Kinship Modulates Carbon Allocation and Phosphorus Acquisition in Chinese Fir–AMF Networks Under Neighbor P Limitation
Abstract
1. Introduction
2. Results
2.1. Effects of Neighboring Plant P Limitation on AMF Colonization Rate in Chinese Fir Roots
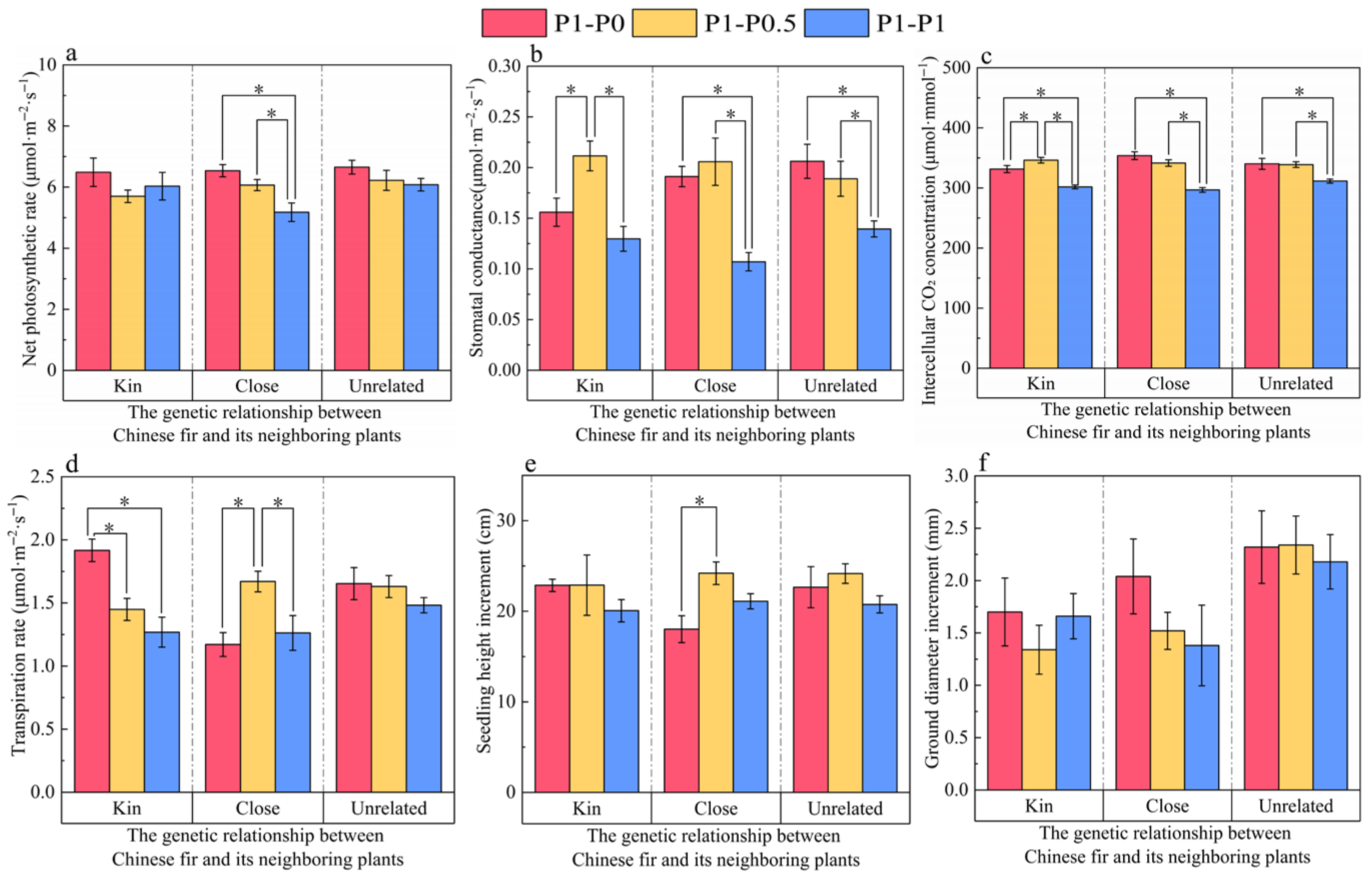
2.2. Effects of Neighboring Plant P Limitation on the Growth of Chinese Fir
2.3. Effects of Neighboring Plant P Limitation on 13C Abundance in Different Organs of Chinese Fir
2.4. Effects of Neighboring Plant P Limitation on P Content in Different Organs of Chinese Fir
2.5. Linear Regression Between Whole-Plant 13C Abundance and Whole-Plant P Content of Chinese Fir Under Neighboring Plant P Limitation
2.6. Correlation Analysis of Various Indicators of Chinese Fir
3. Discussion
3.1. Study on the Response Mechanism of Chinese Fir to Neighboring Plant P Limitation
3.2. Study on the Regulation of Kin Recognition on the Response Strategy of Chinese Fir to Neighboring Plant P Limitation
4. Materials and Methods
4.1. Experimental Materials
4.2. Experimental Design
4.2.1. Pot Experiment
4.2.2. 13C Isotope Pulse-Labeling Design
4.3. Experimental Methods
4.3.1. Determination of AMF Root Colonization Intensity
4.3.2. Determination of 13C Abundance
4.3.3. Determination of Growth Indicators
4.3.4. Determination of Physiological Indicators
4.4. Data Statistics and Analysis
5. Conclusions
Author Contributions
Funding
Data Availability Statement
Acknowledgments
Conflicts of Interest
Abbreviations
| Kin | The focal Chinese fir was grown adjacent to a kin neighbor plant |
| Close | The focal Chinese fir was grown adjacent to a close neighbor plant |
| Unrelated | The focal Chinese fir was grown adjacent to an unrelated neighbor plant |
| P1–P0 | Neighbor P supply levels of zero P |
| P1–P0.5 | Neighbor P supply levels of low P |
| P1–P1 | Neighbor P supply levels of P sufficiency |
| AMF | Arbuscular mycorrhizal fungi |
| W13C | Whole-plant 13C abundance |
| R13C | Root 13C abundance |
| S13C | Stem 13C abundance |
| L13C | Leaf 13C abundance |
| SH | Seedling height increment |
| GD | Ground diameter increment |
| WB | Whole-plant biomass increment |
| RS | Root-to-shoot ratio |
| Pn | Net photosynthetic rate |
| Gs | stomatal conductance |
| Ci | Intercellular CO2 concentration |
| Tr | Transpiration rate |
| WP | Whole-plant P concentration |
| RP | Root P concentration |
| SP | Stem P concentration |
| LP | Leaf P concentration |
Appendix A


| Neighboring Chinese Fir Plant | Phosphorus Supply Treatment | Natural Whole-Plant 13C Atom (%) | Determined Whole-Plant 13C Atom (%) |
|---|---|---|---|
| No. 36 | P0 | 1.08 | 1.10 |
| P0.5 | 1.08 | 1.09 | |
| P1 | 1.08 | 1.10 | |
| No. 41 | P0 | 1.08 | 1.14 |
| P0.5 | 1.08 | 1.09 | |
| P1 | 1.08 | 1.10 | |
| Ss | P0 | 1.08 | 1.11 |
| P0.5 | 1.08 | 1.10 | |
| P1 | 1.08 | 1.09 |
References
- Yang, S.Y.; Lin, W.Y.; Hsiao, Y.M.; Chiou, T.J. Milestones in understanding transport, sensing, and signaling of the plant nutrient phosphorus. Plant Cell 2024, 36, 1504–1523. [Google Scholar] [CrossRef]
- Divjot, K.; Kusam, L.R.; Tanvir, K.; Neelam, Y.; Ajar, N.Y.; Manish, K.; Vinod, K.; Harcharan, S.D.; Anil, K.S. Biodiversity, current developments and potential biotechnological applications of phosphorus-solubilizing and -mobilizing microbes: A review. Pedosphere 2021, 31, 43–75. [Google Scholar] [CrossRef]
- Cunha, H.F.V.; Andersen, K.M.; Lugli, L.F.; Santana, F.D.; Aleixo, I.F.; Moraes, A.M.; Garcia, S.; Ponzio, R.D.; Mendoza, E.O.; Brum, B.; et al. Direct evidence for phosphorus limitation on amazon forest productivity. Nature 2022, 608, 558–562. [Google Scholar] [CrossRef]
- Singh, M.; Chauhan, A.; Srivastava, D.K.; Singhb, P.K. Unveiling arbuscular mycorrhizal fungi: The hidden heroes of soil to control the plant pathogens. Arch. Phytopathol. Plant Prot. 2024, 57, 427–457. [Google Scholar] [CrossRef]
- Pan, X.Y.; Li, H.T.; Wu, J.H.; Li, Q.; Zhou, Y.; Yang, P.Z. Mycorrhiza inoculation and soil-available phosphorus modulate phosphorus acquisition strategies of alfalfa. J. Agric. Food Chem. 2025, 73, 14265–14279. [Google Scholar] [CrossRef]
- Cardini, A.; Pellegrino, E.; Declerck, S.; Maryline, C.S.; Mazzolai, B.; Ercoli, L. Direct transfer of zinc between plants is channelled by common mycorrhizal network of arbuscular mycorrhizal fungi and evidenced by changes in expression of zinc transporter genes in fungus and plant. Environ. Microbiol. 2021, 23, 5883–5900. [Google Scholar] [CrossRef]
- Wang, Z.H.; Liang, J.W.; Kuang, Y.X.; Li, X.; Chen, H.; Tang, M.; Hu, W.T. Cultivation of arbuscular mycorrhizal Broussonetia papyrifera seedlings by planting the mycorrhizal nurse plant downwards. Mycorrhiza 2022, 32, 203–212. [Google Scholar] [CrossRef]
- Magkourilou, E.; Bell, C.A.; Daniell, T.J.; Field, K.J. The functionality of arbuscular mycorrhizal networks across scales of experimental complexity and ecological relevance. Funct. Ecol. 2024, 39, 1384–1399. [Google Scholar] [CrossRef]
- Wang, L.; Guo, S.Q.; Zhang, J.L.; Field, K.J.; Baquerizo, M.D.; Souza, T.A.F.D.; Lee, S.J.; Hijri, M.; Shang, X.Q.; Sun, D.D.; et al. Arbuscular mycorrhizal networks—A climate-smart blueprint for agriculture. Plant Commun. 2025, 6, e105166. [Google Scholar] [CrossRef]
- Rajamanickam, V.; Saripalli, G.; Sevanthi, A.M.; Singh, N.; Singh, V.K.; Pandey, R. Genetic architecture of photosynthesis and yield related traits in response to low phosphorus stress in wheat using GWAS. J. Plant Growth Regul. 2025, Prepublish, 1–21. [Google Scholar] [CrossRef]
- Tedersoo, L.; Bahram, M.; Zobel, M. How mycorrhizal associations drive plant population and community biology. Science 2020, 367, eaba1223. [Google Scholar] [CrossRef] [PubMed]
- Olsson, P.A.; Johansen, A. Lipid and fatty acid composition of hyphae and spores of arbuscular mycorrhizal fungi at different growth stages. Mycol. Res. 2000, 104, 429–434. [Google Scholar] [CrossRef]
- Weremijewicz, J.; Sternberg, L.D.S.L.O.; Janos, D.P. Common mycorrhizal networks amplify competition by preferential mineral nutrient allocation to large host plants. New Phytol. 2016, 212, 461–471. [Google Scholar] [CrossRef]
- Awaydul, A.; Zhu, W.Y.; Yuan, Y.G.; Xiao, J.; Hu, H.; Chen, X.; Koide, R.T.; Cheng, L. Common mycorrhizal networks influence the distribution of mineral nutrients between an invasive plant, Solidago canadensis, and a native plant, Kummerowa striata. Mycorrhiza 2019, 29, 29–38. [Google Scholar] [CrossRef] [PubMed]
- Fellbaum, C.R.; Mensah, J.A.; Cloos, A.J.; Strahan, G.E.; Pfeffer, P.E.; Kiers, E.T.; Bucking, H. Fungal nutrient allocation in common mycorrhizal networks is regulated by the carbon source strength of individual host plants. New Phytol. 2014, 203, 646–656. [Google Scholar] [CrossRef] [PubMed]
- Zhong, Y.L.; Chu, C.J. Arbuscular mycorrhizal trees influence the latitudinal beta-diversity gradient of tree communities in forests worldwide. Nat. Commun. 2021, 12, 3137. [Google Scholar] [CrossRef]
- Tedersoo, L.; Bahram, M.; Cajthaml, T.; Põlme, S.; Hiiesalu, I.; Anslan, S.; Harend, H.; Buegger, F.; Pritsch, K.; Koricheva, J.; et al. Tree diversity and species identity effects on soil fungi, protists and animals are context dependent. ISME J. 2016, 10, 346–362. [Google Scholar] [CrossRef]
- Walder, F.; Niemann, H.; Natarajan, M.; Lehmann, M.F.; Boller, T.; Wiemken, A. Mycorrhizal networks: Common goods of plants shared under unequal terms of trade. Plant Physiol. 2012, 159, 789–797. [Google Scholar] [CrossRef]
- Figueiredo, A.F.; Boy, J.; Guggenberger, G. Common mycorrhizae network: A review of the theories and mechanisms behind underground interactions. Front. Fungal Biol. 2021, 2, 735299. [Google Scholar] [CrossRef]
- Salmeron-Santiago, I.A.; Martínez-Trujillo, M.; Valdez-Alarcón, J.J.; Pedraza-Santos, M.E.; Santoyo, G.; Pozo, M.J.; Chávez-Bárcenas, A.T. An updated review on the modulation of carbon partitioning and allocation in arbuscular mycorrhizal plants. Microorganisms 2022, 10, 75. [Google Scholar] [CrossRef]
- Kong, C.H.; Zhang, S.Z.; Li, Y.H.; Xia, Z.C.; Yang, X.F.; Meiners, S.; Wang, P. Plant neighbor detection and allelochemical response are driven by root-secreted signaling chemicals. Nat. Commun. 2018, 9, 3867. [Google Scholar] [CrossRef]
- Sher, J.; Zheng, Y.L.; Burns, J.H.; Jan, G.; Zhang, J.L. Kin recognition in plants-an ecological perspective: An overview of plant kin recognition under different resources, consequences and future challenges. J. Plant Interact. 2025, 20, 2548579. [Google Scholar] [CrossRef]
- Dudley, S.A.; File, A.L. Kin recognition in an annual plant. Biol. Lett. 2007, 3, 435–438. [Google Scholar] [CrossRef]
- Asay, A.K.; Simard, S.W.; Dudley, S.A. Altering neighborhood relatedness and species composition affects interior douglas fir size and morphological traits with context-dependent responses. Front. Ecol. Evol. 2020, 8, 578524. [Google Scholar] [CrossRef]
- Xu, Y.; Cheng, H.F.; Kong, C.H.; Meiners, S.J. Intra-specific kin recognition contributes to inter-specific allelopathy: A case study of allelopathic rice interference with paddy weeds. Plant Cell Environ. 2021, 44, 3709–3721. [Google Scholar] [CrossRef]
- Booth, M.G.; Hoeksema, J.D. Mycorrhizal networks counteract competitive effects of canopy trees on seedling survival. Ecology 2010, 91, 2294–2302. [Google Scholar] [CrossRef]
- Anten, N.P.R.; Chen, B.J.W. Detect thy family: Mechanisms, ecology and agricultural aspects of kin recognition in plants. Plant Cell Environ. 2021, 44, 1059–1071. [Google Scholar] [CrossRef]
- Zhao, B.W.; Bian, L.M.; Feng, Q.H.; Wu, J.Z.; Zhang, X.F.; Zheng, R.H.; Zheng, X.Y.; Yang, Z.Y.; Chen, Z.Q.; Wu, H.X.; et al. Development of an advanced-generation multi-objective breeding population for the 4th cycle of Chinese fir (Cunninghamia lanceolata (Lamb.) Hook.). Forests 2023, 14, 1658. [Google Scholar] [CrossRef]
- Chen, Y.; Peng, Z.Q.; Wu, C.; Ma, Z.H.; Ding, G.H.; Cao, G.Q.; Ruan, S.N.; Lin, S.Z. Genetic diversity and variation of Chinese fir from Fujian province and Taiwan, China, based on ISSR markers. PLoS ONE 2017, 12, e0175571. [Google Scholar] [CrossRef]
- Li, L.; McCormackc, M.L.; Chen, F.S.; Wang, H.M.; Ma, Z.Q.; Guo, D.L. Different responses of absorptive roots and arbuscular mycorrhizal fungi to fertilization provide diverse nutrient acquisition strategies in Chinese fir. For. Ecol. Manag. 2019, 433, 64–72. [Google Scholar] [CrossRef]
- Cao, Y.; Li, N.N.; Lin, J.Q.; Zhang, Y.; Ma, X.Q.; Wu, P.F. Root system-rhizosphere soil-bulk soil interactions in different Chinese fir clones based on fungi community diversity change. Front. Ecol. Evol. 2022, 10, 1028686. [Google Scholar] [CrossRef]
- Li, Y.C.; Zhang, H.; Tian, Y.L.; Farooq, T.H.; Li, M.; Ma, X.Q.; Wu, P.F. L-arginine enhances stress resilience against P deficiency of Chinese fir in root system: Physiological and proteomics analysis. Environ. Exp. Bot. 2024, 225, 105864. [Google Scholar] [CrossRef]
- Li, Y.C.; Zhang, H.; Liu, J.; Li, M.; Farooq, T.H.; Ma, X.Q.; Yan, X.L.; Wu, P.F. Differential effects of exogenous VOCs on the growth and stress responses of Cunninghamia lanceolata seedlings under low phosphorus. BMC Plant Biol. 2025, 25, 299. [Google Scholar] [CrossRef]
- Charters, M.D.; Sait, S.M.; Field, K.J. Aphid herbivory drives asymmetry in carbon for nutrient exchange between plants and an arbuscular mycorrhizal fungus. Curr. Biol. 2020, 30, 1801–1808. [Google Scholar] [CrossRef]
- Song, Y.Y.; Wang, M.; Zeng, R.; Groten, K.; Baldwin, I.T. Priming and filtering of antiherbivore defences among Nicotiana attenuata plants connected by mycorrhizal networks. Plant Cell Environ. 2019, 42, 2945–2961. [Google Scholar] [CrossRef]
- Kachroo, A.; Kachroo, P. Mobile signals in systemic acquired resistance. Curr. Opin. Plant Biol. 2020, 58, 41–47. [Google Scholar] [CrossRef]
- Song, Y.Y.; Zeng, R.S.; Xu, J.F.; Li, J.; Shen, X.; Yihdego, W.G. Interplant communication of tomato plants through underground common mycorrhizal networks. PLoS ONE 2010, 5, e13324. [Google Scholar] [CrossRef]
- Tian, Y.L.; Xu, J.J.; Lian, X.Q.; Wei, B.; Ma, X.Q.; Wu, P.F. Effect of Gintraradices on root morphology, biomass production and phosphorous use efficiency of Chinese fir seedlings under low phosphorus stress. Front. Plant Sci. 2023, 13, 1095772. [Google Scholar] [CrossRef]
- Liu, Q.Y.; Wang, H.O.; Ma, X.D. Salinity effects on arbuscular mycelium network-mediated performance of saltcedar and camelhorn seedlings. Acta Oecologica 2025, 129, 104127. [Google Scholar] [CrossRef]
- Fellbauma, C.R.; Gachomo, E.W.; Beesetty, Y.; Choudhari, S.; Strahan, G.D.; Pfeffer, P.E.; Kiers, E.T.; Bücking, H. Carbon availability triggers fungal nitrogen uptake and transport in arbuscular mycorrhizal symbiosis. Proc. Natl. Acad. Sci. USA 2012, 109, 2666–2671. [Google Scholar] [CrossRef]
- Fellbaum, C.R.; Mensah, J.A.; Pfeffer, P.E.; Kiers, E.T.; Bücking, H. Role Carbon Fungal nutrient uptake and transport. Plant Signal. Behav. 2012, 7, 1509–1512. [Google Scholar] [CrossRef]
- Duan, S.L.; Feng, G.; Limpens, E.; Bonfante, P.; Xie, X.N.; Zhang, L. Cross-kingdom nutrient exchange in the plant–arbuscular mycorrhizal fungus–bacterium continuum. Nat. Rev. Microbiol. 2024, 22, 773–790. [Google Scholar] [CrossRef]
- Kiers, E.T.; Duhamel, M.; Beesetty, Y.; Mensah, J.A.; Franken, O.; Verbruggen, E.; Fellbaum, C.R.; Kowalchuk, G.A.; Hart, M.M.; Bago, A.; et al. Reciprocal rewards stabilize cooperation in the mycorrhizal symbiosis. Science 2011, 333, 880–882. [Google Scholar] [CrossRef]
- Huang, H.; Liu, S.J.; Du, Y.; Tang, J.J.; Hu, L.L.; Chen, X. Carbon allocation mediated by arbuscular mycorrhizal fungi alters the soil microbial community under various phosphorus levels. Fungal Ecol. 2023, 62, 101227. [Google Scholar] [CrossRef]
- Xia, X.X.; Yan, S.B.; Wang, P.; Kong, C.H. A meta-analysis of response strategies and interfering factors of kin recognition in plants. Plants Base 2025, 14, 683. [Google Scholar] [CrossRef]
- Lepik, A.; Abakumova, M.; Zobel, K.; Semchenko, M. Kin recognition is density-dependent and uncommon among temperate grassland plants. Funct. Ecol. 2012, 26, 1214–1220. [Google Scholar] [CrossRef]
- Chen, B.J.W.; During, H.J.; Anten, N.P.R. Detect thy neighbor: Identity recognition at the root level in plants. Plant Sci. 2012, 195, 157–167. [Google Scholar] [CrossRef]
- Casal, J.J. Shade avoidance. Arab. Book 2012, 10, e0157. [Google Scholar] [CrossRef]
- File, A.L.; Klironomos, J.; Maherali, H.; Dudley, S.A. Plant kin recognition enhances abundance of symbiotic microbial partner. PLoS ONE 2012, 7, e45648. [Google Scholar] [CrossRef]
- Manoj, P.; Amitava, R.; Vijay, S.M.; Vijai, K.G.; Kiran, R.; Mahipal, C.; Gopal, T.; Pankaj, K.M.; Arunava, P.; Jaideep, K.B.; et al. The potential of arbuscular mycorrhizal fungi in C cycling: A review. Arch. Microbiol. 2020, 202, 1581–1596. [Google Scholar] [CrossRef]
- Ji, B.; Bever, D.J. Plant preferential allocation and fungal reward decline with soil phosphorus: Implications for mycorrhizal mutualism. Ecosphere 2016, 7, e01256. [Google Scholar] [CrossRef]
- Johnson, D.; Gilbert, L. Interplant signalling through hyphal networks. New Phytol. 2015, 205, 1448–1453. [Google Scholar] [CrossRef]
- Luo, X.; Liu, Y.I.; Li, S.Y.; He, X.H. Interplant carbon and nitrogen transfers mediated by common arbuscular mycorrhizal networks: Beneficial pathways for system functionality. Front. Plant Sci. 2023, 14, 1169310. [Google Scholar] [CrossRef]
- Durant, E.; Hoysted, G.A.; Howard, N.; Steven, M.S.; Childs, D.Z.; Johnson, D.; Field, K.J. Herbivore-driven disruption of arbuscular mycorrhizal carbon-for-nutrient exchange is ameliorated by neighboring plants. Curr. Biol. 2023, 33, 2566–2573. [Google Scholar] [CrossRef]
- Wu, W.J.; Wang, P.; Chen, N.L.; Ma, X.Q.; Lin, W.J.; Wu, P.F. Root foraging ability for phosphorus of different Chinese fir family seedlings under low phosphorus supply. J. Fujian Agric. For. Univ. 2019, 48, 174–181. [Google Scholar] [CrossRef]
- Liu, H.F.; Wu, Y.; Xu, H.W.; Ai, Z.M.; Zhang, J.Y.; Liu, G.B.; Xue, S. N enrichment affects the arbuscular mycorrhizal fungi-mediated relationship between a C4 grass and a legume. Plant Physiol. 2021, 187, 1519–1533. [Google Scholar] [CrossRef] [PubMed]
- Zeng, X.M.; Fan, Y.X.; Lin, K.M.; Yuan, P.; Zhao, P.P.; Chen, Y.R.; Xu, J.G.; Chen, Y.M. Characteristics of soil phosphorus fractions of different vegetation types in subtropical forests and their driving factors. Chin. J. Appl. Ecol. 2018, 29, 2156–2162. [Google Scholar] [CrossRef]
- Wu, P.F.; Ma, X.Q.; Tigabu, M.; Wang, C.; Liu, A.Q.; Oden, P.C. Root morphological plasticity and biomass production of two Chinese fir clones with high phosphorus efficiency under low phosphorus stress. Can. J. For. Res. 2011, 41, 228–234. [Google Scholar] [CrossRef]
- Li, Y.C.; Wang, N.M.; Zhang, H.; Lin, W.J.; Ma, X.Q.; Wu, P.F. Analysis of root kin recognition ability of Chinese fir in low phosphorus environments based on 13C labeling. Acta Ecol. Sin. 2024, 44, 10827–10837. [Google Scholar] [CrossRef]
- Phillips, J.M. Improved procedures for clearing roots and staining parasitic and vesicular-arbuscular mycorrhizal fungi for rapid assessment of infection. Trans. Br. Mycol. Soc. 1970, 55, 158–160. [Google Scholar] [CrossRef]
- Gao, H.H.; Wang, J.J.; Zhou, P.S.; Yu, W.J.; Kang, H.Z. Carbon and nitrogen allocation in organs of Quercus variabilis seedlings by 13C and 15N tracer technique. J. Shanghai Jiao Tong Univ. 2017, 35, 67–73. [Google Scholar] [CrossRef]
- Cai, Z.L.; Zhao, H.B.; Cai, J.C.; Wu, Z.M.; Zhou, G.Y.; Li, Z.J.; Wang, X.; Qiu, Z.J. Retention and distribution dynamics of photosynthetic carbon in Liquidambar formosana and Sapium discolar seedlings by 13C labeling. Chin. J. Appl. Environ. Biol. 2023, 29, 408–413. [Google Scholar] [CrossRef]
- Zou, X.H.; Hu, Y.N.; Wei, D.; Chen, S.T.; Wu, P.F.; Ma, X.Q. Correlation between endogenous hormone and the adaptability of Chinese fir with high phosphorus-use efficiency to low phosphorus stress. Chin. J. Plant Ecol. 2019, 43, 139–151. [Google Scholar] [CrossRef]





| Phosphorus Supply (A) | Neighbor Relatedness (B) | A × B | |
|---|---|---|---|
| AMF | ** | ns | ns |
| W13C | ** | * | ns |
| R13C | ** | * | ns |
| S13C | ** | ns | ns |
| L13C | ** | ns | ns |
| SH | ns | ns | ns |
| GD | ns | ** | ns |
| WB | ns | ns | ns |
| RS | ns | ns | ns |
| Pn | ** | ns | ns |
| Gs | ** | ns | ns |
| Ci | ** | ns | * |
| Tr | ** | * | ** |
| WP | ** | ns | ** |
| RP | ns | ns | ns |
| SP | ** | ns | ** |
| LP | ns | ns | ns |
| Experimental Seedlings | Initial Seedling Height (cm) | Initial Ground Diameter (mm) |
|---|---|---|
| Chinese fir No. 36 | 21.91 ± 0.30 | 3.08 ± 0.06 |
| Chinese fir No. 41 | 23.93 ± 0.84 | 3.08 ± 0.14 |
| Schima superba | 20.17 ± 0.65 | 2.93 ± 0.11 |
Disclaimer/Publisher’s Note: The statements, opinions and data contained in all publications are solely those of the individual author(s) and contributor(s) and not of MDPI and/or the editor(s). MDPI and/or the editor(s) disclaim responsibility for any injury to people or property resulting from any ideas, methods, instructions or products referred to in the content. |
© 2026 by the authors. Licensee MDPI, Basel, Switzerland. This article is an open access article distributed under the terms and conditions of the Creative Commons Attribution (CC BY) license.
Share and Cite
Zhao, Z.; Wei, H.; Hu, H.; Yao, Y.; Liang, J.; Wu, P. Kinship Modulates Carbon Allocation and Phosphorus Acquisition in Chinese Fir–AMF Networks Under Neighbor P Limitation. Plants 2026, 15, 703. https://doi.org/10.3390/plants15050703
Zhao Z, Wei H, Hu H, Yao Y, Liang J, Wu P. Kinship Modulates Carbon Allocation and Phosphorus Acquisition in Chinese Fir–AMF Networks Under Neighbor P Limitation. Plants. 2026; 15(5):703. https://doi.org/10.3390/plants15050703
Chicago/Turabian StyleZhao, Zihao, Hongjian Wei, Hui Hu, Yuxin Yao, Jing Liang, and Pengfei Wu. 2026. "Kinship Modulates Carbon Allocation and Phosphorus Acquisition in Chinese Fir–AMF Networks Under Neighbor P Limitation" Plants 15, no. 5: 703. https://doi.org/10.3390/plants15050703
APA StyleZhao, Z., Wei, H., Hu, H., Yao, Y., Liang, J., & Wu, P. (2026). Kinship Modulates Carbon Allocation and Phosphorus Acquisition in Chinese Fir–AMF Networks Under Neighbor P Limitation. Plants, 15(5), 703. https://doi.org/10.3390/plants15050703

