Due to scheduled maintenance work on our servers, there may be short service disruptions on this website between 11:00 and 12:00 CEST on March 28th.
Sign in to use this feature.

Years

Between: -

Subjects

remove_circle_outline
remove_circle_outline
remove_circle_outline
remove_circle_outline
remove_circle_outline
remove_circle_outline
remove_circle_outline
remove_circle_outline
remove_circle_outline

Journals

remove_circle_outline
remove_circle_outline
remove_circle_outline
remove_circle_outline
remove_circle_outline
remove_circle_outline
remove_circle_outline
remove_circle_outline
remove_circle_outline
remove_circle_outline
remove_circle_outline

Article Types

Countries / Regions

remove_circle_outline
remove_circle_outline
remove_circle_outline
remove_circle_outline
remove_circle_outline

Search Results (892)

Search Parameters:
Keywords = stem miner

Order results
Result details
Results per page
Select all
Export citation of selected articles as:
17 pages, 2074 KB  
Article
Distinct Roles of Plant Residues and Microbial Necromass in Soil Organic Carbon Accumulation and Stability in the Alhagi sparsifolia Community
by Mengfei Cong, Zhihao Zhang, Yang Hu, Akash Tariq, Jordi Sardans, Weiqi Wang, Xinping Dong, Guangxing Zhao, Jingming Yan, Josep Peñuelas and Fanjiang Zeng
Plants 2026, 15(7), 1030; https://doi.org/10.3390/plants15071030 - 27 Mar 2026
Abstract
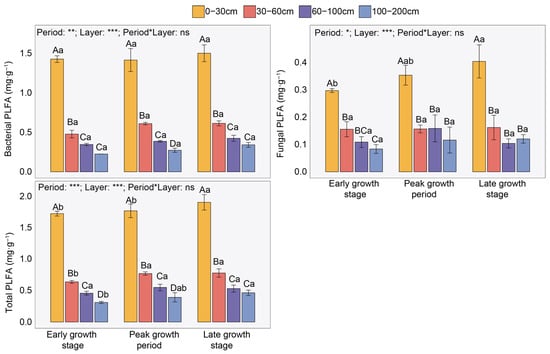
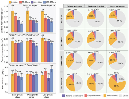
In desert ecosystems, deep-rooted plants like Alhagi sparsifolia contribute not only to wind prevention and sand fixation but also to the transport of carbon into deep soil layers through their root systems. However, the sources and stabilization mechanisms of soil organic carbon (SOC) [...] Read more.
In desert ecosystems, deep-rooted plants like Alhagi sparsifolia contribute not only to wind prevention and sand fixation but also to the transport of carbon into deep soil layers through their root systems. However, the sources and stabilization mechanisms of soil organic carbon (SOC) following plant carbon input remain unclear. This study investigated a dominant A. sparsifolia community at the southern edge of the Taklimakan Desert. We analyzed plant traits and the vertical distribution (0–200 cm) of SOC fractions—particulate organic carbon (POC), mineral-associated organic carbon (MAOC), and calcium/iron-bound organic carbon (Ca/Fe-OC)—along with carbon sources (microbial biomass, microbial necromass, and plant residue). As growth advanced, stem and root biomass increased, while leaf and thorn biomass remained stable. SOC and POC decreased by 5.38–29.43% with soil depth, whereas MAOC and Ca/Fe-OC increased by 32.34–48.15%. Plant residue contributed more to SOC (average 30.56%) than microbial necromass (8.28%), and both contributions increased by 9.60–167.68% with soil depth. No significant correlation was found between plant residue and SOC fractions, but a significant correlation with microbial necromass. In conclusion, although plant residues constitute the primary source of SOC in desert ecosystems, microbial necromassa exerts a stronger influence on SOC stability. Full article
(This article belongs to the Section Plant Ecology)
Show Figures

Figure 1

21 pages, 4886 KB  
Article
Differential Pathways of Distinct Organic Amendments in Ameliorating the Root Zone Environment of Saline-Alkali Farmland: A Case Study of Straw, Biochar, and Peat
by Jinqiu Li, Xiangjie Meng and Xin Chen
Agriculture 2026, 16(7), 730; https://doi.org/10.3390/agriculture16070730 - 26 Mar 2026
Abstract
Returning organic amendments to saline–alkali soils constitutes a key strategy for soil amelioration, as it enhances crop productivity by modulating the rhizosphere microenvironment. In this study, straw, biochar, and peat were selected as representative organic amendments, and a two-year field experiment—employing a rotational [...] Read more.
Returning organic amendments to saline–alkali soils constitutes a key strategy for soil amelioration, as it enhances crop productivity by modulating the rhizosphere microenvironment. In this study, straw, biochar, and peat were selected as representative organic amendments, and a two-year field experiment—employing a rotational cropping system of Sesbania and Triticale—was conducted to investigate their differential regulatory effects on rhizosphere properties and root development. Results demonstrated that all three amendments induced coordinated shifts in the rhizosphere “extract–microbiota–enzymes–nutrients” nexus, concomitant with significant stimulation of root growth. The hypothesized pathways through which different organic amendments improve the rhizosphere environment vary mechanistically: straw application appears to enhance alkaline phosphatase activity and enrich phosphorus-solubilizing microorganisms; it is hypothesized that this promotes root growth by facilitating the mineralization of organic phosphorus. In contrast, peat amendment induces the most pronounced increases in esterase content and sucrase activity, and its growth-promoting effect is likely attributable to accelerated carbon and phosphorus cycling. Biochar, meanwhile, is associated with elevated catalase activity, improved potassium retention, and enhanced organic carbon sequestration; its beneficial function is postulated to stem from mitigation of oxidative stress. Collectively, this study provides initial evidence that distinct organic amendments modulate rhizosphere processes via divergent biochemical and microbial mechanisms—offering a theoretical foundation for their rational selection and application in saline–alkali soil remediation. Full article
Show Figures

Figure 1

21 pages, 896 KB  
Article
Biotechnological Potential of Yucca decipiens Trel Based on Proximate Composition, Multi-Elemental Analysis, and Nursery Growth Performance
by Selena del Rocío Martínez-Betancourt, Jorge Cadena-Iñiguez, Laura Araceli López-Martínez, Janet María León Morales, Ramón Marcos Soto-Hernández, Gerardo Loera-Alvarado, Víctor Manuel Ruiz-Vera and Concepción López-Padilla
BioTech 2026, 15(2), 26; https://doi.org/10.3390/biotech15020026 (registering DOI) - 25 Mar 2026
Abstract
Yucca decipiens is a native species from arid and semi-arid regions with emerging nutritional and biotechnological potential. This study evaluated its proximate composition, elemental profile determined by inductively coupled plasma mass spectrometry (ICP-MS), and growth performance under nursery conditions. Proximate analysis revealed a [...] Read more.
Yucca decipiens is a native species from arid and semi-arid regions with emerging nutritional and biotechnological potential. This study evaluated its proximate composition, elemental profile determined by inductively coupled plasma mass spectrometry (ICP-MS), and growth performance under nursery conditions. Proximate analysis revealed a high dietary fiber content in leaves (58.93%) and higher carbohydrate levels in stems (28.83%). Free amino acid content was significantly higher in stems (2.75 g histidine equivalents kg−1) than in leaves (1.76 g kg−1). Multi-elemental profiling (63 elements) showed organ-specific accumulation patterns, with essential macro- and micronutrients predominantly concentrated in leaves, including potassium (28,334 ppm) and calcium (15,345 ppm), while iron was the most abundant trace element in stems (1253 ppm). Principal component analysis (PCA) revealed clear organ-specific mineral partitioning between leaves and stems, indicating differentiated physiological roles and potential selective biomass utilization. Growth assessment conducted over a two-year period demonstrated steady biomass accumulation and good adaptive performance under nursery conditions. Overall, the results highlight the emerging nutritional and agroindustrial relevance of Yucca decipiens for applications in semi-arid environments. Full article
(This article belongs to the Section Industry, Agriculture and Food Biotechnology)
Show Figures

Figure 1

12 pages, 247 KB  
Article
Effects of Green Light Deprivation and Red-to-Blue Ratio on Growth, Mineral Content, and Pigments in Salvia officinalis L. and Cannabis sativa L.
by Shaimaa Mousa Mohamed Hussein, Massimiliano D’Imperio, Vittorio Napolitano, Giuseppe di Cuia, Angela Boari, Angelo Parente and Francesco Serio
Plants 2026, 15(7), 1004; https://doi.org/10.3390/plants15071004 (registering DOI) - 25 Mar 2026
Abstract
Light spectral composition plays a central role in regulating plant growth, morphology, nutrient uptake, and pigment biosynthesis, particularly in controlled-environment agriculture. This study investigated the effects of targeted LED spectral modulation, focusing on green light deprivation and different red-to-blue (R:B) ratios at constant [...] Read more.
Light spectral composition plays a central role in regulating plant growth, morphology, nutrient uptake, and pigment biosynthesis, particularly in controlled-environment agriculture. This study investigated the effects of targeted LED spectral modulation, focusing on green light deprivation and different red-to-blue (R:B) ratios at constant photon flux density, on morphological traits, mineral composition, and photosynthetic pigments in Salvia officinalis L. and Cannabis sativa L. grown under controlled conditions. Plants were cultivated under three LED treatments providing equal light intensity but differing in spectral composition. Morphological parameters, mineral nutrients, inorganic anions, and photosynthetic pigments were assessed at harvest. Total biomass production was not significantly affected by the light treatments in either species; however, clear species-specific responses were observed. In S. officinalis, higher R:B ratios promoted stem elongation without affecting leaf number or fresh weight, whereas in C. sativa, the higher R:B ratio significantly increased leaf number. Green light deprivation and red–blue enrichment generally enhanced mineral accumulation and nitrogen content, although the magnitude and direction of these effects varied between species. Photosynthetic pigment responses were more pronounced in hemp, with increased chlorophylls and carotenoids under green light deprivation, while salvia showed a selective increase in carotenoids under higher R:B ratios. Overall, these findings emphasize the importance of species-specific LED spectral optimization to improve physiological performance and nutritional quality in indoor cultivation of medicinal plants. Full article
(This article belongs to the Section Plant Physiology and Metabolism)
24 pages, 636 KB  
Review
Impact of Quercetin on Bone-Related Diseases
by Paweł Polak, Magdalena Dragan, Antoni Wojciech Oniszczuk, Emilia Skurko, Kamila Kasprzak-Drozd, Przemysław Niziński, Anna Oniszczuk and Karolina Wojtunik-Kulesza
Appl. Sci. 2026, 16(7), 3151; https://doi.org/10.3390/app16073151 - 25 Mar 2026
Viewed by 83
Abstract
Quercetin (QE) is a widely distributed dietary flavonol with antioxidant and anti-inflammatory properties that has attracted interest as a modulator of bone remodeling and osteoporosis-related bone loss. In vitro data on osteoblasts, osteoclasts, and mesenchymal stem cells indicate that QE attenuates oxidative stress, [...] Read more.
Quercetin (QE) is a widely distributed dietary flavonol with antioxidant and anti-inflammatory properties that has attracted interest as a modulator of bone remodeling and osteoporosis-related bone loss. In vitro data on osteoblasts, osteoclasts, and mesenchymal stem cells indicate that QE attenuates oxidative stress, suppresses pro-inflammatory signaling, and promotes osteogenic differentiation through modulation of pathways such as Nrf2/ARE, NF-κB, Wnt/β-catenin, and ER stress-related cascades. In vivo findings from animal models of estrogen deficiency, diabetes, and glucocorticoid-induced osteoporosis demonstrate that QE improves bone mineral density, trabecular microarchitecture, and biomechanical strength while reducing osteoclast number and activity, thereby attenuating osteoporotic bone deterioration. Collectively, preclinical evidence positions QE as a pleiotropic agent promoting osteoblastogenesis, inhibiting osteoclastogenesis, and balancing redox/inflammatory homeostasis in bone, despite bioavailability challenges. Future research should prioritize clinical trials with optimized formulations (e.g., nanoparticles) to validate efficacy, safety, and fracture outcomes in humans. The present review critically evaluates the chemical characteristics, pharmacokinetics, safety profile, and bone-targeted biological activity of QE, emphasizing effects on bone cells and skeletal metabolism. Full article
(This article belongs to the Special Issue Innovations in Natural Products and Functional Foods)
Show Figures

Figure 1

19 pages, 3599 KB  
Article
Development of a Biomineralization-Enhanced Immobilization Remediation Technology for Pb-Contaminated Soil Based on Coupling Maifanite and Bacillus mucilaginosus
by Xiaochen Chen, Mingbao Zhu, Zejiao Li, Haochen Fang, Yining Chen, Zhengrong Chen, Qian Guan, Jianyu Zhang, Xuchuan Zhang, Kaiqin Xu, Chunshuang Zhou and Jia Niu
Agronomy 2026, 16(6), 641; https://doi.org/10.3390/agronomy16060641 - 18 Mar 2026
Viewed by 228
Abstract
Immobilized microorganism technology offers a promising approach for remediating heavy metal-contaminated soils. This study developed a novel bio-mineral composite (B-AM) by coupling acid-modified maifanite (AM) with Bacillus mucilaginosus to enhance lead (Pb) immobilization. Comparative experiments demonstrated that B-AM outperformed conventional amendments, including oyster [...] Read more.
Immobilized microorganism technology offers a promising approach for remediating heavy metal-contaminated soils. This study developed a novel bio-mineral composite (B-AM) by coupling acid-modified maifanite (AM) with Bacillus mucilaginosus to enhance lead (Pb) immobilization. Comparative experiments demonstrated that B-AM outperformed conventional amendments, including oyster shell, pristine maifanite, AM and B. mucilaginosus in Pb immobilization. The B-AM treatment optimized soil pH, improved soil fertility with increases in available potassium (1.06-fold) and available phosphorus (1.28-fold). Additionally, B-AM transformed Pb into more stable fractions, reducing labile Pb fractions by 52.52% while increasing the residual fraction by 88.36%. These improvements resulted in an 83.24% reduction in Pb accumulation and a 63.95% increase in the fresh root weight of radish. Mechanistic insights revealed that the enhanced remediation performance stems from both the individual contributions of AM (adsorption capacity) and B. mucilaginosus (biosorption and biomineralization) and their synergistic interaction. Specifically, AM acts as a carrier and pH buffer, promoting microbial proliferation and reducing Pb remobilization from cell lysis. The resulting sustained microbial activity further leads to the formation of stable Pb minerals. Collectively, our results establish a theoretical and practical basis for using B-AM to remediate Pb-contaminated soils. Full article
(This article belongs to the Special Issue Advances in Soil Remediation Techniques for Degraded Land)
Show Figures

Figure 1

25 pages, 5106 KB  
Article
Innovating Pedagogy and Experiential Learning in Geology Through the Recovery of a Historic University Geology Museum
by Eugenio Sanz Pérez, Ignacio Menéndez-Pidal, Juan Carlos Mosquera-Feijóo and Joaquín Sanz de Ojeda
Educ. Sci. 2026, 16(3), 460; https://doi.org/10.3390/educsci16030460 - 17 Mar 2026
Viewed by 240
Abstract
Universities are struggling in a continuously changing environment surrounded by both accelerated digitalization and increasingly influential Artificial Intelligence. However, experiential learning stemming from direct visualization still relies on traditional tools and supporting materials. This work presents how a historic geology museum can serve [...] Read more.
Universities are struggling in a continuously changing environment surrounded by both accelerated digitalization and increasingly influential Artificial Intelligence. However, experiential learning stemming from direct visualization still relies on traditional tools and supporting materials. This work presents how a historic geology museum can serve as a pedagogical innovation for Civil Engineering students despite the challenges universities face amid accelerating digitalization. The geological collections of the School of Civil Engineering at the Universidad Politécnica de Madrid, neglected for decades, have recently been restored and transformed into a dynamic university museum that now plays a significant role in both degree and MEng education. This museum preserves several Paleolithic collections assembled by its professors since the school’s establishment in 1802. Historical and museological research confirms that these holdings—2471 minerals, 4555 rocks, 2012 fossils, archeological materials, and a unique set of 1200 formatted stone samples from 19th- and early 20th-century Spanish quarries—constitute one of the oldest and most comprehensive geological collections preserved in a Spanish engineering institution. The museum’s revitalization is implying new research on several sub-collections, still in progress. In summary, the historical museum has been integrated into Civil Engineering teaching, supporting experiential and lifelong learning in geology and geotechnics. Furthermore, the museum serves as an innovative tool for teaching geology to secondary school students, promoting innovation in teaching practices and scientific dissemination, and encouraging interest in Earth sciences. Overall, the museum is becoming a valuable resource for innovative pedagogy to respond to the lifelong learning implications of STEM educational practices. Full article
Show Figures

Figure 1

16 pages, 5220 KB  
Article
Dual Inhibition of GSK3 and JAK by BIO Suppresses Osteoblast Differentiation and Mineralization of Human Mesenchymal Cells
by Nihal Almuraikhi, Latifa Alkhamees, Sumaiya Tareen and Manikandan Muthurangan
Curr. Issues Mol. Biol. 2026, 48(3), 316; https://doi.org/10.3390/cimb48030316 - 16 Mar 2026
Viewed by 156
Abstract
Glycogen synthase kinase-3 (GSK3) inhibition is a commonly used approach to promote osteogenic differentiation through activation of Wnt signaling. However, 6-bromoindirubin-3′-oxime (BIO), which is commonly used for GSK3 inhibition, also targets JAK/STAT, raising the possibility of dual pathway interference during osteoblast differentiation, as [...] Read more.
Glycogen synthase kinase-3 (GSK3) inhibition is a commonly used approach to promote osteogenic differentiation through activation of Wnt signaling. However, 6-bromoindirubin-3′-oxime (BIO), which is commonly used for GSK3 inhibition, also targets JAK/STAT, raising the possibility of dual pathway interference during osteoblast differentiation, as both GSK3 and JAK/STAT pathways are critical regulators of osteoblastogenesis. In this study, we investigated the effect of BIO on the osteoblast differentiation of hMSCs-TERT4. While BIO had no significant effect on cell viability or apoptosis, it markedly inhibited osteoblast differentiation, as evidenced by reduced ALP activity, decreased matrix mineralization, and downregulation of osteoblast-associated markers. Microarray analysis followed by qRT-PCR validation revealed downregulation of Wnt and TGF-β pathway genes. These findings show that BIO suppresses osteoblast commitment and osteogenic differentiation, accompanied by altered Wnt- and TGF-β-related gene expression. This study provides mechanistic insight into the off-target consequences of widely used small molecules and highlights the importance of dissecting pathway-specific roles in stem cell differentiation. Understanding the interplay between GSK3 and JAK signaling is essential for optimizing pharmacological strategies in skeletal regenerative medicine. This study highlights the importance of pathway selectivity when using small molecules in stem cell-based therapies for bone regeneration. Full article
Show Figures

Figure 1

17 pages, 2298 KB  
Article
Differential Response of Stro-1+ and Stro-1 Shed to Er,Cr:YSGG Laser Stimulation: Viability, Matrix Production and Lineage Commitment
by Zornitsa Mihaylova, Marina Miteva, Emilia Karova, Natalia Grancharova, Violeta Dogandzhiyska, Mirela Marinova-Takorova, Krasimir Hristov, Vanyo Mitev, Evgeniy Aleksiev, Dimitar Kosturkov, Nadezhda Mitova, Irina Tsenova-Ilieva and Nikolay Ishkitiev
J. Funct. Biomater. 2026, 17(3), 138; https://doi.org/10.3390/jfb17030138 - 10 Mar 2026
Viewed by 256
Abstract
Stem cell heterogeneity represents a critical yet underexplored variable in laser-assisted regenerative strategies. While photobiomodulation has been shown to influence mesenchymal stem cell (MSC) behavior, it remains unclear whether stem cell maturation status modulates responsiveness to Er,Cr:YSGG irradiation. This study investigated the differential [...] Read more.
Stem cell heterogeneity represents a critical yet underexplored variable in laser-assisted regenerative strategies. While photobiomodulation has been shown to influence mesenchymal stem cell (MSC) behavior, it remains unclear whether stem cell maturation status modulates responsiveness to Er,Cr:YSGG irradiation. This study investigated the differential response of magnetically separated STRO-1+ and STRO-1 SHED subpopulations to low-power Er,Cr:YSGG laser stimulation (0.10 W and 0.25 W), focusing on viability, extracellular matrix production, and lineage commitment. STRO-1+ cells comprised 13.4% ± 1.2% of the total Stem Cells from Human Exfoliated Deciduous teeth (SHED) population. Laser exposure did not impair metabolic activity in either subpopulation. Collagen synthesis demonstrated a power- and time-dependent increase, with maximal enhancement observed in STRO-1+ cells at 0.25 W after 7 days. Laser irradiation selectively promoted osteogenic differentiation, as evidenced by increased alkaline phosphatase (ALP) expression at 0.10 W and enhanced mineral deposition, while chondrogenic potential remained unaffected and adipogenesis was reduced following 0.10 W exposure. These findings suggest that ALP expression is temporally and power-dependently modulated during osteogenic progression. Overall, Er,Cr:YSGG photobiomodulation does not uniformly affect heterogeneous SHED populations but modulates lineage allocation and extracellular matrix deposition in a maturation- and power-dependent manner. Integrating stem cell subpopulation selection with laser-based bioactivation may represent a strategy to refine regenerative endodontic and biomaterial-guided therapies. Full article
(This article belongs to the Special Issue Biomechanical Studies and Biomaterials in Dentistry (2nd Edition))
Show Figures

Figure 1

15 pages, 9608 KB  
Article
Single-Atom Mn Anchored on Carbon-Modified C3N5 for Efficient Catalytic Ozonation of Organic Pollutants
by Gaochao Song, Zhou Yang, Jiangzixi Guo, Yang Yang and Yidong Hou
Catalysts 2026, 16(3), 247; https://doi.org/10.3390/catal16030247 - 6 Mar 2026
Viewed by 501
Abstract
Catalytic ozonation often suffers from a low ozone utilization rate and incomplete mineralization of organic pollutants. To address these challenges, we designed and prepared a novel catalyst via a one-step thermal polymerization method, anchoring single-atom manganese on a glucose-derived carbon network-modified C3 [...] Read more.
Catalytic ozonation often suffers from a low ozone utilization rate and incomplete mineralization of organic pollutants. To address these challenges, we designed and prepared a novel catalyst via a one-step thermal polymerization method, anchoring single-atom manganese on a glucose-derived carbon network-modified C3N5 framework (Mn/C-C3N5). Aberration-corrected high-angle annular dark-field scanning transmission electron microscopy (AC-HAADF-STEM) on an FEI Titan Themis Z microscope confirmed the atomic dispersion of Mn sites, while Raman spectroscopy using a Renishaw inVia Reflex laser micro-Raman spectrometer verified the successful incorporation of a graphitic carbon network within the C3N5 matrix. Moreover, electrochemical analyses, including electrochemical impedance spectroscopy (EIS) and cyclic voltammetry (CV) performed on a Bio-Logic SP-150 electrochemical workstation, demonstrated that the integration of the conductive carbon matrix substantially enhanced the interfacial charge transfer capability. The optimized Mn/C-C3N5 catalyst demonstrated exceptional performance in phenol mineralization, achieving a 97% total organic carbon (TOC) removal within 60 min, a remarkable improvement compared to pristine C3N5 (30%). Furthermore, the catalyst exhibited excellent operational stability, preserving more than 95% of its original activity over five repeated runs. Mechanistic investigations, including electron paramagnetic resonance (EPR) spectroscopy and radical quenching experiments, revealed that the Mn/C-C3N5 system accelerated the generation of multiple oxidizing radicals (•O2, 1O2, and •OH), with •OH identified as the predominant reactive species responsible for complete mineralization. This work establishes an integrated catalytic platform and provides fundamental insights into electronic structure modulation for designing advanced oxidation catalysts. Full article
Show Figures

Figure 1

13 pages, 2192 KB  
Article
The Role of Follistatin-like 1 in the Cross-Talk Among Osteoclastogenesis, Bone Marrow Stromal Cell Migration, and Osteoblastogenesis In Vitro
by Yongxu Piao, Xiangguo Che, Xian Jin, Dong-Kyo Lee, Min Park, Eun-Jung Heo, Jinyoung Oh, Seong-Gon Kim, Dae-Chul Cho, Hyun-Ju Kim and Je-Yong Choi
Biomedicines 2026, 14(3), 555; https://doi.org/10.3390/biomedicines14030555 - 28 Feb 2026
Viewed by 341
Abstract
Background: Bone remodeling depends on the dynamic balance between osteoclast-mediated bone resorption and osteoblast-mediated bone formation. Follistatin-like 1 (FSTL1) has been reported as an osteoclast-secreted protein that inhibits osteoclast differentiation, but its direct effects on osteoblast differentiation remain unclear. This study aimed [...] Read more.
Background: Bone remodeling depends on the dynamic balance between osteoclast-mediated bone resorption and osteoblast-mediated bone formation. Follistatin-like 1 (FSTL1) has been reported as an osteoclast-secreted protein that inhibits osteoclast differentiation, but its direct effects on osteoblast differentiation remain unclear. This study aimed to determine whether FSTL1 regulates osteoblast differentiation and mesenchymal stem cell migration and characterizes its role in osteoclast-osteoblast cellular cross-talk under in vitro conditions. Methods: Bone marrow-derived macrophages (BMMs) and stromal cells (BMSCs) from mice were used to induce osteoclast and osteoblast differentiation, respectively. Chemotaxis was assessed by Transwell migration, and osteoblast differentiation was evaluated in BMSC and MC3T3-E1 cells using staining, qRT-PCR, Western blotting, and proliferation assays. Results: FSTL1 significantly suppressed osteoclast differentiation and resorptive activity, confirmed by TRAP staining and pit assay, respectively. Expression of osteoclast markers such as NFATc1, TRAP, and DC-STAMP was reduced under FSTL1 treatment. In BMSCs, FSTL1 did not affect proliferation but significantly enhanced chemotaxis. Moreover, FSTL1 promoted osteogenic differentiation and mineralization, as demonstrated by increased ALP activity and Alizarin Red S staining. In MC3T3-E1 pre-osteoblasts, FSTL1 increased cell proliferation and mineralization by MTS and Alizarin Red staining. Key osteogenic markers, including Runx2 and osteocalcin, were also upregulated. Conclusions: Osteoclast-derived FSTL1 significantly suppresses osteoclastogenesis and promotes mesenchymal cell chemotaxis and osteogenic differentiation, indicating a role in regulating osteoclast–osteoblast cellular interactions in vitro. Targeting FSTL1 signaling may represent a promising therapeutic strategy for osteoporosis and other disorders of impaired bone remodeling. Full article
Show Figures

Figure 1

20 pages, 545 KB  
Article
Environmental Risks of Talc Mining
by Henrieta Pavolová, Mária Kaňuchová, Tomáš Bakalár, Ľubica Kozáková and Edyta Nartowska
Appl. Sci. 2026, 16(5), 2317; https://doi.org/10.3390/app16052317 - 27 Feb 2026
Viewed by 238
Abstract
This study examines the environmental risks associated with talc mining in Slovakia, focusing on various aspects. It applies a structured risk assessment methodology to evaluate the probability and severity of environmental impacts stemming from talc extraction, flotation, and tailings pond operations. Key stressors [...] Read more.
This study examines the environmental risks associated with talc mining in Slovakia, focusing on various aspects. It applies a structured risk assessment methodology to evaluate the probability and severity of environmental impacts stemming from talc extraction, flotation, and tailings pond operations. Key stressors include chemical pollutants such as oils, diesel, and flotation reagents, as well as physical disruptions like georelief alteration and vegetation loss. The findings highlight high environmental risks from technical infrastructure leaks and tailings pond operations, particularly regarding groundwater contamination and landscape modification. Moderate risks were identified in diesel and oil substance leakage, while flotation processes posed minimal risk. The research underscores the need for improved risk mitigation strategies, such as enhanced monitoring and containment systems, to protect local ecosystems and water resources. The study contributes to a better understanding of the long-term environmental impacts of mineral resource exploitation and provides a foundation for more sustainable mining practices. Full article
(This article belongs to the Special Issue Environmental Pollution and Wastewater Treatment Strategies)
Show Figures

Figure 1

21 pages, 3742 KB  
Article
Management-Oriented Modelling of Tire and Road Wear Particle Fate and Transport in the Terrestrial and Freshwater Environment with a Global Perspective
by Jos van Gils, Hélène Boisgontier, Lora Buckman, Steffen Weyrauch, Thorsten Reemtsma, Timothy R. Barber and Kenneth M. Unice
Water 2026, 18(5), 562; https://doi.org/10.3390/w18050562 - 27 Feb 2026
Viewed by 425
Abstract
Tire and road wear particles (TRWPs) are formed at the frictional interface of the tire and road surface and consist of polymer-containing tread with pavement mineral and binder encrustations. Their detection in various environmental compartments globally sparks increasing societal and regulatory interest. Solid [...] Read more.
Tire and road wear particles (TRWPs) are formed at the frictional interface of the tire and road surface and consist of polymer-containing tread with pavement mineral and binder encrustations. Their detection in various environmental compartments globally sparks increasing societal and regulatory interest. Solid quantitative information as a basis for managing and mitigating TRWPs in the environment is lacking however. This paper presents and demonstrates a model approach that produces catchment-scale terrestrial and aquatic TRWP mass balances anywhere in the world. A spatially and temporally explicit modelling method was used that builds on publicly available global datasets and process-based open-source modelling frameworks to describe hydrological processes, TRWP releases, fate and transport under a wide range of climatic conditions. High-resolution (<1 km) models were implemented and evaluated by demonstrating consistency with available field data for three watersheds on different continents. The approach provides comprehensive mass balances to underpin management of TRWPs that account for socio-economic, climate, geography and stormwater management gradients. Case study results revealed strong climate-induced differences: the fraction of vehicle-generated TRWPs exported to the estuarine environment varied between 2% (Seine watershed, France) to 18% (Yodo River watershed, Japan), corresponding to an increase in the fraction released to freshwater ecosystems from 20% to 36%, respectively. The modelling framework provides a consistent comparison between watersheds across the world. Limitations of the approach are its lack of local details and the uncertainties stemming from the still-developing scientific knowledge base. Full article
(This article belongs to the Special Issue Water Resource Management: Watershed and Groundwater Pollution)
Show Figures

Figure 1

17 pages, 2236 KB  
Article
Simvastatin Enhances Stem Cell Osteogenesis and Reduces Peri-Implant Bone Loss: An In Vitro and a Randomized Clinical Study
by Asmaa Saleh, Shereen N. Raafat, Sherihan Ahmed Sayed, Mohamed Shamel, Sherif Shafik El Bahnasy and Sara F. El Shafei
Pharmaceuticals 2026, 19(3), 368; https://doi.org/10.3390/ph19030368 - 26 Feb 2026
Viewed by 312
Abstract
Background: Despite extensive preclinical evidence that statins enhance osteogenesis and the widespread clinical use of platelet-rich fibrin (PRF), the clinical effectiveness of statin-incorporated PRF (SIM-PRF) in limiting peri-implant crestal bone loss remains insufficiently validated. Objectives: To address the mentioned gap, we integrated [...] Read more.
Background: Despite extensive preclinical evidence that statins enhance osteogenesis and the widespread clinical use of platelet-rich fibrin (PRF), the clinical effectiveness of statin-incorporated PRF (SIM-PRF) in limiting peri-implant crestal bone loss remains insufficiently validated. Objectives: To address the mentioned gap, we integrated in vitro assays on human periodontal ligament stem cells (hPDLSCs) with a controlled clinical trial to test whether SIM-PRF reduces early and 12-month marginal bone loss versus PRF alone and PRF with bone graft. Methods: In vitro, cytotoxicity, migration and osteogenic differentiation were assessed, in addition to the effect on basal inflammatory markers. Clinically, 24 immediate-implant cases were randomized to receive PRF, PRF+SIM, or PRF+bone graft, with CBCT-based crestal bone change measured at 0–3, 3–6, and 6–12 months. Results: Flow cytometry confirmed the mesenchymal identity of the isolated hPDLSCs, which exhibited dose-dependent responses to SIM treatment. Lower SIM concentrations (0.1 μM) enhanced osteogenic differentiation, as evidenced by increased mineralization, alkaline phosphatase activity, and expression of osteogenic markers (RUNX2 and osteocalcin), while maintaining cell viability and migration. Both SIM concentrations (0.1 μM and 1 μM) significantly reduced basal pro-inflammatory cytokine expression (TNF-α and IL-6). Radiographic analysis revealed significantly reduced crestal bone loss (p < 0.001) in the PRF-SIM and PRF-Bone groups compared to PRF alone, particularly during early postoperative intervals (0–3 and 3–6 months). Notably, no significant difference was observed between the PRF-SIM and PRF-Bone groups (p > 0.05) in preserving the peri-implant bone. Conclusions: These findings highlight the potential of SIM-loaded PRF as an effective, biocompatible, and patient-friendly approach to enhance bone regeneration and implant success. Full article
(This article belongs to the Special Issue 2D and 3D Culture Systems: Current Trends and Biomedical Applications)
Show Figures

Graphical abstract

20 pages, 4888 KB  
Article
Kinship Modulates Carbon Allocation and Phosphorus Acquisition in Chinese Fir–AMF Networks Under Neighbor P Limitation
by Zihao Zhao, Hongjian Wei, Hui Hu, Yuxin Yao, Jing Liang and Pengfei Wu
Plants 2026, 15(5), 703; https://doi.org/10.3390/plants15050703 - 26 Feb 2026
Viewed by 263
Abstract
Phosphorus (P) deficiency in forest soils is a key constraint on the sustainable management and productivity of Chinese fir (Cunninghamia lanceolata) plantations. This study investigated how P limitation alters the reciprocal exchange of “photosynthetic carbon and mineral phosphorus” between Chinese fir [...] Read more.
Phosphorus (P) deficiency in forest soils is a key constraint on the sustainable management and productivity of Chinese fir (Cunninghamia lanceolata) plantations. This study investigated how P limitation alters the reciprocal exchange of “photosynthetic carbon and mineral phosphorus” between Chinese fir and arbuscular mycorrhizal fungi (AMF) when the focal plant grows adjacent to neighbors with different degrees of relatedness. An indoor pot experiment simulating heterogeneous P supply was conducted using clonal seedlings of Chinese fir No. 36 as the focal plant, with Chinese fir No. 36, Chinese fir No. 41, and Schima superba as neighboring plants to establish three two-plant combinations: a kin pair (No. 36 + No. 36), a close-kin pair (No. 36 + No. 41), and an unrelated-kin pair (No. 36 + S. superba). Funneliformis mosseae was inoculated into the shared root-zone room connecting the two plants, and the neighbor was subjected to a gradient of P limitation (sufficient P, low P, and zero P). Meanwhile, the focal No. 36 plant received 13CO2 pulse labeling to form a “Chinese fir–AMF–P-limited neighbor” symbiotic network in which No. 36 served as the 13C donor. AMF colonization, seedling growth, and changes in 13C enrichment and P concentration in plant tissues of the focal plant were quantified. Neighbor P limitation significantly increased AMF colonization in roots and whole-plant P concentration of the focal Chinese fir. Following 13CO2 pulse labeling, whole-plant 13C enrichment of the focal plant increased significantly under the neighbor zero P treatment, suggesting enhanced carbon allocation under severe neighbor P limitation. Moreover, under the neighbor zero P treatment, focal plants grown with an unrelated-kin neighbor showed significant increases in stem P concentration (1.86 g·kg−1) and stem atom% 13C (1.50%), whereas focal plants grown with a kin neighbor exhibited a significant increase in root Atom% 13C (1.29%). These patterns indicate that neighbor relatedness may modulate carbon allocation and P acquisition within the mycorrhizal network: in the kin context, the focal plant tended to allocate more photosynthetic carbon belowground and may partially subsidize the AMF carbon demand (i.e., a higher C reward), coinciding with a relatively weaker P accumulation in its own tissues; in contrast, in the unrelated kin context, carbon allocation shifted toward stems and was associated with strengthened P accumulation in stem tissues. Overall, the results highlight the dynamic nature of AMF-mediated carbon–nutrient reciprocity across hosts of contrasting relatedness and provide new insights into how mycorrhizal networks may facilitate plant adaptation to nutrient limitation. Full article
Show Figures

Figure 1

Back to TopTop