Sign in to use this feature.

Years

Between: -

Subjects

remove_circle_outline
remove_circle_outline
remove_circle_outline
remove_circle_outline
remove_circle_outline
remove_circle_outline
remove_circle_outline
remove_circle_outline
remove_circle_outline

Journals

remove_circle_outline
remove_circle_outline
remove_circle_outline
remove_circle_outline
remove_circle_outline
remove_circle_outline
remove_circle_outline
remove_circle_outline
remove_circle_outline
remove_circle_outline
remove_circle_outline
remove_circle_outline
remove_circle_outline
remove_circle_outline

Article Types

Countries / Regions

remove_circle_outline
remove_circle_outline
remove_circle_outline
remove_circle_outline
remove_circle_outline

Search Results (1,402)

Search Parameters:
Keywords = stratum

Order results
Result details
Results per page
Select all
Export citation of selected articles as:
19 pages, 2798 KB  
Article
Evaluation of Stratified Prediction Methods for Spatial Distribution of Groundwater Contaminants (Benzene, Total Petroleum Hydrocarbons, and MTBE) at Abandoned Petrochemical Sites
by Tianen Zhang, Zheng Peng, Fengying Xia, Rifeng Kang and Yan Ma
Sustainability 2026, 18(2), 888; https://doi.org/10.3390/su18020888 - 15 Jan 2026
Abstract
This study evaluates the accuracy of various Geographic Information System interpolation methods in predicting the stratified spatial distribution of organic pollutants (Benzene, Total Petroleum Hydrocarbons [TPH], and Methyl Tert-butyl Ether [MTBE]) in groundwater at a petrochemical-contaminated site. Given the limitations of traditional monitoring [...] Read more.
This study evaluates the accuracy of various Geographic Information System interpolation methods in predicting the stratified spatial distribution of organic pollutants (Benzene, Total Petroleum Hydrocarbons [TPH], and Methyl Tert-butyl Ether [MTBE]) in groundwater at a petrochemical-contaminated site. Given the limitations of traditional monitoring methods in predicting spatial distribution, this study focuses on the spatial computational prediction of volatile organic compound concentrations at a former petrochemical industrial site. Three interpolation methods—Inverse Distance Weighting (IDW), Radial Basis Function (RBF), and Ordinary Kriging (OK)—were applied and evaluated. Prediction accuracy was assessed using leave-one-out cross-validation, with performance quantified through key metrics: Root Mean Square Error, Coefficient of Determination, and Spearman’s Rank Correlation Coefficient. Results demonstrate significant variations in optimal prediction methods depending on pollutant type and depth stratum. For pollutants predominantly enriched in shallow and middle layers (Benzene, TPH), OK yielded the highest accuracy and stability. Conversely, for predictions of pollutants primarily concentrated in deeper layers, RBF achieved superior performance. IDW consistently underperformed across all strata and pollutants. All interpolation methods generally exhibited systematic overestimation of pollutant concentrations (mean cross-validation error > 0). Through a hierarchical evaluation of the accuracy and interpolation effectiveness of these methods, this study develops a more accurate modeling framework to describe the composite groundwater contamination patterns at petrochemical sites. This study systematically evaluates the spatial prediction accuracy of various non-aqueous phase liquid species under differing groundwater-table depths, identifies the most robust interpolation method, and thereby provides a benchmark for enhancing predictive fidelity in subsurface contaminant mapping. Full article
Show Figures

Figure 1

18 pages, 2889 KB  
Article
Variational Elastic Solution for Dynamic Torsional Soil–Pile Interaction Using Fictitious Soil Pile Model
by Bochen Wang, Hongqian Lu, Weiming Gong, Jiaqing Shu, Xiaoqing Gu and Geng Cao
Geotechnics 2026, 6(1), 5; https://doi.org/10.3390/geotechnics6010005 - 14 Jan 2026
Viewed by 27
Abstract
Soil–structure interaction (SSI) under torsional loading plays a critical role in the dynamic performance of foundations supporting offshore structures and machine foundations. However, existing simplified or semi-analytical approaches often idealize the pile tip boundary and may not adequately capture the frequency-dependent torsional impedance [...] Read more.
Soil–structure interaction (SSI) under torsional loading plays a critical role in the dynamic performance of foundations supporting offshore structures and machine foundations. However, existing simplified or semi-analytical approaches often idealize the pile tip boundary and may not adequately capture the frequency-dependent torsional impedance induced by finite soil thickness beneath the pile tip in layered deposits. This study develops a Hamilton-based variational solution for dynamic torsional soil–pile interaction in layered viscoelastic soils by explicitly incorporating a fictitious soil pile (FSP) beneath the pile tip within an energy-consistent framework. Admissible torsional displacement fields for the pile, layered soil, and FSP are adopted to establish a frequency-domain variational functional, and an iterative scheme is used to obtain the convergent frequency-dependent torsional impedance at the pile head. The formulation is verified against an existing semi-analytical solution for piles in layered soils and shows excellent agreement. Parametric results indicate that introducing a finite FSP reduces torsional stiffness and increases damping compared with a rigid base condition, while the thickness and stiffness of the bearing stratum govern the variation in impedance, providing physical insight into torsional SSI in layered ground. Full article
(This article belongs to the Special Issue Recent Advances in Soil–Structure Interaction)
Show Figures

Figure 1

59 pages, 606 KB  
Review
The Pervasiveness of Digital Identity: Surveying Themes, Trends, and Ontological Foundations
by Matthew Comb and Andrew Martin
Information 2026, 17(1), 85; https://doi.org/10.3390/info17010085 - 13 Jan 2026
Viewed by 62
Abstract
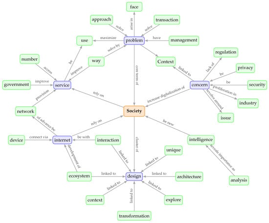
Digital identity operates as the connective infrastructure of the digital age, linking individuals, organisations, and devices into networks through which services, rights, and responsibilities are transacted. Despite this centrality, the field remains fragmented, with technical solutions, disciplinary perspectives, and regulatory approaches often developing [...] Read more.
Digital identity operates as the connective infrastructure of the digital age, linking individuals, organisations, and devices into networks through which services, rights, and responsibilities are transacted. Despite this centrality, the field remains fragmented, with technical solutions, disciplinary perspectives, and regulatory approaches often developing in parallel without interoperability. This paper presents a systematic survey of digital identity research, drawing on a Scopus-indexed baseline corpus of 2551 publications spanning full years 2005–2024, complemented by a recent stratum of 1241 publications (2023–2025) used to surface contemporary thematic structure and inform the ontology-oriented synthesis. The survey contributes in three ways. First, it provides an integrated overview of the digital identity landscape, tracing influential and widely cited works, historical developments, and recent scholarship across technical, legal, organisational, and cultural domains. Second, it applies natural language processing and subject metadata to identify thematic patterns, disciplinary emphases, and influential authors, exposing trends and cross-field connections difficult to capture through manual review. Third, it consolidates recurring concepts and relationships into ontological fragments (illustrative concept maps and subgraphs) that surface candidate entities, processes, and contexts as signals for future formalisation and alignment of fragmented approaches. By clarifying how digital identity has been conceptualised and where gaps remain, the study provides a foundation for progress toward a universal digital identity that is coherent, interoperable, and socially inclusive. Full article
(This article belongs to the Section Information and Communications Technology)
Show Figures

Figure 1

22 pages, 14271 KB  
Article
Fracture Instability Law of Thick Hard Direct Covering Roof and Fracturing and Releasing Promotion Technology
by Xingping Lai, Chuan Ai, Helong Gu, Hao Wang and Chong Jia
Appl. Sci. 2026, 16(2), 806; https://doi.org/10.3390/app16020806 - 13 Jan 2026
Viewed by 78
Abstract
Because of its strong bearing capacity and large size, a thick and hard roof is the main source of strong ground pressure in a stope, and its breaking and migration mechanism and effective control are very important for realizing safe and efficient mining [...] Read more.
Because of its strong bearing capacity and large size, a thick and hard roof is the main source of strong ground pressure in a stope, and its breaking and migration mechanism and effective control are very important for realizing safe and efficient mining in coal mines. In this paper, by constructing a numerical model that fully considers the actual occurrence conditions of such a roof, the control law of the occurrence conditions of a thick and hard roof on its fracture law and strata behavior is systematically studied, and the control mechanism of the movement and hydraulic fracturing of this kind of roof is revealed. The results show that (1) the fracture process of a thick hard roof is characterized by three stages—crack initiation, extension, and overall instability—and the “pressure arch” structure formed by the overlying huge hard rock stratum is the fundamental force source leading to strong ground pressure; (2) the roof thickness and horizon significantly control the stress distribution and fracture behavior of coal and rock mass, and the peak stress of coal and rock mass is positively correlated with the roof thickness, but negatively correlated with its horizon; (3) with the increase in roof thickness, the dominant fracture mechanism changes from tension type to tension–shear composite type, which leads to a significant increase in fracture step. Hydraulic fracturing technology can effectively cut off the “pressure arch” structure and optimize the stress field of surrounding rock. After fracturing, the first weighting step and weighting strength are reduced by 36% and 38.1%, respectively. An industrial test shows that a fracturing treatment realizes timely and orderly roof caving and achieves the controllable weakening and safe promotion of the thick and hard roof. This study provides a solid theoretical basis and a successful engineering practice model for roof disaster prevention and control under similar geological conditions. Full article
(This article belongs to the Special Issue Advanced Technologies in Intelligent and Sustainable Coal Mining)
Show Figures

Figure 1

26 pages, 2231 KB  
Review
Microneedle Technologies for Drug Delivery: Innovations, Applications, and Commercial Challenges
by Kranthi Gattu, Deepika Godugu, Harsha Jain, Krishna Jadhav, Hyunah Cho and Satish Rojekar
Micromachines 2026, 17(1), 102; https://doi.org/10.3390/mi17010102 - 13 Jan 2026
Viewed by 160
Abstract
Microneedle (MN) technologies have emerged as a groundbreaking platform for transdermal and intradermal drug delivery, offering a minimally invasive alternative to oral and parenteral routes. Unlike passive transdermal systems, MNs allow the permeation of hydrophilic macromolecules, such as peptides, proteins, and vaccines, by [...] Read more.
Microneedle (MN) technologies have emerged as a groundbreaking platform for transdermal and intradermal drug delivery, offering a minimally invasive alternative to oral and parenteral routes. Unlike passive transdermal systems, MNs allow the permeation of hydrophilic macromolecules, such as peptides, proteins, and vaccines, by penetrating the stratum corneum barrier without causing pain or tissue damage, unlike hypodermic needles. Recent advances in materials science, microfabrication, and biomedical engineering have enabled the development of various MN types, including solid, coated, dissolving, hollow, hydrogel-forming, and hybrid designs. Each type has unique mechanisms, fabrication techniques, and pharmacokinetic profiles, providing customized solutions for a range of therapeutic applications. The integration of 3D printing technologies and stimulus-responsive polymers into MN systems has enabled patches that combine drug delivery with real-time physiological sensing. Over the years, MN applications have grown beyond vaccines to include the delivery of insulin, anticancer agents, contraceptives, and various cosmeceutical ingredients, highlighting the versatility of this platform. Despite this progress, broader clinical and commercial adoption is still limited by issues such as scalable and reliable manufacturing, patient acceptance, and meeting regulatory expectations. Overcoming these barriers will require coordinated efforts across engineering, clinical research, and regulatory science. This review thoroughly summarizes MN technologies, beginning with their classification and drug-delivery mechanisms, and then explores innovations, therapeutic uses, and translational challenges. It concludes with a critical analysis of clinical case studies and a future outlook for global healthcare. By comparing technological progress with regulatory and commercial hurdles, this article highlights the opportunities and limitations of MN systems as a next-generation drug-delivery platform. Full article
(This article belongs to the Special Issue Breaking Barriers: Microneedles in Therapeutics and Diagnostics)
Show Figures

Figure 1

24 pages, 11307 KB  
Article
Study of Response Pattern of Casing Under the Condition of Nonuniform Creep Loading of Shale Gas Reservoir
by Xiaohua Zhu, Hanwen Sun, Jun Jing, Pansheng Xu and Lingxu Kong
Processes 2026, 14(2), 234; https://doi.org/10.3390/pr14020234 - 9 Jan 2026
Viewed by 162
Abstract
With unconventional oil–gas reservoir exploration and oil and gas theory development, more and more importance is attached to the wellbore integrity. The casing deformation and damage is an integral part of the wellbore integrity theory. In the shale gas block in southwestern China, [...] Read more.
With unconventional oil–gas reservoir exploration and oil and gas theory development, more and more importance is attached to the wellbore integrity. The casing deformation and damage is an integral part of the wellbore integrity theory. In the shale gas block in southwestern China, the casing deformation is grave because of the nonuniform stress of the reservoir, posing a significant influence on the productivity and economic efficiency of the shale gas development. In order to clarify the causes and mechanisms of the casing deformation caused by the nonuniform stress, the author of this paper has established the mechanical properties mathematical model of the casing under the nonuniform load as well as the casing–cement ring–stratum assembly numerical model based on the data of in situ multi-arm well logger and reservoir geological characteristics. Such models are established to study the response pattern of the casing under the nonuniform creep ground stress of the shale gas reservoir. The study herein serves as a reference for the optimization of casing design and target-specific exploration technology adjustments and lays the foundation for promoting the cost-effective development of shale gas reservoirs. Full article
(This article belongs to the Section Petroleum and Low-Carbon Energy Process Engineering)
Show Figures

Figure 1

24 pages, 2567 KB  
Article
Theoretical Study on Pipeline Settlement Induced by Excavation of Ultra-Shallow Buried Pilot Tunnels Based on Stochastic Media and Elastic Foundation Beams
by Caijun Liu, Yang Yang, Pu Jiang, Xing Gao, Yupeng Shen and Peng Jing
Appl. Sci. 2026, 16(2), 590; https://doi.org/10.3390/app16020590 - 6 Jan 2026
Viewed by 113
Abstract
Excavation of ultra-shallow pilot tunnels triggers surface settlement and endangers surrounding pipelines. The discontinuous settlement curve from traditional stochastic medium theory cannot be directly integrated into the foundation beam model, limiting pipeline deformation prediction accuracy. The key novelty of this study lies in [...] Read more.
Excavation of ultra-shallow pilot tunnels triggers surface settlement and endangers surrounding pipelines. The discontinuous settlement curve from traditional stochastic medium theory cannot be directly integrated into the foundation beam model, limiting pipeline deformation prediction accuracy. The key novelty of this study lies in proposing an improved coupled method tailored to ultra-shallow burial conditions: converting the discontinuous settlement solution into a continuous analytical one via polynomial fitting, embedding it into the Winkler elastic foundation beam model, and realizing pipeline settlement prediction by solving the deflection curve differential equation with the initial parameter method and boundary conditions. Four core factors affecting pipeline deformation are identified, with pilot tunnel size as the key. Shallower depth (especially 5.5 m) intensifies stratum disturbance; pipeline parameters (diameter, wall thickness, elastic modulus) significantly impact bending moment, while stratum elastic modulus has little effect on settlement. Verified by the Xueyuannanlu Station project of Beijing Rail Transit Line 13, theoretical and measured settlement trends are highly consistent, with core indicators meeting safety requirements (max theoretical/measured settlement: −10.9 mm/−8.6 mm < 30 mm; max rotation angle: −0.066° < 0.340°). Errors (max 5.1 mm) concentrate at the pipeline edge, and conservative theoretical values satisfy engineering safety evaluation demands. Full article
Show Figures

Figure 1

15 pages, 4535 KB  
Article
Histomorphometric Analysis of the Endometrium of Jennies (Equus asinus) and Mares (Equus caballus) in Estrus: Anatomical Differences and Possible Reproductive Implications
by Pilar Vallejo-Soto, Jesús Dorado, Rafaela Herrera-García, Carmen Álvarez-Delgado, Jaime Gómez-Laguna, Álvaro de Santiago, María Manrique, Antonio González Ariza, José Manuel León Jurado, Manuel Hidalgo and Isabel Ortiz
Animals 2026, 16(1), 143; https://doi.org/10.3390/ani16010143 - 4 Jan 2026
Viewed by 406
Abstract
Assisted reproductive techniques are often extrapolated from horses to donkeys, despite poorer fertility outcomes in jennies. This issue has been attributed to unknown uterine species-specific differences. This study compared, through histomorphometry, the endometrium of jennies and mares. Endometrial biopsies (N = 12) were [...] Read more.
Assisted reproductive techniques are often extrapolated from horses to donkeys, despite poorer fertility outcomes in jennies. This issue has been attributed to unknown uterine species-specific differences. This study compared, through histomorphometry, the endometrium of jennies and mares. Endometrial biopsies (N = 12) were taken from reproductively sound jennies (n = 6) and mares (n = 6) in estrus. Histomorphometric analysis evaluated luminal (LE, µm) and glandular epithelium height (GE, µm), glandular lumen diameter (LD, µm), glandular area (GA, µm2), the number of glands (#G), and glandular tissue percentage (GT, %), measured in the stratum compactum (SC) and spongiosum (SS). A total of 30 measurements of glandular size parameters and 10 fields of glandular density parameters per sample were recorded. Results were statistically compared between species (jennies vs. mares), parity status (maiden vs. foaling), and stratum (SC vs. SS). Jennies exhibited higher (p < 0.05) values than mares for LE, LD-SC, GA-SC, and GT-SC. These findings suggest that the histomorphometric features observed in reproductively sound jennies reflect anatomical differences that might partly explain previously observed species differences in post-breeding uterine response. In conclusion, histomorphometry revealed significant endometrial differences between species, with jennies displaying taller luminal epithelium, greater glandular size, and higher glandular tissue percentage in the SC than mares. Full article
(This article belongs to the Section Animal Reproduction)
Show Figures

Figure 1

18 pages, 7623 KB  
Review
Natural Fracturing in Marine Shales: From Qualitative to Quantitative Approaches
by Chen Zhang, Yuhan Huang, Huadong Chen and Zongquan Hu
J. Mar. Sci. Eng. 2026, 14(1), 99; https://doi.org/10.3390/jmse14010099 - 4 Jan 2026
Viewed by 324
Abstract
Natural fractures in marine shales are crucial storage spaces and migration pathways for oil and gas, making the study of their formation mechanisms and distribution patterns essential for hydrocarbon exploration and development. This review systematically evaluates the progress in natural fracture studies, transitioning [...] Read more.
Natural fractures in marine shales are crucial storage spaces and migration pathways for oil and gas, making the study of their formation mechanisms and distribution patterns essential for hydrocarbon exploration and development. This review systematically evaluates the progress in natural fracture studies, transitioning from qualitative to quantitative approaches, with a focus on the genetic mechanisms, distribution patterns, and methodological advancements of fracture types. The review finds that: (1) Integrated “geological-geophysical-dynamic” analyses significantly improve the prediction accuracy of tectonic fracture networks compared to traditional stress-field models. Bedding-parallel fracture development is primarily controlled by the interplay between diagenetic evolution and in situ stress, with their critical opening conditions now being quantifiable; (2) Crucially, the application of micro-scale in situ techniques (e.g., Laser Ablation Inductively Coupled PlasmaMass Spectrometer, laser C-O isotope analysis, carbonate U-Pb dating) has successfully decoded the geochemical signatures and absolute timing of fracture fillings, revealing multiple episodes of fluid activity directly tied to hydrocarbon migration. (3) The combined application of multiple techniques holds promise for deepening the understanding of the coupling mechanisms between fractures. The combined application of these techniques provides a robust framework for deciphering the coupling mechanisms between fracture dynamic evolution and hydrocarbon migration, offering critical insights for future exploration. Full article
Show Figures

Figure 1

17 pages, 1104 KB  
Review
Multi-Target Strategies for Enhancing Ceramide Production: A Review of Bioactive Ingredients in Cosmetic Science
by Jihye Maeng, Sekyoo Jeong, Hyunjung Kim and Gaewon Nam
Cosmetics 2026, 13(1), 8; https://doi.org/10.3390/cosmetics13010008 - 1 Jan 2026
Viewed by 370
Abstract
Ceramides are central to stratum corneum barrier organization and hydration. Beyond topical replenishment, ceramide-stimulating strategies increasingly aim to enhance endogenous ceramide biosynthesis, processing, and homeostatic remodeling in coordination with keratinocyte differentiation. In this review, we summarize the three major metabolic routes that shape [...] Read more.
Ceramides are central to stratum corneum barrier organization and hydration. Beyond topical replenishment, ceramide-stimulating strategies increasingly aim to enhance endogenous ceramide biosynthesis, processing, and homeostatic remodeling in coordination with keratinocyte differentiation. In this review, we summarize the three major metabolic routes that shape epidermal ceramide output—de novo synthesis, salvage, and sphingomyelin hydrolysis—and organize representative bioactive ingredients by their primary molecular targets rather than by origin. Specifically, we map ingredients to tractable regulatory nodes, including transcriptional “liposensors” (PPAR/LXR), the induction of biosynthetic/elongation and processing enzymes (e.g., SPT, CerS3, ELOVL4), the provision of structural substrates and precursors (e.g., linoleate-rich lipids and glycosylceramides), salvage-pathway sphingoid bases that can reshape ceramide subclass output, and metabolic sensing/stress-response pathways centered on AMPK–mTOR–SIRT1/autophagy. Across these mechanisms, agents spanning botanical and fermented extracts, vitamins, sphingoid intermediates, lipid precursors, and pathway modulators (including autophagy-focused probes) have been reported to increase ceramide abundance and, in some contexts, favor barrier-relevant ultra-long-chain species and ω-O-acylceramides that support lamellar organization and the corneocyte lipid envelope. Translational and clinical studies in dry, sensitive, and aged skin generally associate such interventions with improved barrier function and reduced dryness. Aligning ingredient selection with defined biosynthetic and processing checkpoints—and verifying outcomes with lipidomics alongside clinical endpoints—may accelerate the development of evidence-based, ceramide-stimulating cosmetics. Full article
Show Figures

Figure 1

22 pages, 4711 KB  
Article
The Multivariate Information Response Law During the Failure Process of Sandstone with Different Water Saturations
by Huining Ni, Chang Liu, Chao Yuan, Fei Li, Yilong Li, Gexuanzi Luo, Xuyang Chen and Hao Lv
Appl. Sci. 2026, 16(1), 405; https://doi.org/10.3390/app16010405 - 30 Dec 2025
Viewed by 128
Abstract
During mining, rock failure and water infiltration induce variations in deformation, energy release, electrical conductivity, and water content. Their response laws underpin water-preserving mining optimization, environmental impact mitigation, and mining area sustainability, while facilitating the prediction of stratum instability and water migration. In [...] Read more.
During mining, rock failure and water infiltration induce variations in deformation, energy release, electrical conductivity, and water content. Their response laws underpin water-preserving mining optimization, environmental impact mitigation, and mining area sustainability, while facilitating the prediction of stratum instability and water migration. In this study, uniaxial compression experiments were conducted on sandstone with different water saturations, during which the responses of strain, acoustic emission energy, and electrical resistivity were monitored. The temporal characteristics of the rock’s multi-parameter responses were analyzed, and the influence of water content on precursor information of rock failure was revealed. Multi-parameter response equations for rocks under loading, incorporating the effect of water saturation, were established. A segmented variable-weight-integrated damage constitutive model for water-bearing rocks was developed based on the multi-parameter responses. The findings showed that the temporal characteristics of multi-parameter coupling responses can reflect the damage evolution and pore water migration during the instability and failure process of water-bearing rocks. As water saturation increased from 0% to 100%, the rock exhibited the following variations: peak stress decreased by 38.49%, strain at peak stress increased by 8.79%, elastic modulus decreased by 41.58%, cumulative acoustic emission energy drops by 93.23%, and initial electrical resistivity plummets by 98.02%. Compared with the theoretical stress–strain curves based on strain damage variables, cumulative acoustic emission energy damage variables, and electrical resistivity damage variables, the theoretical stress–strain curve based on the integrated damage variable shows better agreement with the measured curve, with the coefficient of determination exceeding 0.98. The research findings offer valuable insights into rock mass instability and groundwater migration, supporting water-preserving mining and sustainable mining area development. Full article
Show Figures

Figure 1

26 pages, 1734 KB  
Review
Systems for Mitochondria-Protective Cosmetic Actives: Opportunities in Post-Oncologic Skin Regeneration
by Agata Burzyńska, Agata Wawrzyńczak and Agnieszka Feliczak-Guzik
Cosmetics 2026, 13(1), 7; https://doi.org/10.3390/cosmetics13010007 - 29 Dec 2025
Viewed by 517
Abstract
Post-oncologic skin is subject to multiple structural and functional impairments following chemotherapy and radiotherapy, including delayed epidermal turnover, compromised barrier integrity, and mitochondrial dysfunction. These changes can lead to persistent dryness, heightened reactivity, impaired regeneration, and reduced patient quality of life. In this [...] Read more.
Post-oncologic skin is subject to multiple structural and functional impairments following chemotherapy and radiotherapy, including delayed epidermal turnover, compromised barrier integrity, and mitochondrial dysfunction. These changes can lead to persistent dryness, heightened reactivity, impaired regeneration, and reduced patient quality of life. In this context, topical dermocosmetic strategies are essential not only for improving comfort and hydration, but also for supporting key cellular pathways involved in mitochondrial protection and oxidative stress reduction. Despite the promise of natural antioxidant actives, their cutaneous efficacy is often limited by poor stability, low bioavailability, and insufficient penetration of the stratum corneum. The use of nanocarriers promotes deeper skin penetration, protects oxidation-prone antioxidant compounds, and enables a controlled and prolonged release profile. This review summarizes the current evidence (2020–2025) on skin delivery systems designed to enhance the efficacy, stability, and skin penetration of antioxidants. Knowledge gaps and future directions are outlined, highlighting how rationally engineered delivery systems for mitochondria-targeted actives could contribute to safer, more effective strategies for post-oncologic skin regeneration. Full article
Show Figures

Figure 1

23 pages, 8309 KB  
Article
Study on the Mechanism of Intense Strata Behavior and Control Technology for Goaf-Side Roadway in Extra-Thick Coal Seam
by Shuai Yan, Yongjie Wang, Jianbiao Bai, Xiaolin Li and Qundi Qu
Appl. Sci. 2026, 16(1), 378; https://doi.org/10.3390/app16010378 - 29 Dec 2025
Viewed by 232
Abstract
With the depletion of shallow coal resources, deep extra-thick coal seam mining has become vital for energy security, yet fully mechanized top-coal caving (FMTC) goaf-side roadways face severe challenges of excessive advanced deformation and intense strata behavior. To address this gap, this study [...] Read more.
With the depletion of shallow coal resources, deep extra-thick coal seam mining has become vital for energy security, yet fully mechanized top-coal caving (FMTC) goaf-side roadways face severe challenges of excessive advanced deformation and intense strata behavior. To address this gap, this study took the 4301 tailgate of a coal mine in Shaanxi province as the engineering background, integrating field investigation, theoretical analysis, FLAC3D numerical simulation, and industrial tests. Guided by the key stratum theory, we systematically analyzed the influence of overlying key strata fracture on strata pressure. The results show three key strata: near-field secondary key strata (KS1, KS2) with “vertical O-X” fracturing and far-field main key stratum (MKS) with “horizontal O-X” fracturing. The radial extrusion force from MKS rotational blocks is the core cause of 200 m range advanced deformation. A collaborative control scheme of near-field key strata directional fracturing roof-cutting pressure relief and high-strength bolt-cable support was proposed. Industrial verification indicates roadway deformation was significantly reduced, with roof subsidence, floor heave, and rib convergence controlled within safe engineering limits. This study fills the gap of insufficient research on far-field key strata’s impact, providing a reliable technical solution for similar extra-thick coal seam FMTC goaf-side roadway surrounding rock control. Full article
Show Figures

Figure 1

17 pages, 1810 KB  
Article
Comparative Analysis of Machine Learning and Multi-View Learning for Predicting Peak Penetration Resistance of Spudcans: A Study Using Centrifuge Test Data
by Mingyuan Wang, Xiuqing Yang, Xing Yang, Dong Wang, Wenjing Sun and Huimin Sun
J. Mar. Sci. Eng. 2026, 14(1), 62; https://doi.org/10.3390/jmse14010062 - 29 Dec 2025
Viewed by 141
Abstract
Punch-through accidents pose a significant risk during the positioning of jack-up rigs. To mitigate this hazard, accurate prediction of the peak penetration resistance of spudcan foundations is essential for developing safe operational plans. Advances in artificial intelligence have spurred the widespread application of [...] Read more.
Punch-through accidents pose a significant risk during the positioning of jack-up rigs. To mitigate this hazard, accurate prediction of the peak penetration resistance of spudcan foundations is essential for developing safe operational plans. Advances in artificial intelligence have spurred the widespread application of machine learning (ML) to geotechnical engineering. To evaluate the prediction effect of different algorithm frameworks on the peak resistance of spudcans, this study evaluates the feasibility of ML and multi-view learning (MVL) methods using existing centrifuge test data. Six ML models—Random Forest, Support Vector Machine (with Gauss, second-degree, and third-degree polynomial kernels), Multiple Linear Regression, and Neural Networks—alongside a Ridge Regression-based MVL method are employed. The performance of these models is rigorously assessed through training and testing across various working conditions. The results indicate that well-trained ML and MVL models achieve accurate predictions for both sand-over-clay and three-layer clay strata. For the sand-over-clay stratum, the mean relative error (MRE) across the 58-case dataset is approximately 15%. The Neural Network and MVL method demonstrate the highest accuracy. This study provides a viable and effective empirical solution for predicting spudcan peak resistance and offers practical guidance for algorithm selection in different stratigraphic conditions, ultimately supporting enhanced safety planning for jack-up rig operations. Full article
(This article belongs to the Section Ocean Engineering)
Show Figures

Figure 1

39 pages, 8683 KB  
Article
Abandonment Integrity Assessment Regarding Legacy Oil and Gas Wells and the Effects of Associated Stray Gas Leakage on the Adjacent Shallow Aquifer in the Karoo Basin, South Africa
by Murendeni Mugivhi, Thokozani Kanyerere, Yongxin Xu, Myles T. Moore, Keith Hackley, Tshifhiwa Mabidi and Lucky Baloyi
Hydrology 2026, 13(1), 14; https://doi.org/10.3390/hydrology13010014 - 29 Dec 2025
Viewed by 329
Abstract
Shale gas extraction is underway in the Karoo Basin. Previous oil and gas explorers abandoned several wells, and the abandonment statuses of these wells are unknown. Critically, improperly abandoned wells can provide a pathway for the leakage of stray gas into shallow aquifers [...] Read more.
Shale gas extraction is underway in the Karoo Basin. Previous oil and gas explorers abandoned several wells, and the abandonment statuses of these wells are unknown. Critically, improperly abandoned wells can provide a pathway for the leakage of stray gas into shallow aquifers and degrade water quality. To understand the abandonment integrity risk posed by these wells, a qualitative risk model was developed to assess the likelihood of well-barrier failure leading to a potential leak. The potential leak paths identified include zones with cement losses during grouting, casing corrosion, cement channels, failure to case and cement risk zones, uncased and uncemented sources, uncemented annuli, and unplugged wells. To confirm whether these wells are leaking, geochemical tracing of stray gas was integrated. Eleven of the fifty samples collected had dissolved hydrocarbon gas concentrations that were high enough to use isotopic analysis to determine the source. The results revealed microbial gas via fermentation and carbon dioxide reduction, thermogenic gas, and geothermal gas, as evidenced by larger δ13C1 values and isotopic reversals associated with dolerite intrusions. The thermogenic-type gas detected in legacy abandoned wells and <1 km water boreholes adjacent to these wells serves as evidence that the downhole plugs did not maintain their integrity or were improperly plugged, whereas the thermogenic gas detected in >1 km water boreholes indicates leakage contamination due to natural fracture pathways. The presence of thermogenic gas in legacy wells and in groundwater boreholes <1 km from legacy wells implies that shale gas extraction using hydraulic fracturing cannot be supported in these situations. However, using safety buffer zones greater than 1 km from the legacy wells for shale gas drilling could be supported. Full article
(This article belongs to the Topic Advances in Groundwater Science and Engineering)
Show Figures

Figure 1

Back to TopTop