Sign in to use this feature.

Years

Between: -

Subjects

remove_circle_outline
remove_circle_outline
remove_circle_outline
remove_circle_outline
remove_circle_outline
remove_circle_outline
remove_circle_outline
remove_circle_outline
remove_circle_outline

Journals

Article Types

Countries / Regions

remove_circle_outline
remove_circle_outline
remove_circle_outline
remove_circle_outline
remove_circle_outline
remove_circle_outline

Search Results (208)

Search Parameters:
Keywords = standing long jump

Order results
Result details
Results per page
Select all
Export citation of selected articles as:
15 pages, 529 KB  
Article
Performance Modifications Following 8 Weeks of Strength and Strength–Power Resistance Training in Adolescent Track and Field Athletes
by Aikaterini Delere, Nikolaos Zaras, Spyridon Methenitis, Angeliki Kavvoura, Panagiotis F. Foteinakis, Alexandra Avloniti, Marios Hadjicharalambous, Ilias Smilios and Athanasios Chatzinikolaou
Appl. Sci. 2026, 16(2), 812; https://doi.org/10.3390/app16020812 (registering DOI) - 13 Jan 2026
Abstract
Background: Strength and the strength–power continuum may increase athletic performance, although data are scarce regarding the effects of long-term periodized training on the athletic performance of adolescent track and field athletes. The purpose of this study was to investigate performance modifications following 8 [...] Read more.
Background: Strength and the strength–power continuum may increase athletic performance, although data are scarce regarding the effects of long-term periodized training on the athletic performance of adolescent track and field athletes. The purpose of this study was to investigate performance modifications following 8 weeks of strength and strength–power resistance training, focusing on the athletic performance of adolescent track and field athletes. Methods: Following an equivalent single-arm pre–post intervention design, 16 adolescent athletes (age: 16.3 ± 0.5 years; mass: 56.5 ± 10.4 kg; height: 1.67 ± 0.07 m) participated in the study. Athletes followed an 8-week periodized resistance training program aiming to increase strength and strength–power. Measurements were performed before (T1), at the middle (T2) and at the end of the training period (T3) and included the standing long jump, single-leg standing long jump, five-step long jump, seated medicine ball throw, 0–80 m sprint and 1RM in the bench press and parallel squat. Results: The standing long jump (F(2,14) = 109.564; η2 = 0.940; p = 0.001), single-leg long jump (F(2,14) > 41.801; η2 = 0.857; p = 0.001) and five-step long jump (F(2,14) = 148.564; η2 = 0.955; p = 0.001) improved significantly from T1 to T2 (p < 0.001) and from T2 to T3 (p < 0.001). The seated medicine ball throw (F(2,14) = 124.305; η2 = 0.947; p = 0.001) and sprinting performance (F(2,14) = 51.581; η2 = 0.828; p = 0.001) were significantly enhanced from T1 to T2 (p < 0.001) and from T2 to T3 (p < 0.001). The 1RM in the bench press (F(2,14) = 36.280; η2 = 0.838, p = 0.001) and in the parallel squat (F(2,14) = 48.165; η2 = 0.873, p = 0.001) increased significantly from T1 to T2 (p < 0.001) and from T2 to T3 (p < 0.01). Conclusions: Strength and the strength–power continuum appear to have a positive effect on the physical fitness of adolescent track and field athletes, which highlights the importance of strength-based resistance training programs in adolescent athletes. Full article
Show Figures

Figure 1

17 pages, 464 KB  
Article
Assessment of Motor Performance in Children with Autism Spectrum Disorder: The Relationship Between Clinical Characteristics and Intelligence—An Exploratory Cross-Sectional Study
by Jenan M. Alhussain and Alaa I. Ibrahim
Medicina 2026, 62(1), 145; https://doi.org/10.3390/medicina62010145 - 10 Jan 2026
Viewed by 99
Abstract
Background and Objectives: Evidence on motor performance in children with autism spectrum disorder (ASD) is scarce and inconsistent. The association of motor impairments with autism severity and intelligence remains insufficiently studied. We aimed to examine motor performance parameters in children with ASD [...] Read more.
Background and Objectives: Evidence on motor performance in children with autism spectrum disorder (ASD) is scarce and inconsistent. The association of motor impairments with autism severity and intelligence remains insufficiently studied. We aimed to examine motor performance parameters in children with ASD compared with typically developing (TD) peers. Materials and Methods: In this cross-sectional study, a convenience sample of 26 children with ASD, aged 4–10 years, was recruited from specialized centers in KSA, alongside 27 age- and sex-matched TD children. For the ASD group, severity (Childhood Autism Rating Scale, CARS-2) and intelligence quotient (Stanford–Binet Intelligence Scale, SB5) were extracted from medical records. CARS-2 score was utilized to categorize children with ASD into two groups (mild-to-moderate and severe groups). All study children were assessed for gross and fine motor skills using the Movement Assessment Battery for Children-2 (MABC-2), balance, muscle strength, endurance, and flexibility. Results: ASD groups recorded significantly lower scores in all MABC-2 component areas when compared to the TD group (p < 0.001). Aiming and catching percentile was significantly lower in the severe ASD group compared to the mild-to-moderate group (p = 0.05). Furthermore, children with ASD exhibited increased hypermobility, predominantly at the elbow joints, reduced grip strength, shorter distance in the modified 6 min walk test, and lower standing long-jump performance (p < 0.001) when compared to TD group; however, no significant difference was recorded between the ASD groups. Spearman correlation revealed that aiming and catching was negatively correlated with autism severity (CARS-2) (r = −0.38, p = 0.05) and positively with IQ (r = 0.51, p = 0.03). Aiming and catching was positively correlated with grip strength (r = 0.55, p = 0.003), endurance (r = 0.58, p = 0.002), and jump distance (r = 0.44, p = 0.03), while balance was positively correlated with grip strength (r = 0.44, p = 0.02). Conclusions: Children with ASD exhibit significant impairments in gross and fine motor performance compared with TD peers, accompanied by hypermobility, reduced strength, and diminished endurance. Notably, aiming and catching ability correlated with both IQ and autism severity as well as specific motor parameters, suggesting its potential as a clinical marker of motor–cognitive interaction in ASD. Full article
(This article belongs to the Section Pediatrics)
20 pages, 1187 KB  
Article
Physiological and Psychological Predictors of Functional Performance Related to Injury Risk in Female Athletes: A Cross-Sectional Study
by Monira I. Aldhahi, Hadeel R. Bakhsh, Bodor H. Bin sheeha, Mohanad S. Aljabiri and Rehab Alhasani
Healthcare 2026, 14(2), 174; https://doi.org/10.3390/healthcare14020174 - 9 Jan 2026
Viewed by 125
Abstract
Background and Objectives: Lower-extremity injuries are common among female athletes; however, their multifactorial predictors remain insufficiently understood. Given the interplay between physiological and psychological readiness in athletic performance, identifying the factors that influence lower limb performance is crucial for effective injury prevention. This [...] Read more.
Background and Objectives: Lower-extremity injuries are common among female athletes; however, their multifactorial predictors remain insufficiently understood. Given the interplay between physiological and psychological readiness in athletic performance, identifying the factors that influence lower limb performance is crucial for effective injury prevention. This study aimed to evaluate the predictive effects of physiological (VO2peak, anaerobic power, agility, and isokinetic strength) and psychological (resilience and self-efficacy) variables on functional performance related to risk of injury. Materials and Methods: This cross-sectional study included 60 athletes with a mean age of 24.5 ± 6.90 years and mean body mass index of 23.12 ± 3.6 kg/m2 (range: 16–30 kg/m2). The testing protocol included anthropometric measurements, the Lower Extremity Functional Test (LEFT), Wingate anaerobic cycling test, assessments of aerobic capacity, isokinetic muscle strength, and jumping performance (Single-Leg Hop [SLH] and Standing Long Jump [SLJ] tests). Psychological assessments included the General Self-Efficacy Scale (GSES) and a resilience questionnaire. A hierarchical regression analysis was performed. Results: The participants trained 5 ± 2 days per week and had 42 ± 39 months of sports experience. The mean VO2peak was 40.82 ± 5.8 mL·kg−1·min−1, relative anaerobic peak power was 7.53 ± 1.92 W/kg, and fatigue index was 60.63 ± 15.41%. The mean isokinetic knee extension and flexion torque were 184.55 ± 44.60 N·m and 95.08 ± 21.44 N·m, respectively, with a flexion-to-extension ratio of 53.5%. The mean LEFT completion time was 160 ± 22 s. The participants demonstrated moderate resilience (BRS = 21 ± 4) and good self-efficacy (GSES = 33 ± 7.5). Among the psychological variables, GSES exhibited a modest negative correlation with LEFT (r = −0.28, p = 0.02). No significant associations were found between LEFT and psychological resilience. Longer LEFT completion times were associated with lower VO2peak, mean power, and jump distance (p < 0.01). In the final model (R2 = 0.58, p = 0.02), SLH (β = −0.54), VO2peak (β = −10.32), and GSES (β = −0.70) were the strongest independent predictors of LEFT performance. Conclusions: SLH distance, VO2peak, and general self-efficacy are key predictors of functional performance on the LEFT among female athletes. These factors may serve as practical indicators for identifying athletes who could benefit from targeted injury prevention programs. Full article
Show Figures

Figure 1

15 pages, 947 KB  
Article
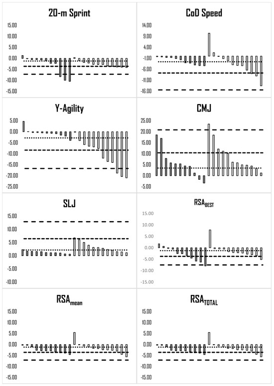
Effects of Repeated Forward Versus Repeated Backward Sprint Training on Physical Fitness Measures in Youth Male Basketball Players
by Ghofrane Arbi, Yassine Negra, Aaron Uthoff, Senda Sammoud, Patrick Müller, Helmi Chaabene and Younes Hachana
Sports 2026, 14(1), 16; https://doi.org/10.3390/sports14010016 - 4 Jan 2026
Viewed by 188
Abstract
This study aimed to examine the effects of eight weeks of repeated backward sprint training (RBST) versus repeated forward sprint training (RFST) on physical fitness measures. Twenty-three postpubertal male basketball players (mean age = 15 years) were randomly assigned to either an RBST [...] Read more.
This study aimed to examine the effects of eight weeks of repeated backward sprint training (RBST) versus repeated forward sprint training (RFST) on physical fitness measures. Twenty-three postpubertal male basketball players (mean age = 15 years) were randomly assigned to either an RBST group (n = 12) or an RFST group (n = 11). Pre- and post-intervention assessments measured 5-, 10-, and 20 m sprint performance, Y-agility, 505 change of direction (CoD) speed, countermovement jump (CMJ), standing long jump (SLJ), and RSA (RSA best time [RSAbest] and RSA mean time [RSAmean]). The RBST group significantly improved in all measures (p < 0.05; 6.11 to 19.25%; Effect size [ES] = 0.32 to 1.05) except RSAbest. The RFST group significantly improved 10 m sprint, SLJ, RSAbest, and RSAmean (p < 0.05; 6.25 to 17.84%; ES = 0.05 to 0.80). Between-group analysis revealed that RBST outperformed RFST in Y-agility and SLJ (p < 0.05; ES = −1.03 and 0.16, respectively). RBST was more effective for improving agility and lower-body power, while RFST provided a slight advantage in peak RSA. These findings suggest that incorporating task-specific sprint training may optimize physical performance in male youth basketball players. Full article
Show Figures

Figure 1

12 pages, 1109 KB  
Article
Physical Fitness Level in 9–11-Year-Old Italian Children Is Affected by Body Mass Index and Frequency of Sport Practice but Not by Peak Height Velocity and Relative Age Effect
by Mattia Varalda, Alexandru Nicolae Ungureanu, Alberto Coassin, Nicolò Maffei, Damiano Li Volsi, Paolo Riccardo Brustio and Corrado Lupo
Sports 2026, 14(1), 10; https://doi.org/10.3390/sports14010010 - 3 Jan 2026
Viewed by 239
Abstract
This study was aimed at analyzing physical fitness in 9–11-year-old children and verifying whether it is affected by body mass index (BMI), peak height velocity (PHV), quartile distribution (QD), and sport practice (SP), also considering any potential effects of sex. One thousand one [...] Read more.
This study was aimed at analyzing physical fitness in 9–11-year-old children and verifying whether it is affected by body mass index (BMI), peak height velocity (PHV), quartile distribution (QD), and sport practice (SP), also considering any potential effects of sex. One thousand one hundred forty-three Italian primary school children (50.7% males) underwent anthropometric measurements (body mass, height, and BMI) and physical tests for measuring coordination (Plate Tapping, PT), handgrip strength (HandGrip, HG), lower-limb power (standing long jump, SLJ), low-back flexibility (sit-and-reach, SR), and sprint (20 m sprint, 20 m) skills. A series of analyses of covariance (ANCOVAs) were conducted using age as a covariate to examine differences among subgroups for BMI, PHV, QD, and SP in relation to the different physical tests (i.e., PT, HG, SLJ, SL, 20 m). Sex was included in each model as fixed independent variable. Principally, participants with higher SP and BMI reported higher and lower performance (p < 0.001) in SLJ, SR, and 20 m tests, respectively. Differently, for higher BMI levels, higher HG performance was reported (p < 0.001). PHV and QD had isolated effects, whereas no effect emerged for PT. Sex interactions were found only for SP subcategories in SR (p ≤ 0.001, ES range = 0.74–1.30). Although physical performance in 9–11-year-old (non-competitive, pre-puberty) Italian students does not seem to be characterized by involuntary factors (such as PHV and QD), substantial opposite trends seem to exist for voluntary factors (such as BMI and SP), thus suggesting how an adequate lifestyle and physical activity could crucially lead to valuable fitness benefits. Full article
Show Figures

Figure 1

13 pages, 820 KB  
Article
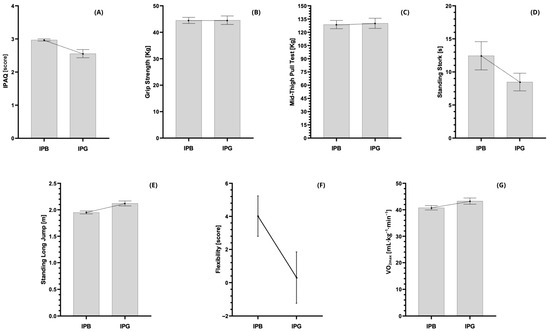
Physical Fitness and Physical Activity in Young Adults: A Comparative Study Between Two Higher Education Institutions
by Tatiana Sampaio, João P. Oliveira, Pedro M. Magalhães, José A. Bragada, Raul F. Bartolomeu, Catarina Vasques and Jorge E. Morais
J. Funct. Morphol. Kinesiol. 2026, 11(1), 22; https://doi.org/10.3390/jfmk11010022 - 31 Dec 2025
Viewed by 385
Abstract
Background: Evidence suggests that physical activity and fitness tend to decline during the transition to higher education, yet the influence of institutional environment on these variables remains unclear. Objectives: This study aimed to compare physical fitness and physical activity levels between first-year [...] Read more.
Background: Evidence suggests that physical activity and fitness tend to decline during the transition to higher education, yet the influence of institutional environment on these variables remains unclear. Objectives: This study aimed to compare physical fitness and physical activity levels between first-year students from two higher education institutions within the same national context. Methods: Fifty-eight male university students (IPB (Instituto Politécnico de Bragança): n = 31; IPG (Instituto Politécnico da Guarda): n = 27; mean age IPB = 19.2 ± 1.8 years; IPG = 19.8 ± 5.5 years) were assessed for body composition, handgrip strength, mid-thigh pull, standing long jump, stork balance, flexibility, and estimated VO2max (StepTest4all). Physical activity levels were determined using the International Physical Activity Questionnaire (IPAQ) and were classified as low, moderate, or high. Between-group comparisons were performed using independent samples t-tests, with statistical significance set at p < 0.05. Results: Students from IPB presented significantly higher IPAQ scores (2.97 ± 0.18) compared with those from IPG (2.56 ± 0.64; t = 3.235, p = 0.003, d = 0.90), along with superior standing long jump performance (1.95 ± 0.15 m vs. 2.12 ± 0.24 m; t = −3.239, p = 0.002, d = 0.85). No significant differences were observed for body composition, strength, flexibility, balance, psychological well-being or VO2max (all p > 0.05), although small effects were noted for flexibility (d = 0.50) and VO2max (d = 0.48). The distribution of physical activity categories revealed that 96.8% of IPB students were classified as highly active, whereas IPG students were more evenly distributed across high (63.0%), moderate (28.6%), and low (7.4%) activity levels. Conclusions: These findings indicate that institutional environment and access to exercise opportunities may influence physical activity behavior and lower-limb power in university students. Promoting structured physical activity programs and recreational opportunities within higher education may help sustain adequate fitness and health in this population. Full article
(This article belongs to the Special Issue Sports Medicine and Public Health, 2nd Edition)
Show Figures

Figure 1

17 pages, 358 KB  
Article
The Relationship Between Gamification Experience, Fitness Performance and Physical Activity Patterns—Gender Differences
by Gheorghe Adrian Onea
Educ. Sci. 2025, 15(12), 1651; https://doi.org/10.3390/educsci15121651 - 6 Dec 2025
Viewed by 474
Abstract
Background: This study examined the relationship between gamification experience, fitness performance, and physical activity patterns according to gender. Methods: A total of 622 students aged 13–14 years (52.1% boys, 47.9% girls) completed a six-week gamified PE program via the Sworkit platform, integrating progress [...] Read more.
Background: This study examined the relationship between gamification experience, fitness performance, and physical activity patterns according to gender. Methods: A total of 622 students aged 13–14 years (52.1% boys, 47.9% girls) completed a six-week gamified PE program via the Sworkit platform, integrating progress tracking, digital rewards, and challenge-based progression into three weekly instructor-led sessions. Fitness was measured pre- and post-intervention using the Youth Fitness International Test (YFIT) battery—BMI, 20 m shuttle run, handgrip strength, and standing long jump. Gamification experience was assessed with the Gamification User Experience Scale (GAMEX), and the Y-PATHS framework was applied to classify physical activity patterns. Results: Significant improvements were observed across all physical fitness indicators following the six-week gamified intervention. The largest gains occurred in the 20 m shuttle run (Δ = +4.3; F = 48.22; p < 0.001; η2 = 0.60) and handgrip strength (Δ = +2.6; F = 39.74; p < 0.001; η2 = 0.51), indicating substantial improvements in aerobic and muscular fitness. Standing long jump also showed notable progress (Δ = +7.7 cm; F = 35.12; p < 0.001; η2 = 0.48), while BMI decreased modestly but significantly (Δ = −0.3; F = 7.85; p < 0.001; η2 = 0.55). Overall, the ANOVA confirmed significant pre–post changes across all domains (p < 0.01; η2 = 0.41–0.62). Higher GAMEX scores correlated strongly with total fitness gains (r = 0.54; p < 0.001) and predicted performance improvement (R2 = 0.29). Conclusions: Gamified PE can enhance both fitness performance and physical activity patterns, with clear gender-specific trends. Integrating YFIT, GAMEX, and Y-PATHS offers a comprehensive framework for designing targeted, effective PE programs for adolescents. Full article
13 pages, 1473 KB  
Article
Youth Soccer Development After a Forced Training Interruption: A Retrospective Analysis of Prepubertal Players
by Federico Abate Daga, Italo Sannicandro, Alice Tanturli and Samuel Agostino
Sports 2025, 13(12), 435; https://doi.org/10.3390/sports13120435 - 4 Dec 2025
Viewed by 703
Abstract
This retrospective, non-interventional study investigated the impact of a forced training interruption, such as the COVID-19 nationwide lockdown, on the physical efficiency, performance, and technical-agility skills of prepubertal soccer players by comparing pre- and post-interruption cohorts within the same youth academy and at [...] Read more.
This retrospective, non-interventional study investigated the impact of a forced training interruption, such as the COVID-19 nationwide lockdown, on the physical efficiency, performance, and technical-agility skills of prepubertal soccer players by comparing pre- and post-interruption cohorts within the same youth academy and at the same chronological age. Anonymised data collected across multiple competitive seasons included anthropometric measures and motor performance tests: Standing Long Jump, Shuttle Run, Shuttle Dribble, and Mini Cooper. Between-group differences were analysed using Mann–Whitney U tests, with p < 0.05 as the level of significance. The post-training interruption cohort showed significantly higher values in the Standing Long Jump (+11.2%, p < 0.001) and the Shuttle Run (+8.0%, p = 0.011), indicating improved explosive power and agility-speed. Conversely, performance on the Shuttle Dribble test declined by 13.4% (p < 0.001), while Mini Cooper results and BMI did not differ significantly. These findings suggest that modifications to compulsory training and children’s natural adaptability may have enhanced physical abilities, whereas the lack of contextual and interactive practice negatively affected technical-agility skills. Coaches should incorporate alternative workouts to maintain motor performance and emphasise ball-related and decision-making drills within ecological and dynamic environments to maximise developmental outcomes. This study offers new insights into the adaptive responses of young athletes and provides practical lessons for future youth soccer development, particularly during periods of forced training interruption. Full article
Show Figures

Figure 1

12 pages, 368 KB  
Article
Velocity-Based vs. Percentage-Based Training: Superior Effects on Acceleration and Explosive Power in High School Triple Jump Athletes
by Bumchul Chung, Wonchul Bing and Donghyun Kim
Appl. Sci. 2025, 15(22), 12010; https://doi.org/10.3390/app152212010 - 12 Nov 2025
Viewed by 1612
Abstract
This study compared velocity-based training (VBT) with percentage-based training (PBT) on acceleration (30-m sprint) and explosive power in high school triple jump athletes. Twelve male national-level athletes were randomized (1:1, concealed allocation; blinded assessors) to VBT (n = 6) or PBT ( [...] Read more.
This study compared velocity-based training (VBT) with percentage-based training (PBT) on acceleration (30-m sprint) and explosive power in high school triple jump athletes. Twelve male national-level athletes were randomized (1:1, concealed allocation; blinded assessors) to VBT (n = 6) or PBT (n = 6). Both groups completed identical lower-body resistance training three times per week for eight weeks; the VBT group additionally received real-time barbell-velocity feedback with velocity-loss (VL) based set termination (15–20%). Performance was assessed using 30-m sprint, standing long jump (SLJ), standing triple jump (STJ), and vertical jump (VJ) at pre- and post-test. Statistical analysis included baseline-adjusted ANCOVA and effect sizes (Hedges’ g). VBT improved 30-m sprint (−1.08%, d = 0.89), SLJ (+2.07%, d = 1.02), STJ (+1.64%, d = 0.63), and VJ (+6.01%, d = 1.39; all p < 0.001). PBT also improved SLJ (+1.03%, d = 0.69; p < 0.001) and showed a moderate, statistically significant within-group gain in STJ (+0.56%, d = 0.72; p = 0.001), while improvements in 30-m sprint and VJ were modest. Between-group effects favored VBT across all outcomes. These preliminary findings suggest that VBT may provide more targeted neuromuscular adaptations than PBT, particularly in explosive movements relevant to triple jump performance. However, due to the modest sample size and limited precision, the results should be interpreted with caution and confirmed in larger, adequately powered randomized trials. Nevertheless, this study offers practical insight into load prescription for youth jump athletes and represents one of the first randomized trials to directly compare VBT and PBT in this population. Full article
Show Figures

Figure 1

15 pages, 422 KB  
Systematic Review
Mini-Basketball for Preschool and School-Aged Children with Autism Spectrum Disorder: A Systematic Review of Randomized Controlled Trials
by Daniel González-Devesa, Rui Zhou, Markel Rico-González and Carlos D. Gómez-Carmona
Healthcare 2025, 13(22), 2861; https://doi.org/10.3390/healthcare13222861 - 11 Nov 2025
Viewed by 600
Abstract
Background: Although the participation of children with autism spectrum disorder (ASD) in team sports presents challenges, group-based physical activities could offer specific benefits for their core symptoms. Therefore, the aim of this systematic review was to analyze the benefits of mini-basketball for children [...] Read more.
Background: Although the participation of children with autism spectrum disorder (ASD) in team sports presents challenges, group-based physical activities could offer specific benefits for their core symptoms. Therefore, the aim of this systematic review was to analyze the benefits of mini-basketball for children with ASD. Methods: A systematic review was conducted following PRISMA guidelines and was registered in PROSPERO (CRD420251144800). Four databases (Web of Science, SPORTDiscus, PubMed, and Scopus) were searched to select randomized controlled trials reporting the effects of mini-basketball interventions on children with ASD from their inception to August 2025. Results: Eight randomized controlled trials involving 436 participants (aged 3–12 years, 87.3% male) met the inclusion criteria. All studies were conducted in China using 12-week interventions (40–45 min, 2–5 days/week at moderate intensity). The quality was rated as good in two studies and fair in six. Five studies assessed social responsiveness, with four showing significant pre–post reductions in the experimental groups and all demonstrating superior outcomes versus those of the controls. One study reported significant reductions in repetitive behaviors, self-injurious behaviors, and restricted behaviors compared to that of the controls. Joint attention improvements were observed through eye-tracking measures, with increased fixation counts, shorter time to first fixation, and more accurate gaze shifts. Physical fitness benefits included improved shuttle run times and standing long jump performance. Finally, one study demonstrated better inhibition control and improvements in sleep quality, including increased sleep duration and efficiency. Conclusions: Mini-basketball interventions can improve social responsiveness and related outcomes in children with ASD. These findings support mini-basketball as a feasible, safe, and effective intervention that could be integrated with existing therapeutic approaches. Full article
Show Figures

Figure 1

13 pages, 1716 KB  
Article
Female Basketball Players’ Jump and Sprint Performance After Plyometric Jump Training Compared to Resistance Training
by Yuhang Tian, Kai Xu, Wenxuan Fang and Rodrigo Ramirez-Campillo
Sports 2025, 13(11), 374; https://doi.org/10.3390/sports13110374 - 1 Nov 2025
Viewed by 1324
Abstract
Background: Plyometric training (PT) and resistance training (RT) can improve jumping and sprinting performance, although their comparative effectiveness in elite female basketball players remain unknown. Objectives: To compare the effects of PT and RT on jumping and sprinting performance in elite female basketball [...] Read more.
Background: Plyometric training (PT) and resistance training (RT) can improve jumping and sprinting performance, although their comparative effectiveness in elite female basketball players remain unknown. Objectives: To compare the effects of PT and RT on jumping and sprinting performance in elite female basketball players. Methods: Thirty elite female basketball players were randomly assigned to PT (n = 10), RT (n = 10) or control groups (n = 10, standard basketball training). Performance assessments before and after the interventions (8 weeks, 16 training sessions) included countermovement jump (CMJ) height and peak power, drop jump (DJ) height and reactive strength index (RSI), standing long jump distance (LJ), CMJ with arm swing (CMJA) height, running CMJA height, and 22.2 m linear sprint time. Performance changes were analyzed using linear and Bayesian mixed-effects models. Results: Compared to controls, RT and PT improved the RSI. Additionally, PT improved (p < 0.05; posterior probability >0: 99.4–99.9%) CMJ height, CMJ peak power, DJ height and RSI, LJ, CMJA, Running CMJA and sprint time when compared to both controls and RT. Conclusions: Compared to RT, PT induced greater jumping and sprinting performance improvements in elite female basketball players. Full article
Show Figures

Figure 1

16 pages, 1699 KB  
Article
The Relationship of Anthropometric Characteristics and Motor Abilities with Vortex Throwing Performance in Young Female Track-and-Field Athletes
by Stjepan Strukar, Dražen Harasin and Barbara Gilić
Appl. Sci. 2025, 15(21), 11381; https://doi.org/10.3390/app152111381 - 24 Oct 2025
Viewed by 809
Abstract
The vortex throw, similar to the javelin throw, requires exceptional mastery of technique and specific motor abilities to ensure success. This study examines the anthropometric and motoric status of young female track-and-field athletes and investigates their relationship with vortex throwing performance. This research [...] Read more.
The vortex throw, similar to the javelin throw, requires exceptional mastery of technique and specific motor abilities to ensure success. This study examines the anthropometric and motoric status of young female track-and-field athletes and investigates their relationship with vortex throwing performance. This research included 63 young female athletes; the results of 14 motor tests, three anthropometric measures, and training experience were compared with vortex throwing distance and vortex release velocity. Pearson’s correlation analysis revealed that the most valuable strong correlation was between the release velocity and the throwing distance (r > 0.75), indicating that they almost equally contributed to throwing performance. The most valuable moderate correlations were those between the leg tapping test, the overhead medicine ball throw, and the chest medicine ball launch and the performance of both forms of throwing. Accounting for shared variance among predictors, multivariable models explained 43% of the variance in vortex release velocity and 58% in vortex throwing distance, with the standing long jump uniquely predicting release velocity and the overhead 1-kg medicine ball throw uniquely predicting throwing distance. Finally, the motor abilities recognized in athletes in this research are valuable indicators of quality throwing performance and could play a crucial role in throwing success, which supports previous evidence on similar topics. Collectively, these results support using release velocity alongside distance to evaluate youth vortex throwers and highlight simple field tests (leg tapping, medicine ball throws, and long jumps) as practical markers for training prescription and early talent identification. Full article
Show Figures

Figure 1

12 pages, 646 KB  
Article
Enhancing Karate Performance: Development and Validation of a Karate-Specific Change-of-Direction Test
by Said Ben Hassen, Raouf Hammami, Yassine Negra, Senda Sammoud and Roland van den Tillaar
J. Funct. Morphol. Kinesiol. 2025, 10(4), 417; https://doi.org/10.3390/jfmk10040417 - 23 Oct 2025
Viewed by 665
Abstract
Background: Change-of-direction (CoD) ability is critical in karate, yet sport-specific assessment tools are limited. This study aimed to evaluate the reliability and validity of a newly developed karate-specific CoD test for male and female athletes and to examine its relationships with other [...] Read more.
Background: Change-of-direction (CoD) ability is critical in karate, yet sport-specific assessment tools are limited. This study aimed to evaluate the reliability and validity of a newly developed karate-specific CoD test for male and female athletes and to examine its relationships with other motor performance measures. Methods: Thirty-six experienced karatekas (20 men: age 20.8 ± 1.8 years, height 1.79 ± 0.05 m, body mass 73.1 ± 10.6 kg; 16 women: age 21.2 ± 1.7 years, height 1.67 ± 0.04 m, body mass 63.5 ± 8.9 kg), all national squad members, participated. Athletes performed the karate CoD test twice to assess test–retest reliability, and completed additional CoD tests (Y CoD, T-half), linear sprint tests, standing long jump, and Y-balance tests to evaluate criterion validity and associations with other motor abilities. Results: The karate CoD test demonstrated excellent reliability (ICC = 0.996), with similar consistency in men and women. Criterion validity was supported by a meaningful correlation with the Y CoD test, but not with the T-half test. Associations with linear sprinting and lower-limb power (standing long jump) were weak or inconsistent, indicating that karate-specific CoD performance is distinct from general physical capacities. Conclusions: The karate CoD test shows good reliability and validity for assessing planned change-of-direction ability in elite karate athletes. Its use should be limited to pre-planned movements and complemented with other tests (e.g., reactive agility, sprinting, jumping, strength) for a fuller performance assessment. Full article
(This article belongs to the Section Kinesiology and Biomechanics)
Show Figures

Figure 1

13 pages, 461 KB  
Article
Sex-Specific Associations Between 2D:4D Digit Ratio and Physical Fitness in Prepubertal Children: Evidence from Standardized Agility, Strength, and Endurance Assessments
by Fatih Akgül, Ahmet Kurtoğlu, Rukiye Çiftçi, Özgür Eken, Bekir Çar, Alperen Şanal and Monira I. Aldhahi
Children 2025, 12(10), 1391; https://doi.org/10.3390/children12101391 - 15 Oct 2025
Viewed by 1276
Abstract
Background: The second-to-fourth digit ratio (2D:4D) serves as a non-invasive proxy for prenatal androgen exposure. While its relationship with adult athletic ability is well documented, evidence for its association with childhood physical fitness remains inconsistent, and links between 2D:4D and objective fitness measures [...] Read more.
Background: The second-to-fourth digit ratio (2D:4D) serves as a non-invasive proxy for prenatal androgen exposure. While its relationship with adult athletic ability is well documented, evidence for its association with childhood physical fitness remains inconsistent, and links between 2D:4D and objective fitness measures in prepubertal children are unclear. Methods: In this cross-sectional study, 338 prepubertal children (181 girls, 157 boys; aged 5–12 years) underwent precise measurement of right- and left-hand 2D:4D ratios (intra-class correlation coefficient = 0.94). Physical fitness was evaluated using standardized tests: the Illinois agility run, bent-arm hang, and standing long jump. Results: Among boys, higher 2D:4D ratios were modestly associated with prolonged bent-arm hang performance (β = 0.19, q = 0.04) and shorter Illinois agility times (β = −0.19, q = 0.04). No significant associations were observed in girls. All effect sizes were small, suggesting subtle, sex-dependent influences rather than robust predictors of performance. Conclusions: These findings indicate that prenatal hormonal environment may exert a limited, sex-specific influence on early physical fitness characteristics. Although biologically informative, the observed associations are insufficient for direct application in talent identification in sports. Longitudinal research incorporating direct hormonal measurements and broader populations is recommended to clarify developmental mechanisms and causal pathways. Full article
(This article belongs to the Section Global Pediatric Health)
Show Figures

Figure 1

19 pages, 1212 KB  
Article
The Effect of Hip Joint Functional Training on Speed, Flexibility, and Related Performance in Physical Education in College Students
by Lili Qin, Shuang Hu, Dengyun Xu, Huan Wang, Wei Xuan, Tianfeng Lu and Xingzhou Gong
Appl. Sci. 2025, 15(20), 11037; https://doi.org/10.3390/app152011037 - 14 Oct 2025
Viewed by 3696
Abstract
Recent studies have identified the hip joint as a central component of the human kinetic chain, playing a pivotal role in optimizing force transmission during movement. Enhancing its functional capacity represents an effective strategy for enhancing overall physical well-being and preventing injuries. This [...] Read more.
Recent studies have identified the hip joint as a central component of the human kinetic chain, playing a pivotal role in optimizing force transmission during movement. Enhancing its functional capacity represents an effective strategy for enhancing overall physical well-being and preventing injuries. This study investigates the effects of an eight-week hip joint functional training program on the health-related physical fitness, hip joint function, and factors associated with injury risk in university students from a track and field elective class. A total of 56 participants were randomly assigned to an experimental group (n = 28) or a control group (n = 28). The experimental group incorporated hip joint functional training, which comprising dynamic stretching and activation exercises, into their standard physical education (PE) class activities, while the control group continued with the regular physical education curriculum. Pre-intervention and post-intervention assessments included hip joint range of motion (ROM), functional movement screening (FMS), a 50 m sprint, standing long jump, sit-and-reach test, and spinal health evaluations. Results indicated that the experimental group demonstrated significant improvements in multi-directional hip range of motion (ROM), with examples including flexion increasing by 10° and external rotation by 9°. These improvements were accompanied by significant gains in functional movement screen (FMS) scores, with significant improvements in the Hurdle Step, whose median score increased to 3.0, Active Straight Leg Raise, and Rotary Stability components (all p < 0.05) compared to the control group. Furthermore, the training significantly reduced spinal asymmetry (axial trunk rotation reduced from 3.86° to 3.43°) and enhanced performance in the 50 m sprint (−0.26 s) and standing long jump (+0.08 m) (all p < 0.05). These objective improvements in functional movement patterns, postural alignment, and physical performance are associated with key biomechanical factors known to influence injury risk, such as the demonstrated gains in joint mobility and movement efficiency. Therefore, incorporating hip joint functional training into college physical education programs may effectively enhance students’ fundamental movement quality, improve joint stability, and promote postural health, thereby mitigating key biomechanical risk factors. This approach offers a practical strategy for educators to improve student physical health in general PE settings. Full article
(This article belongs to the Special Issue The Impact of Sport and Exercise on Physical Health)
Show Figures

Figure 1

Back to TopTop