You are currently viewing a new version of our website. To view the old version click .
Processes
  • Article
  • Open Access

26 May 2025

Characterizing Foam Generated by CO2-Switchable Surfactants for Underground CO2 Storage Application

,
,
and
Danish Offshore Technology Centre (DOTC), Technical University of Denmark (DTU), Elektrovej 375, 2800 Kongens Lyngby, Denmark
*
Author to whom correspondence should be addressed.
This article belongs to the Special Issue Recent Advances in Carbon Capture, Utilisation and Storage Technologies

Abstract

CO2-switchable surfactants, applicable for mitigating CO2 geological storage efficiency challenges, offer promising control over foam stability under reservoir conditions, but their performance under extreme pressure, temperature, and salinity still needs thorough investigation. This study experimentally characterizes the performance of CO2-switchable surfactants by evaluating their interfacial tension (IFT) reduction, foamability, and foam stability under reservoir-relevant conditions. Six surfactants, including cationic (cetyltrimethylammonium bromide (CTAB) and benzalkonium chloride (BZK)) and nonionic amine-based surfactants (N,N-Dimethyltetradecylamine, N,N-Dimethyldecylamine, and N,N-Dimethylhexylamine), were assessed using synthetic brine mimicking a depleted North Sea oil reservoir. A fractional factorial design was employed to minimize experimental runs while capturing key interactions between surfactant type, temperature, salinity, and divalent ion concentrations. Foam switchability was analyzed by alternating CO2 and N2 injections, and interfacial properties were measured to establish correlations between foam generation and IFT. Experimental findings demonstrate that cationic surfactants (BZK and CTAB) exhibit CO2-switchability and moderate foam stability. Nonionic surfactants show tail length-dependent responsiveness, where D14 demonstrated the highest foamability due to its optimal hydrophilic–hydrophobic balance. IFT measurements revealed that BZK consistently maintained lower IFT values, facilitating stronger foam generation, while CTAB exhibited higher variability. The inverse correlation between IFT and foamability was observed. These insights contribute to the development of tailored surfactants for subsurface CO2 storage applications, improving foam-based mobility control in CCS projects.

1. Introduction

Anthropogenic carbon emissions pose a significant environmental challenge, driving climate change and necessitating effective mitigation strategies [1,2]. One widely adopted approach is capturing and storing CO2 gas in subsurface geological formations [3]. However, the efficiency of CO2 storage is jeopardized by two primary flow disturbances: viscous fingering and gravity override [4,5,6], as visualized in Figure 1. Viscous fingering occurs when the low-viscosity CO2 displaces more viscous reservoir fluids, leading to the formation of narrow, finger-like flow channels instead of a stable displacement front. This instability results in uneven CO2 distribution, premature breakthrough, and inefficient pore-space utilization, ultimately diminishing overall storage capacity [7]. In contrast, gravity override arises due to the lower density of CO2 relative to brine or oil, causing it to migrate upward within the reservoir. This vertical segregation reduces the sweep efficiency of the CO2 flood, leaving significant portions of the reservoir underutilized and limiting the recovery of resident fluids [4,8,9]. To mitigate these inefficiencies, foam flooding using surfactants has emerged as a promising solution. Foam increases the effective viscosity of CO2, reducing mobility contrast and suppressing viscous fingering, while also enhancing vertical conformance to counteract gravity override [10]. By stabilizing the displacement front and improving CO2 distribution, surfactant-stabilized foam can significantly enhance storage efficiency and reservoir utilization in CO2 sequestration projects [11].
Figure 1. Typical CO2 plumes in homogeneous and heterogeneous reservoirs, showing significant gravity override in a homogeneous reservoir and significant viscous fingering and uneven flow paths in heterogeneous reservoirs [12].
Surface-active agents or surfactants have a major influence on CO2-foam applications by stabilizing foam structures, reducing CO2 mobility, and improving sweep efficiency in enhanced oil recovery (EOR) processes [13]. They are designed to lower the interfacial tension between two phases, such as oil and water, and play a significant role in applications where emulsions need to be stabilized temporarily. Aqueous foams made of carbon dioxide (CO2) are colloidal dispersions made of CO2 bubbles scattered across an ongoing aqueous phase [14]. The gaseous phase is dispersed within the interior phase, while the liquid phase constitutes the external phase. Illustrated in Figure 2 is the progression of foam formation, with the thin fluid sheet denoted as a lamella. A lamella can be segmented into internal gas bubbles within the foam. The “Plateau boundary” designates the region where lamellae intersect, as depicted in Figure 2. The system rapidly stratifies into two layers, with gas bubbles ascending to the surface due to density discrepancies between the medium and the bubbles. Pure liquid cannot produce froth; however, with the introduction of a surface-active substance, foaming occurs. Upon injection beneath the liquid’s surface, a gas bubble invariably ruptures instantaneously. The utilization of a diluted surfactant solution engenders a restoring force, facilitating equilibrium restoration. As the air/liquid interface expands, alterations in surface equilibrium prompt the development of a polyhedral structure, as depicted in Figure 3 [15].
Figure 2. A schematic of three bubbles meeting at a plateau border [15].
Figure 3. Foam stabilization and formation of polyhedral structure foam [15].
However, CO2 foam that is only stabilized by a surfactant has some unfavorable characteristics. At high temperatures and salinity, CO2 foam quickly breaks down when it comes into contact with crude oil [16]. Ahmed et al. demonstrated that a number of variables, including temperature, pressure, brine salinity, permeability, surfactant concentration, and foam quality, can affect foam movement [17]. With these challenges, the scientific community became interested in evaluating specific CO2-switchable surfactants under extreme conditions and evaluating their stability [18,19,20]. Chen et al. found that, in addition to having high cloud points in brine and high ionic surfactant interfacial activities in water for foam production, the switchable ethoxylated alkyl amine surfactants also have considerable solubilities in CO2 in the nonionic dry state for surfactant injection under 120 °C and brine salinity of 182 g/L NaCl [21]. Li et al. showed that the long-chain polyamine octadecyl dipropylene triamine had outstanding CO2 foaming performance when subjected to high temperatures and salinities up to 160 °C and 200,000 ppm (with 1000 ppm Ca2+). It also showed exceptional CO2 sensitivity for foam generation [22].
Switchable surfactants are a class of amphiphilic molecules that can undergo reversible interconversions between active and inactive forms. These surfactants can be switched on or off, allowing for the controlled stabilization or destabilization of emulsions at specific desired stages of a process [23]. Switchable surfactants offer advantages such as delayed activity until needed, reusability, and facilitated removal from the product stream by switching to the form least soluble in the relevant medium [24]. The transformation of switchable surfactants is triggered by benign gases like carbon dioxide and air [25]. CO2 is an advantageous trigger that is inexpensive, nonhazardous, non-accumulating in the system, and easily removed, and it does not require the material to be transparent [26]. Typically, CO2-switchable surfactants contain functional groups that can be reversibly protonated or deprotonated in the presence of CO2, leading to alterations in their molecular structure and surface affinity [24,25]. When CO2 is present, these surfactants undergo a chemical transformation, causing a shift in their hydrophilic–hydrophobic balance. In their activated state, CO2-triggered switchable surfactants exhibit enhanced hydrophobicity, reducing their solubility in aqueous environments and diminishing their surface activity. Conversely, in the absence of CO2, they revert to their original hydrophilic state, thereby restoring their surface activity and solubility [24,27]. This reversible switching mechanism enables precise control over the interfacial properties of the system, making CO2-triggered switchable surfactants valuable for applications such as CO2 capture and utilization, emulsion stabilization, and controlled release systems, where dynamic modulation of surfactant behavior is desired. Figure 4 demonstrates the switchability.
Figure 4. CO2-switchable surfactant illustration [28].
CO2-responsive surfactants reversibly switch between active and inactive states in response to CO2, and this property is advantageous in terms of mobility control in CO2 storage applications [29]. Typically, CO2-switchable surfactants contain functional groups such as amines or acetamidines that undergo protonation when exposed to stimuli CO2 gas [25]. Octadecy l dipropylene triamine and some other amine-based compounds demonstrated strong CO2 sensitivity, which aids in immediate foam generation with better tolerance to concentration, temperature, pressure, and brine water salinity [22,30]. Similarly, long-chain cationic surfactants such as UC22AMPM have demonstrated reversible switching capabilities by forming wormlike micelle networks in the presence of CO2 with enhanced foam stability and viscosity, while destabilizing upon introducing N2 [31,32]. Other advanced formulations that are ODPTA-based surfactants, for instance, have shown improved stability under reservoir conditions. They can maintain bulk viscosity and foam persistence up to 160 °C and 10.5 MPa, more effectively than traditional surfactants like SDS [33]. A study confirmed the synergy between CO2-soluble and nonionic surfactants that resulted in enhanced foam viscosity and stability. Also, synthesized acetamidine surfactants with varying hydrophobic tail lengths demonstrated a strong CO2 response. Experimental results indicated that longer hydrophobic tails protonate at higher temperatures, while shorter tails are sensitive to elevated temperatures [34]. This switchability allows for enhanced influence on foam structure and volume, making such surfactants effective for dynamic reservoir conditions. Further, studies have emphasized that surfactants diluted with CO2 perform better than conventional water dilution. In fractured carbonate reservoirs, CO2-soluble surfactants enable faster foam propagation and stronger foam formation in fractured carbonate reservoirs, reflecting their better oil recovery [35].
This study presents a new approach by integrating interfacial tension (IFT) measurements with foam generation and structure analysis, which aimed to investigate the relationship between interfacial properties and foamability in CO2-responsive surfactants. It explores the performance of both cationic (e.g., benzalkonium chloride and cetyltrimethylammonium bromide) and nonionic surfactants with varying hydrophobic tail lengths (N,N-Dimethyltetradecylamine (D14), N,N-Dimethyldecylamine (D10), and N,N-Dimethylhexylamine (D6)) under varying levels of temperatures and salinities. Complementing earlier investigations, this study evaluates the CO2 switching behavior of these five surfactants of different types and compares them to a conventional non-switchable surfactant, sorbitan monooleate ethoxylated (Tween 80), which gives a baseline for the investigation. Anionic surfactants were deliberately excluded due to their poor compatibility with high-salinity brines, particularly their susceptibility to precipitation in the presence of divalent cations such as Ca2+ and Mg2+. Finally, this work offers valuable design principles for formulating efficient CO2 foams by linking interfacial properties to foam dynamics, addressing the main challenges of CO2 handling in carbon storage and enhanced oil recovery applications.

2. Materials and Methods

2.1. Brine

To replicate real reservoir conditions, synthetic brine was prepared with a specific composition mimicking the saline environment of one of the Danish North Sea depleted oil reservoirs. The preparation involved dissolving a precise mixture of monovalent and divalent salts, including sodium chloride (NaCl), sodium sulfate (Na2SO4), potassium chloride (KCl), magnesium chloride (MgCl2·6H2O), calcium chloride (CaCl2·2H2O), strontium chloride (SrCl2·6H2O), and barium chloride (BaCl2·2H2O), in ultrapure deionized water. These salts, purchased from Sigma-Aldrich, Darmstadt, Germany, with a minimum purity of 99%, were carefully weighed using gravimetric methods and mixed under controlled ambient conditions to ensure homogeneity. Table 1 represents the composition of the brine.
Table 1. Brine composition.
Viscosity and density of the brine at different temperatures and atmospheric pressure were measured by Anton Paar AMV 200 and DMA 4100, Ostfildern-Scharnhausen, Germany, respectively, and are reported in Figure 5.
Figure 5. Viscosity and density of the formation water at different temperatures.

2.2. Surfactants

In this study, we examined six surfactants, including sorbitan monooleate ethoxylated (Tween 80), cetyltrimethylammonium bromide (CTAB), benzalkonium chloride (BZK), N,N-Dimethyltetradecylamine (D14), N,N-Dimethyldecylamine (D10), and N,N-Dimethylhexylamine (D6). All surfactants were purchased from Sigma-Aldrich, Darmstadt, Germany. Tween 80 is not a CO2-switchable surfactant and is used to serve as a baseline for comparison. CTAB and BZK are cationic surfactants, while D14, D10, and D6 are nonionic surfactants. These nonionic surfactants are tertiary amines with different alkyl chain lengths; the longest one is D14, which contains a tetradecyl (C14H29) group attached to the nitrogen, and the shortest one is D6, which contains a hexyl (C6H13) group attached to the nitrogen. The longer the chain, the more hydrophobic and more soluble in water the component [26,36]. Table 2 summarizes the properties of these surfactants, and below, there is a description of each one. Additional information, including the molecular structure of these surfactants, can be found in Appendix A.
Table 2. Summary of the surfactants used in this study.

2.3. Experimental Setup

2.3.1. Interfacial Tension (IFT) by Pendant Drop

IFT is defined as the force that exists between two immiscible fluids. It can be quantified and shows the relationship between the force acting on a surface and the distance per unit length (F/L), where the force is acting normal to the surface of the liquid with units as dynes/cm, J/m2, or mN/m [37]. The IFT experimental setup, provided by Kruss-Scientific, with a maximum working temperature and pressure of 100 °C and 500 bars, respectively, is used in this study, making it possible to measure interfacial tension for two-phase systems (immiscible) using the pendant drop method [38]. The experimental setup primarily consists of three main components. The high-pressure visualization cell is equipped with a needle with a diameter of 1.588 mm and a fluid circuit and feeding system, including pumps and high-pressure cylinders for the fluids.
Lastly, the setup is equipped with a data acquisition and imaging system with a camera that makes it possible to monitor and take dynamic images of the droplet, and the IFT is measured using a Drop Shape Analyzer. Figure 6 represents a schematic of the experimental setup used for interfacial tension measurements in this study.
Figure 6. Schematic diagram of the pendant drop setup.
Three levels of temperature were set at different stages (from ambient, 45 °C, and 70 °C max), and the pressure was maintained at max 100 bar throughout the experiment. The injected liquid generates a bubble at the tip of the needle, and the camera captures images of the drop over the course of the experiment.
Firstly, two high-pressure volume cylinders, one with brine and the other with CO2, are equilibrated, and the test temperature on the temperature controller is set until it reaches the preset temperature. The bulk fluid of lighter density (CO2) is pressurized to fill the cell at 100 bar. Then, stable drops are made with the drop fluid (brine mixed with surfactant) at the tip of the needle. The drop images are captured during the test period. The measurement time was set at 120 s with a frequency of 1 measurement per second.

2.3.2. Foam Analyzer

The FoamScanTM Cylindrical Double-Walled Jacket by Teclis Scientific, Rhône, France, was used to investigate foam generation, stability, bubble size, and bubble distribution under controlled conditions. Through a porous distributor filter, CO2 or N2 gas is introduced into a surfactant solution to generate foam. FoamScan™ was set on fixed parameters to reduce errors and to obtain comparable results. A 60 mL surfactant solution was injected into the 240 mL testing tube using a disposable syringe, providing sufficient space for foam expansion. The system operated under 1 bar pressure, with temperatures ranging from 22 °C to 77 °C, using a double-walled glass cylinder to ensure uniform heating and controlled environmental conditions. The flow rate was fixed at 220 mL per minute, and the pressure was constant at 1 bar. The foam-generating procedure is set to generate foam until 100 mL or 120 s of generating, and then bubbling stops, and stability is evaluated. The foam column is shown in Figure 7.
Figure 7. The foam column in the foam-analyzer setup.
Throughout the experiment, real-time monitoring was conducted using conductance probes, a temperature probe, optical prisms, and electronic controls. Two cameras were utilized: Camera 1 captured the overall foam formation, while Camera 2 focused on individual bubbles to analyze structural characteristics. The software continuously tracked foam behavior by recording foam volume over time and conductivity changes in both the liquid and foam phases. These measurements provided valuable insights into foam growth, decay, and stability. To further evaluate the bubble structure, Teclis Scientific’s Cell Size AnalyzerTM (CSA) version 6.7.1.397 software processed images captured by Camera 2. The software extracted statistical data, including mean bubble radius, bubble count, and bubble area distribution, offering a detailed understanding of foam behavior under different conditions.
By integrating precise control over temperature, pressure, and gas flow, this setup provided a comprehensive evaluation of foam dynamics, allowing for a thorough assessment of surfactant performance in various environmental conditions.

2.4. Experimental Design

Using Jump, an experimental design was performed considering five factors of interest in this experimental work, namely surfactant type, temperature of the solution, salinity, and content of three divalent ions: calcium, magnesium, and sulfate. To start, the number of experiments needed to investigate the effect of the main factors, and all levels of interaction go beyond the available resources. To overcome this issue, many procedures are taken to reduce the number of needed experiments. First, surfactant concentration is kept at the CMC level. Secondly, salinity levels are limited by changing levels of the mentioned divalent ions and salinity calculated at each of their level combinations. Third, factors are set to be continuous variables between high and low preset values to avoid discrete values that dictate more experiments. Fourth, factor screening is performed through a fractional factorial design to test second-degree level interaction to evaluate the interaction surface and locate potential areas for further screening. It is possible to reduce the number of experiments through fractional factorial design, where higher-order interactions between factors are neglected, and the design is reduced to lower-order interactions [39]. This design is based on creating subgroups of experiments, projection of higher-order interactions by investigating lower-order and sequential experimentation. Finally, three center runs are introduced to set a threshold for variations. Adopting this design reduced the number of experiments to 14 randomized runs of different level combinations, as shown in Table 3.
Table 3. Experimental design (DOE) for each surfactant.
This shows three levels of temperatures, calculated salinity for each experiment, and three levels of divalent ion concentrations; note that the percentage (%) means out of the total brine mixture for that experiment. This study employs a randomized design methodology, wherein runs are meticulously conducted in the sequence outlined in the table provided. Notably, the design incorporates three central runs strategically placed to meticulously evaluate the significance of errors, ensuring robustness and reliability in our analysis of each surfactant. It is important to note that even though the absorption of CO2 may lead to a decrease in pH due to carbonic acid formation, and that will impact the activation of surfactants [18,40,41,42], pH levels were not explicitly monitored or controlled during the experiments. Since salinity is not significantly different in all 14 experiments, pH changes within the same surfactant system are assumed to remain relatively constant. Differences in CO2 solubility and corresponding pH behavior between different surfactants were acknowledged but were considered outside the scope of this study.
To ensure the accuracy and reliability of the experimental data, center runs were repeated three times as an important part of the design. These center runs were used to evaluate the variability and consistency of the results under the same conditions; all test parameters were set at a medium level. The foam volume curves, or foam lifespan curves, show minor variations against the objective of the investigation, which is to observe the behavior and response of the surfactant systems to CO2 stimuli with a reasonable precision level. Detailed graphical results for all six surfactants tested are provided in Appendix B. Notably, interfacial tension (IFT) measurements showed minor errors for the surfactants BZK (±0.3 mN/m) and CTAB (±0.2 mN/m). These small deviations are also considered acceptable due to the inherent complexity of the setup and the challenges associated with maintaining consistent droplet size during IFT measurements. Overall, observed data variations from the repeated center runs confirm the robustness of the experimental approach. Despite the fact that there were minor instrumental or setup-induced inconsistencies, confidence in the trends and insights drawn from the study is maintained.

3. Results and Discussions

3.1. CO2 Responsiveness

This study focuses on surfactants that respond to external stimuli, such as CO2 and N2 gases. Specifically, certain surfactants exhibit switchable properties through the protonation of amine groups, which transition from hydrophobic to hydrophilic when exposed to CO2. Consequently, anionic surfactants are excluded from this analysis, as they lack protonatable amine groups to interact with CO2 and are already negatively charged, preventing the CO2/N2 switchability cycle.
The analysis includes six surfactants: one baseline surfactant, two cationic surfactants, and three nonionic surfactants with varying tail lengths. The full results of the foam characterization experiments for these surfactants, based on the DOE table, are provided in Appendix B as Figure A7, Figure A8, Figure A9, Figure A10, Figure A11 and Figure A12.
Figure 8 demonstrates the behavior of Tween 80 when subjected to alternating CO2 and N2 injections. The chart clearly shows minimal differences between the gas alternations, indicating that this surfactant is not CO2-switchable. This behavior is typical for standard, non-switchable surfactants. As expected, the maximum foam volume remains nearly constant at approximately 102 mL. This is also demonstrated in other studies where Tween 80 foam is found to be unstable even at higher concentrations [43].
Figure 8. CO2/N2 cycle for Tween 80.
Next, cationic surfactants are the dominant type that responds to CO2. The primary reason these surfactants react to CO2 is their structure, which includes amine and amidine functional groups that govern their switchability. Figure 9 and Figure 10 illustrate the foam volume for the two cationic surfactants, benzalkonium chloride (BZK) and hexadecyltrimethylammonium bromide (CTAB), under alternating CO2 and N2 gas injection. Both surfactants show a significant drop in foam volume when nitrogen is injected, compared to CO2, indicating their CO2 responsiveness.
Figure 9. CO2/N2 cycle for BZK.
Figure 10. CO2/N2 cycle for CTAB.
CTAB maintains its foam volume for approximately 200 s, while BZK only sustains it for 61 s. This difference is due to the higher hydrophobicity of BZK, which results in stronger interactions with organic phases. Additionally, BZK has limited intrinsic CO2-switchability, as it lacks the CO2-responsive functional groups (e.g., amidine or tertiary amines) found in CTAB.
The switching mechanisms for nonionic surfactants are based on changes in hydrogen bonding and polarity. In the continuous CO2 phase, these surfactants become hydrophilic due to enhanced interactions with dissolved carbon dioxide, whereas in the N2 phase, the effect is reversed. However, the degree of responsiveness to CO2 depends on the tail length, as the solubility of these surfactants is influenced by the length of their hydrophobic tails. Shorter tails primarily rely on headgroup surface interactions for solubility changes, while longer tails exhibit greater CO2 responsiveness due to their direct interaction with CO2 molecules.
D6 and D10 are tertiary amine-based surfactants with shorter tail lengths. D6, with its shorter hexyl (-C6H13) tail, mainly relies on the protonation–deprotonation of its -N (CH3)2 headgroup for CO2/N2 switching. Figure 11 shows that D6 exhibits almost no response to CO2/N2 phases, generating only a few milliliters of foam in CO2, and none in N2. In contrast, D10, with its longer decyl (-C10H21) tail, demonstrates stronger hydrophobic interactions and a higher responsiveness to CO2, as shown in Figure 12. More foam volume is observed with D10, although there is no notable responsiveness to N2.
Figure 11. CO2/N2 cycle for N,N-Dimethylhexylamine (D6).
Figure 12. CO2/N2 cycle for N,N-Dimethyldecylamine (D10).
Finally, surfactants with medium tail lengths tend to exhibit more pronounced switchability, as they strike a balance between hydrophilicity and hydrophobicity, resulting in an enhanced CO2 response. The interaction between CO2 and the surfactant’s headgroup can significantly alter its solubility and self-assembly properties.
N,N-Dimethyltetradecylamine (D14) is a surfactant with a medium-length tetradecyl (-C14H29) tail, which is more hydrophobic than both D6 and D10. Figure 13 demonstrates its CO2/N2 responsiveness, which arises from both headgroup protonation and hydrophobic interactions with CO2. This results in a significantly higher foam volume compared to surfactants with shorter tails. The longer hydrophobic tail of D14 enhances its affinity for CO2, as CO2 preferentially dissolves in nonpolar regions, disrupting molecular packing and influencing self-assembly behavior.
Figure 13. CO2/N2 cycle for N,N-Dimethyltetradecylamine (D14).

3.2. Interfacial Tension (IFT)

The IFT measurement results for both BZK and CTAB are presented in Figure 14 using the DOE in Table 3. The results obtained for these two switchable cationic surfactants show different trends in terms of their IFT values, with BZK generally recording lower and more consistent IFT values than CTAB under the same conditions.
Figure 14. Equilibrium IFT measurements for different experiments using CTAB and BZK.
The lowest IFT values for BZK were obtained from Experiments 8 and 9, with respective temperatures of 70 °C and 45 °C, with each recording a similar IFT value of 2.5 mN/m when both experiments were conducted at total salinities of 36.40% and 40.3%, respectively.
Experiment 9, which recorded one of the two lowest IFTs, was a central run with medium concentrations of Mg2+, Ca2+, and SO42− ions. On the contrary, the maximum IFT value is 5.5 mN/m, and this was recorded in Experiment 14 with low Ca2+ and Mg2+ ions and high sulfate ion concentrations at ambient temperature. The same trend was observed in the literature, emphasizing the role of divalent ions on the IFT value in the presence of CO2 [44]. Overall, the average IFT values for BZK for all the experiments were lower compared to those obtained for CTAB. Thus, BZK showed a better performance and lower IFT compared to CTAB under similar ionic conditions, and the results seem consistent with values between 3 and 4 mN/m, as can be seen from most of the experiments, except in Experiment 9, with the highest value of 5.5 mN/m.
Higher IFT values were obtained for CTAB, with a maximum IFT value of 18.3 mN/m for Experiment 5. This is where the concentrations of Mg2+ and SO42− were low, combined with a high concentration of Ca2+ at ambient temperature. Moreover, a minimum IFT value of 5.6 mN/m was recorded for CTAB in Experiment 8, which is at an increased temperature of 70 °C.
This lowest value of 5.6 mN/m for CTAB is slightly higher than the highest (max) value of 5.5 mN/m obtained for BZK. It can be observed that CTAB worked much better to decrease the IFT at a temperature of 70 °C in Experiment 8 when the concentration of Ca2+ and SO42− was low and the concentration of Mg2+ was high.

3.3. Foam Generation and Interfacial Tension

Foam generation and interfacial tension (IFT) are closely interconnected concepts in surface chemistry. This analysis was conducted to explore the relationship between IFT and foam generation rate (foam volume/time). The experimental results, illustrated in Figure 15, generally demonstrate an inverse correlation where lower IFT values are associated with higher foam generation rates. While this general trend is evident, the data also display a degree of variability, with several outlier points that deviate from the expected pattern. These outliers highlight the organic nature of the experimental data that reflects the inherent complexity of interfacial phenomena and the dynamic behavior of foam systems. It is important to note that such deviations are not uncommon in surface chemistry studies, where multiple factors can influence the results, such as temperature variation, surfactant concentrations, measurement errors, or even microscopic impurities. These outliers may also stem from minor experimental errors or limitations in the measurement techniques, which could affect the consistency of both IFT values and foam volume quantification. Despite these outliers, BZK and CTAB were studied in detail. The amphiphilic structure of BZK allows it to readily adsorb at the CO2–brine interface, effectively reducing interfacial tension. As shown in Figure 15, BZK consistently produced more foam under lower IFT conditions. This is likely due to CO2’s solubility in the brine phase, which can influence the structural characteristics of the interfacial film formed by BZK. The reduced IFT enhances BZK’s ability to stabilize foam by enabling the formation of smaller, more persistent bubbles, even in the presence of experimental variability.
Figure 15. Effect of IFT on benzalkonium chloride (BZK) foam.
CTAB also demonstrates significant effects on interfacial tension. The interaction of CO2 with CTAB leads to a reduction in IFT, like BZK, as CO2 effectively alters the properties of the brine phase, further promoting foam formation. Figure 16 illustrates a similar trend for CTAB, where higher foam volumes were generally observed at lower IFT values. However, as with BZK, the data points for CTAB also include a few noticeable outliers.
Figure 16. Effect of IFT on hexadecyltrimethylammonium bromide (CTAB) foam.
The lower interfacial tension between the gas and liquid phases facilitates the formation of smaller, more stable bubbles, which is an important factor for effective foam generation. Some outliers were observed in the data, but these deviations are considered part of the natural complexity of foam systems and surface chemistry experiments. Such outliers may result from experimental limitations or transient physicochemical interactions that are difficult to fully control, yet they do not diminish the overall consistency of the observed trend. The ability of BZK and CTAB to reduce IFT in the presence of CO2 significantly enhances their performance in foam flooding applications. These findings reinforce that foam stability and generation are strongly influenced by the interfacial properties of surfactants.

3.4. Number of Bubbles and Mean Bubble Radius

CSA bubble analysis was performed by fixing a foam image in 30 s for all experiments. This means that the image that was captured at a time of 30 s for all experiments for both surfactants and is considered for CSA analysis, including mean bubble radius and number of bubbles.
The analysis for CTAB reveals a fluctuating trend in both the number of bubbles and the mean bubble radius across different experiments. The number of bubbles varies significantly, with the highest bubble number observed in Experiments 7 and 13, with a number of bubbles of about 500, while the lowest occurs in Experiments 10 and 11. Similarly, the mean bubble radius demonstrates notable fluctuations, peaking at approximately 0.18 mm in Experiment 10 and reaching its lowest value of about 0.06 mm in Experiment 13. This variation suggests that different experimental conditions or surfactant interactions may be influencing bubble formation and stability.
As illustrated in Figure 17, there is an inverse relationship between the number of bubbles and the mean bubble radius, indicating that as the bubble number increases, the average size of individual bubbles decreases. This is a characteristic behavior of surfactant-stabilized foams, where higher bubble numbers correspond to the formation of smaller bubbles due to efficient surface stabilization, limited coalescence, and increased surfactant adsorption at the bubble interface. Previous studies on CTAB demonstrated that variations in head group type, degree of substitution, and tail length significantly affect CO2–water interfacial properties. Specifically, longer hydrophobic tails and smaller head groups were found to enhance adsorption at the interface and reduce interfacial tension [45].
Figure 17. Comparison of the number of bubbles and mean bubble radius for CTAB.
BZK also shows a similar trend with bubble size and radius, but with a relatively small mean radius ranging from 0.046 to 0.057 mm in Figure 18.
Figure 18. Comparison of the number of bubbles and mean bubble radius for BZK.
Generally, the results for BZK suggest that there is no significant variation, as the standard deviation is ±0.003, which is too low.

3.5. Effects of Temperature and Salinity

The effect of temperature and salinity on the performance of the examined surfactants was analyzed using p-values generated from statistical tests. Table 4 and Figure 19 indicate that temperature has the greatest influence by showing statistical significance on p-values of 0.0012, <0.0001, and 0.0176 for BZK, CTAB, and D14, respectively. However, there is not enough statistical evidence shown for the temperature on Tween 80. Clearly, cationic CO2-switchable surfactants are more sensitive to thermal changes compared to conventional surfactants. The higher responsiveness of BZK and CTAB to temperature may be attributed to thermodynamically driven alterations in surface activity and micelle formation. On the other hand, CaCl2, MgCl2, and Na2SO4 showed no statistically significant influence across most surfactants. However, Na2SO4 displayed a borderline effect on CTAB with a p-value of 0.0895, which can be attributed to ionic interactions with cationic head groups. Tween 80, a baseline, showed the least responsiveness to any factor, as expected, due to its inert behavior under changes in conditions. This supports the CO2-switchable surfactants’ desired responsiveness for the earlier-mentioned applications. Generally, BZK and CTAB are suitable in temperature-dependent, stimuli-responsive systems while D14 poses a moderate alternative.
Table 4. Summary of the statistical runs.
Figure 19. The effect of the main factors on foam generation rate.
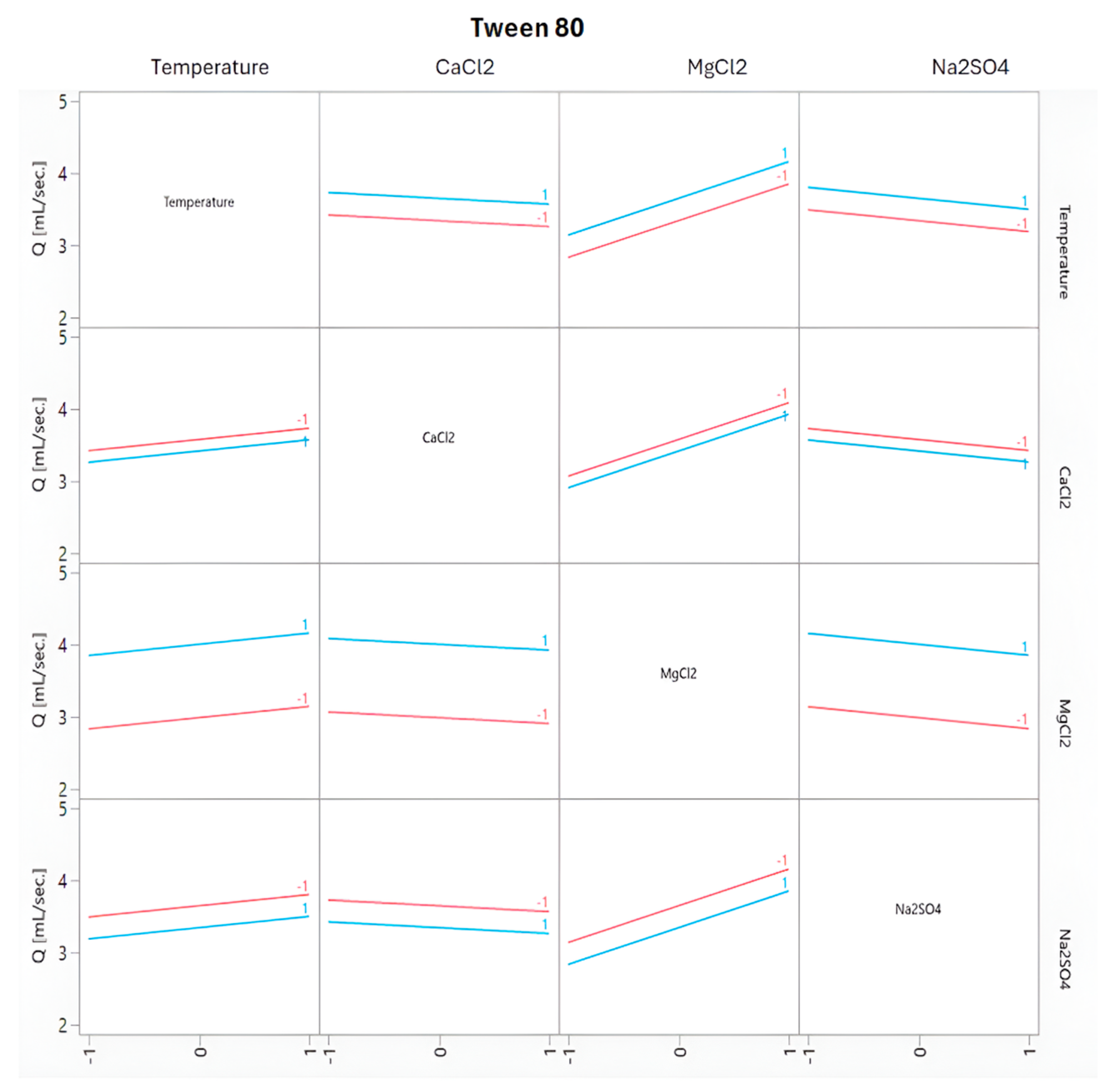
Furthermore, Figure 20 shows one of the diagrams that illustrate factor-to-factor interactions or second-degree interactions between temperature, CaCl2, MgCl2, and Na2SO4 on the foam flow rate for the BZK. The second-degree interaction profiles for other surfactants are reported in Appendix B as Figure A13, Figure A14 and Figure A15. The response levels were set at −1 (low), 0 (center), and 1 (high) for each factor. The interaction plots for BZK, CTAB, and D14 indicate that temperature interacts with all other factors influencing foam generation rate. Lower foam generation rates were consistently observed at the lower temperature level (−1), which confirms the dependence on thermal conditions. This behavior suggests that at lower temperatures, these surfactants experienced a reduction in surface activity and micellization efficiency, leading to diminished foam formation. Also, the interactions between temperature and salt concentration further influenced the foam generation rate, especially for BZK and CTAB. The presence of CaCl2 and MgCl2 appeared to enhance foamability at elevated temperatures because of electrostatic interactions and surfactant aggregation. The same effect of temperature was observed for nonionic surfactant D14. In contrast, Tween 80, the baseline conventional surfactant, demonstrated weak second-degree interaction effects across all factors. This suggests that Tween 80 remains relatively stable under temperature or salt concentration changes. However, MgCl2 had a distinct influence that could affect all its interactions with other factors. This suggests that Mg2+ ions play a unique role in modifying the foam properties of Tween 80, altering its solubility or interfacial behavior. Though there is no notable effect of sodium sulfate (Na2SO4), some studies showed that high concentrations can lead to high IFT values. Anions like sulfate disrupt the structure and tend to gather at the interface, while dissolved cations increase ionic strength and make the interface more hydrated [46].
Figure 20. BZK 2nd-degree interactions profile.

4. Conclusions

In this study, we have investigated the potential of CO2-switchable surfactants to optimize foam behavior for CO2 storage applications. By leveraging their reversible switching properties, CO2-switchable surfactants offer a promising approach to improving CO2 injection efficiency, mitigating gas channeling, and increasing overall storage security. This contributes to the broader field of carbon capture and storage (CCS) by providing a viable alternative to conventional surfactants with enhanced tunability and environmental adaptability.
Key conclusions from this study include the following:
  • Foam stability and CO2 responsiveness: All CO2-switchable surfactants tested in this study showed lower stability compared to regular surfactants (Tween 80). This instability is attributed to their responsiveness to CO2; when CO2 injection ceases, the CO2 saturation in the foam medium decreases, leading to foam collapse due to the open-column system in the foam analyzer.
  • Promising foamability: Despite stability challenges, CO2-switchable surfactants demonstrated promising foamability, indicating their potential for foam-based CO2 storage applications.
  • Interfacial tension (IFT) influence: We established a strong correlation between IFT, foam generation flow rate, and foam mean bubble size. A decrease in IFT leads to an increase in foam generation flow rate and a reduction in mean bubble size, thereby improving foam efficiency.
  • Effect of alkyl-group length: The alkyl (tail) group in amine-based surfactants plays a crucial role in their performance. Surfactants with longer alkyl chains exhibited better foamability, highlighting the importance of surfactants’ molecular structure in foam optimization.
  • Stability against salinity but sensitivity to temperature: The surfactants tested in this study demonstrated stability under high salinity and in the presence of divalent ions. However, elevated temperatures negatively affected their performance, necessitating further research to enhance their thermal stability.
  • Future research directions: While this study primarily focused on the effect of the tail group, future work should investigate the role of different head groups in surfactant performance. Understanding these interactions will aid in designing optimal surfactant structures for use in harsh reservoir conditions and improving underground CO2 storage efficiency.
This study highlights the potential of CO2-switchable surfactants in optimizing foam behavior for CO2 storage, paving the way for their integration into large-scale CCS operations. By addressing key challenges related to foam stability and tunability, these surfactants can enhance the efficiency and security of CO2 sequestration, ultimately contributing to global efforts to mitigate climate change. Continued research and field trials will be crucial in validating their practical applicability and unlocking their full potential in carbon storage technologies.

Author Contributions

K.A., S.A.A. and T.A., performing experiments, formal analyses, investigation, and writing the original draft; R.M., conceptualization, validation, writing—review and editing, and supervision. All authors have read and agreed to the published version of the manuscript.

Funding

This research was funded Danish Offshore Technology Centre grant number CSP.1.B.06.

Data Availability Statement

The original data presented in the study were uploaded to the DTU data bank and are available at https://figshare.com/s/c866f12dfef622b00ff6 accessed on 2 April 2025 and can be cited by this https://doi.org/10.11583/DTU.28713233 accessed on 2 April 2025.

Acknowledgments

The authors kindly acknowledge the Danish Offshore Technology Centre for funding the research under the CSP program. The authors also acknowledge Karin Petersen, Tran Thuong Dang, Susanne Emilie Lillienskjold Klem, and Havva Hashemi for providing lab support, technical discussion, and waste handling.

Conflicts of Interest

The authors declare no conflicts of interest.

Abbreviations

The following abbreviations are used in this manuscript:
CO2Carbon dioxide
CCSCarbon capture and storage
IFTInterfacial tension
CTABCetyltrimethylammonium bromide
BZKBenzalkonium chloride
D14N,N-Dimethyltetradecylamine
D10N,N-Dimethyldecylamine
D6N,N-Dimethylhexylamine
EOREnhanced oil recovery
N2Nitrogen
TDSTotal Dissolved Solid
ISIonic strength
CMCCritical missile concentration
CSACell Size Analyzer

Appendix A

Appendix A.1. Sorbitan Monooleate Ethoxylated (Tween 80)

Tween 80 is an amber viscous liquid with a molecular weight of 1309.67 g/mol and a density of 1.07 g/cm3. The molecular formula is C64H124O26. It has a low vapor pressure of less than 1 mm Hg at 20 °C and an evaporation rate greater than 1. The flash point of this substance is above 113 °C. It is very soluble in water and can also dissolve in ethanol, cottonseed oil, corn oil, ethyl acetate, methanol, toluene, isopropanol, and xylene. However, it is insoluble in propylene glycol and mineral oil. The pH of a 5% aqueous solution ranges between 6 and 8. It reacts violently with strong oxidizing agents and is incompatible with bases and heavy metal salts. Polysorbates, a component of this substance, are stable in the presence of electrolytes and weak acids and bases [47]. It is worth mentioning that this surfactant has not been categorized as a CO2-switchable surfactant. However, we used it as a baseline for comparing the switchable surfactants’ performance. The molecular structure is shown in Figure A1.
Figure A1. Molecular structure of Tween 80.

Appendix A.2. Cetyltrimethylammonium Bromide (CTAB)

Cetyltrimethylammonium bromide [(C16H33)N(CH3)3]: Br, popularly known as CTAB, is a hygroscopic cationic surfactant with a molecular weight of 364.53 g/mol and a density of 0.5 g/cm. It has a solubility of 55 g/L and a pH between 5 and 7 [47]. The chemical structure of CTAB is illustrated in Figure A2.
Figure A2. Chemical structure and molecular formula of CTAB.

Appendix A.3. Benzalkonium Chloride

Benzalkonium is normally abbreviated as BZK; it has a similar cationic surfactant to that of CTAB and is a quaternary ammonium surfactant with a nitrogen-carrying cationic charge.
It can be described as a water absorbent white-to-pale-yellow crystals/powder with a molecular weight of 84.14 g/mol and melting and boiling points of 107 °C and 197 °C, respectively [47]. It is very soluble in water and ethanol, soluble in chloroform, and slightly soluble in benzene but not fully soluble in polar solvents, as observed during our preliminary measurements for the critical missile concentration (CMC). BZK’s molecular structure is shown in Figure A3.
Figure A3. Molecular structure of benzalkonium chloride (BZK).

Appendix A.4. N,N-Dimethyltetradecylamine

N,N-Dimethyltetradecylamine (D14) is a tertiary amine, a liquid with a light-yellow color, with a molecular weight of 241.46 g/mol. It has a boiling point of 302 °C at 1013 hPa and a boiling range of 115–125 °C at 0.079–0.093 hPa. The compound has a flash point of 151 °C and a density of 0.795 g/mL at 20 °C [47]. The molecular formula is C16H35N, and the linear formula is CH3 (CH2)13N (CH3)2, which is shown in Figure A4.
Figure A4. Molecular structure of N,N-Dimethyltetradecylamine.

Appendix A.5. N,N-Dimethyldecylamine

N,N-Dimethyldecylamine (D10), a tertiary amine, is a transparent yellow liquid with a molecular weight of 185.35 g/mol. It has a boiling point of 234 °C at 1013 hPa and a boiling range of 82–85 °C at 0.016–0.020 hPa. The compound has a flash point of 92 °C and a density of 0.778 g/mL at 25 °C [47]. The molecular formula is C12H27N. The molecular structure is shown in Figure A5.
Figure A5. Molecular structure of N,N-Dimethyldecylamine.

Appendix A.6. N,N-Dimethylhexylamine

N,N-Dimethylhexylamine (D6) is also a tertiary amine, a colorless liquid with a molecular weight of 129.24 g/mol. It has a density of 0.744 g/cm3 at 25 °C. The compound has an initial boiling point and boiling range of 146–150 °C. Its flash point is 34 °C [47]. The molecular formula is C8H19N. Its molecular structure is shown in Figure A6.
Figure A6. Molecular structure of N,N-Dimethylhexylamine.

Appendix B

Figure A7. Foam generation and stability tests for Tween 80.
Figure A8. Foam generation and stability tests for CTAB.
Figure A9. Foam generation and stability tests for BZK.
Figure A10. Foam generation and stability tests for D14.
Figure A11. Foam generation and stability tests for D10.
Figure A12. Foam generation and stability tests for D6.
Figure A13. Second-degree interaction profile for Tween 80.
Figure A14. Second-degree interaction profile for CTAB.
Figure A15. Second-degree interaction profile for D14.
Figure A16. Benzalkonium chloride (BZK) foam volume center runs.
Figure A17. Hexadecyltrimethylammonium bromide (CTAB) foam volume center runs.
Figure A18. Sorbitan monooleate (Tween 80) foam volume center runs.
Figure A19. N,N-Dimethyldecylamine (D10) foam volume center runs.
Table A1. Error values for IFT measurements.
Table A1. Error values for IFT measurements.
IFT Measurement (mN/m)
SurfactantRun 1Run 2Run 3Error
BZK2.52.93.0±0.3
CTAB6.67.06.8±0.2

References

  1. Thambimuthu, K.; Soltanieh, M.; Abanades, J.C.; Allam, R.; Bolland, O.; Davison, J.; Feron, P.; Goede, F.; Herrera, A.; Iijima, M. IPCC Special Report on Carbon Dioxide Capture and Storage. Intergov. Panel Clim. Chang. 2005. Available online: https://www.ipcc.ch/site/assets/uploads/2018/03/srccs_wholereport-1.pdf (accessed on 13 February 2025).
  2. Rahman, F.A.; Aziz, M.M.A.; Saidur, R.; Bakar, W.A.W.A.; Hainin, M.; Putrajaya, R.; Hassan, N.A. Pollution to Solution: Capture and Sequestration of Carbon Dioxide (CO2) and Its Utilization as a Renewable Energy Source for a Sustainable Future. Renew. Sustain. Energy Rev. 2017, 71, 112–126. [Google Scholar] [CrossRef]
  3. Massarweh, O.; Abushaikha, A.S. CO2 Sequestration in Subsurface Geological Formations: A Review of Trapping Mechanisms and Monitoring Techniques. Earth-Sci. Rev. 2024, 253, 104793. [Google Scholar] [CrossRef]
  4. Wang, Z.; Wang, P.; Li, S.; Cheng, H.; Zhang, K. CO2 Foam to Enhance Geological Storage Capacity in Hydrocarbon Reservoirs. Renew. Sustain. Energy Rev. 2024, 199, 114504. [Google Scholar] [CrossRef]
  5. Bachu, S.; Celia, M.A. Assessing the Potential for CO2 Leakage, Particularly through Wells, from Geological Storage Sites. Geophys. Monogr. Ser. 2009, 183, 203–216. [Google Scholar] [CrossRef]
  6. Bonto, M.; Welch, M.J.J.; Lüthje, M.; Andersen, S.I.I.; Veshareh, M.J.J.; Amour, F.; Afrough, A.; Mokhtari, R.; Hajiabadi, M.R.R.; Alizadeh, M.R.R.; et al. Challenges and Enablers for Large-Scale CO2 Storage in Chalk Formations. Earth-Sci. Rev. 2021, 222, 103826. [Google Scholar] [CrossRef]
  7. Singh, P.; Mondal, S. Role of the Process Conditions on Three-Dimensional Viscous Fingering: Impact on Enhanced Oil Recovery and Geological Storage. Int. J. Multiph. Flow 2025, 184, 105110. [Google Scholar] [CrossRef]
  8. Han, J.; Lee, M.; Lee, W.; Lee, Y.; Sung, W. Effect of Gravity Segregation on CO2 Sequestration and Oil Production during CO2 Flooding. Appl. Energy 2016, 161, 85–91. [Google Scholar] [CrossRef]
  9. Stalkup, F.I. Miscible Displacement; Monograph (Society of Petroleum Engineers of AIME); Henry L. Doherty Memorial Fund of AIME, Society of Petroleum Engineers of AIME, 1983; ISBN 9780895203199. Available online: https://books.google.dk/books?id=vDhQAQAAIAAJ&redir_esc=y (accessed on 2 April 2025).
  10. Eftekhari, A.A.; Farajzadeh, R. Effect of Foam on Liquid Phase Mobility in Porous Media. Sci. Rep. 2017, 7, 43870. [Google Scholar] [CrossRef]
  11. Mai, A.; Kantzas, A. Heavy Oil Waterflooding: Effects of Flow Rate and Oil Viscosity. J. Can. Pet. Technol. 2009, 48, 42–51. [Google Scholar] [CrossRef]
  12. Zhang, Z.F.; White, S.K.; White, M.D. Delineating the Horizontal Plume Extent and CO2 Distribution at Geologic Sequestration Sites. Int. J. Greenh. Gas Control. 2015, 43, 141–148. [Google Scholar] [CrossRef]
  13. Sheng, J.J. Status of Surfactant EOR Technology. Petlm 2015, 1, 97–105. [Google Scholar] [CrossRef]
  14. Langevin, D. Aqueous Foams: A Field of Investigation at the Frontier Between Chemistry and Physics. ChemPhysChem 2008, 9, 510–522. [Google Scholar] [CrossRef]
  15. Sagir, M.; Bilal Tahir, M.; Pervaiz, M.; Hassan Qasim, M.; Ullah, S.; Ansar, R. CO2-Philic Surfactants Structural Morphology Prerequests for CO2 Philicity for Foam Durability for EOR Applications. In Analytical Chemistry—Advancement, Perspectives and Applications; IntechOpen: Rijeka, Croatia, 2021. [Google Scholar]
  16. Li, S.; Li, Z.; Wang, P. Experimental Study of the Stabilization of CO2 Foam by Sodium Dodecyl Sulfate and Hydrophobic Nanoparticles. Ind. Eng. Chem. Res. 2016, 55, 1243–1253. [Google Scholar] [CrossRef]
  17. Ahmed, S.; Elraies, K.A.; Tan, I.M.; Mumtaz, M. A Review on CO2 Foam for Mobility Control: Enhanced Oil Recovery. In ICIPEG 2016; Springer: Singapore, 2017; pp. 205–215. [Google Scholar]
  18. Lu, Y.; Sun, D.; Ralston, J.; Liu, Q.; Xu, Z. CO2-Responsive Surfactants with Tunable Switching PH. J. Colloid Interface Sci. 2019, 557, 185–195. [Google Scholar] [CrossRef]
  19. Lu, H.; Guan, X.; Dai, S.; Huang, Z. Application of CO2-Triggered Switchable Surfactants to Form Emulsion with Xinjiang Heavy Oil. J. Dispers. Sci. Technol. 2014, 35, 655–662. [Google Scholar] [CrossRef]
  20. Liang, C.; Harjani, J.R.; Robert, T.; Rogel, E.; Kuehne, D.; Ovalles, C.; Sampath, V.; Jessop, P.G. Use of CO2-Triggered Switchable Surfactants for the Stabilization of Oil-in-Water Emulsions. Energy Fuels 2012, 26, 488–494. [Google Scholar] [CrossRef]
  21. Chen, Y.; Elhag, A.S.; Poon, B.M.; Cui, L.; Ma, K.; Liao, S.Y.; Reddy, P.P.; Worthen, A.J.; Hirasaki, G.J.; Nguyen, Q.P.; et al. Switchable Nonionic to Cationic Ethoxylated Amine Surfactants for CO2 Enhanced Oil Recovery in High-Temperature, High-Salinity Carbonate Reservoirs. SPE J. 2014, 19, 249–259. [Google Scholar] [CrossRef]
  22. Li, D.; Ren, S.; Zhang, P.; Zhang, L.; Feng, Y.; Jing, Y. CO2-Sensitive and Self-Enhanced Foams for Mobility Control during CO2 Injection for Improved Oil Recovery and Geo-Storage. Chem. Eng. Res. Des. 2017, 120, 113–120. [Google Scholar] [CrossRef]
  23. Baul, U.; Dzubiella, J. Structure and Dynamics of Responsive Colloids with Dynamical Polydispersity. J. Phys. Condens. Matter 2021, 33, 174002. [Google Scholar] [CrossRef]
  24. Jessop, P.G.; Cunningham, M.F. CO2-Switchable Materials; Royal Society of Chemistry: Cambridge, UK, 2020; ISBN 1782628762. [Google Scholar]
  25. Liu, Y.; Jessop, P.G.; Cunningham, M.; Eckert, C.A.; Liotta, C.L. Switchable Surfactants. Science 2006, 313, 958–960. [Google Scholar] [CrossRef] [PubMed]
  26. Jessop, P.G.; Mercer, S.M.; Heldebrant, D.J. CO2-Triggered Switchable Solvents, Surfactants, and Other Materials. Energy Environ. Sci. 2012, 5, 7240. [Google Scholar] [CrossRef]
  27. Mohammadian, E.; Hadavimoghaddam, F.; Kheirollahi, M.; Jafari, M.; Chenlu, X.; Liu, B. Probing Solubility and PH of CO2 in Aqueous Solutions: Implications for CO2 Injection into Oceans. J. CO2 Util. 2023, 71, 102463. [Google Scholar] [CrossRef]
  28. Dowlati, S.; Mokhtari, R.; Hohl, L.; Miller, R.; Kraume, M. Advances in CO2-Switchable Surfactants towards the Fabrication and Application of Responsive Colloids. Adv. Colloid Interface Sci. 2023, 315, 102907. [Google Scholar] [CrossRef] [PubMed]
  29. Wu, Q.; Ding, L.; Zhao, L.; Zhao, W.; AlYousef, Z.; Alsaud, M.A.; Fan, Z. Dynamic Adsorption of Switchable Amine Surfactants on Carbonate under Reservoir Conditions: Implications for Foam Assisted CO2 Storage. Chem. Eng. J. 2024, 496, 154003. [Google Scholar] [CrossRef]
  30. Li, D.; Ren, B.; Zhang, L.; Ezekiel, J.; Ren, S.; Feng, Y. CO2-Sensitive Foams for Mobility Control and Channeling Blocking in Enhanced WAG Process. Chem. Eng. Res. Des. 2015, 102, 234–243. [Google Scholar] [CrossRef]
  31. Wang, J.; Liang, M.; Tian, Q.; Feng, Y.; Yin, H.; Lu, G. CO2-Switchable Foams Stabilized by a Long-Chain Viscoelastic Surfactant. J. Colloid Interface Sci. 2018, 523, 65–74. [Google Scholar] [CrossRef]
  32. Zhang, P.; Diao, Y.; Shan, Y.; Pei, S.; Ren, S.; Zhang, L.; Yang, H. Experimental Investigation of Amine-Surfactant CO2 Foam for Smart Mobility Control during CO2 Flooding. J. Pet. Sci. Eng. 2020, 184, 106511. [Google Scholar] [CrossRef]
  33. Zhang, P.; Ren, S.; Shan, Y.; Zhang, L.; Liu, Y.; Huang, L.; Pei, S. Enhanced Stability and High Temperature-Tolerance of CO2 Foam Based on a Long-Chain Viscoelastic Surfactant for CO2 Foam Flooding. RSC Adv. 2019, 9, 8672–8683. [Google Scholar] [CrossRef]
  34. Hou, Q.; Wang, Y.; Wang, Z.; Wu, Q.; Wang, F.; Ni, C.; Zheng, X.; Xu, Y.; Zhao, Y. Temperature Sensitivity of CO2-Triggered Switchable Surfactants with Acetamidine Group. J. Pet. Sci. Eng. 2020, 186, 106677. [Google Scholar] [CrossRef]
  35. Ren, G.; Nguyen, Q.P.; Lau, H.C. Laboratory Investigation of Oil Recovery by CO2 Foam in a Fractured Carbonate Reservoir Using CO2-Soluble Surfactants. J. Pet. Sci. Eng. 2018, 169, 277–296. [Google Scholar] [CrossRef]
  36. Dai, S.; Suo, Y.; Liu, D.; Zhu, P.; Zhao, J.; Tan, J.; Lu, H. Controllable CO2-Responsiveness of O/W Emulsions by Varying the Alkane Carbon Number of a Tertiary Amine. Phys. Chem. Chem. Phys. 2018, 20, 11285–11295. [Google Scholar] [CrossRef] [PubMed]
  37. Douglas, C. Interfacial Tension. In Design and Analysis of Experiments; John Wiley & Sons, Inc.: New York, NY, USA, 2012. [Google Scholar]
  38. Hebach, A.; Oberhof, A.; Dahmen, N.; Kögel, A.; Ederer, H.; Dinjus, E. Interfacial Tension at Elevated PressuresMeasurements and Correlations in the Water + Carbon Dioxide System. J. Chem. Eng. Data 2002, 47, 1540–1546. [Google Scholar] [CrossRef]
  39. Montgomery, D.C. Design and Analysis of Experiments; John Wiley & Sons, Inc.: New York, NY, USA, 2012; ISBN 978-1118-14692-7. [Google Scholar]
  40. Ambagaspitiya, T.D.; Garza, D.J.C.; Skelton, E.; Kubacki, E.; Knight, A.; Bergmeier, S.C.; Cimatu, K.L.A. Using the PH Sensitivity of Switchable Surfactants to Understand the Role of the Alkyl Tail Conformation and Hydrogen Bonding at a Molecular Level in Elucidating Emulsion Stability. J. Colloid Interface Sci. 2025, 678, 164–175. [Google Scholar] [CrossRef]
  41. Ren, G.; Wang, L.; Chen, Q.; Xu, Z.; Xu, J.; Sun, D. PH Switchable Emulsions Based on Dynamic Covalent Surfactants. Langmuir 2017, 33, 3040–3046. [Google Scholar] [CrossRef]
  42. Hashemi, H.; Alturkey, K.; Azongo, S.A.; Argyrelis, T.; Mokhtari, R. CO2-Switchable Surfactants for Foam Behavior Optimization: Experimental Insights for CO2 Storage Applications. In Proceedings of the SPE-225576-MS, SPE Europe Energy Conference and Exhibition, Vienna, Austria, 10–12 June 2025. [Google Scholar]
  43. Samanta, S.; Ghosh, P. Coalescence of Bubbles and Stability of Foams in Aqueous Solutions of Tween Surfactants. Chem. Eng. Res. Des. 2011, 89, 2344–2355. [Google Scholar] [CrossRef]
  44. Aggelopoulos, C.A.; Robin, M.; Perfetti, E.; Vizika, O. CO2/CaCl2 Solution Interfacial Tensions under CO2 Geological Storage Conditions: Influence of Cation Valence on Interfacial Tension. Adv. Water Resour. 2010, 33, 691–697. [Google Scholar] [CrossRef]
  45. Elhag, A.S.; Da, C.; Chen, Y.; Mukherjee, N.; Noguera, J.A.; Alzobaidi, S.; Reddy, P.P.; AlSumaiti, A.M.; Hirasaki, G.J.; Biswal, S.L.; et al. Viscoelastic Diamine Surfactant for Stable Carbon Dioxide/Water Foams over a Wide Range in Salinity and, Temperature. J. Colloid Interface Sci. 2018, 522, 151–162. [Google Scholar] [CrossRef]
  46. Lashkarbolooki, M.; Riazi, M.; Ayatollahi, S.; Zeinolabedini Hezave, A. Synergy Effects of Ions, Resin, and Asphaltene on Interfacial Tension of Acidic Crude Oil and Low–High Salinity Brines. Fuel 2016, 165, 75–85. [Google Scholar] [CrossRef]
  47. Available online: https://Kemibrug.Dk/ (accessed on 9 January 2024).
Disclaimer/Publisher’s Note: The statements, opinions and data contained in all publications are solely those of the individual author(s) and contributor(s) and not of MDPI and/or the editor(s). MDPI and/or the editor(s) disclaim responsibility for any injury to people or property resulting from any ideas, methods, instructions or products referred to in the content.

Article Metrics

Citations

Article Access Statistics

Multiple requests from the same IP address are counted as one view.