisfactory, with somewhat larger biases than those from the MODAS, which is a well-known problem in the community. The results suggest that the network proposed in this study is effective and feasible for practical application in reconstructing subsurface temperature profiles using satellite-derived sea surface data. However, it does not seem able to reconstruct subsurface salinity profiles, which will take great efforts to solve in the future.

4. Discussion

It is worth noting that, in the proposed network FFPG-net, the multi-mode/multi-scale structures/movements in the vertical direction, one of the most essential features in subsurface ocean physics/dynamics, are taken into account through an EOF decomposition of the T/S profiles. Since the subsurface T/S structures vary seasonally or even monthly, the vertical modes from the EOF decomposition also vary accordingly. Therefore, to obtain satisfactory reconstructed subsurface T/S profiles, the vertical decomposition of T/S profiles should be carried out to establish the model for each season or month. Moreover, except for considering the multi-mode/multi-scale structures/movements of the ocean in the vertical direction, those in the horizontal direction should also be considered, which can be achieved through a horizontal EOF decomposition on the sea surface and subsurface variables over the targeted region, or through other scale/mode decomposition methods, such as the derivative of geostrophic surface currents from SSH in this study. The EOF decomposition employed in this study is a statistically based method that can offer a relatively mature and easy-to-implement solution. However, the EOF decomposes the multi-mode/multi-scale structures/movements of the ocean implicitly. Therefore, we can speculate that using dynamically based methods, which can explicitly identify multi-mode/multi-scale structures/movements, would further enhance the physical guidance for the neural network, thereby achieving more improvements in reconstructing the subsurface T/S profiles. This will be our future work.
Moreover, according to our current experimental results, the proposed physical guidance mechanism, feature fusion strategy, and the incorporation of surface current information all contribute to improvements in salinity reconstruction. However, the extent of improvement is significantly smaller compared to that observed for temperature fields. In particular, during regional-scale reconstruction, the horizontal salinity fields across different depth levels often appear less coherent and structured than their temperature counterparts. We believe this limitation may arise from two main factors: (1) Salinity variations are governed by more complex dynamic processes not fully captured by the current model, such as precipitation, runoff, and vertical mixing. The SSC, which works well in reconstructing subsurface vertical temperature, is not a key variable in the reconstruction of salinity, and other variables need further exploration. (2) The existing network architecture may lack the capacity to effectively model horizontal spatial correlations, thereby weakening its ability to reconstruct continuous and spatially consistent salinity structures.

5. Conclusions

This study aims to leverage oceanic physics to guide AI in reconstructing subsurface T/S profiles using sea surface observation. A reliable neural network with physical guidance, named FFPG-net, is proposed. Characterized by feature fusion, FFPG-net consists of residual modules and channel attention modules, which can be taken as an optimized CNN with the physical guidance implemented through an EOF decomposition of vertical profiles of sea temperature and salinity into different vertical modes. A series of experiments is carried out to compare the performance of FFPG-net in reconstructing subsurface T/S profiles with that of other networks, including ANN, RF, Transformer, and CNN. The following conclusions can be drawn from the experimental results:
  • Among the commonly used neural networks without physical guidance, i.e., ANN, RF, Transformer and CNN, CNN performs the best, with the vertically averaged RMSEs of temperature (salinity) being 0.82 °C (0.28 psu) and 0.61 °C (0.24 psu) in winter and summer, respectively.
  • The combination of CNN with physical guidance through a vertical EOF decomposition can improve the performance of CNN, with a reduction in the vertically averaged RMSEs of the reconstructed temperature (salinity) by about 7.3% (64%) and 9.8% (54%) in winter and summer, respectively.
  • The proposed network (FFPG-net), characterized by feature fusion with physical guidance, achieves further improvements of about 59% (40%) and 36% (36%) in winter and summer for the reconstruction of temperature (salinity) profiles.
  • Adding the surface currents as input variables, in addition to SST, SSS and SSH, for the network can significantly improve the performance of FFPG-net by about 29.38% (26.36%) and 13.62% (15.21%) in winter and summer for the reconstructed T (S) profiles, and the SSH-derived geostrophic surface currents can play a similar or even better role than the full surface currents, which makes the application of FFPG-net in real situations more feasible and practical.
  • The preliminary application of FFPG-net in reconstructing subsurface T/S profiles in the SCS using satellite-derived sea surface observations indicates that FFPG-net outperforms the MODAS with an approximately 55% reduction in vertically averaged temperature RMSEs when adding the geostrophic currents into the input variables. The reconstructed salinity profiles from FFPG-net, however, are not fully satisfactory, with somewhat larger biases than those from the MODAS. These results suggest that FFPG-net is reliable and feasible in the reconstruction of subsurface temperature profiles in real situations, with the reconstruction of subsurface salinity profiles remaining a big challenge that demands great efforts in the future.

Author Contributions

Conceptualization, S.P., S.L. and G.Z.; Methodology, Q.Z., S.L., Y.C., Q.Z. and S.P.; Validation, Y.C.; Formal analysis, S.L.; Investigation, Q.Z. and Y.C.; Writing—original draft, Q.Z.; Writing—review & editing, S.P., Q.Z. and S.L.; Supervision, S.P. and G.Z.; Project administration, S.P. All authors have read and agreed to the published version of the manuscript.

Funding

This work was jointly supported by the National Key Research and Development Program of China (Grant No. 2022YFC3105005), Guangdong Key Project (2019BT2H594), National Natural Science Foundation of China (U21A6001), Guangdong Basic and Applied Basic Research Foundation (2022A1515240081) and the special fund of South China Sea Institute of Oceanology of the Chinese Academy of Sciences (SCSIO2023QY01).

Data Availability Statement

The raw data supporting the conclusions of this article will be made available by the authors on request.

Acknowledgments

The authors gratefully acknowledge the use of the HPCC at the South China Sea Institute of Oceanology, Chinese Academy of Sciences.

Conflicts of Interest

The authors declare no conflict of interest.

References

  1. Boyer, T.; Domingues, C.M.; Good, S.A.; Johnson, G.C.; Lyman, J.M.; Ishii, M.; Gouretski, V.; Willis, J.K.; Antonov, J.; Wijffels, S.; et al. Sensitivity of Global Upper-Ocean Heat Content Estimates to Mapping Methods, XBT Bias Corrections, and Baseline Climatologies. J. Clim. 2016, 29, 4817–4842. [Google Scholar] [CrossRef]
  2. Cheng, L.; Abraham, J.; Zhu, J.; Trenberth, K.E.; Fasullo, J.; Boyer, T.; Locarnini, R.; Zhang, B.; Yu, F.; Wan, L.; et al. Record-Setting Ocean Warmth Continued in 2019. Adv. Atmos. Sci. 2020, 37, 137–142. [Google Scholar] [CrossRef]
  3. Izumi, T.; Amagasaki, M.; Ishida, K.; Kiyama, M. Super-resolution of sea surface temperature with convolutional neural network- and generative adversarial network-based methods. J. Water Clim. Change 2022, 13, 1673–1683. [Google Scholar] [CrossRef]
  4. Jang, E.; Kim, Y.J.; Im, J.; Park, Y.G.; Sung, T. Global sea surface salinity via the synergistic use of SMAP satellite and HYCOM data based on machine learning. Remote Sens. Environ. 2022, 273, 15. [Google Scholar] [CrossRef]
  5. Zhang, Z.G.; Stanev, E.V.; Grayek, S. Reconstruction of the Basin-Wide Sea-Level Variability in the North Sea Using Coastal Data and Generative Adversarial Networks. J. Geophys. Res. Ocean. 2020, 125, 22. [Google Scholar] [CrossRef]
  6. Moschos, E.; Schwander, O.; Stegner, A.; Gallinari, P. Deep-Sst-Eddies: A Deep Learning Framework to Detect Oceanic Eddies in Sea Surface Temperature Images. In Proceedings of the IEEE International Conference on Acoustics, Speech, and Signal Processing (ICASSP), Barcelona, Spain, 4–8 May 2020; IEEE: New York, NY, USA, 2020; pp. 4307–4311. [Google Scholar]
  7. Zhang, R.-H.; Zhou, L.; Gao, C.; Tao, L. A transformer-based coupled ocean-atmosphere model for ENSO studies. Sci. Bull. 2024, 69, 2323–2327. [Google Scholar] [CrossRef] [PubMed]
  8. Heng, L.I.C.; Jiangz, H.X. Uncertainties of the Ocean Heat Content Estimation Induced by Insufficient Vertical Resolution of Historical Ocean Subsurface Observations. J. Atmos. Ocean. Technol. 2014, 31, 1383–1396. [Google Scholar]
  9. Ali, M.M.; Swain, D.; Weller, R.A. Estimation of ocean subsurface thermal structure from surface parameters: A neural network approach. Oceans 2004, 31, 339. [Google Scholar] [CrossRef]
  10. LaCasce, J.H.; Wang, J. Estimating Subsurface Velocities from Surface Fields with Idealized Stratification. J. Phys. Oceanogr. 2015, 45, 2424–2435. [Google Scholar] [CrossRef]
  11. Su, H.; Wu, X.; Yan, X.-H.; Kidwell, A. Estimation of subsurface temperature anomaly in the Indian Ocean during recent global surface warming hiatus from satellite measurements: A support vector machine approach. Remote Sens. Environ. 2015, 160, 63–71. [Google Scholar] [CrossRef]
  12. Isern-Fontanet, J.; Lapeyre, G.; Klein, P.; Chapron, B.; Hecht, M.W. Three-dimensional reconstruction of oceanic mesoscale currents from surface information. J. Geophys. Res. Ocean. 2008, 113. [Google Scholar] [CrossRef]
  13. Yan, H.; Wang, H.; Zhang, R.; Chen, J.; Bao, S.; Wang, G. A Dynamical-Statistical Approach to Retrieve the Ocean Interior Structure from Surface Data: SQG-mEOF-R. J. Geophys. Res. Ocean. 2020, 125, e2019JC015840. [Google Scholar] [CrossRef]
  14. Chen, X.; Tung, K.-K. Global-mean surface temperature variability: Space–time perspective from rotated EOFs. Clim. Dyn. 2018, 51, 1719–1732. [Google Scholar] [CrossRef]
  15. Buongiorno Nardelli, B.; Santoleri, R. Methods for the Reconstruction of Vertical Profiles from Surface Data: Multivariate Analyses, Residual GEM, and Variable Temporal Signals in the North Pacific Ocean. J. Atmos. Ocean. Technol. 2005, 22, 1763–1781. [Google Scholar] [CrossRef]
  16. Zhu, Y.; Zhang, R. A deep learning-based U-Net model for ENSO-related precipitation responses to sea surface temperature anomalies over the tropical Pacific. Atmos. Ocean. Sci. Lett. 2023, 16, 100351. [Google Scholar] [CrossRef]
  17. Zhou, L.; Zhang, R.-H. A self-attention–based neural network for three-dimensional multivariate modeling and its skillful ENSO predictions. Sci. Adv. 2023, 9, eadf2827. [Google Scholar] [CrossRef] [PubMed]
  18. Zhou, L.; Zhang, R.H. The 3D-Geoformer for ENSO studies: A Transformer-based model with integrated gradient methods for enhanced explainability. J. Oceanol. Limnol. 2025. [Google Scholar] [CrossRef]
  19. Ballabrera-Poy, J.; Mourre, B.; Garcia-Ladona, E.; Turiel, A.; Font, J. Linear and non-linear T–S models for the eastern North Atlantic from Argo data: Role of surface salinity observations. Deep. Sea Res. Part I Oceanogr. Res. Pap. 2009, 56, 1605–1614. [Google Scholar] [CrossRef]
  20. Wu, X.; Yan, X.H.; Jo, Y.H.; Liu, W.T.; Technology, O. Estimation of Subsurface Temperature Anomaly in the North Atlantic Using a Self-Organizing Map Neural Network. J. Atmos. Ocean. Technol. 2012, 29, 1675–1688. [Google Scholar] [CrossRef]
  21. Su, H.; Yang, X.; Lu, W.; Yan, X.-H. Estimating Subsurface Thermohaline Structure of the Global Ocean Using Surface Remote Sensing Observations. Remote Sens. 2019, 11, 1598. [Google Scholar] [CrossRef]
  22. Zuo, X.; Zhou, X.; Guo, D.; Li, S.; Liu, S.; Xu, C. Ocean Temperature Prediction Based on Stereo Spatial and Temporal 4-D Convolution Model. IEEE Geosci. Remote Sens. Lett. 2022, 19, 1003405. [Google Scholar] [CrossRef]
  23. Zhang, K.; Geng, X.; Yan, X.H. Prediction of 3-D Ocean Temperature by Multilayer Convolutional LSTM. IEEE Geosci. Remote Sens. Lett. 2020, 17, 1303–1307. [Google Scholar] [CrossRef]
  24. Han, M.; Feng, Y.; Zhao, X.; Sun, C.; Hong, F.; Liu, C. A Convolutional Neural Network Using Surface Data to Predict Subsurface Temperatures in the Pacific Ocean. IEEE Access 2019, 7, 172816–172829. [Google Scholar] [CrossRef]
  25. Cheng, H.; Sun, L.; Li, J. Neural Network Approach to Retrieving Ocean Subsurface Temperatures from Surface Parameters Observed by Satellites. Water 2021, 13, 388. [Google Scholar] [CrossRef]
  26. Su, H.; Zhang, T.; Lin, M.; Lu, W.; Yan, X.-H. Predicting subsurface thermohaline structure from remote sensing data based on long short-term memory neural networks. Remote Sens. Environ. 2021, 260, 112465. [Google Scholar] [CrossRef]
  27. Halkides, D.; Lee, T.; Kida, S. Mechanisms controlling the seasonal mixed-layer temperature and salinity of the Indonesian seas. Ocean. Dyn. 2011, 61, 481–495. [Google Scholar] [CrossRef]
  28. Akbari, E.; Alavipanah, S.K.; Jeihouni, M.; Hajeb, M.; Haase, D.; Alavipanah, S. A Review of Ocean/Sea Subsurface Water Temperature Studies from Remote Sensing and Non-Remote Sensing Methods. Water 2017, 9, 936. [Google Scholar] [CrossRef]
  29. Li, S.; Li, Y.; Peng, S.; Qi, Z. The inter-annual variations of the significant wave height in the Western North Pacific and South China Sea region. Clim. Dyn. 2021, 56, 3065–3080. [Google Scholar] [CrossRef]
  30. Zeng, X.; Peng, S.; Li, Z.; Qi, Y.; Chen, R. A reanalysis dataset of the South China Sea. Sci. Data 2014, 1, 140052. [Google Scholar] [CrossRef]
  31. Peng, S.Q.; Zeng, X.Z.; Li, Z.J. A three-dimensional variational data assimilation system for the South China Sea: Preliminary results from observing system simulation experiments. Ocean. Dyn. 2016, 66, 737–750. [Google Scholar] [CrossRef]
  32. Aparna, S.G.; D’Souza, S.; Arjun, N.B. Prediction of daily sea surface temperature using artificial neural networks. Int. J. Remote Sens. 2018, 39, 4214–4231. [Google Scholar] [CrossRef]
  33. Robertson, B.; Gharabaghi, B.; Hall, K. Prediction of Incipient Breaking Wave-Heights Using Artificial Neural Networks and Empirical Relationships. Coast. Eng. J. 2015, 57, 1550018. [Google Scholar] [CrossRef]
  34. Wang, H.Y.; Song, T.Q.; Zhu, S.L.; Yang, S.G.; Feng, L.Q. Subsurface Temperature Estimation from Sea Surface Data Using Neural Network Models in the Western Pacific Ocean. Mathematics 2021, 9, 852. [Google Scholar] [CrossRef]
  35. Su, H.; Li, W.; Yan, X.-H. Retrieving Temperature Anomaly in the Global Subsurface and Deeper Ocean from Satellite Observations. JGR Ocean. 2018, 123, 399–410. [Google Scholar] [CrossRef]
Figure 1. Domains of the South China Sea (SCS) with bathymetry selected for the T/S reconstruction. Domains Ω  and Ω denote the reconstruction area of temperature and salinity profiles and the area of surface data required for the reconstruction, respectively. The red star indicates the location of Point A selected for the single-point experiments.
Figure 1. Domains of the South China Sea (SCS) with bathymetry selected for the T/S reconstruction. Domains Ω  and Ω denote the reconstruction area of temperature and salinity profiles and the area of surface data required for the reconstruction, respectively. The red star indicates the location of Point A selected for the single-point experiments.
Remotesensing 17 02954 g001
Figure 2. The first six EOF modes of the vertical temperature (the first row) and salinity (the second row) at point A in January (red solid curves) and July (blue dashed curves).
Figure 2. The first six EOF modes of the vertical temperature (the first row) and salinity (the second row) at point A in January (red solid curves) and July (blue dashed curves).
Remotesensing 17 02954 g002
Figure 3. (a) The flow chart of FFPG-net, (b) the design of loss function, and (c) the architecture of the feature fusion neural network.
Figure 3. (a) The flow chart of FFPG-net, (b) the design of loss function, and (c) the architecture of the feature fusion neural network.
Remotesensing 17 02954 g003
Figure 4. Monthly mean RMSEs at each layer of the (a,b) temperature and (c,d) salinity profiles at point A reconstructed by four networks (namely ANN (S1-ANN), Transformer (S1-Transformer), RF (S1-RF), and CNN (S1-CNN)) in (a,c) January and (b,d) July.
Figure 4. Monthly mean RMSEs at each layer of the (a,b) temperature and (c,d) salinity profiles at point A reconstructed by four networks (namely ANN (S1-ANN), Transformer (S1-Transformer), RF (S1-RF), and CNN (S1-CNN)) in (a,c) January and (b,d) July.
Remotesensing 17 02954 g004
Figure 5. Monthly mean RMSEs at each layer of the (a,b) temperature and (c,d) salinity profiles at point A reconstructed by S1-CNN, S2-CNN-PG and S2-FFPG-net in (a,c) January and (b,d) July.
Figure 5. Monthly mean RMSEs at each layer of the (a,b) temperature and (c,d) salinity profiles at point A reconstructed by S1-CNN, S2-CNN-PG and S2-FFPG-net in (a,c) January and (b,d) July.
Remotesensing 17 02954 g005
Figure 6. Monthly mean RMSEs at each layer of the (a,b) temperature and (c,d) salinity profiles at point A reconstructed by S2-FFPG-net, S2-FFPG-net-ucvc and S2-FFPG-net-ugvg in (a,c) January and (b,d) July.
Figure 6. Monthly mean RMSEs at each layer of the (a,b) temperature and (c,d) salinity profiles at point A reconstructed by S2-FFPG-net, S2-FFPG-net-ucvc and S2-FFPG-net-ugvg in (a,c) January and (b,d) July.
Remotesensing 17 02954 g006
Figure 7. Monthly mean RMSEs at each layer of the (a,b) temperature and (c,d) salinity profiles over the whole domain Ω in the SCS reconstructed by S1-CNN, S2-FFPG-net, S2-FFPG-net-ucvc and S2-FFPG-net-ugvg in (a,c) January and (b,d) July.
Figure 7. Monthly mean RMSEs at each layer of the (a,b) temperature and (c,d) salinity profiles over the whole domain Ω in the SCS reconstructed by S1-CNN, S2-FFPG-net, S2-FFPG-net-ucvc and S2-FFPG-net-ugvg in (a,c) January and (b,d) July.
Remotesensing 17 02954 g007
Figure 8. Horizontal distributions of temperature over domain Ω at (from top to bottom rows) 100 m, 200 m, 800 m, and 1200 m depths reconstructed by S1-CNN, S2-FFPG-net, S2-FFPG-net-ucvc and S2-FFPG-net-ugvg in January compared against to those from REDOS.
Figure 8. Horizontal distributions of temperature over domain Ω at (from top to bottom rows) 100 m, 200 m, 800 m, and 1200 m depths reconstructed by S1-CNN, S2-FFPG-net, S2-FFPG-net-ucvc and S2-FFPG-net-ugvg in January compared against to those from REDOS.
Remotesensing 17 02954 g008
Figure 9. The same as Figure 8, except for salinity.
Figure 9. The same as Figure 8, except for salinity.
Remotesensing 17 02954 g009
Figure 10. Horizontal distributions of temperature over domain Ω at (from top to bottom rows) 100 m, 200 m, 800 m, and 1200 m depths reconstructed by S1-CNN, S2-FFPG-net, S2-FFPG-net-ucvc and S2-FFPG-net-ugvg in July compared against to those from REDOS.
Figure 10. Horizontal distributions of temperature over domain Ω at (from top to bottom rows) 100 m, 200 m, 800 m, and 1200 m depths reconstructed by S1-CNN, S2-FFPG-net, S2-FFPG-net-ucvc and S2-FFPG-net-ugvg in July compared against to those from REDOS.
Remotesensing 17 02954 g010
Figure 11. The same as Figure 10, except for salinity.
Figure 11. The same as Figure 10, except for salinity.
Remotesensing 17 02954 g011
Table 1. The experimental design.
Table 1. The experimental design.
Set 1Set 2
ExperimentsInput VariablesExperimentsInput Variables
S1-RFS, T and HS2-CNN-PGS, T and H
S1-ANNS, T and HS2-FFPG-netS, T and H
S1-CNNS, T and HS2-FFPG-net-ucvcS, T, H + uc and vc
S1-TransformerS, T and HS2-FFPG-net-ugvgS, T, H + ug and vg
Table 2. Vertically averaged RMSEs at each layer of the temperature and salinity profiles at point A reconstructed by four networks (namely ANN (S1-ANN), Transformer (S1-Transformer), RF (S1-RF), and CNN (S1-CNN)) averaged for January and July.
Table 2. Vertically averaged RMSEs at each layer of the temperature and salinity profiles at point A reconstructed by four networks (namely ANN (S1-ANN), Transformer (S1-Transformer), RF (S1-RF), and CNN (S1-CNN)) averaged for January and July.
MonthS1-RFS1-ANNS1-CNNS1-Transformer
Temperature
(°C)
Jan.0.880.940.820.97
Jul.0.800.810.610.83
Salinity
(psu)
Jan.0.310.300.280.39
Jul.0.310.340.240.30
Table 3. Vertically averaged RMSEs of temperature and salinity profiles at point A reconstructed by S1-CNN, S2-CNN-PG and S2-FFPG-net averaged in January and July.
Table 3. Vertically averaged RMSEs of temperature and salinity profiles at point A reconstructed by S1-CNN, S2-CNN-PG and S2-FFPG-net averaged in January and July.
MonthS1-CNNS2-CNN-PGS2-FFPG-Net
Temperature
(°C)
Jan.0.820.760.31
Jul.0.610.550.35
Salinity
(psu)
Jan.0.280.100.06
Jul.0.240.110.07
Table 4. Vertically averaged RMSEs of temperature and salinity profiles at point A reconstructed by S S2-FFPG-net, S2-FFPG-net-ucvc and S2-FFPH-net-ugvg averaged in January and July.
Table 4. Vertically averaged RMSEs of temperature and salinity profiles at point A reconstructed by S S2-FFPG-net, S2-FFPG-net-ucvc and S2-FFPH-net-ugvg averaged in January and July.
MonthS2-FFPG-NetS2-FFPG-Net-ucvcS2-FFPG-Net-ugvg
Temperature
(°C)
Jan.0.310.230.20
Jul.0.350.220.21
Salinity
(psu)
Jan.0.060.0570.053
Jul.0.070.0550.055
Table 5. Vertically averaged RMSEs of temperature and salinity profiles over the whole domain Ω of the SCS reconstructed by S1-CNN, S2-FFPG-net, S2-FFPG-net-ucvc and S2-FFPG-net-ugvg averaged in January and July.
Table 5. Vertically averaged RMSEs of temperature and salinity profiles over the whole domain Ω of the SCS reconstructed by S1-CNN, S2-FFPG-net, S2-FFPG-net-ucvc and S2-FFPG-net-ugvg averaged in January and July.
MonthS1-CNNS2-FFPG-NetS2-FFPG-Net-ucvcS2-FFPG-Net-ugvg
Temperature
(°C)
Jan.0.670.160.110.11
Jul.0.630.220.190.14
Salinity
(psu)
Jan.0.470.0330.0240.024
Jul.0.460.0460.0390.031
Table 6. Vertically averaged RMSEs of temperature (temp) and salinity (sal) profiles at two locations reconstructed by S2-FFPG-net, S2-FFPG-net-ucvc and S2-FFPG-net-ugvg, as well as from MODAS averaged for January and July, which are validated against the Argo-buoy-observed T/S profiles.
Table 6. Vertically averaged RMSEs of temperature (temp) and salinity (sal) profiles at two locations reconstructed by S2-FFPG-net, S2-FFPG-net-ucvc and S2-FFPG-net-ugvg, as well as from MODAS averaged for January and July, which are validated against the Argo-buoy-observed T/S profiles.
TimeLocationsVariablesS2-FFPG-NetS2-FFPG-Net-ucvcS2-FFPG-Net-ugvgMODAS
Jan.point1temperature0.500.500.400.89
salinity0.220.120.140.08
point2temperature0.820.430.631.40
salinity0.420.500.410.39
Jul.point1temperature0.740.580.521.23
salinity0.270.180.140.12
point2temperature0.650.480.451.04
salinity0.450.280.310.21
Disclaimer/Publisher’s Note: The statements, opinions and data contained in all publications are solely those of the individual author(s) and contributor(s) and not of MDPI and/or the editor(s). MDPI and/or the editor(s) disclaim responsibility for any injury to people or property resulting from any ideas, methods, instructions or products referred to in the content.

Share and Cite

MDPI and ACS Style

Zhao, Q.; Li, S.; Cai, Y.; Zhong, G.; Peng, S. Reconstruction of the Subsurface Temperature and Salinity in the South China Sea Using Deep-Learning Techniques with a Physical Guidance. Remote Sens. 2025, 17, 2954. https://doi.org/10.3390/rs17172954

AMA Style

Zhao Q, Li S, Cai Y, Zhong G, Peng S. Reconstruction of the Subsurface Temperature and Salinity in the South China Sea Using Deep-Learning Techniques with a Physical Guidance. Remote Sensing. 2025; 17(17):2954. https://doi.org/10.3390/rs17172954

Chicago/Turabian Style

Zhao, Qianlong, Shaotian Li, Yuting Cai, Guoqiang Zhong, and Shiqiu Peng. 2025. "Reconstruction of the Subsurface Temperature and Salinity in the South China Sea Using Deep-Learning Techniques with a Physical Guidance" Remote Sensing 17, no. 17: 2954. https://doi.org/10.3390/rs17172954

APA Style

Zhao, Q., Li, S., Cai, Y., Zhong, G., & Peng, S. (2025). Reconstruction of the Subsurface Temperature and Salinity in the South China Sea Using Deep-Learning Techniques with a Physical Guidance. Remote Sensing, 17(17), 2954. https://doi.org/10.3390/rs17172954

Note that from the first issue of 2016, this journal uses article numbers instead of page numbers. See further details here.

Article Metrics

Back to TopTop