Sign in to use this feature.

Years

Between: -

Subjects

remove_circle_outline
remove_circle_outline
remove_circle_outline
remove_circle_outline
remove_circle_outline
remove_circle_outline
remove_circle_outline
remove_circle_outline
remove_circle_outline

Journals

remove_circle_outline
remove_circle_outline
remove_circle_outline
remove_circle_outline
remove_circle_outline
remove_circle_outline

Article Types

Countries / Regions

remove_circle_outline
remove_circle_outline
remove_circle_outline
remove_circle_outline

Search Results (255)

Search Parameters:
Keywords = steam separator

Order results
Result details
Results per page
Select all
Export citation of selected articles as:
20 pages, 2303 KB  
Article
Numerical Investigation of Sustainable Diesel Engine Performance and Emissions Using Directly Integrated Steam Methane Reforming Syngas
by Tolga Bayramoğlu, Kubilay Bayramoğlu, Semih Yılmaz and Kerim Deniz Kaya
Sustainability 2026, 18(2), 1012; https://doi.org/10.3390/su18021012 - 19 Jan 2026
Abstract
The transition toward sustainable energy systems necessitates innovative solutions that reduce greenhouse gas emissions while improving fuel efficiency in existing combustion technologies. Hydrogen has emerged as a promising clean energy carrier; however, its widespread deployment is limited by challenges associated with large-scale transportation [...] Read more.
The transition toward sustainable energy systems necessitates innovative solutions that reduce greenhouse gas emissions while improving fuel efficiency in existing combustion technologies. Hydrogen has emerged as a promising clean energy carrier; however, its widespread deployment is limited by challenges associated with large-scale transportation and storage. This study investigates a practical alternative in which hydrogen-rich syngas produced via steam methane reforming (SMR) is directly integrated into the diesel engine intake, thereby eliminating the need for fuel transport, storage, and separation while supporting a more sustainable fuel pathway. A validated computational fluid dynamics (CFD) model was developed to examine the effects of varying SMR gas mixture ratios (0–20%) on engine combustion, performance, and emissions. The findings reveal that increasing the SMR fraction enhances in-cylinder pressure by up to 15.7%, heat release rate by 100%, and engine power output by 102.5% compared to conventional diesel operation. Additionally, under SMR20 conditions, CO2 emissions are reduced by approximately 12%, demonstrating the potential contribution of this approach to decarbonization and climate mitigation efforts. However, the rise in in-cylinder temperatures was found to increase NOx formation, indicating the necessity for complementary emission control strategies. Overall, the results suggest that direct SMR syngas integration offers a promising pathway to improve the environmental and performance characteristics of conventional diesel engines while supporting cleaner energy transitions. Full article
Show Figures

Figure 1

17 pages, 858 KB  
Article
Integrated PSA Hydrogen Purification, Amine CO2 Capture, and Underground Storage: Mass–Energy Balance and Cost Analysis
by Ersin Üresin
Processes 2026, 14(2), 319; https://doi.org/10.3390/pr14020319 - 16 Jan 2026
Viewed by 160
Abstract
Although technologies used in non-fossil methane and fossil resources to produce blue hydrogen are relatively mature, a system-integrated approach to reference system (RS)-based purification of H2, CO2 capture and storage, and UHS is relatively unexplored and requires research to fill [...] Read more.
Although technologies used in non-fossil methane and fossil resources to produce blue hydrogen are relatively mature, a system-integrated approach to reference system (RS)-based purification of H2, CO2 capture and storage, and UHS is relatively unexplored and requires research to fill gaps in the literature regarding balanced permutations and geological viability for net-zero requirements. This research proposes a system-integrated process for H2 production through a PSA-based purification technique coupled with amine-based CO2 capture and underground hydrogen storage (UHS). The intellectual novelty of the research is its first quantitative treatment of synergistic effects such as heat recovery and pressure-matching across units. Additionally, a site separation technique is applied, where H2 and CO2 reservoirs are selected based on the permeability of rock formations and fluids. On a research methodology front, a base case of a steam methane reforming process with the production of 99.99% pure H2 at a production rate of 5932 kg/h is modeled and simulated using Aspen Plus™ to create a balanced permutation of mass and energy across units. As per the CO2 capture requirements of this research, a capture of 90% of CO2 is accomplished from the production of 755 t/d CO2 within the model. The compressed CO2 is permanently stored at specifically identified rock strata separated from storage reservoirs of H2 to avoid empirically identified hazards of rock–fluid interaction at high temperatures and pressures. The lean amine cooling of CO2 to 60 °C and elimination of tail-gas recompression simultaneously provides 5.4 MWth of recovered heat. The integrated design achieves a net primary energy penalty of 18% of hydrogen’s LHV, down from ~25% in a standalone configuration. This corresponds to an energy saving of 8–12 MW, or approximately 15–18% of the primary energy demand. The research computes a production cost of H2 of 0.98 USD per kg of H2 within a production atmosphere of a commercialized WGS and non-fossil methane-based production of H2. Additionally, a sensitivity analysis of ±23% of the energy requirements of the reference system shows no marked sensitivity within a production atmosphere of a commercially available WGS process. Full article
(This article belongs to the Special Issue Hydrogen–Carbon Storage Technology and Optimization)
Show Figures

Figure 1

14 pages, 1285 KB  
Article
A New Absorption Configuration of Partial Lean Solution Vaporization–Compression for CO2 Capture
by Dongfang Guo, Zhisheng He, Huanjun Wang, Yang Liu, Ye Li and Jian Chen
Processes 2026, 14(1), 171; https://doi.org/10.3390/pr14010171 - 4 Jan 2026
Viewed by 250
Abstract
The CO2 capture process in coal-fired power plant flue gas still faces the difficulties of low material performance and high energy and cost consumption. It is necessary to develop new capture solvents and materials, and also new capture process configurations, to achieve [...] Read more.
The CO2 capture process in coal-fired power plant flue gas still faces the difficulties of low material performance and high energy and cost consumption. It is necessary to develop new capture solvents and materials, and also new capture process configurations, to achieve breakthroughs in capture performance and process technology. In various process configurations for CO2 absorption, lean solution vaporization and compression (LVC) is a commonly used and effective one for reducing the energy and cost consumption. This work propose a partial lean solution vaporization and compression (PLVC) configuration to decrease energy and cost consumption for CO2 capture, considering the price difference in heat and electricity with the high prices of compressors. The three heat exchange methods of no heat exchange, separate heat exchange, and merged heat exchange for lean solution after flash evaporation are also proposed with PLVC, which could be used in the range of low (0–25%), middle (25–75%), and high split ratios (75–100%) of lean solution for the lowest total heat consumption of the aqueous AMP + PZ solvent. Therefore, the comprehensive cost of the capture process can be minimized by considering different prices of steam heat, electricity, and compression facility. Full article
(This article belongs to the Section Separation Processes)
Show Figures

Figure 1

18 pages, 1301 KB  
Review
Perovskite Oxygen Carriers for Hydrogen Production via Chemical Looping Steam Methane Reforming: A Review
by Zhiyong Liang, Haozhe Zhou and Junfei Fang
Energies 2025, 18(24), 6538; https://doi.org/10.3390/en18246538 - 13 Dec 2025
Viewed by 565
Abstract
The chemical looping steam methane reforming (CL-SMR) process is an efficient and low-carbon hydrogen production technology. It enables high-efficiency methane conversion and inherent CO2 separation through the cyclic utilization of oxygen carriers. Perovskite-materials are regarded as potential oxygen carriers due to their [...] Read more.
The chemical looping steam methane reforming (CL-SMR) process is an efficient and low-carbon hydrogen production technology. It enables high-efficiency methane conversion and inherent CO2 separation through the cyclic utilization of oxygen carriers. Perovskite-materials are regarded as potential oxygen carriers due to their superior oxygen transport capabilities, tunable chemical compositions, and excellent high-temperature stability. This review summarizes recent advances in perovskite-based oxygen carriers, focusing on the effects of elemental doping and structural characteristics on key performance metrics, including methane conversion rate, CO selectivity, H2/CO ratio, and hydrogen yield. Based on existing research findings, we propose optimization strategies for improving the reaction performance of perovskite oxygen carriers in CL-SMR processes. Additionally, we outline future research directions, such as the design of high-efficiency oxygen carriers and in-depth exploration of reaction mechanisms. This work provides a comprehensive theoretical framework and research roadmap for advancing CL-SMR technology, while identifying potential pathways for developing efficient and stable perovskite-based oxygen carriers. Full article
(This article belongs to the Section A5: Hydrogen Energy)
Show Figures

Figure 1

8 pages, 425 KB  
Proceeding Paper
Electrified Pressure Swing Distillation: A Systems-Based Sustainability Assessment
by Jonathan Wavomba Mtogo, Gladys Wanyaga Mugo, Emmanuel Karimere Kariuki, Martin Murimi Gichungu and Bevin Nabai Kundu
Eng. Proc. 2025, 117(1), 6; https://doi.org/10.3390/engproc2025117006 - 3 Dec 2025
Viewed by 506
Abstract
The decarbonisation of energy-intensive separation processes is critical for achieving net-zero goals in the chemical industry. While widely used for separating azeotropic mixtures, pressure swing distillation (PSD) remains highly energy-intensive due to significant thermal demands. This work presents a comprehensive systems-based assessment of [...] Read more.
The decarbonisation of energy-intensive separation processes is critical for achieving net-zero goals in the chemical industry. While widely used for separating azeotropic mixtures, pressure swing distillation (PSD) remains highly energy-intensive due to significant thermal demands. This work presents a comprehensive systems-based assessment of electrified distillation designs, with a specific focus on tetrahydrofuran–water separation as a case study. Using Aspen Plus and Aspen Plus Dynamics, key performance indicators, including controllability, thermal and exergy efficiencies, and CO2 emissions reduction potential, are evaluated. The electrified configurations employed heat pumps as substitutes for conventional steam heating. Disturbance rejection was applied to compare the input–output pairings and select pairings with the best controllability and disturbance rejection indices. Results showed that the conventional PSD (CPSD) exhibited higher Morari Resiliency Index (MRI) and acceptable Condition Number (CN) values, indicating better robustness and disturbance rejection than the heat pump-assisted PSD (HPAPSD). Despite this, HPAPSD achieved a 59% reduction in primary energy demand, a 23% increase in exergy efficiency, and an 82% reduction in CO2 emissions. This study demonstrates the potential of electrification to transform PSD systems from rigid, energy-intensive operations into flexible and sustainable processes. The findings support a shift towards integrated, systems-driven design strategies in chemical separation, aligning with broader goals in process electrification, circularity, and net-zero manufacturing. Full article
Show Figures

Figure 1

13 pages, 1449 KB  
Article
Analysis of Commissioning Problems and Improvement Measures for a Biomass Circulating Fluidized Bed Gasifier Coupled with a 20 t/h Gas-Fired Steam Boiler System
by Shan Gu, Weijun Zhu, Xiaoye Liang and Li Yang
Processes 2025, 13(12), 3864; https://doi.org/10.3390/pr13123864 - 30 Nov 2025
Viewed by 344
Abstract
Addressing the challenges of high cost and complex configuration in conventional circulating fluidized bed (CFB) gasification-boiler systems, which stem from their reliance on auxiliary cooling and pressurization units, this paper proposes a novel solution. The approach involves the direct feeding of high-temperature syngas [...] Read more.
Addressing the challenges of high cost and complex configuration in conventional circulating fluidized bed (CFB) gasification-boiler systems, which stem from their reliance on auxiliary cooling and pressurization units, this paper proposes a novel solution. The approach involves the direct feeding of high-temperature syngas from a biomass CFB gasifier into a gas-fired boiler for combustion. This design not only fundamentally circumvents the problem of tar condensation but also renders the auxiliary systems unnecessary, resulting in a significant reduction in investment and operational expenses. Taking a biomass CFB gasifier coupled with a 20 t/h gas-fired steam boiler system (in Jiangsu Province, China) as a case study, this paper analyzes the main problems encountered during the commissioning period in the gasifier and gas-fired boiler, including slagging in the gas-fired boiler furnace, ash deposition on the tail heating surface of the gas-fired boiler and elevated exhaust gas temperature, air leakage at the lower part of the gasifier’s secondary cyclone separator, and insufficient capacity of the spiral ash cooler. Effective improvement measures are proposed. These findings provide valuable references for coupling biomass CFB gasifiers with industrial boilers and offer practical guidance for scaling up biomass CFB gasification technology. Full article
(This article belongs to the Section Environmental and Green Processes)
Show Figures

Figure 1

18 pages, 8171 KB  
Article
Experimental Study of the Discharging Process of Sorption Heat Storage Units Filled with 13X Zeolite
by Beata Pytlik, Daniel Smykowski, Piotr Szulc, Tomasz Tietze, Beata Anwajler and Artur Chorążyczewski
Materials 2025, 18(23), 5327; https://doi.org/10.3390/ma18235327 - 26 Nov 2025
Viewed by 507
Abstract
The paper presents the experimental study of the zeolite heat storage unit discharging process in a laboratory scale. The Authors focused on the discharging process, which utilizes adsorption of water, in the form of steam, on zeolite, because the adsorption process is considered [...] Read more.
The paper presents the experimental study of the zeolite heat storage unit discharging process in a laboratory scale. The Authors focused on the discharging process, which utilizes adsorption of water, in the form of steam, on zeolite, because the adsorption process is considered as more challenging in terms of reaction kinetics and heat transfer. The Authors designed and built a laboratory stand with a sorption heat storage unit filled with 13X zeolite and with a separated heat transfer fluid system, where air was used for discharging. Dynamic parameters including the temperature of inlet and outlet air and the temperature distribution inside the zeolite bed during the discharging process were investigated. The gathered measurement data were used to determine the heat fluxes and to compute dynamic heat balance of the thermal storage unit including internal and external heat losses. It was demonstrated that the applied design and scale of the thermal storage unit allows to reach the thermal power over 300 W and heat the discharging air from 40 °C to over 110 °C. The innovative aspect of the study is the improvement of operational stability of the sorption heat storage unit through the implementation of a heat exchanger design that separates the heat transfer fluid from the zeolite bed, as well as a control system with a neural network layer for predicting the mass flow rate of steam. Full article
Show Figures

Figure 1

19 pages, 1963 KB  
Article
Design, Optimization, and Process Integration of a Methanol-to-Olefin Plant
by Nasser Saad Alosaimi, Abdulaziz Althabet, Irfan Wazeer, Mourad Boumaza and Mohamed K. Hadj-Kali
Processes 2025, 13(12), 3806; https://doi.org/10.3390/pr13123806 - 25 Nov 2025
Viewed by 794
Abstract
The methanol-to-olefins (MTO) process offers a viable alternative to traditional naphtha cracking for producing light olefins, providing flexibility in feedstock sources and the potential for reduced energy consumption. This study presents a detailed plant-wide design of an MTO process, developed and optimized to [...] Read more.
The methanol-to-olefins (MTO) process offers a viable alternative to traditional naphtha cracking for producing light olefins, providing flexibility in feedstock sources and the potential for reduced energy consumption. This study presents a detailed plant-wide design of an MTO process, developed and optimized to increase ethylene and propylene yields while reducing energy consumption. The methodology includes comprehensive reactor modeling of a fast fluidized-bed reactor–regenerator system, accounting for coke formation kinetics, along with rigorous process simulation for the subsequent separation and purification of products. A six-column distillation train has been designed and optimized for the recovery of polymer-grade ethylene and propylene, while dual-stage CO2 absorption units ensure complete removal of carbon dioxide. Pinch analysis is used to identify opportunities for heat integration, resulting in an optimized heat-exchanger network that significantly reduces the need for external heating and cooling utilities. The results show that the optimized MTO design achieves a methanol conversion rate of over 99.9% and produces a propylene-rich product stream with a propylene-to-ethylene ratio of approximately 1.8, while maintaining a high purity level exceeding 99.5%. By implementing heat integration and recycling by-products, including using off-gas methane as furnace fuel and repurposing waste heat for steam generation, the plant reduces utility requirements by more than 85%, significantly improving energy efficiency. An economic evaluation shows a favorable payback period of approximately 5.4 years and an internal rate of return of 15–16%, confirming the viability and industrial potential of the integrated MTO process for sustainable olefin production. Full article
Show Figures

Figure 1

15 pages, 3928 KB  
Article
Numerical Investigation of Fluid–Structure Interaction of Foreign Objects in Steam Generator Tube Bundles
by Yuhua Hang, Heng Wang, Yuanqing Liu, Zhen Cai, Bin Zhu, Jinna Mei and Guorui Zhu
J. Nucl. Eng. 2025, 6(4), 47; https://doi.org/10.3390/jne6040047 - 19 Nov 2025
Viewed by 506
Abstract
As a critical component of nuclear and thermal energy conversion systems, the long-term safe operation of a steam generator depends on the structural integrity of its tube bundles. Foreign objects introduced into the secondary side can induce flow-induced vibrations and wear, potentially causing [...] Read more.
As a critical component of nuclear and thermal energy conversion systems, the long-term safe operation of a steam generator depends on the structural integrity of its tube bundles. Foreign objects introduced into the secondary side can induce flow-induced vibrations and wear, potentially causing tube wall damage and unplanned outages, thereby affecting overall system reliability. This study systematically investigates the flow-induced vibration behavior of foreign objects within steam generator tube bundles and explores the influence of object geometry through three-dimensional fluid–structure interaction (FSI) simulations. The foreign objects are modeled as single-degree-of-freedom rigid bodies, and their dynamic responses are captured using a coupled flow–motion framework. Results reveal that object geometry significantly influences flow separation, variations in lift and drag forces, and displacement characteristics. Cylindrical and irregular objects exhibit stable, low-amplitude vibrations; plate-shaped objects experience restricted motion due to large drag areas and symmetric contact constraints; whereas helical objects show the largest displacements arising from coupled axial–radial vibrations and complex vortical structures. These findings demonstrate that the interplay between aerodynamic forces and geometric complexity strongly governs the flow-induced vibration of foreign objects, offering insights into their motion behavior and potential impact on steam generator tube bundle integrity. Full article
(This article belongs to the Special Issue Advances in Thermal Hydraulics of Nuclear Power Plants)
Show Figures

Figure 1

21 pages, 3175 KB  
Article
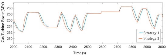
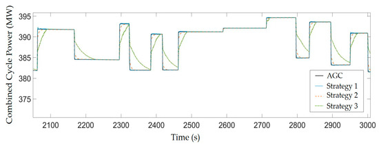
Improved Coordinated Control Strategy for Auxiliary Frequency Regulation of Gas-Steam Combined Cycle Units
by Zunmin Hu, Yilin Zhang, Tianhai Zhang, Xinyu Xiao, Li Sun and Lei Pan
Energies 2025, 18(22), 5997; https://doi.org/10.3390/en18225997 - 15 Nov 2025
Viewed by 496
Abstract
With the increasing penetration of renewable energy, the frequency regulation burden on thermal power units is growing significantly. Among them, combined cycle gas turbine (CCGT) units are playing an increasingly important role in grid ancillary services due to their high efficiency and low [...] Read more.
With the increasing penetration of renewable energy, the frequency regulation burden on thermal power units is growing significantly. Among them, combined cycle gas turbine (CCGT) units are playing an increasingly important role in grid ancillary services due to their high efficiency and low emissions. This paper investigates coordinated control strategies to improve the auxiliary frequency regulation capability of CCGTs, addressing the limitations of traditional control approaches where gas turbines dominate while steam turbines respond passively. A decentralized model predictive control (MPC) strategy based on rate-limited signal decomposition is proposed to improve auxiliary frequency regulation. First, a dynamic model of the F-class CCGT systems oriented towards control is established. Then, predictive controllers are designed separately for the top and bottom cycles, with control accuracy improved through a fuzzy prediction model, Kalman filtering and state augmentation. Furthermore, a multi-scale decomposition method for AGC (Automatic Generation Control) signals is developed, separating the signals into load-following and high-frequency components, which are allocated to the gas and steam turbines respectively for coordinated response. Comparative simulations with a conventional MPC strategy demonstrate that the proposed method significantly improves power tracking speed, stability, and overshoot control, with the IAE (Integral of Absolute Error) index reduced by 83.7%, showing strong potential for practical engineering applications. Full article
Show Figures

Figure 1

16 pages, 667 KB  
Article
Azeotropic and Extractive Distillation for Bio-Ethanol Dehydration: Process Design, Simulation, and Cost Analysis
by Mihaela Neagu and Marilena Pricop-Nicolae
Processes 2025, 13(11), 3634; https://doi.org/10.3390/pr13113634 - 10 Nov 2025
Cited by 1 | Viewed by 2410
Abstract
The global demand for sustainable fuels has intensified interest in bioethanol production. Conventional distillation is limited by the ethanol–water azeotrope at ~95.8 wt.% ethanol, necessitating alternative separation methods. This study presents a technical and economic comparison of bioethanol dehydration via azeotropic distillation using [...] Read more.
The global demand for sustainable fuels has intensified interest in bioethanol production. Conventional distillation is limited by the ethanol–water azeotrope at ~95.8 wt.% ethanol, necessitating alternative separation methods. This study presents a technical and economic comparison of bioethanol dehydration via azeotropic distillation using cyclopentane as a novel entrainer and extractive distillation with ethylene glycol. Steady-state simulations were conducted in AVEVA PRO/II v.2024 under identical feed conditions, targeting a final ethanol purity of 99.94 wt.%. Cyclopentane proved effective, producing high-purity ethanol and water streams free of entrainer, while ethylene glycol also achieved comparable purity. Economically, the azeotropic process required ~36.5% higher capital investment due to taller columns, larger condensers, and the entrainer cost, resulting in a total annual cost (TAC) ~25.6% higher than the extractive process. Nevertheless, the azeotropic configuration offers lower operating costs, relying solely on low-pressure steam, and residual cyclopentane in ethanol does not compromise fuel quality, unlike ethylene glycol. The study demonstrates that cyclopentane-based azeotropic distillation is technically viable for fuel-grade ethanol production and provides a quantitative framework for evaluating entrainer selection and process economics, particularly in regions where cyclopentane is available or cost-effective. Full article
(This article belongs to the Section Separation Processes)
Show Figures

Figure 1

16 pages, 1770 KB  
Article
Process Design and Simulation of Biodimethyl Ether (Bio-DME) Production from Biomethane Derived from Agave sisalana Residues
by Rozenilton de J. Rodrigues, Carine T. Alves, Alison B. Vitor, Ednildo Andrade Torres and Felipe A. Torres
Processes 2025, 13(11), 3451; https://doi.org/10.3390/pr13113451 - 27 Oct 2025
Viewed by 576
Abstract
This study presents the design and simulation of an integrated pathway to produce Biodimethyl ether (Bio-DME) from biomethane derived from Agave sisalana residues, focusing on the downstream sections such as: (i) steam reforming of biogas and water-gas shift to generate syngas and (ii) [...] Read more.
This study presents the design and simulation of an integrated pathway to produce Biodimethyl ether (Bio-DME) from biomethane derived from Agave sisalana residues, focusing on the downstream sections such as: (i) steam reforming of biogas and water-gas shift to generate syngas and (ii) indirect methanol synthesis followed by methanol dehydration to Bio-DME, including separation and recycle steps. The modeled scope excludes the anaerobic digestion stage. Benchmarking against the literature was used to validate model fidelity. The simulation delivered a single-pass methanol conversion of 81.8%, a Bio-DME reactor conversion of 44.6 mol%, and a Bio-DME yield/selectivity of ≈99 mol%; product purities reached ≈99.99 mol% Bio-DME at the first distillation column and ≈99.9 mol% MeOH in the recycle, indicating efficient separation. Compared to the literature, Bio-DME conversion in this study is slightly below the reported values (0.446 vs. 0.499, Δ = 0.053), while yield is very close to literature (0.99 vs. 0.9979, Δ = 0.0079). Incomplete methanol conversion emerges as the primary optimization lever, pointing to adjustments in operating conditions (T, p), recycle/purge strategy, and H2/CO control. Overall, the results confirm the technical feasibility of the simulated sections and support the development of a sisal-based, low-carbon Bio-DME route relevant to Northeast Brazil. Full article
(This article belongs to the Special Issue Biomass Pretreatment for Thermochemical Conversion)
Show Figures

Figure 1

15 pages, 1433 KB  
Article
Process Design and Techno-Economic Analysis of Heat Pump-Assisted Distillation for Crude Phenol Separation
by Dechang Meng, Liying Qin, Yuan Zhao, Jiawei Zhao, Chunping Yan, Chenghong Mou, Jieming Xiong and Chen Zhang
Separations 2025, 12(11), 290; https://doi.org/10.3390/separations12110290 - 23 Oct 2025
Viewed by 649
Abstract
In China, crude phenols, mixtures commonly produced in the coal industry, are inexpensive and abundant in supply, but their valorization is hindered by high energy consumption in the separation process. It is of great academic and commercial significance to improve the separation process [...] Read more.
In China, crude phenols, mixtures commonly produced in the coal industry, are inexpensive and abundant in supply, but their valorization is hindered by high energy consumption in the separation process. It is of great academic and commercial significance to improve the separation process of crude phenols to achieve energy efficiency and cost reduction. In this study, a heat pump-assisted distillation (HPD) system for crude phenol separation was developed. External vapor recompression was adopted due to the strong corrosiveness, high toxicity, heat sensitivity, and easy polymerization of crude phenols. Compared with conventional distillation (CD), HPD showed clear advantages in lowering operating costs. The effects of design variables including pressure, the number of theoretical plates and temperature differences between the condenser and reboiler on reflux ratios, kettle temperature, equipment costs, operating costs, and total annual cost (TAC) were investigated and optimized in detail. The effect of steam prices on process economic feasibility was also studied. It was found that HPD reduced at least 55% of the operational cost compared to CD when the steam price was higher than 10.8 USD/GJ. Carbon emission evaluation indicated that CO2 generated by the HPD process was 56.3% lower than CD. Full article
(This article belongs to the Special Issue Green Separation and Purification Technology)
Show Figures

Figure 1

22 pages, 9259 KB  
Article
Two-Phase Flow Studies in Steam Separators Using Interface Capturing Simulations
by Taylor E. Grubbs and Igor A. Bolotnov
J. Nucl. Eng. 2025, 6(4), 42; https://doi.org/10.3390/jne6040042 - 15 Oct 2025
Viewed by 1029
Abstract
The two-phase flow within a Boiling Water Reactor steam separator is investigated using an interface capturing method. The simulations are focused on resolving the flow around the first pickoff ring which is the highest contributor to steam carryunder phenomenon. Multiple simulations are conducted [...] Read more.
The two-phase flow within a Boiling Water Reactor steam separator is investigated using an interface capturing method. The simulations are focused on resolving the flow around the first pickoff ring which is the highest contributor to steam carryunder phenomenon. Multiple simulations are conducted of varying levels of resolution to evaluate the capabilities of interface capturing technique for this challenging problem. First, high-resolution simulations of the flow using a simplified 30° wedge are conducted without a swirling velocity field present in the actual system. In order to understand the flow field generated by the separator swirler, secondary simulations of single-phase flow passing through a swirler model are conducted. Using this information, a coarse simulation of the full 360° model was performed, which incorporated the effect of the swirler using a custom inflow boundary condition. Instantaneous carryunder/carryover along with void fraction and film thickness are evaluated at the pickoff ring entrance. Overall, these simulations demonstrate that interface capturing simulations can be an accurate tool for studying full-scale components within nuclear power plants. Full article
(This article belongs to the Special Issue Advances in Thermal Hydraulics of Nuclear Power Plants)
Show Figures

Figure 1

19 pages, 1042 KB  
Article
Efficient Separation of Isoamyl Alcohol from Fusel Oil Using Non-Polar Solvent and Hybrid Decanter–Distillation Process
by Mihaela Neagu, Diana-Luciana Cursaru, Alexey Missyurin and Octavian Goian
Appl. Sci. 2025, 15(18), 9954; https://doi.org/10.3390/app15189954 - 11 Sep 2025
Cited by 1 | Viewed by 1703
Abstract
Fusel oil is a fermentation by-product composed of a complex mixture of alcohols (ethanol, isoamyl, propanol, and butanol isomers) and water. The primary challenges lie in water separation and the recovery of the valuable component, isoamyl alcohol. In this work, we demonstrate an [...] Read more.
Fusel oil is a fermentation by-product composed of a complex mixture of alcohols (ethanol, isoamyl, propanol, and butanol isomers) and water. The primary challenges lie in water separation and the recovery of the valuable component, isoamyl alcohol. In this work, we demonstrate an efficient separation process using a non-polar, non-toxic, water-immiscible solvent, namely hexane, to reduce the water content of fusel oil from an initial 14 wt.% to 1.46 wt.% at a solvent to fusel oil ratio of 1:1 and to 0.55 wt.% at a 4:1 ratio. The proposed separation process was designed with a 1:1 ratio to minimize equipment size. In the first step, a decanter vessel enabled phase separation, followed by two distillation columns. The bottom product from the second column achieved a purity of 99.29 wt.% isoamyl alcohol (97.91 wt.% isomers and 1.38 wt.% hexanol) with a recovery rate of 97.33%. The distillate flows were directed to the second decanter vessel, recovering 99.665% of hexane. This study confirms the effectiveness of the proposed process in separation of highly valuable isoamyl alcohol from fusel oil via a hybrid decanter–distillation scheme. The proposed process attains a specific energy consumption in the reboilers of 0.65 kWh per kilogram of product (equivalent to 1.21 kg of steam per kilogram of product). This represents a notable improvement compared to the configuration reported by other authors for the separation of isoamyl alcohol using divided-wall columns (DWC), which requires 2785 kJ per kilogram of product (i.e., 0.774 kWh per kilogram of product). An economic analysis was performed to compare the process of separating isoamyl alcohol from fusel oil using the minimum hexane ratio (1:1) and the maximum ratio (4:1). All cost values increased significantly with higher solvent ratio. Remaining challenges include the purification of waste aqueous streams and future valorization of the hexane–alcoholic mixture. Full article
(This article belongs to the Section Applied Industrial Technologies)
Show Figures

Figure 1

Back to TopTop