Sign in to use this feature.

Years

Between: -

Subjects

remove_circle_outline
remove_circle_outline
remove_circle_outline
remove_circle_outline
remove_circle_outline
remove_circle_outline
remove_circle_outline
remove_circle_outline
remove_circle_outline

Journals

remove_circle_outline
remove_circle_outline
remove_circle_outline
remove_circle_outline
remove_circle_outline

Article Types

Countries / Regions

remove_circle_outline
remove_circle_outline
remove_circle_outline
remove_circle_outline
remove_circle_outline

Search Results (472)

Search Parameters:
Keywords = strengthening of aggregates

Order results
Result details
Results per page
Select all
Export citation of selected articles as:
21 pages, 1244 KB  
Article
Dynamic Evolution and Relation Perception for Temporal Knowledge Graph Reasoning
by Yuan Huang, Pengwei Shi, Xiaozheng Zhou and Ruizhi Yin
Future Internet 2026, 18(1), 3; https://doi.org/10.3390/fi18010003 - 19 Dec 2025
Abstract
Temporal knowledge graphs (TKGs) incorporate temporal information into traditional triplets, enhancing the dynamic representation of real-world events. Temporal knowledge graph reasoning aims to infer unknown quadruples at future timestamps through dynamic modeling and learning of nodes and edges in the knowledge graph. Existing [...] Read more.
Temporal knowledge graphs (TKGs) incorporate temporal information into traditional triplets, enhancing the dynamic representation of real-world events. Temporal knowledge graph reasoning aims to infer unknown quadruples at future timestamps through dynamic modeling and learning of nodes and edges in the knowledge graph. Existing TKG reasoning approaches often suffer from two main limitations: neglecting the influence of temporal information during entity embedding and insufficient or unreasonable processing of relational structures. To address these issues, we propose DERP, a relation-aware reasoning model with dynamic evolution mechanisms. The model enhances entity embeddings by jointly encoding time-varying and static features. It processes graph-structured data through relational graph convolutional layers, which effectively capture complex relational patterns between entities. Notably, it introduces an innovative relational-aware attention mechanism (RAGAT) that dynamically adapts the importance weights of relations between entities. This facilitates enhanced information aggregation from neighboring nodes and strengthens the model’s ability to capture local structural features. Subsequently, prediction scores are generated utilizing a convolutional decoder. The proposed model significantly enhances the accuracy of temporal knowledge graph reasoning and effectively handles dynamically evolving entity relationships. Experimental results on four public datasets demonstrate the model’s superior performance, as evidenced by strong results on standard evaluation metrics, including Mean Reciprocal Rank (MRR), Hits@1, Hits@3, and Hits@10. Full article
17 pages, 7444 KB  
Article
A Sustainable Monitoring and Predicting Method for Coal Failure Using Acoustic Emission Event Complex Networks
by Zhibo Zhang, Jiang Sun, Yankun Ma and Jiabao Wang
Sustainability 2025, 17(24), 11349; https://doi.org/10.3390/su172411349 - 18 Dec 2025
Viewed by 56
Abstract
Prediction of coal and rock dynamic disasters is essential for ensuring the safety, efficiency, and long-term sustainability of deep mining operations. To improve the accuracy of acoustic methods for forecasting coal instability, acoustic emission (AE) source localization experiments are conducted on coal samples [...] Read more.
Prediction of coal and rock dynamic disasters is essential for ensuring the safety, efficiency, and long-term sustainability of deep mining operations. To improve the accuracy of acoustic methods for forecasting coal instability, acoustic emission (AE) source localization experiments are conducted on coal samples under uniaxial compression, and the multidimensional correlations among AE events together with the evolution characteristics of the corresponding complex network are investigated. The results show that the temporal correlations of AE events exhibit nonlinear decay with increasing time intervals, the spatial correlations display fractal clustering that transcends Euclidean geometry, and the energetic correlations reveal hierarchical transitions controlled by intrinsic material properties. To capture these interactions, a multidimensional correlation calculation method is developed to quantitatively characterize these multidimensional coupled relationships of AE events, and a complex network of AE events is constructed. The network evolution from sparse to highly interconnected is quantified using three parameters: average degree, clustering coefficient, and modularity. A rapid rise in the first two metrics, accompanied by a sharp decline in the latter, indicates the rapid strengthening of AE event correlations, the aggregation of local microcrack clusters, and their transition into a global fracture network, thereby providing a clear early warning of impending compressive failure of the coal sample. The study establishes a mechanistic link between microcrack evolution and macroscopic failure, offering a robust real-time monitoring tool that supports sustainable mining by reducing disaster risk, improving resource extraction stability, and minimizing socio-economic and environmental losses associated with dynamic failures in deep underground coal operations. Full article
(This article belongs to the Topic Advances in Coal Mine Disaster Prevention Technology)
Show Figures

Figure 1

20 pages, 3464 KB  
Article
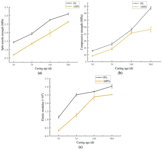
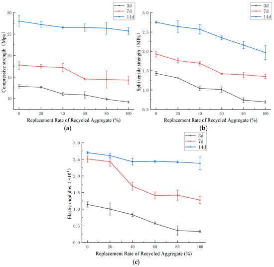
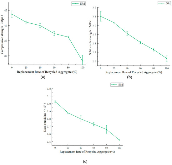
Two-Stage Deterioration Mechanisms in Recycled Aggregate Concrete: From Pore Interface Degradation to Aggregate Interface Defect Control
by Panxiu Wang, Bin Chen, Arsala Hashmi, Xiang Yao and Jiawei Dong
Buildings 2025, 15(24), 4480; https://doi.org/10.3390/buildings15244480 - 11 Dec 2025
Viewed by 193
Abstract
Recycled aggregate concrete (RAC) provides an effective approach for the large-scale reuse of construction and demolition waste. This study systematically investigates the performance degradation mechanism of RAC and proposes targeted suggestions for enhancing its performance. The key findings are summarized as follows: (1) [...] Read more.
Recycled aggregate concrete (RAC) provides an effective approach for the large-scale reuse of construction and demolition waste. This study systematically investigates the performance degradation mechanism of RAC and proposes targeted suggestions for enhancing its performance. The key findings are summarized as follows: (1) The macroscopic performance of RAC is consistently inferior to that of natural aggregate concrete (NAC). Specifically, the compressive and tensile strengths of RAC decrease by 3–50% with the increase in recycled aggregate (RA) replacement rate. (2) At the macroscopic scale, the inherent defects of RA (e.g., cracks and attached mortar) are the primary drivers of RAC performance degradation. At the microscopic scale, early-stage deterioration is mainly attributed to the high porosity (20%~27%) of RAC and the weak interfacial transition zones (ITZ) between aggregates and paste. At the same time, later-stage degradation is induced by the formation of multiple weak transition zones within the matrix. (3) For practical engineering applications, the principle of “source strengthening, process optimization, and hierarchical application” should be adhered to, aiming to improve the performance and promote the utilization efficiency of RAC. These findings establish a cross-scale theoretical foundation for the performance enhancement of RAC, thereby contributing to the more efficient resource utilization of C&D waste and advancing the sustainability of the construction industry. Full article
(This article belongs to the Section Building Materials, and Repair & Renovation)
Show Figures

Figure 1

23 pages, 6143 KB  
Article
Hybrid Cascade and Dual-Path Adaptive Aggregation Network for Medical Image Segmentation
by Junhong Ren, Sen Chen, Yange Sun, Huaping Guo, Yongqiang Tang and Wensheng Zhang
Electronics 2025, 14(24), 4879; https://doi.org/10.3390/electronics14244879 - 11 Dec 2025
Viewed by 152
Abstract
Deep learning methods based on convolutional neural networks (CNNs) and Mamba have advanced medical image segmentation, yet two challenges remain: (1) trade-off in feature extraction, where CNNs capture local details but miss global context, and Mamba captures global dependencies but overlooks fine structures, [...] Read more.
Deep learning methods based on convolutional neural networks (CNNs) and Mamba have advanced medical image segmentation, yet two challenges remain: (1) trade-off in feature extraction, where CNNs capture local details but miss global context, and Mamba captures global dependencies but overlooks fine structures, and (2) limited feature aggregation, as existing methods insufficiently integrate inter-layer common information and delta details, hindering robustness to subtle structures. To address these issues, we propose a hybrid cascade and dual-path adaptive aggregation network (HCDAA-Net). For feature extraction, we design a hybrid cascade structure (HCS) that alternately applies ResNet and Mamba modules, achieving a spatial balance between local detail preservation and global semantic modeling. We further employ a general channel-crossing attention mechanism to enhance feature expression, complementing this spatial modeling and accelerating convergence. For feature aggregation, we first propose correlation-aware aggregation (CAA) to model correlations among features of the same lesions or anatomical structures. Second, we develop a dual-path adaptive feature aggregation (DAFA) module: the common path captures stable cross-layer semantics and suppresses redundancy, while the delta path emphasizes subtle differences to strengthen the model’s sensitivity to fine details. Finally, we introduce a residual-gated visual state space module (RG-VSS), which dynamically modulates information flow via a convolution-enhanced residual gating mechanism to refine fused representations. Experiments on diverse datasets demonstrate that our HCDAA-Net outperforms some state-of-the-art (SOTA) approaches. Full article
Show Figures

Figure 1

14 pages, 2352 KB  
Article
Pre-Crosslinked Gel Particles Enhanced by Amphiphilic Nanocarbon Dots in Harsh Reservoirs: Synthesis and Deep Stimulation Mechanism
by Guorui Xu, Xiaoxiao Li, Jinzhou Yang, Chunyu Tong, Xiaolong Wang and Tengfei Wang
Processes 2025, 13(12), 3994; https://doi.org/10.3390/pr13123994 - 10 Dec 2025
Viewed by 196
Abstract
To address the issues of easy degradation, dehydration, and insufficient deep plugging strength of traditional pre-crosslinked gel particles (PPGs) in high-temperature and high-salinity reservoirs, this study innovatively introduced amphiphilic carbon dots (CDs) with both hydrophilic and hydrophobic structures as multifunctional modifiers. The carbon [...] Read more.
To address the issues of easy degradation, dehydration, and insufficient deep plugging strength of traditional pre-crosslinked gel particles (PPGs) in high-temperature and high-salinity reservoirs, this study innovatively introduced amphiphilic carbon dots (CDs) with both hydrophilic and hydrophobic structures as multifunctional modifiers. The carbon dot-reinforced PPGs (CD-PPGs) were successfully prepared through in situ polymerization. Through systematic characterization, microscopic visualization experiments, and macroscopic oil displacement evaluation, the performance enhancement mechanism and profile control behavior were deeply explored. The results show that the amphiphilic carbon dots significantly enhanced the material’s temperature resistance (up to 110 °C), salt resistance (up to 15 × 104 mg/L salinity), and mechanical properties by constructing a “hydrogen bond-hydrophobic association” dual crosslinking system within the PPG network. More importantly, it was found that CD-PPGs exhibit a unique “self-aggregation” ability in deep reservoirs, which enables the in situ formation of high-strength plugging micelles at the target location while ensuring excellent injectability. At a permeability range of 539.0–2988.6 mD, the sealing rate of 0.5 PV CD-PPGs was greater than 95%. With permeabilities of 490.1 mD and 3020.5 mD under heterogeneous reservoir simulation conditions, the total recovery degree after the CD-PPGs was 52.6%, which was 20.5% higher than that of single water flooding. This study not only developed a high-performance profile control nanomaterial but also elucidated its strengthening mechanism, providing new insights and a theoretical basis for advancing deep profile control technology. Full article
Show Figures

Figure 1

18 pages, 2199 KB  
Article
Edge Temporal Digital Twin Network for Sensor-Driven Fault Detection in Nuclear Power Systems
by Shiqiao Liu, Gang Ye and Xinwen Zhao
Sensors 2025, 25(24), 7510; https://doi.org/10.3390/s25247510 - 10 Dec 2025
Viewed by 267
Abstract
The safe and efficient operation of nuclear power systems largely relies on sensor networks that continuously collect and transmit monitoring data. However, due to the high sensitivity of the nuclear power field and strict privacy restrictions, data among different nuclear entities are typically [...] Read more.
The safe and efficient operation of nuclear power systems largely relies on sensor networks that continuously collect and transmit monitoring data. However, due to the high sensitivity of the nuclear power field and strict privacy restrictions, data among different nuclear entities are typically not directly shareable, which poses challenges to constructing a global digital twin with strong generalization capability. Moreover, most existing digital twin approaches tend to treat sensor data as static, overlooking critical temporal patterns that could enhance fault prediction performance. To address these issues, this paper proposes an Edge Temporal Digital Twin Network (ETDTN) for cloud–edge collaborative, sensor-driven fault detection in nuclear power systems. ETDTN introduces a continuous variable temporal representation to fully exploit temporal information from sensors, incorporates a global representation module to alleviate the non-IID characteristics among different subsystems, and integrates a temporal attention mechanism based on graph neural networks in the latent space to strengthen temporal feature learning. Extensive experiments on real nuclear power datasets from 17 independent units demonstrate that ETDTN achieves significantly better fault detection performance than existing methods under non-sharing data scenarios, obtaining the best results in both accuracy and F1 score. The findings indicate that ETDTN not only effectively preserves data privacy through federated parameter aggregation but also captures latent temporal patterns, providing a powerful tool for sensor-driven fault detection and predictive maintenance in nuclear power systems. Full article
(This article belongs to the Section Fault Diagnosis & Sensors)
Show Figures

Figure 1

19 pages, 10997 KB  
Article
YOLO-AEB: PCB Surface Defect Detection Based on Adaptive Multi-Branch Attention and Efficient Atrous Spatial Pyramid Pooling
by Chengzhi Deng, Yingbo Wu, Zhaoming Wu, Weiwei Zhou, You Zhang, Xiaowei Sun and Shengqian Wang
Computers 2025, 14(12), 543; https://doi.org/10.3390/computers14120543 - 10 Dec 2025
Viewed by 190
Abstract
The surface defect detection of printed circuit boards (PCBs) plays a crucial role in the field of industrial manufacturing. However, the existing PCB defect detection methods have great challenges in detecting the accuracy of tiny defects under the complex background due to its [...] Read more.
The surface defect detection of printed circuit boards (PCBs) plays a crucial role in the field of industrial manufacturing. However, the existing PCB defect detection methods have great challenges in detecting the accuracy of tiny defects under the complex background due to its compact layout. To address this problem, we propose a novel YOLO-AMBA-EASPP-BiFPN (YOLO-AEB) network based on the YOLOv10 framework that achieves high precision and real-time detection of tiny defects through multi-level architecture optimization. In the backbone network, an adaptive multi-branch attention mechanism (AMBA) is first proposed, which employs an adaptive reweighting algorithm (ARA) to dynamically optimize fusion weights within the multi-branch attention mechanism (MBA), thereby optimizing the ability to represent tiny defects under complex background noise. Then, an efficient atrous spatial pyramid pooling (EASPP) is constructed, which fuses AMBA and atrous spatial pyramid pooling-fast (ASPF). This integration effectively mitigates feature degradation while preserving expansive receptive fields, and the extraction of defect detail features is strengthened. In the neck network, the bidirectional feature pyramid network (BiFPN) is used to replace the conventional path aggregation network (PAN), and the bidirectional cross-scale feature fusion mechanism is used to improve the transfer ability of shallow detail features to deep networks. Comprehensive experimental evaluations demonstrate that our proposed network achieves state-of-the-art performance, whose F1 score can reach 95.7% and mean average precision (mAP) can reach 97%, representing respective improvements of 7.1% and 5.8% over the baseline YOLOv10 model. Feature visualization analysis further verifies the effectiveness and feasibility of YOLO-AEB. Full article
Show Figures

Figure 1

16 pages, 1183 KB  
Article
Effects of Long-Term Elevated CO2 on Soil Aggregate Structure and Microbial Communities in a Deyeuxia angustifolia Wetland of the Sanjiang Plain
by Lanying Shi, Hongjie Cao, Rongtao Zhang, Haixiu Zhong, Yingnan Liu, Jifeng Wang, Donglai Zhang, Lin Li and Hongwei Ni
Microorganisms 2025, 13(12), 2776; https://doi.org/10.3390/microorganisms13122776 - 5 Dec 2025
Viewed by 209
Abstract
To investigate the effects of long-term elevated atmospheric CO2 (eCO2) on the distribution and stability of soil aggregates and microbial characteristics in wetland soils and to reveal the mechanisms by which eCO2 influences soil organic carbon (SOC) sequestration, a [...] Read more.
To investigate the effects of long-term elevated atmospheric CO2 (eCO2) on the distribution and stability of soil aggregates and microbial characteristics in wetland soils and to reveal the mechanisms by which eCO2 influences soil organic carbon (SOC) sequestration, a multi-temporal-scale eCO2 control experiment was conducted in the Sanjiang Plain wetland with treatments at ambient CO2 concentration (AC), 550 ppm, and 700 ppm CO2. Soil aggregate fractionation, phospholipid fatty acid (PLFA) analysis, and redundancy analysis (RDA) were used to analyze changes in aggregate size distribution, stability indices (MWD, GMD), microbial biomass, and community structure. The results showed that eCO2 significantly affected aggregate size distribution. Both short- and long-term exposure to low-concentration eCO2 reduced the proportion of large aggregates. Over time, the proportion of silt and clay particles increased, while microaggregates decreased. Although CO2 concentration did not directly affect MWD and GMD, long-term eCO2 significantly reduced soil aggregate stability. Microbial biomass and diversity were not sensitive to CO2 concentration but decreased significantly with prolonged exposure. In contrast, microbial community structure was significantly affected by both CO2 level and exposure duration. RDA indicated that, under short-term eCO2, aggregate fractions were positively correlated with microbial biomass, whereas, under medium- and long-term treatments, they were positively correlated with soil physicochemical properties. Macroaggregates were positively correlated with aggregate stability, while microaggregates and silt–clay fractions were negatively correlated—a relationship that strengthened with longer eCO2 exposure. Thus, long-term eCO2 altered soil aggregate structure and microbial communities, ultimately influencing SOC stability. These findings provide data and theoretical support for predicting soil carbon stability and ecosystem functioning in wetlands under climate change. Full article
(This article belongs to the Section Environmental Microbiology)
Show Figures

Figure 1

20 pages, 4254 KB  
Article
Increasing Cathode Potential of Homogeneous Low Voltage Electron Beam Irradiation (HLEBI) to Increase Impact Strength of Carbon Fiber Reinforced Polycarbonate and Characterization by XPS C1s and O1s Peaks
by Fumiya Sato, Kouhei Sagawa, Helmut Takahiro Uchida, Hirotaka Irie, Michael C. Faudree, Michelle Salvia, Akira Tonegawa, Satoru Kaneko, Hideki Kimura and Yoshitake Nishi
Materials 2025, 18(23), 5471; https://doi.org/10.3390/ma18235471 - 4 Dec 2025
Viewed by 213
Abstract
In an interlayered carbon fiber reinforced polycarbonate (CFRPC) composite constructed of nine CF plies alternating between ten PC sheets, designated [PC]10[CF]9, applying homogeneous low voltage electron beam irradiation (HLEBI) at 200 kV cathode potential, with Vc setting at [...] Read more.
In an interlayered carbon fiber reinforced polycarbonate (CFRPC) composite constructed of nine CF plies alternating between ten PC sheets, designated [PC]10[CF]9, applying homogeneous low voltage electron beam irradiation (HLEBI) at 200 kV cathode potential, with Vc setting at a 43.2 kGy dose, to both finished sample surfaces resulted in a 47% increase in Charpy impact strength and auc at median fracture probability (Pf) of 0.50 over that of untreated, from 118 kJm−2 to 173 kJm−2. Increasingly higher Vc settings of 150, 175, and 200 kV successively increased auc at median-Pf of 0.50 to 128, 155, and 173 kJm−2, respectively. Strengthening is attributed to increasing the HLEBI penetration depth, Dth, into the sample thickness. Since the [PC]10[CF]9 has an inhomogeneous structure, Dth is calculated for each ply successively into the thickness. Scanning electron microscopy (SEM) photos showed a hierarchy of fracture mechanisms from poor PC/CF adhesion in untreated; to sporadic PC adhesion with aggregated CF at 150 kV; to high consolidation of CFs by PC at 200 kV. X-ray photoelectron spectroscopy (XPS) examination of the CF surface in the fracture area showed C1s carbonate O–(C=O)–O and ester O–(C=O)–R peak generation at 289 to 292 eV to be non-existent in untreated; well-defined at 150 kV; and increased in intensity at 200 kV, after which a reduction was observed at 225 kV. Moreover, the 200 kV yielded the largest area sp3 peak at 49.5%, signifying an increase in graphitic edge planes in the CF, apparently as dangling bonds, for increased adhesion sites to PC. For O1s scan, 200 kV yielded the largest area O–(C=O)–O peak at 34%, indicating maximum PC adhesion to CF. At the higher 225 kV, increase in auc at Pf of 0.50 was less, to 149 kJm−2, and XPS indicated a lower amount of O–(C=O)–O groups, apparently by excess bond severing by the higher Vc setting. Full article
Show Figures

Figure 1

18 pages, 23685 KB  
Article
Molecular-Scale Analysis of the Interfacial Adhesion Behavior Between Asphalt Binder and Aggregates with Distinct Chemical Compositions
by Yan Li, Shihao Li, Xinhao Sui, Xinzheng Wang and Yizhen Wang
Buildings 2025, 15(23), 4384; https://doi.org/10.3390/buildings15234384 - 3 Dec 2025
Viewed by 249
Abstract
The asphalt–aggregate interface is the weakest yet most critical component in asphalt mixtures, directly governing the pavement performance. In this study, the interfacial adhesion behavior between asphalt binder and aggregates with different chemical compositions (Al2O3, CaCO3, and [...] Read more.
The asphalt–aggregate interface is the weakest yet most critical component in asphalt mixtures, directly governing the pavement performance. In this study, the interfacial adhesion behavior between asphalt binder and aggregates with different chemical compositions (Al2O3, CaCO3, and SiO2) was investigated under varying conditions using molecular dynamics simulations. The effects of aggregate composition, environmental temperature, and asphalt aging were quantitatively assessed using key metrics, specifically interfacial adhesion energy and molecular concentration profiles near the interface. Results demonstrated that the chemical composition of aggregates fundamentally governed the asphalt–aggregate interfacial adhesion strength. Al2O3 exhibited the highest interfacial adhesion strength with asphalt binder, followed by CaCO3, with SiO2 showing the lowest strength. In terms of asphalt fractions, resins and aromatics were found to dominate the interfacial adhesion behavior due to their high molecular concentrations at the interface, with the contribution ranking as: resin > aromatic > saturate > asphaltene. The interfacial adhesion strength exhibited a non-monotonic temperature dependence. It increased with rising temperature and reached a peak value at 25–45 °C, and therefore declined because of excessive softening of asphalt binder. Furthermore, oxidative aging enhanced interfacial adhesion through strengthened electrostatic interactions. These molecular-level insights provide a fundamental understanding crucial for optimizing asphalt mixture design and enhancing pavement durability. Full article
(This article belongs to the Special Issue Advanced Characterization and Evaluation of Construction Materials)
Show Figures

Figure 1

33 pages, 10355 KB  
Article
S2GL-MambaResNet: A Spatial–Spectral Global–Local Mamba Residual Network for Hyperspectral Image Classification
by Tao Chen, Hongming Ye, Guojie Li, Yaohan Peng, Jianming Ding, Huayue Chen, Xiangbing Zhou and Wu Deng
Remote Sens. 2025, 17(23), 3917; https://doi.org/10.3390/rs17233917 - 3 Dec 2025
Viewed by 483
Abstract
In hyperspectral image classification (HSIC), each pixel contains information across hundreds of contiguous spectral bands; therefore, the ability to perform long-distance modeling that stably captures and propagates these long-distance dependencies is critical. A selective structured state space model (SSM) named Mamba has shown [...] Read more.
In hyperspectral image classification (HSIC), each pixel contains information across hundreds of contiguous spectral bands; therefore, the ability to perform long-distance modeling that stably captures and propagates these long-distance dependencies is critical. A selective structured state space model (SSM) named Mamba has shown strong capabilities for capturing cross-band long-distance dependencies and exhibits advantages in long-distance modeling. However, the inherently high spectral dimensionality, information redundancy, and spatial heterogeneity of hyperspectral images (HSI) pose challenges for Mamba in fully extracting spatial–spectral features and in maintaining computational efficiency. To address these issues, we propose S2GL-MambaResNet, a lightweight HSI classification network that tightly couples Mamba with progressive residuals to enable richer global, local, and multi-scale spatial–spectral feature extraction, thereby mitigating the negative effects of high dimensionality, redundancy, and spatial heterogeneity on long-distance modeling. To avoid fragmentation of spatial–spectral information caused by serialization and to enhance local discriminability, we design a preprocessing method applied to the features before they are input to Mamba, termed the Spatial–Spectral Gated Attention Aggregator (SS-GAA). SS-GAA uses spatial–spectral adaptive gated fusion to preserve and strengthen the continuity of the central pixel’s neighborhood and its local spatial–spectral representation. To compensate for a single global sequence network’s tendency to overlook local structures, we introduce a novel Mamba variant called the Global_Local Spatial_Spectral Mamba Encoder (GLS2ME). GLS2ME comprises a pixel-level global branch and a non-overlapping sliding-window local branch for modeling long-distance dependencies and patch-level spatial–spectral relations, respectively, jointly improving generalization stability under limited sample regimes. To ensure that spatial details and boundary integrity are maintained while capturing spectral patterns at multiple scales, we propose a multi-scale Mamba encoding scheme, the Hierarchical Spectral Mamba Encoder (HSME). HSME first extracts spectral responses via multi-scale 1D spectral convolutions, then groups spectral bands and feeds these groups into Mamba encoders to capture spectral pattern information at different scales. Finally, we design a Progressive Residual Fusion Block (PRFB) that integrates 3D residual recalibration units with Efficient Channel Attention (ECA) to fuse multi-kernel outputs within a global context. This enables ordered fusion of local multi-scale features under a global semantic context, improving information utilization efficiency while keeping computational overhead under control. Comparative experiments on four publicly available HSI datasets demonstrate that S2GL-MambaResNet achieves superior classification accuracy compared with several state-of-the-art methods, with particularly pronounced advantages under few-shot and class-imbalanced conditions. Full article
Show Figures

Figure 1

22 pages, 1593 KB  
Article
Advancing Community Bioenergy in Central Greece: Biomass Integration and Market-Uptake Evaluation
by Michalis Alexandros Kougioumtzis, Vassilis Filippou, Kostas Dasopoulos and Panagiotis Grammelis
Energies 2025, 18(23), 6346; https://doi.org/10.3390/en18236346 - 3 Dec 2025
Viewed by 216
Abstract
This paper investigates how the existing pellet plant of the Energy Community of Karditsa (ESEK) can be leveraged to strengthen RESCoop operations by integrating a variety of biomass feedstocks as (i) urban residual biomass, (ii) forest residues, and (iii) alternative sources such as [...] Read more.
This paper investigates how the existing pellet plant of the Energy Community of Karditsa (ESEK) can be leveraged to strengthen RESCoop operations by integrating a variety of biomass feedstocks as (i) urban residual biomass, (ii) forest residues, and (iii) alternative sources such as spent coffee grounds (SCGs). The RESCoop envisions an extended role as an Energy Service Company (ESCO) by installing and operating biomass boilers in local public buildings. The paper provides an overview of the technical and business support that was provided to the RESCoop for the development of such new business activities and aggregates the lessons learned from engaging the rural society towards sustainable bioenergy production. More specifically, the study covers the logistical aspects of the new RESCoop value chains, including availability, collection, transportation, and processing of the feedstocks along with their costs. A base case scenario investigates the feasibility of installing biomass boilers in municipal buildings through a detailed financial viability study examining capital and operational expenses, revenues, and key financial indicators. Further, the environmental and socio-economic impacts of the new RESCoop activities are evaluated in terms of CO2 equivalent savings compared to fossil fuel solutions and new job creation, respectively. This detailed analysis highlights the potential for sustainable bioenergy integration and provides valuable insights for similar initiatives aiming to diversify and enhance sustainable energy practices in local communities. Full article
Show Figures

Figure 1

20 pages, 2385 KB  
Article
Assessing the Status of Sustainable Development Goals in Global Mining Area
by Shurui Zhang, Yan Sun, Yan Zhang, Xinxin Chen, Zhanbin Luo and Fu Chen
Land 2025, 14(12), 2355; https://doi.org/10.3390/land14122355 - 30 Nov 2025
Viewed by 337
Abstract
Mining is an important industry for the achievement of sustainable development goals (SDGs), but it results in a significant amount of degraded land worldwide, thereby affecting local social and ecological sustainability. Little is known about the extent to which this degraded land adheres [...] Read more.
Mining is an important industry for the achievement of sustainable development goals (SDGs), but it results in a significant amount of degraded land worldwide, thereby affecting local social and ecological sustainability. Little is known about the extent to which this degraded land adheres to the current SDGs. In this study, based on public geographic information data, the status of SDG 11 (Sustainable Cities and Communities) and SDG 15 (Life on Land) for global mine sites was comprehensively assessed. The results show that (1) the global aggregation index for SDG 11 and 15 in mining areas increased from 23.94 in 2000 to 24.48 in 2020, generally exhibiting a positive trend. (2) For SDG 11, all four indicators indicate improvement, suggesting enhancement of the sustainability of cities and communities surrounding global mined land, as well as urban development, mining activities, and economic growth. In contrast, regarding SDG 15, there were noticeable improvements in the water body area and land reclamation ratio, but the forest coverage ratio and net ecosystem productivity significantly declined, indicating continued stress on ecosystems caused by mining. (3) Less than 1% of mines globally met the green grade in SDG 11, and around 97% were categorized as red grade. For SDG 15, no mines reached the green grade, and at least 99.74% were categorized as red grade mines. (4) Globally, the status has exhibited obvious spatial clustering, and the region with a better status is in the equatorial region. There has been obvious spatial heterogeneity within countries, and mine sites near urban areas have had a better status according to these SDGs. The main influencing factors on the status of mines, according to the SDGs, include the degree of mining disturbance, ecosystem recovery capacity, and urban expansion. Overall, the global status of mines according to the SDGs is far from expectation, indicating a considerable gap from achieving sustainable mining and necessitating efforts to improve human habitats and restore ecosystems in mining areas. Future endeavors should focus on strengthening site specific assessment and long-term monitoring of the global SDGs in mining areas to provide foundational data and scientific evidence for sustainable mining and the realization of SDGs. Full article
Show Figures

Figure 1

27 pages, 3941 KB  
Article
Government-Led Digital Governance and the Digital Divide Among Cities: Implications for Sustainable Digital Transformation in China
by Changping Zhang, Shuai Wu, Yingying Dong and Menghan Jiang
Sustainability 2025, 17(23), 10700; https://doi.org/10.3390/su172310700 - 28 Nov 2025
Viewed by 668
Abstract
Drawing on panel data from 279 prefecture-level cities in China from 2011 to 2022, this study employs the National Pilot Policy of Information Benefiting the People (NPIB) as a quasi-natural experiment to examine how government-led digital governance shapes the digital divide among cities. [...] Read more.
Drawing on panel data from 279 prefecture-level cities in China from 2011 to 2022, this study employs the National Pilot Policy of Information Benefiting the People (NPIB) as a quasi-natural experiment to examine how government-led digital governance shapes the digital divide among cities. Using a difference-in-differences (DID) design combined with mediation and spatial analyses, the results demonstrate that the NPIB policy significantly narrowed inter-city digital disparities, with findings robust across alternative model specifications and placebo tests. Mechanism analysis shows that digital governance promotes inclusion primarily through three pathways: strengthening strategic policy orientation, enhancing technological innovation capacity, and stimulating digital market vitality. Heterogeneity analysis indicates that policy effects vary by regional development, urbanization level, and fiscal autonomy, being most pronounced in eastern cities and those with moderate urbanization and fiscal self-sufficiency. Spatial analysis reveals that while digital governance improves local inclusion, it can generate negative spillovers among neighboring cities with similar economic structures, partially offsetting aggregate gains. Overall, the findings highlight the importance of regionally differentiated strategies, cross-regional coordination, and sustained investment in digital infrastructure to promote balanced, inclusive, and sustainable digital transformation—providing practical insights for developing countries aiming to bridge structural divides and advance digital sustainability. Full article
Show Figures

Figure 1

17 pages, 1988 KB  
Article
Synergistic Application of Humic Acid and Microbial Fertilizers Improve Soil Quality, Reshape Microbial Network, and Enhance Wheat Yield in Coastal Saline–Alkali Soils
by Lei Ma, Yudong Li, Yufeng Zhang, Yan Li, Jianlin Wei, Zhaohui Liu and Deshui Tan
Microorganisms 2025, 13(12), 2716; https://doi.org/10.3390/microorganisms13122716 - 28 Nov 2025
Viewed by 431
Abstract
Coastal saline–alkali soils represent one of the most challenging agroecosystems due to coupled chemical, physical, and biological constraints. Although humic acid (HA) and microbial fertilizers (MFs) are recognized as effective amendments, the mechanisms linking soil improvements to yield gains remain unclear. Here, a [...] Read more.
Coastal saline–alkali soils represent one of the most challenging agroecosystems due to coupled chemical, physical, and biological constraints. Although humic acid (HA) and microbial fertilizers (MFs) are recognized as effective amendments, the mechanisms linking soil improvements to yield gains remain unclear. Here, a 2-year field experiment was conducted in the Yellow River Delta to assess the effects of HA, applied alone or in combination with Bacillus subtilis and Trichoderma harzianum, on soil salinity, nutrient availability, aggregate stability, microbial communities, and wheat yields. Results showed that HA application alone reduced soil electrical conductivity (EC) and total soluble salts (TSS), and enhanced aggregate mean weight diameter (MWD), leading to 40.94–55.64% higher yields. Co-application with MFs further amplified these improvements, lowering EC and TSS up to 77.04% and 73.83%, enhancing MWD by 122.50%, and raising yields by 75.79%. Soil enzyme activities (e.g., catalase, β-glucosidase, urease, and alkaline phosphatase) and fungal diversity were substantially enhanced, whereas bacterial diversity showed no significant change. Co-occurrence network analysis demonstrated that application of HA with MFs (particularly with B. subtilis) reshaped microbial networks by enriching modules linked to nutrient provisioning, aggregate stability, and enzyme activity, while suppressing modules associated with salinity tolerance. Keystone species such as Lysobacter and Massilia were significantly enriched and closely associated with soil chemical and aggregate improvements. Structural equation modeling further revealed that yield gains were mainly explained by reduced salinity and enhanced aggregate stability rather than nutrient provisioning. These findings provide mechanistic evidence that HA improves soil quality and wheat productivity in coastal saline–alkali soils through integrated chemical, physical, and biological pathways, and that these benefits are strengthened when combined with microbial fertilizers. Full article
(This article belongs to the Special Issue Microbial Mechanisms for Soil Improvement and Plant Growth)
Show Figures

Figure 1

Back to TopTop