Effects of Intercropping Long- and Short-Season Varieties on the Photosynthetic Characteristics and Yield Formation of Maize in High-Latitude Cold Regions
Abstract
1. Introduction
2. Materials and Methods
2.1. Experimental Site
2.2. Experimental Design
2.3. Test Items and Methods
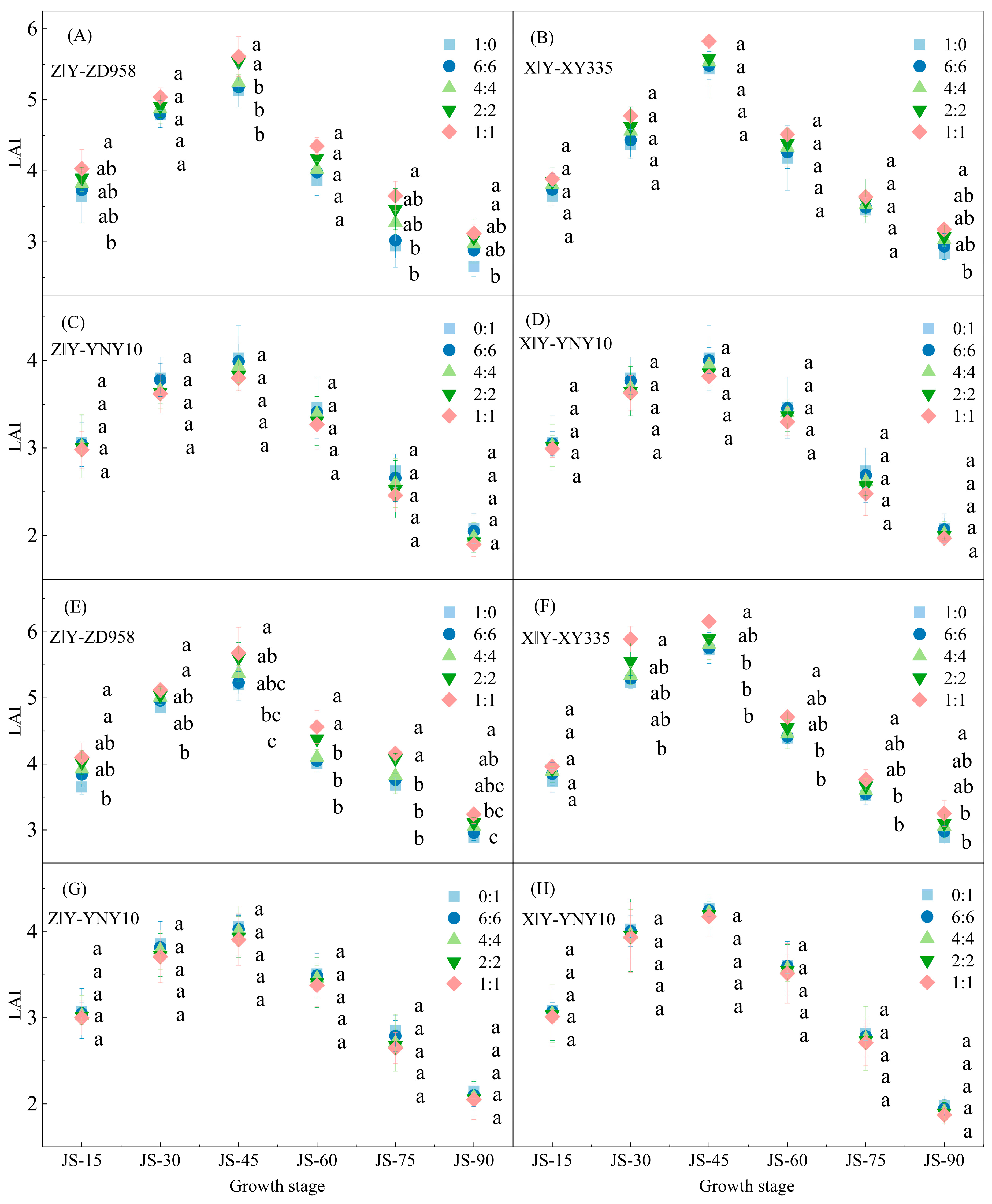
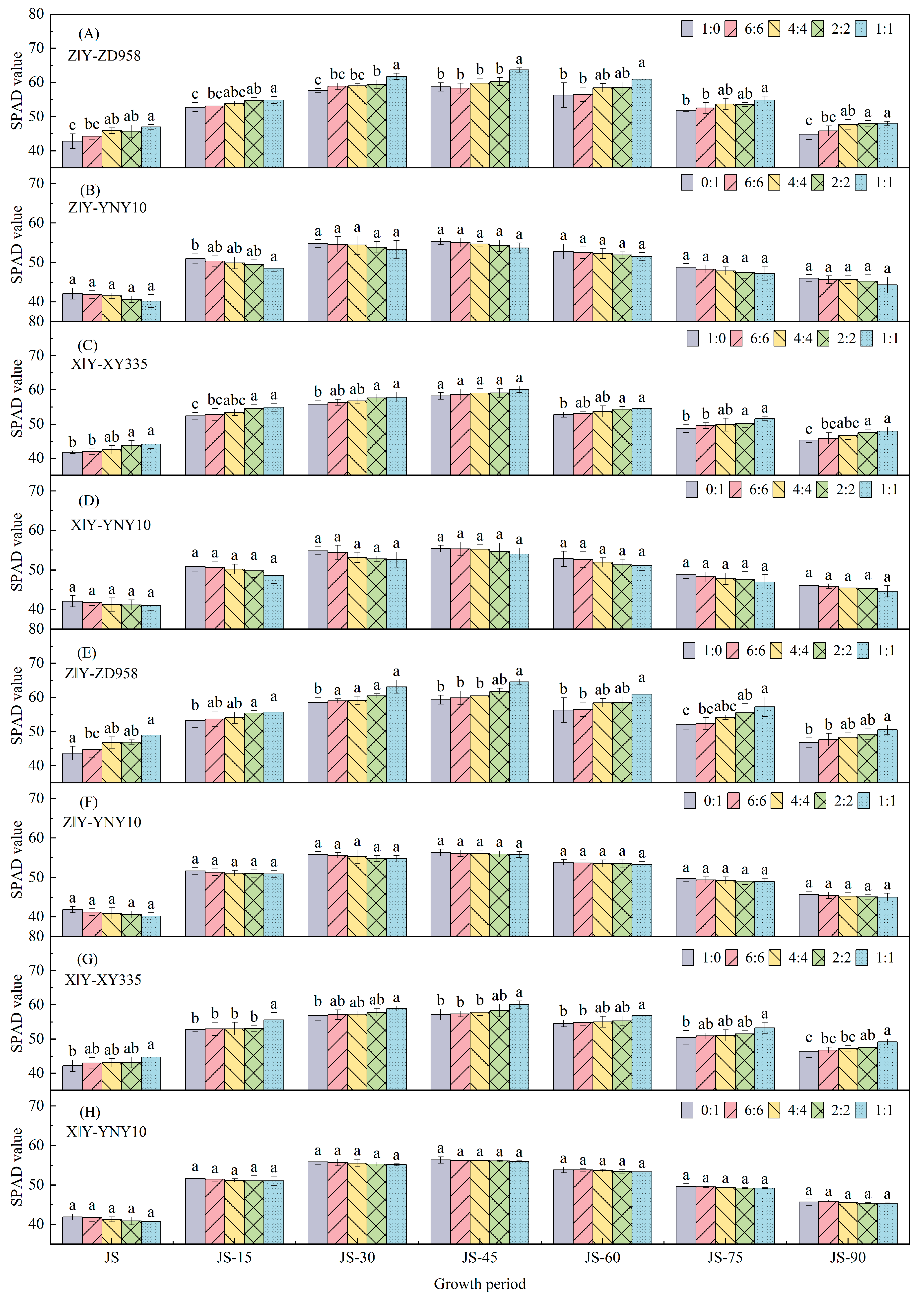
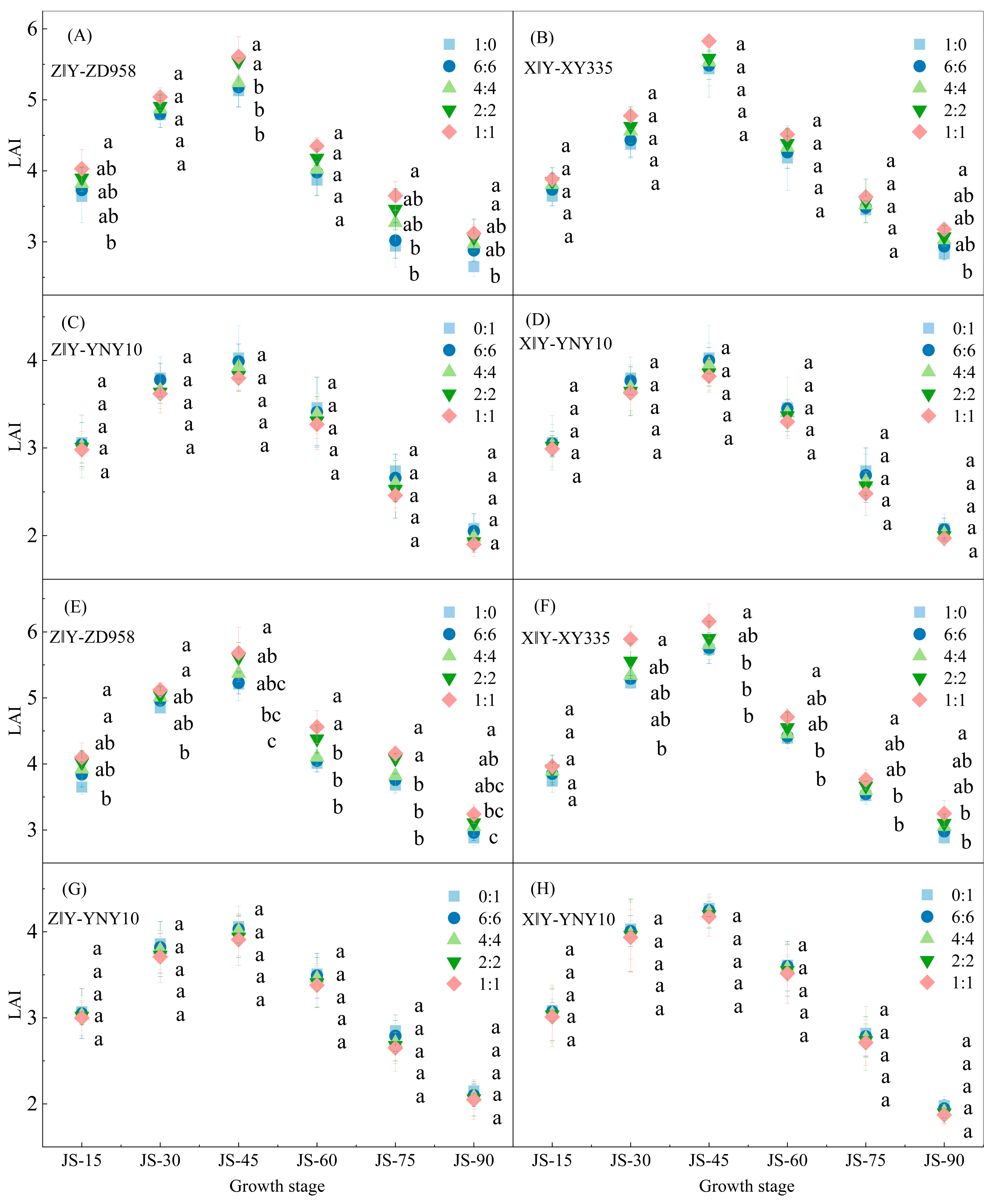
2.3.1. Leaf Area Index and Relative Chlorophyll Content
2.3.2. Photosynthetic Parameters
2.3.3. Accumulation and Distribution of Dry Matter
2.3.4. Yield and Yield Composition Factors
2.3.5. Calculation of Other Relevant Indicators
2.4. Data Statistics and Analysis
3. Results
3.1. LAI and SPAD Values
3.2. Photosynthesis Parameters
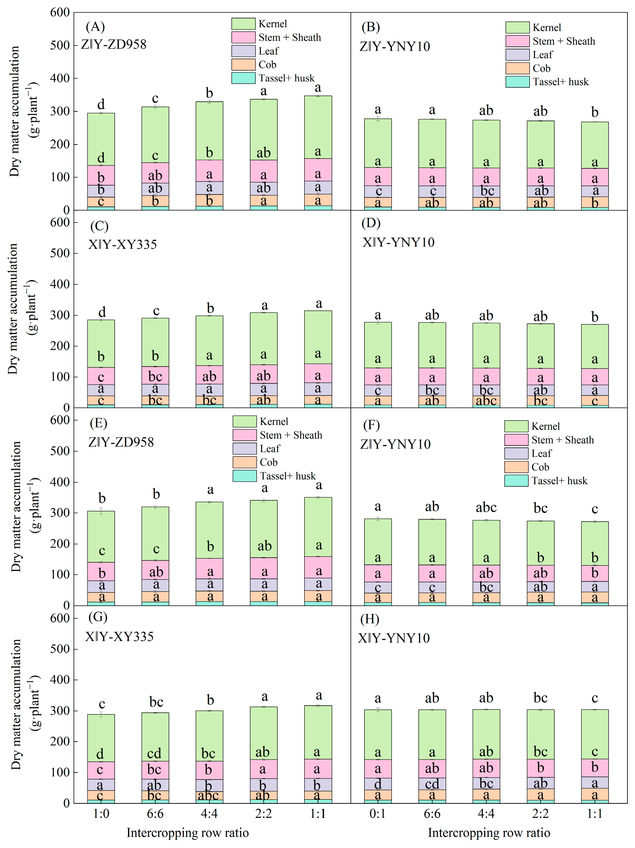
3.3. Accumulation of Dry Matter in Different Organs
3.4. Transportation of Dry Matter and Its Contribution Rate to Grain Yield
3.5. Grain Yield and Yield Components
3.6. Average Grain Yield of Composite Population During Harvest Season
3.7. Land Equivalent Ratio (LER), Aggressivity (A), and Competition Ratio (CR)
4. Discussion
4.1. Effect of Intercropping Row Ratio on the Photosynthetic Characteristics of Maize Under Different Intercropping Patterns of Long- and Short-Season Maize Varieties
4.2. Effect of Intercropping Row Ratio on Dry Matter Accumulation and Distribution in Intercropping Patterns of Long- and Short-Season Maize Varieties
4.3. Effect of Intercropping Row Ratio on Maize Yield and Competition Index Under Different Intercropping Modes of Long- and Short-Season Maize Varieties
5. Conclusions
Author Contributions
Funding
Data Availability Statement
Acknowledgments
Conflicts of Interest
Abbreviations
| DMT | dry matter transport capacity |
| DMTE | dry matter transport rate |
| DMTP | contribution rate of transferred dry matter to grains |
| LER | land equivalent ratio |
| LAI | leaf area index |
| SPAD | relative leaf chlorophyll content |
| Pn | photosynthetic rate |
| Gs | stomatal conductance |
| Tr | transpiration rate |
| Ci | intercellular CO2 concentration |
| LSV | long-season variety |
| SSV | short-season variety |
| CR | competitive ratio |
References
- Agnolucci, P.; Rapti, C.; Alexander, P.; De Lipsis, V.; Holland, R.A.; Eigenbrod, F.; Ekins, P. Impacts of rising temperatures and farm management practices on global yields of 18 crops. Nat. Food 2020, 1, 562–571. [Google Scholar] [CrossRef] [PubMed]
- Tilman, D.; Balzer, C.; Hill, J.; Befort, B.L. Global food demand and the sustainable intensification of agriculture. Proc. Natl. Acad. Sci. USA 2011, 108, 20260–20264. [Google Scholar] [CrossRef] [PubMed]
- Food and Agriculture Organization of the United Nations. Permanent Missions to the United Nations; United Nations: Geneva, Switzerland, 2023. [Google Scholar] [CrossRef]
- World Trade Organization. Questionnaire—General Administration of China Customs (“China Customs”); World Trade Organization: Geneva, Switzerland, 2023. [Google Scholar] [CrossRef]
- Gonzalo, R.; Monzón, J.P.; Tenorio, F.A.; Howard, R.; Cassman, K.G.; Grassini, P. Climate and agronomy, not genetics, underpin recent maize yield gains in favorable environments. Proc. Natl. Acad. Sci. USA 2022, 119, e2113629119. [Google Scholar] [CrossRef]
- Duvick, D.N. The contribution of breeding to yield advances in maize (Zea mays L.). Adv. Agron. 2005, 86, 83–145. [Google Scholar] [CrossRef]
- Wang, R.N.; Sun, Z.H.; Bai, W.; Wang, E.L.; Wang, Q.; Zhang, D.S.; Zhang, Y.; Yang, N.; Liu, Y.; Nie, J.Y.; et al. Canopy heterogeneity with border-row proportion affects light interception and use efficiency in maize/peanut strip intercropping. Field Crops Res. 2021, 271, 108239. [Google Scholar] [CrossRef]
- Yang, G.; Duan, A.W.; Sun, J.S.; Li, F.S.; Liu, Z.G.; Liu, H.; Liu, Z.D. Crop coefficient and water-use efficiency of winter wheat/spring maize strip intercropping. Field Crops Res. 2009, 111, 65–73. [Google Scholar] [CrossRef]
- Ma, L.S.; Li, Y.J.; Wu, P.T.; Zhao, X.N.; Gao, X.D.; Chen, X.L. Recovery growth and water use of intercropped maize following wheat harvest in wheat/maize relay strip intercropping. Field Crops Res. 2020, 256, 107924. [Google Scholar] [CrossRef]
- Li, Y.-H.; Shi, D.-Y.; Li, G.-H.; Zhao, B.; Zhang, J.-W.; Liu, P.; Ren, B.; Dong, S.-T. Maize/peanut intercropping increases photosynthetic characteristics, 13C-photosynthate distribution, and grain yield of summer maize. J. Integr. Agric. 2019, 18, 2219–2229. [Google Scholar] [CrossRef]
- Liu, X.; Rahman, T.; Song, C.; Yang, F.; Su, B.Y.; Cui, L.; Bu, W.Z.; Yang, W.Y. Relationships among light distribution, radiation use efficiency and land equivalent ratio in maize-soybean strip intercropping. Field Crops Res. 2018, 224, 91–101. [Google Scholar] [CrossRef]
- Nasar, J.; Shao, Z.Q.; Arshad, A.; Jones, F.G.; Liu, S.R.; Li, C.L.; Khan, M.Z.; Khan, T.; Banda, J.S.K.; Zhou, X.; et al. The effect of maize–alfalfa intercropping on the physiological characteristics, nitrogen uptake and yield of maize. Plant Biol. 2020, 22, 1140–1149. [Google Scholar] [CrossRef]
- Liu, X.; Rahman, T.; Yang, F.; Song, C.; Yong, T.W.; Liu, J.; Zhang, C.Y.; Yang, W.Y. PAR Interception and utilization in different maize and soybean lntercropping patterns. PLoS ONE 2017, 12, e0169218. [Google Scholar] [CrossRef]
- Jiao, N.Y.; Ning, T.Y.; Yang, M.K.; Fu, G.Z.; Yin, F.; Xu, G.W.; LI, Z.J. Effects of maize‖peanut intercropping on photosynthetic characters and yield forming of intercropped maize. Acta Ecol. Sin. 2013, 33, 4324–4330. [Google Scholar] [CrossRef]
- Li, M.J.; Zhang, J.E.; Liu, S.W.; Ashraf, U.; Zhao, B.L.; Qiu, S.Q. Mixed-cropping systems of different rice cultivars have grain yield and quality advantages over mono-cropping systems. J. Sci. Food Agric. 2019, 99, 3326–3334. [Google Scholar] [CrossRef] [PubMed]
- Cai, T.; Peng, D.L.; Wang, R.; Jia, X.L.; Qiao, D.; Liu, T.N.; Jia, Z.K.; Wang, Z.L.; Ren, X.L. Can intercropping or mixed cropping of two genotypes enhance wheat lodging resistance? Field Crops Res. 2019, 239, 10–18. [Google Scholar] [CrossRef]
- Wang, X.L.; Zhang, S.Q.; Wang, S.Q.; Wang, Z.L. The dynamic variation of maize (Sea mays L.) population growth characteristics under cultivars-intercropped on the Loess Plateau. Acta Ecol. Sin. 2012, 32, 7383–7390. [Google Scholar] [CrossRef][Green Version]
- Daellenbach, G.C.; Kerridge, P.C.; Wolfe, M.S.; Frossard, E.; Finckh, M.R. Plant productivity in cassava-based mixed cropping systems in Colombian hillside farms. Agric. Ecosyst. Environ. 2004, 105, 595–614. [Google Scholar] [CrossRef]
- Creissen, H.E.; Jorgensen, T.H.; Brown, J.K.M. Increased yield stability of field-grown winter barley (Hordeum vulgare L.) varietal mixtures through ecological processes. Crop Prot. 2016, 85, 1–8. [Google Scholar] [CrossRef]
- Huang, C.; Sun, Z.Y.; Wang, H.G.; Luo, Y.; Ma, Z.H. Effects of wheat cultivar mixtures on stripe rust: A Meta-Analysis on Field trials. Crop Prot. 2012, 33, 52–58. [Google Scholar] [CrossRef]
- Zhu, Y.Y.; Chen, H.; Fan, J.H.; Wang, Y.Y.; Li, Y.; Chen, J.B.; Fan, J.X.; Yang, S.S.; Hu, L.P.; Leung, H.; et al. Genetic diversity and disease control in rice. Nature 2000, 406, 718–722. [Google Scholar] [CrossRef]
- Wang, Y.Q.; Zhao, Z.G.; Li, J.P.; Zhang, M.; Zhou, S.L.; Wang, Z.M.; Zhang, Y.H. Does maize hybrid intercropping increase yield due to border effects? Field Crops Res. 2017, 214, 283–290. [Google Scholar] [CrossRef]
- Hu, D.D.; Li, R.F.; Zhang, J.W.; Zhao, B.; Liu, P.; Dong, S.T. Mixed cropping of different hybrids of maize optimizes canopy structure and promotes higher grain yield. Agron. J. 2019, 111, 2692–2702. [Google Scholar] [CrossRef]
- Liu, X.; Cao, K.H.; Li, M. Assessing the impact of meteorological and agricultural drought on maize yields to optimize irrigation in Heilongjiang Province, China. J. Clean. Prod. 2023, 434, 139897. [Google Scholar] [CrossRef]
- Chu, Z.D.; Ming, B.; Li, L.L.; Xue, J.; Zhang, W.X.; Hou, L.Y.; Xie, R.Z.; Hou, P.; Wang, K.R.; Li, S.K. Dynamics of maize grain drying in the high latitude region of Northeast China. J. Integr. Agric. 2022, 2, 365–374. [Google Scholar] [CrossRef]
- Ming, B.; Xie, R.Z.; Hou, P.; Li, L.L.; Wang, K.R.; Li, S.K. Changes of maize planting density in China. Sci. Agric. Sin. 2017, 50, 1960–1972. [Google Scholar] [CrossRef]
- Piao, L.; Zhang, S.Y.; Yan, J.Y.; Xiang, T.X.; Chen, Y.; Li, M.; Gu, W.R. Contribution of fertilizer, density and row spacing practices for maize yield and efficiency enhancement in Northeast China. Plants 2022, 11, 2985. [Google Scholar] [CrossRef] [PubMed]
- Piao, L.; Qi, H.Y.; Li, C.F.; Zhao, M. Optimized tillage practices and row spacing to improve grain yield and matter transport efficiency in intensive spring maize. Field Crops Res. 2016, 198, 258–268. [Google Scholar] [CrossRef]
- Qian, X.; Zang, H.D.; Xu, H.S.; Hu, Y.G.; Ren, C.Z.; Guo, L.C.; Wang, C.L.; Zeng, Z.H. Relay strip intercropping of oat with maize, sunflower and mung bean in semi-arid regions of Northeast· China: Yield advantages and economic benefits. Field Crops Res. 2018, 223, 33–40. [Google Scholar] [CrossRef]
- Vedeneeva, V.A.; Potashkina, Y.N. Influence of hydrothermal parameters on potato irrigation regime. Indian J. Agric. Res. 2023, 57, 618–623. [Google Scholar] [CrossRef]
- Abdelhamidg, M.T.; Horiuchi, T.; Oba, S. Evaluation of the SPAD value in faba bean (Vicia faba L.) leaves in relation to different fertilizer applications. Plant Prod. Sci. 2003, 6, 185–189. [Google Scholar] [CrossRef]
- Wang, F.; Guo, B.B.; Sun, Z.G.; YIin, F.; Liu, L.; Jiao, N.Y.; Fu, G.Z. Effects of elevated temperature and CO2 concentration on growth and yield of maize under intercropping with peanut. Acta Agron. Sin. 2021, 47, 2220–2231. [Google Scholar] [CrossRef]
- Wang, X.M.; Luo, W.H.; Liu, P.Z.; Zhang, Q.; Wang, R.; LI, J. Regulation effects of water saving and nitrogen reduction on dry matter and nitrogen accumulation, transportation and yield of summer maize. Sci. Agric. Sin. 2021, 54, 3183–3197. [Google Scholar] [CrossRef]
- Cox, M.C.; Qualset, C.O.; Rains, D.W. Genetic variation for nitrogen assimilation and translocation in wheat. III. nitrogen translocation in relation to grain yield and protein1. Crop Sci. 1986, 26, 737–740. [Google Scholar] [CrossRef]
- LI, C.H.; Su, X.H.; Sun, D.L. Ecophysiological effects of intercropping composite populations of corn with different genotypes. Acta Ecol. Sin. 2002, 12, 2096–2103. [Google Scholar]
- Agegnehu, G.; Ghizaw, A.; Sinebo, W. Yield performance and land-use efficiency of barley and faba bean mixed cropping in Ethiopian highlands. Eur. J. Agron. 2006, 25, 202–207. [Google Scholar] [CrossRef]
- Dhima, K.; Lithourgidis, A.; Vasilakoglou, I.; Dordas, C. Competition indices of common vetch and cereal intercrops in two seeding ratio. Field Crops Res. 2007, 100, 249–256. [Google Scholar] [CrossRef]
- Assefa, Y.; Vara Prasad, P.V.; Carter, P.; Hinds, M.; Bhalla, G.; Schon, R.; Jeschke, M.; Paszkiewicz, S.; Ciampitti, I.A. Yield responses to planting density for US modern corn hybrids: A synthesis-analysis. Crop Sci. 2016, 56, 2802–2817. [Google Scholar] [CrossRef]
- Li, R.; Zhang, G.Q.; Liu, G.Z.; Wang, K.R.; Xie, R.Z.; Hou, P.; Ming, B.; Wang, Z.G.; Li, S.K. Improving the yield potential in maize by constructing the ideal plant type and optimizing the maize canopy structure. Food Energy Secur. 2021, 10, e312. [Google Scholar] [CrossRef]
- Antonietta, M.; Fanello, D.D.; Acciaresi, H.A.; Guiamet, J.J. Senescence and yield responses to plant density in stay green and earlier-senescing maize hybrids from Argentina. Field Crops Res. 2014, 155, 111–119. [Google Scholar] [CrossRef]
- Abeledo, L.G.; Savin, R.; Slafer, G.A. Maize senescence under contrasting source-sink ratios during the grain filling period. Environ. Exp. Bot. 2020, 180, 104263. [Google Scholar] [CrossRef]
- Zhang, C.Y.; Ding, X.P.; Zhang, J.W.; Liu, P.; Ren, B.C.; Zhao, B. Effects of staggered planting with Increased density on the photosynthetic characteristics and yield of summer maize. Sci. Agric. Sin. 2020, 53, 3928–3941. [Google Scholar] [CrossRef]
- Zhang, L.; van der Werf, W.; Bastiaans, L.; Zhang, S.; Li, B.; Spiertz, J.H.J. Light interception and utilization in relay intercrops of wheat and cotton. Field Crops Res. 2008, 107, 29–42. [Google Scholar] [CrossRef]
- Raza, M.A.; Feng, L.Y.; Van der Werf, W.; Cai, G.R.; Bin Khalid, M.H.; Iqbal, N.; Hassan, M.J.; Meraj, T.A.; Naeem, M.; Khan, I.; et al. Narrow-wide-row planting pattern increases the radiation use efficiency and seed yield of intercrop species in relay-intercropping system. Food Energy Secur. 2019, 8, e170. [Google Scholar] [CrossRef]
- Liu, H.T.; Chen, S.H.; Li, B.G.; Guo, S.; Tian, J.; Yao, L.; Lin, C.W. The effect of strip orientation and width on radiation interception in maize–soybean strip intercropping systems. Food Energy Secur. 2022, 11, e364. [Google Scholar] [CrossRef]
- Wang, R.N.; Sun, Z.X.; Zhang, L.Z.; Yang, N.; Feng, L.S.; Bai, W.; Zhang, D.S.; Wang, Q.; Evers, J.B.; Liu, Y.; et al. Border-row proportion determines strength of interspecific interactions and crop yields in maize/peanut strip intercropping. Field Crops Res. 2020, 253, 107819. [Google Scholar] [CrossRef]
- Zheng, H.Y.; Wang, J.Y.; Cui, Y.; Guan, Z.Y.; Yang, L.; Tang, Q.Q.; Sun, Y.; Yang, H.S.; Wen, X.Q.; Mei, N.; et al. Effects of row spacing and planting pattern on photosynthesis, chlorophyll fluorescence, and related enzyme activities of maize ear leaf in maize–soybean intercropping. Agronomy 2022, 12, 2503. [Google Scholar] [CrossRef]
- Yang, S.; Bai, W.; Cai, Q.; Du, G.J. Characteristics of light distribution in maizeǁalfalfa intercropping systems and their effects on plant traits and yield. Acta Agron. Sin. 2025, 51, 2514–2526. [Google Scholar] [CrossRef]
- Liu, X.; Rahman, T.; Song, C.; Su, B.Y.; Yang, F.; Yong, T.W.; Wu, Y.; Zhang, C.Y.; Yang, W.Y. Changes in light environment, morphology, growth and yield of soybean in maize-soybean intercropping systems. Field Crops Res. 2017, 200, 38–46. [Google Scholar] [CrossRef]
- Lu, J.T.; Dong, Q.Q.; Lan, G.H.; He, Z.C.; Zhou, D.Y.; Zhang, H.; Wang, X.G.; Liu, X.B.; Jiang, C.J.; Zhang, Z.; et al. Row ratio increasing improved light distribution, photosynthetic characteristics, and yield of peanut in the maize and peanut strip intercropping system. Front. Plant Sci. 2023, 14, 35580. [Google Scholar] [CrossRef]
- Gou, F.; van Ittersum, M.K.; Simon, E.; Leffelaar, P.A.; Van der Putten, P.E.L.; Zhang, L.Z.; van der Werf, W. Intercropping wheat and maize increases total radiation interception and wheat RUE but lowers maize RUE. Eur. J. Agron. 2016, 84, 125–139. [Google Scholar] [CrossRef]
- Zhou, B.Y.; Yue, Y.; Sun, X.F.; Wang, X.B.; Wang, Z.M.; Ma, W.; Zhao, M. Maize grain yield and dry matter production responses to variations in weather conditions. Agron. J. 2016, 108, 196–204. [Google Scholar] [CrossRef]
- Echarte, L.; Luque, S.; Andrade, F.H.; Sadras, V.O.; Cirilo, A.G.; Otegui, M.A.E.; Vega, C.R.C. Response of maize kernel number to plant density in Argentinean hybrids released between 1965 and 1993. Field Crops Res. 2000, 68, 108779. [Google Scholar] [CrossRef]
- Zhang, W.P.; Li, Z.X.; Gao, S.N.; Yang, H.; Xu, H.S.; Yang, X.; Fan, H.X.; Su, Y.; Surigaoge; Weiner, J.; et al. Resistance vs. surrender: Different responses of functional traits of soybean and peanut to intercropping with maize. Field Crops Res. 2023, 291, 108779. [Google Scholar] [CrossRef]
- Prasad, R.B.; Brook, R.M. Effect of varying maize densities on intercropped maize and soybean in Nepal. Exp. Agric. 2005, 41, 365–382. [Google Scholar] [CrossRef]
- Liu, T.X.; Li, C.H.; Fu, J.; Yan, C.H. Population quality of different Maize (Zea mays L.) genotypes intercropped. Acta Ecol. Sin. 2009, 29, 6302–6309. [Google Scholar] [CrossRef]
- Gao, H.X.; Zhang, C.C.; Van der Werf, W.; Ning, P.; Zhang, Z.; Wan, S.B.; Zhang, F.S. Intercropping modulates the accumulation and translocation of dry matter and nitrogen in maize and peanut. Field Crops Res. 2022, 284, 108561. [Google Scholar] [CrossRef]
- Onoda, Y.; Saluñga, J.B.; Akutsu, K.; Aiba, S.I.; Yahara, T.; Anten, N.P.R. Trade-off between light interception efficiency and light use efficiency: Implications for species coexistence in one-sided light competition. J. Ecol. 2013, 102, 167–175. [Google Scholar] [CrossRef]
- Ma, L.S.; Li, Y.J.; Wu, P.T.; Zhao, X.N.; Chen, X.L.; Gao, X.D. Effects of varied water regimes on root development and its relations with soil water under wheat/maize intercropping system. Plant Soil 2018, 439, 113–130. [Google Scholar] [CrossRef]
- Dong, Q.Q.; Zhao, X.H.; Sun, Y.X.; Zhou, D.Y.; Lan, G.H.; Pu, J.Y.; Chen, F.; Zhang, H.; Shi, X.L.; Liu, X.B.; et al. Border row effects improved the spatial distributions of maize and peanut roots in an intercropping system, associated with improved yield. Front. Plant Sci. 2024, 15, 1414844. [Google Scholar] [CrossRef]
- Wei, W.; Liu, T.; Zhang, S.; Shen, L.; Wang, X.; Li, L.; Zhu, Y.; Zhang, W. Root spatial distribution and belowground competition in an apple/ryegrass agroforestry system. Agric. Syst. 2024, 215, 103869. [Google Scholar] [CrossRef]
- Yu, R.P.; Yang, H.; Xing, Y.; Zhang, W.P.; Lambers, H.; Li, L. Belowground processes and sustainability in agroecosystems with intercropping. Plant Soil 2022, 476, 263–288. [Google Scholar] [CrossRef]
- Feng, L.Y.; Raza, M.A.; Shi, J.Y.; Ansar, M.; Titriku, J.K.; Meraj, T.A.; Shah, G.A.; Ahmed, Z.; Saleem, A.; Liu, W.G.; et al. Delayed maize leaf senescence increases the land equivalent ratio of maize soybean relay intercropping system. Eur. J. Agron. 2020, 118, 126092. [Google Scholar] [CrossRef]
- Li, Y.Z.; Tian, D.; Feng, G.; Yang, W.; Feng, L.P. Climate change and cover crop effects on water use efficiency of a corn-soybean rotation system. Agric. Water Manag. 2021, 255, 107042. [Google Scholar] [CrossRef]
- Tesfaye, S.S.; Ayalew, T.; Gobena, R.A.; Mohammed, B.H. Intercropping and Rhizobium Inoculation Affected Microclimate and Performance of Common Bean (Phaseolus vulgaris L.) Varieties. Scientifica 2022, 2022, 3471912. [Google Scholar] [CrossRef]
- Gitari, H.I.; Karanja, N.N.; Gachene, C.K.; Kamau, S.; Sharma, K.; Schulte-Geldermann, E. Nitrogen and phosphorous uptake by potato (Solanum tuberosum L.) and their use efficiency under potato-legume intercropping systems. Field Crops Res. 2018, 222, 78–84. [Google Scholar] [CrossRef]
- Lithourgidis, A.S.; Vlachostergios, D.N.; Dordas, C.A.; Damalas, C.A. Dry matter yield, nitrogen content, and competition in pea-cereal intercropping systems. Eur. J. Agron. 2011, 34, 287–294. [Google Scholar] [CrossRef]
- Tan, Y.; Hu, F.L.; Chai, Q.; Li, G.; Coulter, J.A.; Zhao, C.; Yu, A.Z.; Fan, Z.L.; Yin, W. Expanding row ratio with lowered nitrogen fertilization improves system productivity of maize/pea strip intercropping. Eur. J. Agron. 2020, 113, 125986. [Google Scholar] [CrossRef]
- Xu, Z.; Li, C.; Zhang, C.; Yu, Y.; van der Werf, W.; Zhang, F. Intercropping maize and soybean increases efficiency of land and fertilizer nitrogen use; A meta-analysis. Field Crops Res. 2020, 246, 107661. [Google Scholar] [CrossRef]
- Ma, H.; Yu, X.; Yu, Q.; Wu, H.; Zhang, H.; Pang, J.; Gao, Y. Maize/alfalfa intercropping enhances yield and phosphorus acquisition. Field Crops Res. 2023, 303, 109136. [Google Scholar] [CrossRef]
- Hu, F.; Gan, Y.; Chai, Q.; Feng, F.; Zhao, C.; Yu, A.; Mu, Y.; Zhang, Y. Boosting system productivity through the improved coordination of interspecific competition in maize/pea strip intercropping. Field Crops Res. 2016, 198, 50–60. [Google Scholar] [CrossRef]
- Coll, L.; Cerrudo, A.; Rizzalli, R.; Monzon, J.P.; Andrade, F.H. Capture and use of water and radiation in summer intercrops in the south-east Pampas of Argentina. Field Crops Res. 2012, 134, 105–113. [Google Scholar] [CrossRef]
- Yang, H.; Zhou, Y.; Chen, P.; Du, Q.; Zhang, B.C.; Pu, T.; Wen, J.; Yang, W.Y.; Yong, T.W. Effects of nutrient uptake and utilization on yield of maize-legume strip intercropping system. Acta Agron. Sin. 2022, 48, 1476–1487. [Google Scholar] [CrossRef]
- Li, C.J.; Hoffland, E.; Kuyper, T.W.; Yu, Y.; Zhang, C.C.; Li, H.G.; Zhang, F.S.; van der Werf, W. Syndromes of production in intercropping impact yield gains. Nat. Plants 2020, 6, 653–660. [Google Scholar] [CrossRef]
- Wei, S.S.; Wang, X.Y.; Shi, D.Y.; Li, Y.H.; Zhang, J.W.; Liu, P.; Zhao, B.; Dong, S.T. The mechanisms of low nitrogen induced weakened photosynthesis in summer maize (Zea mays L.) under field conditions. Plant Physiol. Biochem. 2016, 105, 118–128. [Google Scholar] [CrossRef] [PubMed]
- Li, Y.J.; Ma, L.S.; Wu, P.; Zhao, X.N.; Li, C.X.; Gao, X.D. Yield, yield attributes and photosynthetic physiological characteristics of dryland wheat (Triticum aestivum L.)/maize (Zea mays L.) strip intercropping. Field Crops Res. 2019, 248, 107656. [Google Scholar] [CrossRef]
- Wu, Y.S.; He, D.; Wang, E.L.; Liu, X.; Huth, N.I.; Zhao, Z.G.; Gong, W.Z.; Yang, F.; Wang, X.C.; Yong, T.W.; et al. Modelling soybean and maize growth and grain yield in strip intercropping systems with different row configurations. Field Crops Res. 2021, 265, 108122. [Google Scholar] [CrossRef]
- Zhang, D.S.; Sun, Z.X.; Feng, L.S.; Bai, W.; Yang, N.; Zhang, Z.; Du, G.J.; Chen, F.; Cai, Q.; Wang, Q.; et al. Maize plant density affects yield, growth and source-sink relationship of crops in maize/peanut intercropping. Field Crops Res. 2020, 257, 107926. [Google Scholar] [CrossRef]












| Varieties | Growing Period (d) | Effective Accumulated Temperature Demand (°C) | Number of Leaves per Plant | Grain Types | Plant Height (cm) |
|---|---|---|---|---|---|
| Zhengdan 958 ZD958 | 128 | 2750 | 22 | semi-dental type | 264 |
| Xianyu 335 XY335 | 127 | 2650 | 20 | semi-hard grain type | 283 |
| Yinongyu 10 YNY10 | 120 | 2500 | 18 | semi-dental type | 271 |
| Serial Number | Treatment Code | Description of Each Treatment Method |
|---|---|---|
| 1 | Z‖Y-(1:0) | ZD958 planted alone |
| 2 | Z‖Y-(0:1) | YNY10 planted alone |
| 3 | X‖Y-(1:0) | XY335 planted alone |
| 4 | X‖Y-(0:1) | YNY10 planted alone |
| 5 | Z‖Y-(6:6) | Intercropping of 6 rows of ZD958 and 6 rows of YNY10 |
| 6 | Z‖Y-(4:4) | Intercropping of 4 rows of ZD958 and 4 rows of YNY10 |
| 7 | Z‖Y-(2:2) | Intercropping of 2 rows of ZD958 and 2 rows of YNY10 |
| 8 | Z‖Y-(1:1) | Intercropping of 1 rows of ZD958 and 1 rows of YNY10 |
| 9 | X‖Y-(6:6) | Intercropping of 6 rows of XY335 and 6 rows of YNY10 |
| 10 | X‖Y-(4:4) | Intercropping of 4 rows of XY335 and 4 rows of YNY10 |
| 11 | X‖Y-(2:2) | Intercropping of 2 rows of XY335 and 2 rows of YNY10 |
| 12 | X‖Y-(1:1) | Intercropping of 1 rows of XY335 and 1 rows of YNY10 |
| Year | Varieties Combination | Intercropping Row Ratio | Pn (μmol·m−2·s−1) | Gs (mmol·m−2·s−1) | Ci (μmol·mol−1) | Tr (mmol·m−2·s−1) | ||||
|---|---|---|---|---|---|---|---|---|---|---|
| LSV | SSV | LSV | SSV | LSV | SSV | LSV | SSV | |||
| 2023 | Z‖Y | 1:0 | 30.74 ± 1.00 c | — | 0.42 ± 0.03 c | — | 196.33 ± 11.06 a | — | 4.47 ± 0.53 c | — |
| 6:6 | 31.31 ± 0.64 bc | 25.06 ± 0.71 a | 0.46 ± 0.03 c | 0.24 ± 0.03 ab | 185.00 ± 6.08 ab | 254.27 ± 4.41 b | 4.84 ± 0.43 bc | 2.51 ± 0.39 a | ||
| 4:4 | 32.12 ± 0.67 abc | 24.84 ± 0.68 a | 0.52 ± 0.04 b | 0.20 ± 0.03 ab | 179.67 ± 12.01 ab | 258.77 ± 4.78 ab | 5.25 ± 0.13 bc | 2.45 ± 0.11 a | ||
| 2:2 | 32.34 ± 0.76 ab | 24.45 ± 0.53 a | 0.54 ± 0.02 ab | 0.18 ± 0.03 bc | 169.67 ± 12.58 b | 266.73 ± 11.47 ab | 5.58 ± 0.57 ab | 2.42 ± 0.04 a | ||
| 1:1 | 33.54 ± 0.70 a | 24.27 ± 0.73 a | 0.59 ± 0.03 a | 0.13 ± 0.04 c | 167.60 ± 3.83 b | 270.80 ± 6.88 a | 6.07 ± 0.25 a | 2.39 ± 0.22 a | ||
| 0:1 | — | 25.57 ± 0.79 a | — | 0.25 ± 0.05 a | — | 253.47 ± 4.11 b | — | 2.78 ± 0.20 a | ||
| X‖Y | 1:0 | 27.65 ± 0.94 b | — | 0.28 ± 0.02 b | — | 238.17 ± 9.67 a | — | 3.10 ± 0.20 b | — | |
| 6:6 | 28.19 ± 0.98 ab | 25.17 ± 0.92 a | 0.30 ± 0.04 b | 0.22 ± 0.05 ab | 234.23 ± 14.52 ab | 259.20 ± 1.51 a | 3.57 ± 0.26 ab | 2.64 ± 0.27 a | ||
| 4:4 | 28.55 ± 0.42 ab | 24.87 ± 0.68 a | 0.32 ± 0.03 ab | 0.19 ± 0.03 ab | 228.70 ± 12.77 ab | 264.27 ± 5.08 a | 3.68 ± 0.38 ab | 2.58 ± 0.03 a | ||
| 2:2 | 29.27 ± 0.98 ab | 24.66 ± 1.14 a | 0.35 ± 0.03 ab | 0.17 ± 0.03 b | 225.53 ± 6.33 ab | 267.40 ± 3.29 a | 3.71 ± 0.48 ab | 2.52 ± 0.10 a | ||
| 1:1 | 29.64 ± 1.11 a | 24.32 ± 0.40 a | 0.38 ± 0.05 a | 0.16 ± 0.03 b | 213.87 ± 7.51 b | 268.63 ± 17.67 a | 3.82 ± 0.34 a | 2.47 ± 0.19 a | ||
| 0:1 | — | 25.57 ± 0.79 a | — | 0.25 ± 0.05 a | — | 253.47 ± 4.11 a | — | 2.78 ± 0.20 a | ||
| 2024 | Z‖Y | 1:0 | 31.07 ± 1.36 b | — | 0.43 ± 0.03 c | — | 220.57 ± 12.17 a | — | 4.68 ± 0.33 c | — |
| 6:6 | 31.75 ± 0.39 b | 26.38 ± 0.82 a | 0.50 ± 0.02 b | 0.27 ± 0.03 a | 208.74 ± 7.96 ab | 268.57 ± 13.11 ab | 5.32 ± 0.09 b | 2.87 ± 0.03 ab | ||
| 4:4 | 32.89 ± 1.08 ab | 25.43 ± 0.73 a | 0.54 ± 0.04 b | 0.24 ± 0.04 a | 195.81 ± 4.98 bc | 274.38 ± 5.53 ab | 5.64 ± 0.41 ab | 2.62 ± 0.17 abc | ||
| 2:2 | 33.44 ± 1.62 ab | 25.19 ± 0.84 a | 0.56 ± 0.05 ab | 0.22 ± 0.04 a | 190.88 ± 10.58 c | 282.82 ± 6.36 ab | 5.79 ± 0.23 ab | 2.56 ± 0.21 bc | ||
| 1:1 | 34.48 ± 1.27 a | 24.68 ± 0.90 b | 0.62 ± 0.02 a | 0.16 ± 0.03 b | 187.70 ± 3.91 c | 288.24 ± 11.01 a | 6.13 ± 0.41 a | 2.45 ± 0.18 c | ||
| 0:1 | — | 26.83 ± 1.54 a | — | 0.28 ± 0.03 a | — | 267.17 ± 12.75 b | — | 2.94 ± 0.27 a | ||
| X‖Y | 1:0 | 28.55 ± 0.87 c | — | 0.30 ± 0.03 c | — | 278.70 ± 10.73 a | — | 3.34 ± 0.17 b | — | |
| 6:6 | 28.75 ± 0.75 bc | 26.65 ± 1.07 a | 0.33 ± 0.04 bc | 0.25 ± 0.05 ab | 268.37 ± 1.94 ab | 271.19 ± 12.49 a | 3.71 ± 0.30 ab | 2.74 ± 0.20 a | ||
| 4:4 | 29.83 ± 0.80 abc | 25.72 ± 1.29 a | 0.36 ± 0.06 abc | 0.23 ± 0.03 ab | 256.43 ± 6.72 ab | 275.29 ± 7.95 a | 3.90 ± 0.16 ab | 2.70 ± 0.13 a | ||
| 2:2 | 30.54 ± 0.82 ab | 25.37 ± 0.76 a | 0.39 ± 0.02 ab | 0.21 ± 0.03 b | 253.64 ± 22.95 ab | 279.19 ± 10.13 a | 4.05 ± 0.27 ab | 2.64 ± 0.22 a | ||
| 1:1 | 30.75 ± 1.56 a | 24.79 ± 0.62 a | 0.41 ± 0.02 a | 0.19 ± 0.01 b | 248.06 ± 14.37 b | 283.52 ± 9.10 a | 4.27 ± 0.29 a | 2.57 ± 0.14 a | ||
| 0:1 | — | 26.83 ± 1.54 a | — | 0.28 ± 0.03 a | — | 267.17 ± 12.75 b | — | 2.94 ± 0.27 a | ||
| Significance (F-value) | ||||||||||
| Year (Y) | 11.60 ** | 14.61 ** | 10.01 ** | 13.84 ** | 95.12 ** | 34.85 ** | 9.85 ** | 8.33 ** | ||
| Varieties combination (V) | 156.35 ** | 0.28 | 390.52 ** | 0.00 | 385.38 ** | 0.03 | 365.26 ** | 1.35 | ||
| Intercropping row ratio (I) | 13.39 ** | 6.48 ** | 32.22 ** | 16.68 ** | 13.93 ** | 7.44 ** | 21.06 ** | 6.97 ** | ||
| (Y × V) | 0.37 | 0.04 | 0.26 | 0.05 | 4.58 * | 0.33 | 21.06 | 0.33 | ||
| (Y × I) | 0.27 | 0.58 | 0.18 | 0.10 | 0.42 | 0.05 | 0.04 | 0.23 | ||
| (V × I) | 0.47 | 0.03 | 2.28 | 0.95 | 0.29 | 0.33 | 2.08 | 0.23 | ||
| (Y × V × I) | 0.04 | 0.01 | 0.15 | 0.03 | 0.08 | 0.03 | 0.52 | 0.27 | ||
| Year | Varieties Combination | Intercropping Row Ratio | Pn (μmol·m−2·s−1) | Gs (mmol·m−2·s−1) | Ci (μmol·mol−1) | Tr (mmol·m−2·s−1) | ||||
|---|---|---|---|---|---|---|---|---|---|---|
| LSV | SSV | LSV | SSV | LSV | SSV | LSV | SSV | |||
| 2023 | Z‖Y | 1:0 | 24.75 ± 0.90 b | — | 0.28 ± 0.04 c | — | 237.77 ± 12.31 a | — | 3.63 ± 0.12 c | — |
| 6:6 | 25.47 ± 0.97 ab | 17.52 ± 0.36 a | 0.31 ± 0.00 b | 0.13 ± 0.03 a | 232.20 ± 11.95 ab | 300.27 ± 7.11 a | 3.95 ± 0.27 b | 2.23 ± 0.04 ab | ||
| 4:4 | 25.70 ± 0.85 ab | 17.44 ± 0.52 a | 0.36 ± 0.03 ab | 0.10 ± 0.03 ab | 228.13 ± 9.65 ab | 302.97 ± 13.74 a | 4.07 ± 0.11 ab | 2.19 ± 0.12 ab | ||
| 2:2 | 26.41 ± 0.67 a | 17.26 ± 0.76 a | 0.38 ± 0.04 ab | 0.08 ± 0.04 bc | 223.93 ± 6.47 ab | 304.57 ± 5.66 a | 4.17 ± 0.20 ab | 2.17 ± 0.09 ab | ||
| 1:1 | 26.68 ± 0.80 a | 16.87 ± 0.16 a | 0.40 ± 0.04 a | 0.05 ± 0.02 c | 219.13 ± 3.46 b | 312.47 ± 2.89 a | 4.39 ± 0.18 a | 2.06 ± 0.09 b | ||
| 0:1 | — | 17.68 ± 0.46 a | — | 0.14 ± 0.02 a | — | 298.47 ± 9.96 a | — | 2.27 ± 0.11 a | ||
| X‖Y | 1:0 | 20.45 ± 0.53 b | — | 0.17 ± 0.01 a | — | 286.60 ± 4.76 a | — | 2.47 ± 0.21 c | — | |
| 6:6 | 20.74 ± 0.73 b | 17.62 ± 0.26 a | 0.18 ± 0.01 a | 0.12 ± 0.01 ab | 285.33 ± 1.15 a | 299.47 ± 5.06 a | 2.50 ± 0.13 c | 2.20 ± 0.03 a | ||
| 4:4 | 21.05 ± 0.42 ab | 17.45 ± 0.20 a | 0.20 ± 0.02 ab | 0.11 ± 0.02 ab | 282.67 ± 1.14 ab | 300.83 ± 5.76 a | 2.55 ± 0.09 bc | 2.16 ± 0.16 a | ||
| 2:2 | 21.34 ± 0.41 ab | 17.34 ± 0.27 a | 0.24 ± 0.03 b | 0.09 ± 0.01 bc | 279.80 ± 3.36 ab | 310.25 ± 4.78 a | 2.75 ± 0.06 ab | 2.15 ± 0.09 a | ||
| 1:1 | 21.93 ± 0.42 a | 17.12 ± 0.24 a | 0.25 ± 0.04 b | 0.07 ± 0.02 c | 275.47 ± 7.50 b | 311.60 ± 11.61 a | 2.85 ± 0.08 a | 2.13 ± 0.11 a | ||
| 0:1 | — | 17.68 ± 0.46 a | — | 0.14 ± 0.02 a | — | 298.47 ± 9.96 a | — | 2.27 ± 0.11 a | ||
| 2024 | Z‖Y | 1:0 | 26.22 ± 0.72 b | — | 0.30 ± 0.02 c | — | 269.33 ± 14.98 a | — | 3.86 ± 0.31 b | — |
| 6:6 | 26.73 ± 0.18 ab | 18.93 ± 0.97 a | 0.34 ± 0.05 bc | 0.15 ± 0.01 ab | 260.83 ± 8.49 ab | 310.30 ± 12.05 ab | 3.94 ± 0.24 b | 2.62 ± 0.19 ab | ||
| 4:4 | 27.5 ± 0.75 ab | 18.67 ± 0.49 a | 0.38 ± 0.03 ab | 0.11 ± 0.03 abc | 258.43 ± 1.50 ab | 316.33 ± 3.21 ab | 4.11 ± 0.17 ab | 2.56 ± 0.35 ab | ||
| 2:2 | 28.35 ± 1.76 ab | 18.23 ± 1.15 a | 0.39 ± 0.04 ab | 0.09 ± 0.05 bc | 251.57 ± 3.19 b | 320.67 ± 10.80 a | 4.27 ± 0.34 ab | 2.32 ± 0.29 ab | ||
| 1:1 | 28.61 ± 1.66 a | 17.88 ± 0.66 a | 0.42 ± 0.04 a | 0.06 ± 0.03 c | 246.55 ± 9.90 b | 327.21 ± 13.14 a | 4.57 ± 0.25 a | 2.19 ± 0.18 b | ||
| 0:1 | — | 19.12 ± 0.40 a | — | 0.16 ± 0.03 a | — | 300.83 ± 8.32 b | — | 2.78 ± 0.23 a | ||
| X‖Y | 1:0 | 21.98 ± 0.95 b | — | 0.19 ± 0.04 a | — | 297.67 ± 11.59 a | — | 2.84 ± 0.11 b | — | |
| 6:6 | 22.59 ± 1.19 ab | 18.96 ± 0.96 a | 0.22 ± 0.02 ab | 0.14 ± 0.02 ab | 292.33 ± 5.30 ab | 304.80 ± 5.89 bc | 2.90 ± 0.18 b | 2.72 ± 0.12 ab | ||
| 4:4 | 22.79 ± 0.90 ab | 18.73 ± 0.95 a | 0.23 ± 0.04 abc | 0.13 ± 0.03 ab | 288.33 ± 8.96 ab | 312.67 ± 13.01 abc | 3.13 ± 0.10 ab | 2.63 ± 0.23 ab | ||
| 2:2 | 23.65 ± 0.53 ab | 18.44 ± 0.56 a | 0.26 ± 0.04 bc | 0.12 ± 0.03 ab | 283.00 ± 3.61 ab | 318.83 ± 1.61 ab | 3.17 ± 0.26 ab | 2.58 ± 0.23 ab | ||
| 1:1 | 24.39 ± 1.89 a | 18.25 ± 0.86 a | 0.29 ± 0.03 c | 0.10 ± 0.03 b | 281.53 ± 7.45 b | 322.19 ± 10.07 a | 3.26 ± 0.16 a | 2.35 ± 0.16 b | ||
| 0:1 | — | 19.12 ± 0.40 a | — | 0.16 ± 0.03 a | — | 300.83 ± 8.32 c | — | 2.78 ± 0.23 a | ||
| Significance (F-value) | ||||||||||
| Year (Y) | 53.41 ** | 58.73 ** | 8.72 ** | 8.80 ** | 76.38 ** | 17.84 ** | 29.48 ** | 65.14 ** | ||
| Varieties combination (V) | 330.68 ** | 0.47 | 245.29 ** | 1.97 | 432.47 ** | 0.60 | 624.1 ** | 1.52 | ||
| Intercropping row ratio (I) | 8.58 ** | 3.72 ** | 20.44 ** | 17.08 ** | 1.11 | 0.27 | 15.60 ** | 6.60 ** | ||
| (Y × V) | 0.35 | 0.02 | 0.31 | 0.88 | 30.35 ** | 0.37 | 0.17 | 1.71 | ||
| (Y × I) | 0.32 | 0.25 | 0.17 | 0.09 | 2.34 | 7.42 ** | 10.75 ** | 1.77 | ||
| (V × I) | 0.18 | 0.11 | 0.94 | 1.16 | 1.87 | 0.20 | 1.10 | 0.30 | ||
| (Y × V × I) | 0.06 | 0.01 | 0.02 | 0.08 | 3.94 ** | 0.08 | 0.49 | 0.23 | ||
| Year | Varieties Combination | Intercropping Row Ratio | DMT (kg·ha−1) | DMTE (%) | DMTP (%) | |||
|---|---|---|---|---|---|---|---|---|
| LSV | SSV | LSV | SSV | LSV | SSV | |||
| 2023 | Z‖Y | 1:0 | 1500.77 ± 4.10 c | — | 17.23 ± 3.13 a | — | 12.57 ± 2.44 a | — |
| 6:6 | 1614.19 ± 1.50 c | 1033.82 ± 4.31 a | 17.73 ± 1.17 a | 13.27 ± 3.96 a | 12.72 ± 1.23 a | 9.34 ± 2.91 a | ||
| 4:4 | 1686.30 ± 3.35 bc | 899.27 ± 1.96 a | 17.71 ± 2.43 a | 11.89 ± 1.84 a | 12.74 ± 1.91 a | 8.22 ± 1.35 a | ||
| 2:2 | 2040.80 ± 5.20 ab | 838.33 ± 2.65 a | 20.34 ± 3.29 a | 11.31 ± 2.61 a | 14.72 ± 2.72 a | 7.80 ± 1.88 a | ||
| 1:1 | 2182.39 ± 2.04 a | 799.12 ± 2.56 a | 21.15 ± 1.24 a | 10.96 ± 2.45 a | 15.33 ± 0.87 a | 7.55 ± 1.83 a | ||
| 0:1 | — | 1046.79 ± 2.33 a | — | 13.37 ± 2.12 a | — | 9.43 ± 1.76 a | ||
| X‖Y | 1:0 | 1383.68 ± 3.46 b | — | 16.73 ± 2.87 a | — | 12.00 ± 2.26 a | — | |
| 6:6 | 1485.05 ± 3.15 ab | 1031.42 ± 2.44 a | 17.37 ± 2.36 a | 13.25 ± 2.11 a | 12.60 ± 2.03 a | 9.32 ± 1.61 a | ||
| 4:4 | 1552.82 ± 2.68 ab | 964.79 ± 4.93 a | 17.42 ± 2.05 a | 12.57 ± 4.61 a | 12.81 ± 1.67 a | 8.82 ± 3.45 a | ||
| 2:2 | 1709.81 ± 3.52 ab | 853.39 ± 3.23 a | 18.54 ± 2.56 a | 11.42 ± 2.95 a | 13.49 ± 2.05 a | 7.91 ± 2.22 a | ||
| 1:1 | 1821.73 ± 4.20 a | 715.09 ± 2.34 a | 19.17 ± 2.87 a | 9.88 ± 2.23 a | 14.13 ± 2.42 a | 6.69 ± 1.62 a | ||
| 0:1 | — | 1046.79 ± 2.33 a | — | 13.37 ± 2.12 a | — | 9.43 ± 1.76 a | ||
| 2024 | Z‖Y | 1:0 | 1589.65 ± 7.77 c | — | 17.51 ± 5.91 b | — | 12.80 ± 4.64 a | — |
| 6:6 | 1693.36 ± 4.68 bc | 1067.38 ± 3.22 a | 18.22 ± 3.61 b | 13.46 ± 2.86 a | 13.12 ± 2.89 a | 9.68 ± 2.22 a | ||
| 4:4 | 1792.72 ± 2.23 abc | 1008.21 ± 1.18 a | 18.31 ± 1.59 ab | 13.01 ± 1.03 a | 13.15 ± 1.09 a | 9.29 ± 0.93 a | ||
| 2:2 | 2044.07 ± 6.75 ab | 929.59 ± 3.22 a | 19.93 ± 4.42 ab | 12.32 ± 3.01 a | 14.69 ± 3.42 a | 8.70 ± 2.23 a | ||
| 1:1 | 2270.34 ± 2.03 a | 864.60 ± 2.44 a | 21.51 ± 1.13 a | 11.67 ± 2.38 a | 15.85 ± 0.93 a | 8.21 ± 1.83 a | ||
| 0:1 | — | 1086.72 ± 2.45 a | — | 13.59 ± 2.07 a | — | 9.81 ± 1.80 a | ||
| X‖Y | 1:0 | 1466.18 ± 1.47 c | — | 17.41 ± 1.21 a | — | 12.69 ± 0.70 a | — | |
| 6:6 | 1518.43 ± 1.52 bc | 1077.36 ± 2.47 a | 17.41 ± 1.00 a | 13.56 ± 2.20 a | 12.84 ± 0.92 a | 9.77 ± 1.73 a | ||
| 4:4 | 1617.32 ± 1.62 bc | 1013.82 ± 3.76 a | 18.00 ± 1.37 a | 12.94 ± 2.23 a | 13.17 ± 1.08 a | 9.32 ± 2.60 a | ||
| 2:2 | 1726.27 ± 1.83 ab | 991.58 ± 0.72 a | 18.42 ± 1.50 a | 12.92 ± 0.67 a | 13.43 ± 1.13 a | 9.26 ± 0.54 a | ||
| 1:1 | 1879.86 ± 2.72 a | 941.04 ± 1.24 a | 19.49 ± 2.05 a | 12.42 ± 1.04 a | 14.40 ± 1.70 a | 8.94 ± 0.87 a | ||
| 0:1 | — | 1086.72 ± 2.45 a | — | 13.59 ± 2.07 a | — | 9.81 ± 1.80 a | ||
| Significance (F-value) | ||||||||
| Year (Y) | 1.59 | 2.85 | 3.80 | 1.70 | 0.40 | 3.62 | ||
| Varieties combination (V) | 2.44 | 0.04 | 0.50 | 0.00 | 1.64 | 0.08 | ||
| Intercropping row ratio (I) | 14.11 ** | 3.62 * | 5.65 ** | 2.17 | 3.57 * | 2.38 | ||
| (Y × V) | 4.60 * | 0.22 | 6.21 * | 0.20 | 0.00 | 0.13 | ||
| (Y × I) | 0.13 | 0.18 | 0.16 | 0.21 | 0.03 | 0.23 | ||
| (V × I) | 1.31 | 0.02 | 0.88 | 0.02 | 0.35 | 0.04 | ||
| (Y × V × I) | 0.19 | 0.18 | 0.25 | 0.17 | 0.02 | 0.17 | ||
| Year | Varieties Combination | Intercropping Row Ratio | Effective Ears Number (Ears ha−1) | Kernels Number per Ear (Kernels Ear−1) | 100-Kernel Weigh (g) | Grain Yield (kg ha−1) | ||||
|---|---|---|---|---|---|---|---|---|---|---|
| LSV | SSV | LSV | SSV | LSV | SSV | LSV | SSV | |||
| 2023 | Z‖Y | 1:1 | 65,378.17 ± 440.37 a | — | 564.54 ± 7.69 b | — | 33.07 ± 1.14 d | — | 12,206.33 ± 480.09 d | — |
| 6:6 | 65,639.05 ± 643.45 a | 66,185.33 ± 607.58 a | 570.68 ± 8.55 ab | 582.07 ± 1.19 a | 34.75 ± 0.28 c | 29.83 ± 1.85 a | 13,017.50 ± 292.74 c | 11,492.06 ± 688.25 a | ||
| 4:4 | 65,800.97 ± 685.56 a | 66,086.34 ± 591.01 a | 571.64 ± 3.24 ab | 581.98 ± 2.64 a | 35.05 ± 0.14 c | 29.66 ± 1.51 a | 13,183.72 ± 134.46 bc | 11,411.28 ± 687.41 a | ||
| 2:2 | 65,959.70 ± 921.08 a | 65,804.77 ± 683.38 a | 572.60 ± 4.17 ab | 581.11 ± 3.17 a | 36.42 ± 0.34 b | 29.36 ± 1.50 a | 13,754.82 ± 217.77 b | 11,233.36 ± 749.01 a | ||
| 1:1 | 66,125.47 ± 737.12 a | 65,780.60 ± 500.81 a | 578.50 ± 7.14 a | 580.35 ± 4.30 a | 37.57 ± 0.25 a | 28.92 ± 0.59 a | 14,373.53 ± 374.97 a | 11,041.84 ± 334.46 a | ||
| 0:1 | — | 66,275.18 ± 509.29 a | — | 583.60 ± 2.49 a | — | 30.13 ± 1.05 a | — | 11,652.06 ± 270.27 a | ||
| X‖Y | 1:1 | 65,071.94 ± 256.55 a | — | 573.35 ± 4.66 b | — | 31.88 ± 0.94 c | — | 11,895.30 ± 468.46 c | — | |
| 6:6 | 65,267.70 ± 222.64 a | 65,602.72 ± 698.57 a | 578.74 ± 5.59 ab | 581.22 ± 3.62 a | 32.42 ± 0.42 c | 30.47 ± 1.62 a | 12,246.04 ± 199.46 c | 11,620.93 ± 707.61 a | ||
| 4:4 | 65,335.59 ± 327.36 a | 65,508.14 ± 483.44 a | 580.77 ± 5.27 ab | 580.81 ± 1.99 a | 32.98 ± 0.25 c | 30.04 ± 1.43 a | 12,514.36 ± 81.75 bc | 11,428.74 ± 524.47 a | ||
| 2:2 | 65,597.22 ± 461.33 a | 65,441.22 ± 534.14 a | 583.21 ± 6.61 ab | 579.97 ± 2.51 a | 34.22 ± 0.91 b | 29.33 ± 1.06 a | 13,095.46 ± 551.90 ab | 11,129.32 ± 355.38 a | ||
| 1:1 | 65,631.58 ± 601.30 a | 65,393.08 ± 623.99 a | 584.42 ± 5.50 a | 578.80 ± 2.22 a | 35.71 ± 0.18 a | 28.89 ± 0.39 a | 13,698.44 ± 312.25 a | 10,934.70 ± 176.96 a | ||
| 0:1 | — | 66,275.18 ± 509.29 a | — | 583.60 ± 2.49 a | — | 30.13 ± 1.05 a | — | 11,652.06 ± 270.27 a | ||
| 2024 | Z‖Y | 1:1 | 65,338.43 ± 683.90 a | — | 565.42 ± 5.17 b | — | 33.46 ± 0.36 d | — | 12,359.33 ± 142.06 d | — |
| 6:6 | 65,764.96 ± 734.49 a | 66,349.38 ± 506.50 a | 568.42 ± 5.23 ab | 583.42 ± 6.90 a | 35.45 ± 0.87 c | 29.92 ± 0.39 a | 13,251.99 ± 375.94 c | 11,581.95 ± 307.31 a | ||
| 4:4 | 65,842.92 ± 508.52 a | 66,287.63 ± 492.13 a | 569.42 ± 4.22 ab | 582.64 ± 4.04 a | 36.12 ± 0.57 bc | 29.65 ± 1.05 a | 13,541.54 ± 207.40 bc | 11,456.77 ± 561.22 a | ||
| 2:2 | 66,048.55 ± 458.39 a | 66,152.19 ± 402.39 a | 570.96 ± 6.74 ab | 581.49 ± 5.15 a | 36.77 ± 0.42 b | 29.35 ± 1.00 a | 13,865.80 ± 191.8 b | 11,288.08 ± 223.68 a | ||
| 1:1 | 66,448.17 ± 327.87 a | 66,123.22 ± 415.42 a | 576.55 ± 4.34 a | 580.76 ± 4.37 a | 38.24 ± 0.90 a | 28.96 ± 0.88 a | 14,652.84 ± 515.00 a | 11,119.68 ± 191.05 a | ||
| 0:1 | — | 66,389.42 ± 411.98 a | — | 584.33 ± 4.23 a | — | 30.26 ± 1.14 a | — | 11,736.72 ± 293.29 a | ||
| X‖Y | 1:1 | 65,384.63 ± 323.90 a | — | 572.64 ± 1.69 c | — | 32.35 ± 0.81 c | — | 12,111.48 ± 325.77 c | — | |
| 6:6 | 65,429.36 ± 386.24 a | 65,684.29 ± 494.97 a | 576.95 ± 3.93 bc | 583.85 ± 3.59 a | 33.34 ± 0.52 bc | 30.57 ± 1.09 a | 12,587.42 ± 337.24 bc | 11,728.92 ± 576.12 a | ||
| 4:4 | 65,580.23 ± 482.93 a | 65,498.06 ± 585.30 a | 577.16 ± 1.49 bc | 582.96 ± 4.58 a | 33.78 ± 1.41 bc | 30.46 ± 1.12 a | 12,782.44 ± 409.23 bc | 11,629.51 ± 404.69 a | ||
| 2:2 | 65,692.75 ± 531.89 a | 65,387.13 ± 675.78 a | 578.22 ± 3.07 b | 581.60 ± 5.18 a | 34.59 ± 0.70 b | 30.08 ± 0.38 a | 13,141.60 ± 440.39 b | 11,438.03 ± 62.29 a | ||
| 1:1 | 65,882.47 ± 585.47 a | 65,284.56 ± 766.51 a | 583.33 ± 2.91 a | 581.01 ± 4.93 a | 36.59 ± 0.76 a | 29.13 ± 1.04 a | 14,061.25 ± 359.47 a | 11,045.61 ± 313.78 a | ||
| 0:1 | — | 66,389.42 ± 411.98 a | — | 584.33 ± 4.23 a | — | 30.26 ± 1.14 a | — | 11,736.72 ± 293.29 a | ||
| Significance (F-value) | ||||||||||
| Year (Y) | 1.30 | 0.69 | 2.01 | 1.62 | 14.56 ** | 0.42 | 1.65 ** | 1.03 | ||
| Varieties combination (V) | 6.07 * | 12.04 ** | 35.60 ** | 0.13 | 51.34 ** | 1.28 | 17.70 ** | 0.08 | ||
| Intercropping row ratio (I) | 3.13 * | 2.92 * | 7.98 ** | 1.63 | 80.00 ** | 2.54 | 68.36 ** | 4.29 ** | ||
| (Y × V) | 0.14 | 0.64 | 2.14 * | 0.33 | 1.77 | 0.22 | 1.02 | 0.16 | ||
| (Y × I) | 0.06 | 0.00 | 0.20 | 0.04 | 0.24 | 0.03 | 0.10 | 0.02 | ||
| (V × I) | 0.20 | 0.77 | 0.11 | 0.13 | 0.83 | 0.20 | 0.72 | 0.12 | ||
| (Y × V × I) | 0.07 | 0.09 | 0.08 | 0.02 | 0.31 | 0.06 | 0.11 | 0.05 | ||
Disclaimer/Publisher’s Note: The statements, opinions and data contained in all publications are solely those of the individual author(s) and contributor(s) and not of MDPI and/or the editor(s). MDPI and/or the editor(s) disclaim responsibility for any injury to people or property resulting from any ideas, methods, instructions or products referred to in the content. |
© 2025 by the authors. Licensee MDPI, Basel, Switzerland. This article is an open access article distributed under the terms and conditions of the Creative Commons Attribution (CC BY) license (https://creativecommons.org/licenses/by/4.0/).
Share and Cite
Xiao, S.; Ming, L.; Zhang, Y.; Wang, Z.; Li, F.; Wang, T.; Zhang, C.; Yang, K.; Yu, S.; Li, M.; et al. Effects of Intercropping Long- and Short-Season Varieties on the Photosynthetic Characteristics and Yield Formation of Maize in High-Latitude Cold Regions. Agronomy 2025, 15, 2505. https://doi.org/10.3390/agronomy15112505
Xiao S, Ming L, Zhang Y, Wang Z, Li F, Wang T, Zhang C, Yang K, Yu S, Li M, et al. Effects of Intercropping Long- and Short-Season Varieties on the Photosynthetic Characteristics and Yield Formation of Maize in High-Latitude Cold Regions. Agronomy. 2025; 15(11):2505. https://doi.org/10.3390/agronomy15112505
Chicago/Turabian StyleXiao, Shanshan, Liwei Ming, Yifei Zhang, Zhongye Wang, Fengming Li, Tonghao Wang, Chunyu Zhang, Kejun Yang, Song Yu, Mukai Li, and et al. 2025. "Effects of Intercropping Long- and Short-Season Varieties on the Photosynthetic Characteristics and Yield Formation of Maize in High-Latitude Cold Regions" Agronomy 15, no. 11: 2505. https://doi.org/10.3390/agronomy15112505
APA StyleXiao, S., Ming, L., Zhang, Y., Wang, Z., Li, F., Wang, T., Zhang, C., Yang, K., Yu, S., Li, M., Yu, S., Hou, J., An, J., Guo, M., Tian, X., & Liu, J. (2025). Effects of Intercropping Long- and Short-Season Varieties on the Photosynthetic Characteristics and Yield Formation of Maize in High-Latitude Cold Regions. Agronomy, 15(11), 2505. https://doi.org/10.3390/agronomy15112505

