Next Article in Journal
Analysis of Ten-Year Variations of Lightning Activity in Italy and Correlation with Land and Sea Surface Temperatures
Next Article in Special Issue
Effectiveness of Therapeutic Exercise in Physiotherapy with Blood Flow Restriction in Patients with Knee Pathologies: A Systematic Review
Previous Article in Journal
Methodological Framework for Semiconductor Fab Design Using Dynamo-Based Generative Design
Previous Article in Special Issue
Assessing External Peak Physical Demands in Under-19 Years and Professional Male Football
 
 
Font Type:
Arial Georgia Verdana
Font Size:
Aa Aa Aa
Line Spacing:
Column Width:
Background:
Article

The Effect of Hip Joint Functional Training on Speed, Flexibility, and Related Performance in Physical Education in College Students

Department of Physical Education, Sports and Health Research Center, Tongji University, Shanghai 200092, China
*
Author to whom correspondence should be addressed.
Appl. Sci. 2025, 15(20), 11037; https://doi.org/10.3390/app152011037
Submission received: 16 September 2025 / Revised: 12 October 2025 / Accepted: 13 October 2025 / Published: 14 October 2025
(This article belongs to the Special Issue The Impact of Sport and Exercise on Physical Health)

Abstract

Recent studies have identified the hip joint as a central component of the human kinetic chain, playing a pivotal role in optimizing force transmission during movement. Enhancing its functional capacity represents an effective strategy for enhancing overall physical well-being and preventing injuries. This study investigates the effects of an eight-week hip joint functional training program on the health-related physical fitness, hip joint function, and factors associated with injury risk in university students from a track and field elective class. A total of 56 participants were randomly assigned to an experimental group (n = 28) or a control group (n = 28). The experimental group incorporated hip joint functional training, which comprising dynamic stretching and activation exercises, into their standard physical education (PE) class activities, while the control group continued with the regular physical education curriculum. Pre-intervention and post-intervention assessments included hip joint range of motion (ROM), functional movement screening (FMS), a 50 m sprint, standing long jump, sit-and-reach test, and spinal health evaluations. Results indicated that the experimental group demonstrated significant improvements in multi-directional hip range of motion (ROM), with examples including flexion increasing by 10° and external rotation by 9°. These improvements were accompanied by significant gains in functional movement screen (FMS) scores, with significant improvements in the Hurdle Step, whose median score increased to 3.0, Active Straight Leg Raise, and Rotary Stability components (all p < 0.05) compared to the control group. Furthermore, the training significantly reduced spinal asymmetry (axial trunk rotation reduced from 3.86° to 3.43°) and enhanced performance in the 50 m sprint (−0.26 s) and standing long jump (+0.08 m) (all p < 0.05). These objective improvements in functional movement patterns, postural alignment, and physical performance are associated with key biomechanical factors known to influence injury risk, such as the demonstrated gains in joint mobility and movement efficiency. Therefore, incorporating hip joint functional training into college physical education programs may effectively enhance students’ fundamental movement quality, improve joint stability, and promote postural health, thereby mitigating key biomechanical risk factors. This approach offers a practical strategy for educators to improve student physical health in general PE settings.

1. Introduction

The hip joint, as a pivotal ball-and-socket joint, serves as the primary link between the trunk and lower limbs. Its stability and mobility are governed by a complex interplay of musculature, including the powerful gluteal group responsible for extension, abduction, and rotation; the iliopsoas as the primary hip flexor; and the deep rotators and adductor groups [1]. This intricate muscular synergy is fundamental for maintaining pelvic alignment, facilitating force transmission, and ensuring efficient movement patterns throughout the kinetic chain [2]. As society develops and lifestyles change, college students’ physical fitness has shown specific weaknesses [3]. Physical fitness test data indicates that students perform poorly in areas such as speed and flexibility, which are directly related to hip joint function, reflecting a weakening of the core functions of the lower limb kinetic chain [4]. As the key junction connecting the trunk and lower limbs, hip joint strength, range of motion, and neuromuscular control capabilities directly govern the efficiency of running and jumping movements and the extent of limb extension [5,6]. Deficiencies in hip joint function can hinder fundamental movement efficiency and may increase the risk of movement-related injuries [7,8]. Among the current college student population, such deficiencies have become a prominent issue hindering improvements in physical health, making systematic training targeting hip joint function in regular physical education classes particularly important [9,10].
Therefore, in recent years, functional training approaches targeting the hip joint have been recognized for their potential to improve movement quality and prevent injuries in general populations. Hip joint functional training is a systematic training program that uses specialized movement patterns to enhance hip strength, flexibility, range of motion, and neuromuscular control [11,12]. Evidence from athletic populations demonstrates the efficacy of such training. Multiple studies have confirmed that hip-focused interventions can enhance athletes’ stability, force output, and movement flexibility [13,14,15,16]. For instance, football players undergoing hip strength training showed significant improvements in range of motion and reduced risk of groin strains [16], while volleyball players benefited from enhanced balance through improved hip external rotator strength [17]. However, these studies exhibit considerable variability in training protocols, and their direct applicability to university students, who typically have lower training volumes, different baseline fitness levels, and distinct injury risk profiles, is limited. In contrast, evidence regarding hip functional training in general student populations is less extensive. While some studies in university settings have shown promising results [18,19], a recent research highlighted the need for more research specifically in physical education contexts [20]. This gap is particularly relevant given that the movement deficiencies and injury risks in a general student population differ substantially from those in elite athletes. Mechanistically, hip functional training can enhance neuromuscular coordination by stretching and strengthening hip muscle groups, optimizing joint movement patterns, improving force transmission efficiency, and enhancing speed and flexibility [21,22]. Investigating the impact of such training on college students’ physical fitness test performance and overall health levels is an effective approach to addressing the common issue of insufficient hip-related physical qualities in this population.
The Functional Movement Screen (FMS) provides a crucial link between hip joint function and overall movement competency. As a composite assessment of fundamental movement patterns, the FMS directly reflects the integrated capacity of the hip joint in terms of mobility, stability, and neuromuscular control [23]. Limitations in FMS components such as the deep squat, hurdle step, and in-line lunge often originate from or are exacerbated by hip dysfunction [24]. For instance, inadequate hip flexion or extension range of motion can compromise squat depth, while poor hip rotational control may manifest as instability during lunging movements. Therefore, improvements in FMS scores serve as a practical indicator of enhanced hip function and its translation to better movement quality and a key consideration for a student population where fundamental movement competence is a primary goal. Good hip joint function is essential for adequate range of motion and is a cornerstone of overall body mobility and flexibility [25]. In activities like running, adequate hip function contributes to lower limb mechanics and efficiency [26]. Additionally, stable hip joint function maintains trunk and lower limb force line alignment, which is key to ensuring postural health [27]. Therefore, hip joint functional training has significant implications for enhancing an individual’s functional movement capacity and overall physical health. Current research primarily focuses on exploring the role of hip joint functional training in enhancing athletic performance in competitive sports, facilitating rehabilitation for injured populations, and preventing sports injuries. However, evidence regarding the effects of hip joint functional training on healthy college students is limited. In conventional physical education settings, practical exploration of hip joint functional training programs and their effects are also notably lacking.
This study aims to evaluate the effectiveness of an 8-week hip joint functional training program designed for college students in regular physical education classes and to explore feasible implementation strategies. Specifically, this study will assess the impact of the training program on hip joint functionality (strength, flexibility, and range of motion), health-related physical fitness outcomes, and postural health, with the aim of informing effective strategies for physical education that enhance student physical health. Based on the existing evidence, we hypothesize that the experimental group receiving hip-focused functional training will demonstrate significantly greater improvements in multi-directional hip range of motion, Functional Movement Screen scores, athletic performance, and measures of postural health compared to a control group following standard physical education curriculum.

2. Materials and Methods

The participants were recruited from general track and field elective courses. The curriculum of these courses comprised two main components: foundational physical conditioning aligned with the Chinese National Student Physical Fitness Standard, and instruction in fundamental track and field techniques, such as jumping, hurdling. This population was specifically selected because they represent the typical college student enrolled in mandatory or elective PE programs and that’s the primary target for the proposed intervention. Their baseline physical fitness levels and exposure to a foundational, non-specialized physical education curriculum directly align with the study’s objective of improving fundamental, health-related physical qualities through hip joint training. All participants were required to attend three training sessions per week. The experimental group received hip joint functional training along with self-directed exercises, while the control group participated in conventional track and field instruction and regular running training. Pre- and post-test assessments were administered to all participants, and statistical analyses were conducted on the pre- and post-test data.

2.1. Participants

The study participants were undergraduate students enrolled in physical education courses at a public university in Shanghai. A total of 56 students, with a mean age of 18.42 ± 0.50 years and all aged 18 or above, were recruited through an open call. The inclusion criteria were established to: (1) ensure that any changes in hip function and performance could be attributed to the training intervention rather than recovery from a recent injury; (2) isolate the effects of training on healthy hip joint structures; and (3) confirm that participants had the baseline neuromuscular capacity to safely and effectively perform the training and testing protocols. These criteria were essential for minimizing confounding variables and ensuring the internal validity of the study.
After baseline testing, participants were randomly assigned to either an experimental group (n = 28) or a control group (n = 28) using a computer-generated random number sequence. The allocation sequence was concealed from the researchers enrolling participants until after baseline assessments were completed. All participants voluntarily participated in the study and provided signed informed consent. This study adhered to the principles outlined in the Declaration of Helsinki and was approved by the Ethics Review Committee of Tongji University (approval number: tjdxsr2025062) [28,29].
A priori sample size calculation was performed using G*Power software (Version 3.1.9.7). Based on an anticipated large effect size (f = 0.40) for the primary outcome (hip ROM), an alpha level of 0.05, and a power (1-β) of 0.80 for a repeated-measures ANOVA between-factor interaction, a total sample size of 52 was required. We recruited 56 participants to account for potential attrition.The baseline characteristics of all participants are presented in Table 1.

2.2. Study Design

To evaluate the effects of a hip-focused functional training program on hip function and health-related physical fitness in college students, a controlled experimental design was employed. The study lasted 10 weeks, consisting of one week of pre-testing, eight weeks of training, and one week of post-testing. The experimental procedure is illustrated in Figure 1. Performance testing was conducted over two days, with a 48 h interval between sessions. On Day 1, participants completed the 50 m sprint, seated forward bend, and hip joint range of motion assessments. On Day 2, they performed the standing long jump, functional movement screening, and posture and spinal health evaluations. A minimum rest period of 10 min was provided between tests to ensure adequate recovery [30].
All participants underwent training interventions three non-consecutive days per week: Monday, Wednesday, and Friday. The experimental group performed self-directed extracurricular exercises on Monday and Wednesday, and performed hip joint functional training during physical education class on Friday. The control group continued with the standard university track and field curriculum. This consisted of technical instruction and practice in running, such as sprints and middle-distance, jumping, and throwing events. Their Monday and Wednesday sessions consisted of 30 min of continuous running at a moderate intensity of 60–70% of maximum heart rate. This regimen was designed to reflect typical college PE activity without introducing the specific hip-focused functional exercises of the experimental intervention. The training sessions for both groups were supervised by three researchers including physical education instructors. After eight weeks of training, post-tests were administered under standardized conditions and in the same sequence as the pre-tests. The Testing and training process is illustrated in Figure 2.
In the field of sports training, numerous studies employ various functional training and stretching methods to enhance hip joint function, including strength, flexibility, and mobility [31]. This study developed a hip-focused training program based on existing literature and interviews with experts in sports science, physical education, and university health. The intervention period was set to 8 weeks, following the functional training effect cycle identified in the pre-experiment and considering the university’s physical education course schedule. The hip joint functional training plan is presented in Table 2. The experimental group participated in three 60 min hip joint functional training sessions per week. The training load followed a progressive overload principle. During the first 4 weeks, the focus was on mastering movement form and building foundational endurance, with repetitions maintained at the baseline level. From weeks 5 to 8, the training was progressed by cueing participants to perform the main circuit exercises, such as the Supine Hip Thrust and Kneeling Side Leg Lift, with increased range of motion and speed. This progression was designed to optimize neuromuscular efficiency and promote further adaptation. Each session followed a circuit training format, with a 30 s rest period between exercise sets and a 3 min rest period after completing one circuit. Adherence to the program was monitored by the supervising instructors who recorded attendance and ensured completion of the prescribed exercises and sets for each session. The overall attendance and compliance rate exceeded 95%.

2.3. Testing Tools and Variables

2.3.1. Research Tools

This study employed the SAB-ROM Joint Range of Motion Assessment System (Beijing Cyberfit Technology Co., Ltd., Beijing, China). According to the manufacturer’s technical specifications, the system demonstrates high intra- and inter-rater reliability [32]. To ensure measurement consistency in our study, all assessors were trained in a standardized testing protocol prior to data collection, and we maintained consistent participant positioning and instrument placement across all trials. The Axial Trunk Rotation (ATR) angle, a key indicator for scoliosis screening, was assessed using the ScoliosisTester ST-101 electronic device(Shendong Health Consulting (Shanghai), Shanghai, China). This portable inclinometer is designed to quantitatively measure truncal asymmetry in the Adam’s Forward Bend Test position, a well-established method for evaluating functional postural alignment scoliometer [33]. The manufacturer’s specifications indicate that the device meets relevant safety and quality standards (CE and RoHS certifications). To ensure measurement consistency in the present study, all assessors were trained in a standardized protocol, and consistent participant positioning and instrument placement were maintained across all trials. The Functional Movement Screen (FMS)(Yichi Sports (Shandong), Zibo, China) kit was used according to the standard manual [34]. All devices were calibrated according to manufacturer specifications before testing. The Seiko S056 stopwatch(Seiko Watch Corporation, Tokyo, Japan) was used to time the 50 m run [35]. A seated forward bend tester was used to assess participants’ flexibility. Kinnovea(version 0.9.5) software was used for stride analysis during running [36].

2.3.2. Research Variables

The research variables related to hip joint function included hip joint range of motion (ROM) and Functional Movement Screen (FMS) scores. Variables related to athletic performance included the 50 m sprint, standing long jump, sit-and-reach test, and stride length. Postural health was assessed using the scoliosis t-value.

2.4. Testing Methods

2.4.1. Hip Joint Range of Motion Test

This study employed the SAB-ROM system to measure hip joint range of motion. For each movement, participants performed three consecutive trials. A 10 s rest interval, determined through pilot testing to be optimal for maintaining movement stability, was implemented between trials within the same movement. No additional rest was provided between the different movement tests [37]. The highest value from the trials was recorded as the final score.

2.4.2. Scoliosis Assessment

This study employed the ScoliosisTester ST-101 electronic device to assess the Axial Trunk Rotation (ATR) angle, a common clinical indicator of spinal asymmetry [38]. It is important to note that the ATR measures surface topography and is a screening tool for asymmetries; it does not provide a radiographic diagnosis of structural scoliosis. The measured changes in ATR should therefore be interpreted as changes in functional posture and surface rotation rather than alterations in vertebral alignment. Participants followed the researchers’ instructions to stand with a flexed torso, and the researchers used the device to conduct the scoliosis assessment.

2.4.3. Functional Movement Screening

FMS assessments were conducted by two researchers who had completed official FMS Level 1 certification. Prior to data collection, they underwent additional practice sessions to ensure scoring consistency. All seven movement patterns were performed and scored strictly according to the standardized FMS protocol [39], with the researchers positioned to have a clear view of the frontal and sagittal planes. The total possible score was 21 points, with participants being scored according to their performance and the established scoring criteria.

2.4.4. Physical Fitness Test

Participants completed the 50 m sprint, standing long jump, and sit-and-reach tests. The 50 m sprint, standing long jump, and sit-and-reach tests were conducted following established procedures from the Chinese National Student Physical Fitness Standard [40], which have been widely validated for assessing speed, lower limb power, and flexibility in this population. For the 50 m sprint, researchers positioned high-definition cameras along the track, with staff at the starting line providing the signal and teachers timing the finish. Participants sprinted the 50 m to the best of their ability upon hearing the start command. Each participant completed two trials, with a 10 min interval between them. The standing long jump was administered with two trials separated by a minimum 30 s rest period. This protocol adheres to the Chinese National Student Physical Health Standard and is physiologically grounded in the kinetics of the phosphagen (ATP-CP) system. As the dominant energy pathway for maximal power output lasting a few seconds, the phosphagen system undergoes rapid recovery within this 30–60 s window, allowing for near-peak performance on subsequent trials [41]. The best score was recorded as the final result. Similarly, during the sit-and-reach test, each participant performed two trials, with a 30 s rest between them. The best score was recorded as the final result.

2.4.5. Stride Analysis

Video footage of the 50 m run test was used for stride analysis, with Kinnovea software employed to perform stride comparison measurements.

2.5. Control Variables

This study targeted university students enrolled in track and field courses. Participants were selected based on background variables, including age, gender ratio, and Functional Movement Screen (FMS) data, which demonstrated homogeneity. The control variables included training conditions, training frequency, training time, and training load. To ensure consistency, both the control and experimental groups participated in physical education classes during the same teaching periods, with identical time allocation for instruction and training, uniform training load in the teaching content, and consistent training locations, durations, and intensities throughout the week.

2.6. Data Analysis

All statistical analyses were performed using SPSS 27.0 (IBM Corp., Armonk, NY, USA). The normality of data distribution for all continuous variables was confirmed using the Shapiro–Wilk test (p > 0.05). The homogeneity of baseline data between the experimental and control groups for demographic and outcome variables was assessed using independent samples t-tests (p > 0.05).
To evaluate the intervention effects, a two-way (Group: EG, CG × Time: Pre, Post) repeated-measures analysis of variance (ANOVA) was conducted for continuous, normally distributed data (hip ROM, physical performance tests). For the ordinal FMS data, non-parametric tests were employed. The within-group (pre-post) changes were analyzed using the Wilcoxon signed-rank test for both the EG and CG separately. Between-group comparisons of the change in scores (post-test minus pre-test) were analyzed using the Mann–Whitney U test. Effect sizes for non-parametric tests were calculated as r (r = Z/√N), with values of 0.1, 0.3, and 0.5 representing small, medium, and large effects, respectively. The significance level was set at p < 0.05. Partial eta-squared (η2) was calculated as the effect size for ANOVA, with η2 > 0.14 indicating a large effect size [42].
A post hoc power analysis was conducted using the observed effect size for hip flexion ROM (η2 = 0.847), which confirmed that the achieved statistical power for this outcome exceeded 0.99.

3. Results

3.1. Hip Joint Function and Athletic Performance

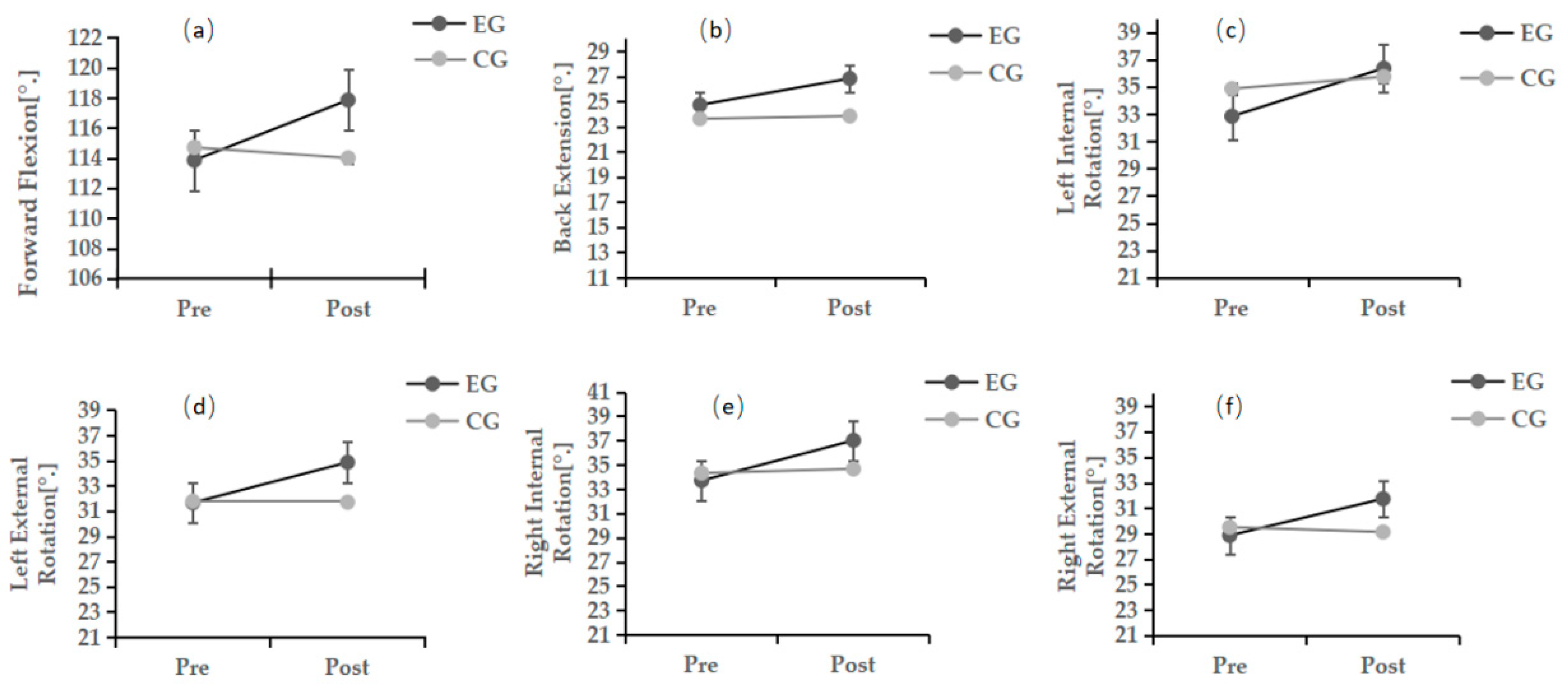
The results of statistical analysis showed that after 8 weeks of hip joint functional training intervention, the experimental group (EG) showed statistically significant improvement in multiple directions of hip joint range of motion (ROM) (including flexion, dorsiflexion, left and right internal rotation and external rotation) (all directions p < 0.001). In contrast, the control group (CG) did not show significant changes during the same period. These improvements were associated with very large effect sizes (η2 = 0.738 to 0.847), indicating that the training intervention explained the main part of the result variation. There was a significant interaction effect between the group (EG vs. CG) and the test time which further confirmed the effectiveness of the intervention effect. Functional training of the hip joint can effectively improve the multi-directional ROM. The observed improvements in ROM indicate enhanced flexibility and joint function. The potential physiological adaptations underlying these changes are discussed in Section 4.1. These results are supported by the data presented in Figure 3.

3.2. Functional Movement Screening and Hip Joint Function

Statistical analysis using non-parametric tests (Table 3) revealed that the experimental group demonstrated significant improvements in multiple FMS components following the 8-week hip joint functional training intervention. Within-group comparisons using the Wilcoxon signed-rank test showed significant improvements in the Hurdle Step (p < 0.001), Active Straight Leg Raise (p = 0.021), Push-up (p = 0.013), and Rotary Stability (p = 0.007) for the experimental group, while the control group showed no significant changes in any FMS components.
Between-group comparisons of change scores using the Mann–Whitney U test confirmed that the improvements in the experimental group were significantly greater than those in the control group for the Hurdle Step (p = 0.002, r = 041), Active Straight Leg Raise (p = 0.045, r = 0.27), and Rotary Stability (p = 0.018, r = 0.32), representing medium to large effect sizes.
These improvements in FMS performance are physiologically linked to the enhanced multi-directional range of motion of the hip joint observed in this study. The significant improvement in Hurdle Step performance (r = 0.41) suggests that the training enhanced the hip joint’s ability to transition between eccentric and concentric contractions during dynamic postural control, thereby reducing energy leakage. The improvement in Active Straight Leg Raise supports the enhanced extensibility and reduced neural inhibition of the hip extensor muscle group.
Hip functional training effectively optimized performance in FMS movements involving hip dynamic stability. These improvements, along with the enhancement of hip joint multi-directional range of motion, confirm the training’s positive effects on the synergistic contraction ability of the hip muscle groups, posterior chain flexibility, and neuromuscular control efficiency. The training also showed benefits for upper body stability components, suggesting broader neuromuscular adaptations. However, its transfer effects on some complex multi-joint movement patterns appeared limited, suggesting that future interventions could incorporate more whole-body kinetic chain training elements. (All of this information is presented in Table 3).

3.3. Scoliosis Assessment and Athletic Performance

Statistical analysis indicated that, compared to the control group (CG), the experimental group (EG) demonstrated statistically significant improvements in both athletic performance and scoliosis indicators following an 8-week hip functional training intervention (p < 0.05).
The hip functional training intervention resulted in significant enhancements in physical fitness performance and significant improvements in spinal posture, with its mechanism being linked to the increased hip range of motion (ROM) shown in the results for hip ROM. Specifically, increased stride length is directly associated with improved hip extension ROM (male: 2.50 ± 0.76°, p < 0.01), reflecting the optimization of the hamstring-gluteal muscle kinetic chain. The improvement in standing long jump supports the enhanced concentric-eccentric contraction efficiency of the hip flexor-extensor muscle groups. Training optimizes the strength-flexibility balance and the synergistic contraction capacity of the hip musculature, thereby enhancing neuromuscular control efficiency across the hip-pelvis-spine kinetic chain and improving functional performance in complex movement patterns, such as running and jumping.
The reduction in ATR is a novel finding. While a mean change of 0.43° is below the commonly cited 3–5° threshold considered clinically significant for scoliometer screening, its interpretation differs in our context of functional training for a healthy population. This reduction likely reflects improved neuromuscular control and muscular symmetry around the pelvis and hip, leading to a more neutral functional posture during the Adam’s forward bend test. Research indicates that even small reductions in asymmetrical loading, if sustained, may lower the risk of developing chronic non-structural postural issues and associated low back pain over time [43]. Therefore, while not a structural ‘correction’, this change represents a beneficial shift in a modifiable risk factor, which is highly relevant for a sedentary student population. Future studies should investigate if such training can yield larger, clinically significant reductions in ATR in individuals with higher baseline asymmetry.
This intervention, through integrated hip functional training, simultaneously enhances three dimensions: athletic performance, flexibility, and postural health, demonstrating the biomechanical effects of multi-system synergistic enhancement. (All of this information is presented in Table 4).

4. Discussion

This study assessed the impact of hip function on fundamental movement competencies, as well as the role of hip functional training in promoting postural health among college students. The intervention led to significant improvements in hip function, movement efficiency, and postural alignment, providing empirical support for integrating such exercises into university physical education to enhance student health.

4.1. The Application of Hip-Focused Exercises in Improving Functional Health

The primary finding of this study is that an 8-week hip-focused functional training program significantly improved multi-directional hip ROM in a sample of generally healthy college students. This aligns with research conducted in similar sedentary or general populations. For instance, one study on sedentary adults and another on university students also reported comparable improvements in hip mobility following structured exercise programs [18,44]. While studies on athletes often report larger effect sizes [45], our results demonstrate that meaningful improvements are achievable in a non-athletic population through integrated PE curricula. This enhancement in ROM is particularly relevant for counteracting the negative effects of prolonged sitting, a common behavior among college students that leads to hip stiffness and compromised movement quality.
The underlying mechanisms for these improvements are multifaceted and interact synergistically across different physiological levels. While the present study did not directly measure these parameters, the observed enhancements in ROM and FMS performance can be plausibly explained by established physiological principles supported by prior research. The combination of static and dynamic stretching likely improved the compliance and viscoelastic properties of the connective tissues surrounding the hip joint, as demonstrated in studies on stretching interventions [46,47]. Concurrently, the functional movement patterns, such as hurdle steps and hip rotations, are posited to have enhanced neuromuscular coordination and proprioceptive control. Research suggests that such training can optimize muscle spindle sensitivity and motor unit recruitment, which may account for the more efficient and stable movement patterns observed in the FMS results [48]. Therefore, the synergistic adaptation of both the passive and active subsystems likely contributed to the overall improvement in hip joint function and movement quality observed in this student population.

4.2. Hip Functional Training in Enhancing Functional Fitness, Postural Health, and Pedagogical Application

The hip functional training program implemented in this study was designed not only as a physical intervention but as a pedagogical tool to improve fundamental movement patterns and support postural alignment through a series of targeted, functional movements. Its paramount benefits for the college student population lie in this holistic approach to strengthening the core and lower body, which is essential for counteracting the detrimental effects of sedentary lifestyles, improving performance in daily activities, and promoting long-term musculoskeletal health [49].
The training targeted key functional domains. Hip extension exercises are fundamental for daily activities like rising from a seat and for athletic performance, potentially reducing strain on the lower back. From a pedagogical perspective, teaching efficient posterior chain activation is a core principle in physical education [34]. Furthermore, rotational control exercises and dynamic stretching are posited to enhance postural stability and muscular balance around the pelvis.
Hip extension training, represented by supine hip extension and knee-supported backward push exercises, significantly enhances the contraction force and contraction rate of the hip extensor muscle group by repeatedly reinforcing the synergistic contraction pattern of the gluteus maximus and hamstring muscles. This foundational strength is critical for students, as powerful hip extension is the engine behind everything from rising from a chair and climbing stairs to executing proper lifting techniques, thereby potentially reducing strain on the lower back. From a neuromuscular physiological mechanism perspective, this training increases the intensity of motor cortex projections to the hip muscle groups, enhances the synchronized discharge of α motor neuron pools, and improves the spatiotemporal coordination of motor unit recruitment, enabling efficient energy conversion during muscle contraction [50]. During the push-off phase, this neuromuscular adaptation causes the peak of ground reaction force to occur in biomechanical coupling with the movement phase, providing a powerful propulsive torque for the body’s forward linear displacement. From a pedagogical standpoint, teaching students to activate their posterior chain efficiently is a fundamental movement principle that enhances performance in a wide array of physical activities taught in PE curricula, from running to jumping [51]. Closed-chain training such as single-leg hurdle jumps can optimize the alternating activation sequence of flexor muscles during the gait cycle through repeated modulation of proprioceptive input signals,—extensor muscles during the gait cycle, reducing energy expenditure by optimizing antagonist muscle activation. This simultaneously enhances acceleration capacity and improves movement economy in sprinting, aligning with the physiological principles of energy efficiency in muscle work. For the college student, improved movement economy translates to the ability to engage in physical activities with less fatigue and greater enjoyment, which is a key factor in promoting adherence to a physically active lifestyle which is a core goal of university physical education.
At the postural control level, the rotational control training designed in the program, such as seated 90° hip rotation and kneeling bar-held leg lifts, utilizes continuous proprioceptive input to dynamically regulate the tension-length relationship of the hip internal rotator muscle group. From a biomechanical modeling perspective, this regulation balances the moment arm forces on both sides of the hip in the coronal plane, effectively inhibiting compensatory pelvic tilt. The mechanism involves the reorganization of the spinal cord-level postural reflex loop. This subconsciously improved postural control is invaluable for students who spend long hours studying at desks, as it helps maintain a healthier spinal posture without conscious effort, mitigating the risk of developing chronic postural pain [52]. Dynamic stretching and posterior chain stretching exercises can increase the viscoelastic reserve of the hamstring muscles through adaptations in soft tissue properties and neuromuscular function [53]. From a tissue mechanical properties perspective, this significantly improves their passive stretching capacity. The two work together through the vector superposition effect of forces to reduce the torsional load on the spine, aligning with the load-sharing principle of spinal biomechanics. This reduction in spinal load is a direct biomechanical benefit that contributes to the prevention of low back pain, a common complaint among students, and enhances their comfort and tolerance for both prolonged sitting and physical exertion [54].
A deeper analysis reveals that the functional coupling design of the training content, especially multi-plane composite movements such as walking before and after hurdling, can simultaneously activate hip joint flexion, abduction, and rotation functions. From a neurokinetic perspective, this three-dimensional movement pattern enhances the neural drive efficiency of the corticospinal tract to lateral explosive force-related muscle groups, manifested as a reduction in motor unit activation thresholds and an increase in firing frequency; simultaneously, by increasing the stiffness of the core-pelvic region (primarily through enhanced co-activation of the transverse abdominis and multifidus muscles), from the perspective of optimizing force transmission pathways, it reduces force scattering and attenuation during transmission, significantly improving the biomechanical integrity of force transmission pathways, enabling force transmission between the trunk and limbs to align with optimal mechanical pathway principles. Teaching students to generate and transfer force efficiently through movements like these is a primary objective of functional physical education. It empowers them to move confidently and safely in unpredictable environments, which is the ultimate expression of functional fitness transferable to daily life [55].
Ultimately, this approach achieves synergistic benefits in enhancing athletic performance and promoting postural health through three mechanisms: neuromuscular control restructuring (by improving muscle group spatio-temporal coordination), soft tissue mechanical property regulation (by enhancing the viscoelasticity and stiffness matching of materials), and power chain energy transmission optimization (by reducing energy dissipation during force transmission). This fully highlights the core biomechanical value of the hip joint as a power hub in the integration of the human musculoskeletal system and postural control system. Therefore, hip-focused training should not be viewed merely as a performance-enhancing modality but as an essential component of a comprehensive university physical education program aimed at fostering resilient, healthy, and physically literate graduates.
Beyond statistical significance, it is crucial to consider the practical relevance of the observed improvements. While established minimal clinically important difference (MCID) values for sprint, jump, or FMS in this specific population are lacking, several indicators suggest our findings are meaningful. The effect sizes (η2) for key outcomes like ROM and physical performance were very large (η2 > 0.60), far exceeding the threshold for a substantial effect. For instance, the reduction in 50 m sprint time (0.26 s) and the increase in standing long jump distance (0.08 m) represent practically relevant enhancements for fundamental movement skills in a general student population. Similarly, the improvement in FMS scores, particularly in movements like the hurdle step, active straight leg raise, and rotary stability, reflects improved movement efficiency and reduced compensatory patterns, which are foundational for injury-resilient physical activity [45]. The medium to large effect sizes (r = 0.27–0.41) for these FMS components further support the practical significance of these improvements. Therefore, the changes observed are unlikely to be merely statistical artifacts but are indicative of tangible functional benefits.

4.3. Implications for Health-Oriented Teaching: Integrating Hip-Functional Training into Physical Education to Enhance Student Well-Being

This study proposes a paradigm shift in physical education pedagogy, moving from a purely skill-based teaching approach to a “concept-movement integrated” method that explicitly links functional hip exercises to health education and lifelong well-being. Through a stepwise training task design, the foundational layer employs static and dynamic stretching to activate hip joint proprioceptors, establishing neural representations of joint spatial position in the motor cortex, thereby laying the perceptual foundation for complex movement control. This enhanced proprioceptive awareness is a critical health outcome, as it enables students to maintain better postural control during prolonged sitting in lectures and during daily activities, directly addressing the postural deficits common in sedentary student populations. The reinforcement layer incorporates verbal cues such as “hip-dominant force generation” during single-leg deadlifts to reconfigure neural activation patterns, correct “knee compensation” errors in movement programs, and establish a force generation sequence of “gluteal muscle priority contraction—proximal femur control—core synergistic stability”. This corrective approach is fundamental to injury prevention, teaching students movement patterns that protect their joints during both sports and activities of daily living. The transfer layer employs multi-plane tasks such as hurdle walking, utilizing dynamic environmental constraints (hurdle height, rotational angle) to reinforce multi-plane hip joint coordination control, achieving bidirectional reinforcement of neural adaptation and movement patterns, aligning with the “decomposition-integration” progression of skill learning. This final stage ensures that the improvements in hip function are not isolated but are seamlessly integrated into complex, whole-body movements, thereby enhancing overall movement competency and safety—the cornerstone of an active, injury-free lifestyle [56].
The “Dual-track behavioral consolidation mechanism” is particularly suited for the university setting: it leverages an “autonomous training check-in system” to establish a cognitive-behavioral synergy pathway. From the perspective of behavioral shaping theory, this closed-loop system activates the dopamine reward circuit through “goal setting—execution feedback—habit reinforcement”, transforming training behavior from external requirements into internal motivation, ultimately forming the lifelong ability of “motion perception—error identification—autonomous correction”. This fosters self-efficacy and intrinsic motivation for physical activity, which are key psychological determinants for maintaining exercise habits long after graduation, thus achieving the ultimate goal of lifelong health [57].
Based on practical experience, the following application solutions are proposed:
(1)
Scenario-adapted training methods: Track and field events employ a combination of “dynamic and static stretching + hip functional training” to enhance the rapid contraction of hip extensor muscle groups and three-joint coordination efficiency, expanding ROM while maintaining the elastic stiffness of the ligament-tendon complex. Training methods must be scenario-adjusted based on the differentiated functional requirements of the hip joint for specific sports. This principle of specificity ensures that the health benefits of training are directly transferable to the physical activities that students are engaged in, increasing the perceived relevance and value of the PE curriculum.
(2)
Individualized implementation of training methods: For individuals with limited hip joint mobility, progressive stretching training is used to first improve iliopsoas muscle adhesions and then enhance muscle strength; for those with integrated movement patterns, “single-leg balance walking” is employed to strengthen unilateral strength and bilateral coordination. Training strictly follows the “progressive loading-functional priority” principle to establish neuromuscular control. This individualized and progressive approach is essential in an educational context with diverse student abilities, as it ensures inclusivity, minimizes the risk of exercise-related injuries, and allows all students to experience success and build confidence in their physical capabilities.
(3)
Key Health Benefits and Application Efficacy: Incorporating these exercises into physical education classes can strengthen the core and pelvic region, improving overall movement efficiency. Specifically, it helps prevent injuries, improve hip rotation control, and reduce the risk of anterior cruciate ligament injuries in the knee joint. For the large population of students with sedentary lifestyles, these exercises are not merely beneficial but essential [citation would strengthen this claim]. They can effectively alleviate and prevent lower back pain by correcting muscle imbalances and optimizing the alignment of the lumbar spine and pelvis, thereby directly combating a primary musculoskeletal complaint in this population and promoting long-term postural health.
This integrated model successfully achieves the fundamental objectives of health-oriented physical education: “injury prevention—health maintenance—lifelong habit formation”. By translating empirical findings into an actionable pedagogical framework, this study underscores the profound practical value of prioritizing hip-centric functional training as a core component of a modern, health-focused college physical education curriculum.

4.4. Limitations

This study has several limitations that should be considered when interpreting the results. First, the relatively small and homogeneous sample of students from a single university track and field class limits the statistical power and generalizability of our findings to the wider college student population, including those less active or from different cultural backgrounds. Future research should recruit larger, more diverse cohorts from general PE classes. Second, while randomization was performed, the absence of allocation concealment details and blinding of participants and assessors may introduce potential for bias. Third, the FMS testing was conducted after a standardized 5 min warm-up typical in the PE class, which deviates from the standard FMS protocol that requires no warm-up to assess baseline functional mobility. This may have inflated the FMS scores and affected the validity of the results. Fourth, the reliance on the ATR for postural assessment, as noted in the methods, captures functional asymmetry but not structural change. It is important to emphasize that ATR is a screening tool and does not provide a diagnosis of structural scoliosis; the observed changes should be interpreted as improvements in functional posture rather than structural corrections. The inclusion of more comprehensive health-related fitness measures, such as muscular endurance and cardiorespiratory fitness, would have provided a broader perspective on the intervention’s impact. Finally, the 8-week duration precludes any conclusions regarding the long-term persistence of the observed benefits or their efficacy in preventing injuries over time.

5. Conclusions

This study demonstrated that an 8-week hip-focused functional training program integrated into standard physical education significantly improved hip joint range of motion, functional movement quality, and physical performance in college students, while also reducing measures of spinal asymmetry. These findings indicate that hip joint mobility is a key component of functional fitness, with enhancements in multi-directional ROM contributing to more efficient and stable movement patterns. The exercise program effectively improved factors biomechanically associated with injury risk. For practical implementation, we recommend dedicating approximately 15–20 min, twice per week, within a standard 90 min PE class to this training protocol. The exercises can be adapted for various sports disciplines by emphasizing the most relevant hip movements. In summary, these findings provide preliminary evidence supporting the feasibility of incorporating hip-functional exercises into undergraduate physical education to enhance fundamental movement competencies. However, the long-term efficacy and broader applicability of this approach warrant further validation through larger-scale and longitudinal studies.

Author Contributions

Investigation, H.W., W.X. and T.L.; Data curation, D.X.; Writing—original draft preparation, S.H.; Writing—review and editing, L.Q.; Supervision, X.G. All authors have read and agreed to the published version of the manuscript.

Funding

This research received no external funding.

Institutional Review Board Statement

The study was conducted in accordance with the Declaration of Helsinki and approved by the Institutional Review Board of Tongji University, China (approval number: tjdxsr2025062, 31 March 2025).

Informed Consent Statement

Due to the almost no risk to the subjects in this study, the Ethics Committee of the Department of Medicine and Life Sciences at Tongji University has agreed to waive the application for signing the informed consent form for the subjects.

Data Availability Statement

The raw data supporting the conclusions of this article will be made available by the authors on request.

Conflicts of Interest

The authors declare no conflicts of interest.

References

  1. Xu, W.; Ghaziani, A.O.; Khanduja, V.; Pattyn, C.; Duquesne, K.; Van Couwenberghe, G.; Audenaert, E. Anatomy, Biomechanics and Function of the Hip Capsule: A Narrative Review from a Surgeons Perspective. Clin. Biomech. 2025, 127, 106588. [Google Scholar] [CrossRef] [PubMed]
  2. Matsui, T.; Hirata, K.; Miyamoto, N.; Akagi, R. Adaptive Walking Performance Is Related to the Hip Joint Position Sense During Active Hip Flexion Rather than During Passive Hip Flexion. Front. Sports Act. Living 2025, 7, 1510447. [Google Scholar] [CrossRef] [PubMed]
  3. Aldean, V.F.O.; Rubio, C.O.V.; Enriquez, N.R.O.; Duque, M.F.R.; Sánchez, J.L.M. Relationship Between Body Fat Percentage and Muscle Mass in Ecuadorian University Students: A Cross-Sectional Study. Arrancada 2025, 25, 160–171. [Google Scholar]
  4. Lanza, M.B.; Kang, J.H.; Karl, H.; Myers, J.; Ryan, E.; Gray, V.L. Hip Abductor Power and Velocity: Reliability and Association with Physical Function. J. Strength Cond. Res. 2023, 37, 284–290. [Google Scholar] [CrossRef]
  5. Young, P.W. Effects of Hip Joint Strengthening on Muscle Strength, Y-Balance and Low Extremity Injury Criterion in Athletics. J. Korean Appl. Sci. Technol. 2021, 38, 1345–1353. [Google Scholar]
  6. Bonneau, N.; Baylac, M.; Gagey, O.; Tardieu, C. Functional Integrative Analysis of the Human Hip Joint: The Three-Dimensional Orientation of the Acetabulum and Its Relation with the Orientation of the Femoral Neck. J. Hum. Evol. 2014, 69, 55–69. [Google Scholar] [CrossRef]
  7. Milani, C.J.E.; Moley, P.J. Advanced Concepts in Hip Morphology, Associated Pathologies, and Specific Rehabilitation for Athletic Hip Injuries. Curr. Sports Med. Rep. 2018, 17, 199–207. [Google Scholar] [CrossRef]
  8. Tramer, J.S.; Pierre, K.; Owen, A.; Safran, M.R. Comprehensive Physical Examination of the Hip. Video J. Sports Med. 2023, 3, 26350254231168161. [Google Scholar] [CrossRef] [PubMed]
  9. Liu, N.; Zhang, M.; Feng, S.M.; Bi, Y.L.; Zhai, H.W.; Meng, Q. Effect of Hip Strategy-Based Motion Control Training on Walking Function Restoration After Ankle Joint Injury. Jt. Dis. Relat. Surg. 2024, 35, 54–61. [Google Scholar] [CrossRef] [PubMed]
  10. Qu, Y.J. Impacts of Functional Training on College Students’ Physical Capacity Improvement. Rev. Bras. Med. Esporte 2023, 29, e2022_0326. [Google Scholar] [CrossRef]
  11. Wang, X.; Soh, K.G.; Deng, N.; Zhang, D.; Cao, S.; Samsudin, S. Effects of Functional Training on Muscle Strength, Jumping, and Functional Movement Screen in Wushu Athletes: A Systematic Review. Heliyon 2024, 10, e24087. [Google Scholar] [CrossRef] [PubMed]
  12. Gao, B.; Zhao, K.X. Experimental Study on the Impact of Functional Training on the Agility Quality of Young Athletes. Rev. Int. Med. Cienc. Act. Fis. Deporte 2024, 24, 210–224. [Google Scholar]
  13. Riccobono, G.; Ferré-Anoirte, A.; Seijas, R.; Barastegui, D.; Cugat, R. Comparative Outcomes of Hip Arthroscopy For Femoroacetabular Impingement in Football and Non-Football Athletes: A Clinical Analysis. Arch. Orthop. Trauma Surg. 2025, 145, 268. [Google Scholar] [CrossRef]
  14. Kennedy, S.M.; Hannon, J.P.; Morrow, R.M.; Kruseman, J.K.; McCauley, F.A.; Vasquez, J.E.; Farnsworth, J.L.; Arnold, A.J.; Myers, N.L. Normative Hip Range of Motion and Strength Profiles of Uninjured Baseball Athletes: A Systematic Review. J. Sport Rehabil. 2025, 34, 691–703. [Google Scholar] [CrossRef] [PubMed]
  15. Putko, R.M.; Safran, M.R. Managing The Hip In Supraphysiologic Motion Athletes. Oper. Tech. Sports Med. 2024, 32, 151107. [Google Scholar] [CrossRef]
  16. Girdwood, M.; Mentiplay, B.F.; Scholes, M.J.; Heerey, J.J.; Crossley, K.M.; O’Brien, M.J.; Perraton, Z.; Shawdon, A.; Kemp, J.L. Hip Muscle Strength, Range of Motion, and Functional Performance in Young Elite Male Australian Football Players. J. Sport Rehabil. 2023, 32, 910–919. [Google Scholar] [CrossRef]
  17. Guirelli, A.R.; Carvalho, C.A.; Dos Santos, J.M.; Ramiro Felicio, L. Relationship Between the Strength of the Hip and Knee Stabilizer Muscles and the Y Balance Test Performance in Adolescent Volleyball Athletes. J. Sports Med. Phys. Fit. 2021, 61, 1326–1332. [Google Scholar] [CrossRef]
  18. Abbas, J.; Reif, N.; Hamoud, K. Is Hip Muscle Flexibility Associated with Low Back Pain Among First-Year Undergraduate Students? J. Clin. Med. 2024, 13, 7598. [Google Scholar] [CrossRef]
  19. Won, N.K.; Hun, K.S. Effect of The Underwater Ai-Chi Exercise Program on Hip Joint Mobility, Body Balance and Posture Change Based on Amount of The Physical Activity of College Students. J. Korean Soc. Phys. Med. 2023, 18, 89–96. [Google Scholar] [CrossRef]
  20. Sahabuddin, F.N.A.; Jamaludin, N.I.; Amir, N.H.; Shaharudin, S. The Effects of Hip- And Ankle-Focused Exercise Intervention on Dynamic Knee Valgus: A Systematic Review. PeerJ 2021, 9, e11731. [Google Scholar] [CrossRef] [PubMed]
  21. Mahdavi, S.F.; Piri, H.; Sheikhhoseini, R.; Hatefi, M.; Gu, Y. Association Among Isometric Hip Strength, Hip Joint Stiffness, and Dynamic Knee Valgus in Jump-Landing Tasks. Sci. Rep. 2025, 15, 18958. [Google Scholar] [CrossRef] [PubMed]
  22. Yu, H.; Chen, Z.; Dai, R.; Wang, X. Effect of Intensive Isometric Strength Training of Hip Adductor on Functional Ankle Instability. Chin. J. Rehabil. Theory Pract. 2022, 28, 125–131. [Google Scholar]
  23. Maleki, A.A.; Mousavi, S.H.; Biabangard, M.A.; Minoonejad, H. Influence of Exercise Interventions on Functional Movement Screen Scores In Athletes: A Systematic Review And Meta-Analysis. Sci. Rep. 2025, 15, 26335. [Google Scholar] [CrossRef]
  24. Clark, S.C.; Rowe, N.D.; Adnan, M.; Brown, S.M.; Mulcahey, M.K. Effective Interventions for Improving Functional Movement Screen Scores Among “High-Risk” Athletes: A Systematic Review. Int. J. Sports Phys. Ther. 2022, 17, 131–138. [Google Scholar] [CrossRef]
  25. Rajic, S.; Legg, H.S.; Maurus, P.; Nigg, S.R.; Cleather, D.J. The Effects of a 9-Week Hip Focused Weight Training Program on Hip and Knee Kinematics and Kinetics in Experienced Female Dancers. J. Hum. Kinet. 2020, 75, 29–39. [Google Scholar] [CrossRef]
  26. Leppänen, M.; Viiala, J.; Kaikkonen, P.; Tokola, K.; Vasankari, T.; Nigg, B.M.; Krosshaug, T.; Werthner, P.; Parkkari, J.; Pasanen, K. Hip and Core Exercise Programme Prevents Running-Related Overuse Injuries in Adult Novice Recreational Runners: A Three-Arm Randomised Controlled Trial (Run RCT). Br. J. Sports Med. 2024, 58, 722–732. [Google Scholar] [CrossRef]
  27. Yeum, W.J.; Lee, M.Y.; Lee, B.H. The Influence of Hip-Strengthening Program on Patients with Chronic Ankle Instability. Medicina 2024, 60, 1199. [Google Scholar] [CrossRef] [PubMed]
  28. World Medical Association. Declaration of Helsinki. Recommendations Guiding Medical Doctors in Biomedical Research Involving Human Subjects. Med. J. Aust. 1976, 1, 206–207. [Google Scholar]
  29. Harriss, D.J.; Macsween, A.; Atkinson, G. Standards For Ethics In Sport And Exercise Science Research: 2018 Update. Int. J. Sports Med. 2017, 38, 1126–1131. [Google Scholar] [CrossRef]
  30. Qin, L.; Liu, S.; Hu, S.; Feng, L.; Wang, H.; Gong, X.; Xuan, W.; Lu, T. The Effect of Inspiratory Muscle Training on Health-Related Fitness in College Students. Int. J. Environ. Res. Public Health 2024, 21, 1088. [Google Scholar] [CrossRef] [PubMed]
  31. Dischiavi, S.L.; Wright, A.A.; Bleakley, C.M. Feasibility and Acceptability of a 12-Week Advanced Hip-Focused Exercise Intervention Program for Female Athletes. J. Sci. Sport Exerc. 2023. [Google Scholar] [CrossRef]
  32. Ekdahl, M.; Loewen, A.; Erdman, A.; Sahin, S.; Ulman, S. Inertial Measurement Unit Sensor-to-Segment Calibration Comparison for Sport-Specific Motion Analysis. Sensors 2023, 23, 7987. [Google Scholar] [CrossRef] [PubMed]
  33. Zhu, S.; Zhao, C.; Li, Y.; Dong, Y.; Zheng, Y.; Yang, D.; Zhang, J.; Liu, H.; Xu, S. Scoliosis Screening for Students from Primary and Junior Schools Using Electronic Devices: An Exploratory Study. Spine 2025. [Google Scholar] [CrossRef] [PubMed]
  34. Xie, M.; Zhang, R.; Gong, Y. Risk Assessment of FMS and YBT on Sports Injuries in Collegiate Athletes. Int. J. Sports Med. 2025, 46, 189–195. [Google Scholar] [CrossRef] [PubMed]
  35. Tonnessen, E.; Haugen, T.; Shalfawi, S.A.I. Reaction Time Aspects of Elite Sprinters in Athletic World Championships. J. Strength Cond. Res. 2013, 27, 885–892. [Google Scholar] [CrossRef]
  36. Garcia, T.C.G.; Parada, M.F.B.; Leiva, K.M.R. Biomechanical Analysis of Functional Movement in Athletes Using Kinovea. In Proceedings of the 11th International Conference on E-Health And Bioengineering (EHB), Bucharest, Romania, 9–10 November 2023; Fac Med Bioengn, Univ Med & Pharmacy Iasi: Bucharest, Romania, 2024. [Google Scholar]
  37. Bac, A.; Kulis, A.; Filar-Mierzwa, K.; Ścisłowska-Czarnecka, A. Comparison of the Repeatability and Diagnostic Objectivity of Two Methods of Measuring the Range of Motion in the Joints. Acta Kinesiol. 2021, 15, 64–70. [Google Scholar] [CrossRef]
  38. Rios-de-Moya-Angeler, R.; Santonja-Medina, F.; Sanz-Mengibar, J.M.; Ríos-Bernabé, R.; Hurtado-Avilés, J.; Santonja-Renedo, F. Evaluation of a Primary Health Care Scoliosis Screening Program: A 9-Year Follow-Up Study. J. Clin. Med. 2025, 14, 3870. [Google Scholar] [CrossRef]
  39. Qu, Q.; Hurr, C.; Qiu, X.; Zhang, J.; Kim, S. Functional Movement Test Performance Improves in Youth Ice Speed Skaters After 8-Week FMS Training. J. Hum. Sport Exerc. 2025, 20, 585–595. [Google Scholar] [CrossRef]
  40. Liu, M.; Li, J.; Chang, S.; Liang, Y.; Wang, Z. Effects of Different Parenting Styles on the Physical Health of Chinese University Students. Front. Public Health 2024, 12, 1433538. [Google Scholar] [CrossRef]
  41. Mary, D.A.S.G. Exercise Physiology: Energy, Nutrition, and Human Performance; University of Leeds: Leeds, UK, 1984; Volume 5, p. 559. [Google Scholar]
  42. Nakagawa, S.; Lagisz, M.; Yang, Y.; Drobniak, S.M. Finding the Right Power Balance: Better Study Design and Collaboration Can Reduce Dependence on Statistical Power. PLoS Biol. 2024, 22, e3002423. [Google Scholar] [CrossRef]
  43. Martinez-Romero, M.T.; De Ste Croix, M.; Sainz De Baranda, P. Postural Fitness Protocol in Children and Adolescents: Descriptive Values from the Isquios Program. Children 2025, 12, 1253. [Google Scholar] [CrossRef]
  44. Nishimura, T.; Tanaka, M.; Morikoshi, N.; Yoshizawa, T.; Miyachi, R. Differences in Lumbar-Pelvic Rhythm Between Sedentary Office Workers with and Without Low Back Pain: A Cross-Sectional Study. Healthcare 2025, 13, 1135. [Google Scholar] [CrossRef]
  45. Jensen, J.; Bandholm, T.; Hölmich, P.; Thorborg, K. Acute and Sub-Acute Effects of Repetitive Kicking on Hip Adduction Torque in Injury-Free Elite Youth Soccer Players. J. Sports Sci. 2014, 32, 1357–1364. [Google Scholar] [CrossRef]
  46. Thomas, E.; Scardina, A.; Pinto, G.; Serafini, S.; Nakamura, M.; Konrad, A.; Campa, F.; Bellafiore, M.; Bianco, A. Determinants of Acute Effects of Stretching vs. Foam Rolling: Morphological, Sensory and Fluid Responses. J. Bodyw. Mov. Ther. 2025, 43, 130–136. [Google Scholar]
  47. Iranmanesh, M.; Shafiei Nikou, S.; Saadatian, A.; Alimoradi, M.; Khalaji, H.; Monfaredian, O.; Saki, F.; Konrad, A. The Training and Detraining Effects of 8-Week Dynamic Stretching of Hip Flexors on Hip Range of Motion, Pain, and Physical Performance in Male Professional Football Players with Low Back Pain. A Randomized Controlled Trial. J. Sports Sci. 2025, 43, 1572–1586. [Google Scholar] [CrossRef]
  48. Long, B.C. Treatment Order and Retention of Self-Myofascial Release and Static Stretching on Passive Hip Flexion Range of Motion. J. Sport Rehabil. 2025, 34, 633–637. [Google Scholar] [CrossRef]
  49. Almansoof, H.S.; Nuhmani, S.; Muaidi, Q. Role of Kinetic Chain in Sports Performance and Injury Risk: A Narrative Review. J. Med. Life 2023, 16, 1591–1596. [Google Scholar] [CrossRef]
  50. Lee, S.S.M.; Biewener, A.A.; Miara, D.B.M.; Arnold, A.S.; Wakeling, J.M. Effect of Motor Unit Recruitment on In Vivo Muscle Function. Integr. Comp. Biol. 2012, 52, E102. [Google Scholar]
  51. Usherwood, J.R. The Functions of Leg Muscles, Structures and Mechanisms in Running. Biol. Lett. 2024, 20, 20240260. [Google Scholar] [CrossRef]
  52. Umeda, T.; Yokoyama, O.; Suzuki, M.; Kaneshige, M.; Isa, T.; Nishimura, Y. Future Spinal Reflex Is Embedded in Primary Motor Cortex Output. Sci. Adv. 2024, 10, eadq4194. [Google Scholar] [CrossRef]
  53. Warneke, K.; Rabitsch, T.; Dobert, P.; Wilke, J. The Effects of Static and Dynamic Stretching on Deep Fascia Stiffness: A Randomized, Controlled Cross-Over Study. Eur. J. Appl. Physiol. 2024, 124, 2809–2818. [Google Scholar] [CrossRef] [PubMed]
  54. Meszaros-Beller, L.; Hammer, M.; Riede, J.M.; Pivonka, P.; Little, J.P.; Schmitt, S. Effects of Geometric Individualisation of a Human Spine Model on Load Sharing: Neuro-Musculoskeletal Simulation Reveals Significant Differences in Ligament and Muscle Contribution. Biomech. Model. Mechanobiol. 2023, 22, 669–694. [Google Scholar] [CrossRef] [PubMed]
  55. Wang, H. Upper Limb Movement Simulation And Biomechanical Characteristics During Human Movement. Int. J. Emerg. Electr. Power Syst. 2022, 23, 859–871. [Google Scholar] [CrossRef]
  56. Choi, J.; Seo, S.-W. Dynamic Contrastive Skill Learning with State-Transition Based Skill Clustering and Dynamic Length Adjustment. arXiv 2025, arXiv:2504.14805. [Google Scholar] [CrossRef]
  57. King, A.C. Theory’s Role in Shaping Behavioral Health Research for Population Health. Int. J. Behav. Nutr. Phys. Act. 2015, 12, 146. [Google Scholar] [CrossRef]
Figure 1. Research protocol.
Figure 1. Research protocol.
Applsci 15 11037 g001
Figure 2. Testing and training process.
Figure 2. Testing and training process.
Applsci 15 11037 g002
Figure 3. Changes in hip joint range of motion (ROM) before and after the intervention in the experimental (EG) and control (CG) groups.(a) shows the comparison of hip joint forward flexion angles between the experimental group (EG) and the control group (CG) before and after the intervention, with p < 0.001; (b) shows the comparison of hip joint back extension angles between the experimental group and the control group before and after the intervention, with p < 0.001; (c) shows the comparison of hip joint left internal rotation angles between the experimental group and the control group before and after the intervention, with p < 0.001; (d) shows the comparison of hip joint left external rotation angles between the experimental group and the control group before and after the intervention, with p < 0.001; (e) shows the comparison of hip joint right internal rotation angles between the experimental group and the control group before and after the intervention, with p < 0.001; (f) shows the comparison of hip joint right external rotation angles between the experimental group and the control group before and after the intervention, with p < 0.001.
Figure 3. Changes in hip joint range of motion (ROM) before and after the intervention in the experimental (EG) and control (CG) groups.(a) shows the comparison of hip joint forward flexion angles between the experimental group (EG) and the control group (CG) before and after the intervention, with p < 0.001; (b) shows the comparison of hip joint back extension angles between the experimental group and the control group before and after the intervention, with p < 0.001; (c) shows the comparison of hip joint left internal rotation angles between the experimental group and the control group before and after the intervention, with p < 0.001; (d) shows the comparison of hip joint left external rotation angles between the experimental group and the control group before and after the intervention, with p < 0.001; (e) shows the comparison of hip joint right internal rotation angles between the experimental group and the control group before and after the intervention, with p < 0.001; (f) shows the comparison of hip joint right external rotation angles between the experimental group and the control group before and after the intervention, with p < 0.001.
Applsci 15 11037 g003
Table 1. Participant characteristics (n = 56).
Table 1. Participant characteristics (n = 56).
VariableEG (n = 28)
M ± SD
CG (n = 28)
M ± SD
95% Confidence Intervalt-Valuep-Value
Lower BoundUpper Bound
Age (years)18.40 ± 0.5018.43 ± 0.50−0.230.29−0.2410.810
Height (cm)170.37 ± 6.32171.20 ± 6.82−2.574.23−0.5160.608
Weight (kg)57.03 ± 9.1258.37 ± 9.45−3.466.14−0.5760.566
Body fat percentage20.12 ± 3.0519.35 ± 3.18−2.380.840.9920.325
Sex (M/F)14/1415/13
EG, experimental group; CG, control group. Data are presented as mean ± standard deviation (M ± SD). Independent samples t-tests were used for between-group comparisons at baseline. Height and weight were measured using a stadiometer (SECA 213) and a digital scale (Tanita BC-545), with participants in light clothing and without shoes. Body fat percentage was estimated using the same bioelectrical impedance analysis device (Tanita BC-545), following a 4 h fast and no strenuous exercise prior to measurement. The sex distribution was balanced between the experimental and control groups (p > 0.05), which supports the comparability of groups in terms of flexibility and strength-related outcomes.
Table 2. Hip joint functional training protocol. Abbreviations: ‘m’, meters; ‘r’, repetitions.
Table 2. Hip joint functional training protocol. Abbreviations: ‘m’, meters; ‘r’, repetitions.
Hip Joint Functional Training Content
Stage RepsSet
Warm-up 25 minSlow Jogging 800 m/5 min1
Static StretchingLeg Pressing30 s1
Shoulder Pressing30 s1
Dynamic StretchingKnee-to-Chest Heel Raise30 m1
Side Knee Lift30 m1
Walking Single-Leg Romanian Deadlift (RDL)30 m1
Lunge Downward Press30 m1
Side Lunge Walk30 m1
World’s Greatest Stretch30 m1
Hip joint functional training Supine Hip Thrust15 r1
Supine Single—Leg Hip Thrusteach side 15 r1
Kneeling Side Leg Lift15 r1
Kneeling Leg Bend Forward15 r1
Kneeling Leg Bend Backward15 r1
Quadruped Hip Extension (Donkey Kick)15 r1
Seated 90–90 Hip Rotation15 r1
Kneeling weighted leg extension15 r1
Single-leg front bar hurdle drill on spoteach side 15 r1
Single-leg back bar hurdle drill on spoteach side 15 r1
Forward bar hurdle drill 1
Backward bar hurdle drill 1
Table 3. Analysis of FMS.
Table 3. Analysis of FMS.
ParameterGroupnPre-Test Median (IQR)Post-Test Median (IQR)Within-Group p-ValueBetween-Group p-Value *Effect Size (r)
Deep SquatEG282.0 (2.0–3.0)2.5 (2.0–3.0)0.180.4210.11
CG282.0 (2.0–3.0)2.0 (2.0–3.0)0.705
Hurdle StepEG282.5 (2.0–3.0)3.0 (3.0–3.0)<0.001 *0.002 **0.41
CG282.5 (2.0–3.0)2.5 (2.0–3.0)0.248
In-Line LungeEG283.0 (2.0–3.0)3.0 (2.0–3.0)0.7050.8670.02
CG282.0 (2.0–3.0)2.0 (2.0–3.0)0.705
Shoulder MobilityEG283.0 (2.0–3.0)3.0 (3.0–3.0)0.180.1570.19
CG283.0 (2.0–3.0)3.0 (2.0–3.0)0.705
Active Straight Leg RaiseEG282.5 (2.0–3.0)3.0 (2.0–3.0)0.021 *0.045 *0.27
CG282.5 (2.0–3.0)2.5 (2.0–3.0)0.334
Trunk Stability Push-UpEG282.5 (2.0–3.0)3.0 (2.0–3.0)0.013 *0.0890.23
CG282.0 (2.0–3.0)2.0 (2.0–3.0)0.18
Rotary StabilityEG282.0 (2.0–3.0)3.0 (2.0–3.0)0.007 **0.018 *0.32
CG282.0 (2.0–3.0)2.0 (2.0–3.0)0.334
EG = Experimental Group, CG = Control Group. Data are presented as Median and Interquartile Range (IQR). Within-group comparisons (pre vs. post) were analyzed using Wilcoxon signed-rank test. * Between-group comparisons of score changes were analyzed using Mann–Whitney U test. Effect size for non-parametric tests is reported as r (r = Z/√N). Significance levels: * p < 0.05, ** p < 0.01.
Table 4. Analysis of Scoliosis Assessment and Athletic Performance.
Table 4. Analysis of Scoliosis Assessment and Athletic Performance.
ParameterGroupnPre (M ± SD, 95%CI)Post (M ± SD, 95%CI)F-Valuep-Valueη2
50 m (s)EG288.22 ± 0.77 (7.92–8.52)7.96 ± 0.75 (7.67–8.25)55.99<0.001 ***0.683
CG288.38 ± 0.66 (8.15–8.61)8.34 ± 0.67 (8.10–8.58)
Standing Long Jump (m)EG281.92 ± 0.24 (1.82–2.02)2.00 ± 0.22 (1.91–2.09)42.08<0.001 ***0.618
CG281.98 ± 0.24 (1.88–2.08)1.99 ± 0.24 (1.89–2.09)
Sit-and-Reach (cm)EG2818.66 ± 4.60 (16.87–20.45)21.31 ± 4.71 (19.41–23.21)66.99<0.001 ***0.72
CG2815.87 ± 4.60 (14.08–17.66)16.35 ± 4.65 (14.54–18.16)
Step Length (m)EG281.13 ± 0.16 (1.06–1.20)1.20 ± 0.16 (1.13–1.27)55.57<0.001 ***0.681
CG281.14 ± 0.16 (1.07–1.21)1.14 ± 0.16 (1.07–1.21)
Maximum Spinal ATREG283.86 ± 1.79 (3.13–4.59)3.43 ± 0.73 (3.15–3.71)8.580.007 **0.248
CG283.85 ± 1.73 (3.14–4.56)4.03 ± 2.96 (2.88–5.18)
EG denotes the experimental group, while CG denotes the control group. The data are presented as the mean ± standard deviation (M ± SD), with 95% confidence intervals (95% CI) in parentheses. All data were analyzed using two-way repeated-measures ANOVA. The assumptions of normality (assessed using Shapiro–Wilk test) and sphericity (assessed using Mauchly’s test) were verified prior to the analysis. The F-value and p-value in the table correspond to the interaction effect (Time × Group). The effect size is reported as partial eta-squared (η2). The significance level was set at ** p < 0.01, and *** p < 0.001.
Disclaimer/Publisher’s Note: The statements, opinions and data contained in all publications are solely those of the individual author(s) and contributor(s) and not of MDPI and/or the editor(s). MDPI and/or the editor(s) disclaim responsibility for any injury to people or property resulting from any ideas, methods, instructions or products referred to in the content.

Share and Cite

MDPI and ACS Style

Qin, L.; Hu, S.; Xu, D.; Wang, H.; Xuan, W.; Lu, T.; Gong, X. The Effect of Hip Joint Functional Training on Speed, Flexibility, and Related Performance in Physical Education in College Students. Appl. Sci. 2025, 15, 11037. https://doi.org/10.3390/app152011037

AMA Style

Qin L, Hu S, Xu D, Wang H, Xuan W, Lu T, Gong X. The Effect of Hip Joint Functional Training on Speed, Flexibility, and Related Performance in Physical Education in College Students. Applied Sciences. 2025; 15(20):11037. https://doi.org/10.3390/app152011037

Chicago/Turabian Style

Qin, Lili, Shuang Hu, Dengyun Xu, Huan Wang, Wei Xuan, Tianfeng Lu, and Xingzhou Gong. 2025. "The Effect of Hip Joint Functional Training on Speed, Flexibility, and Related Performance in Physical Education in College Students" Applied Sciences 15, no. 20: 11037. https://doi.org/10.3390/app152011037

APA Style

Qin, L., Hu, S., Xu, D., Wang, H., Xuan, W., Lu, T., & Gong, X. (2025). The Effect of Hip Joint Functional Training on Speed, Flexibility, and Related Performance in Physical Education in College Students. Applied Sciences, 15(20), 11037. https://doi.org/10.3390/app152011037

Note that from the first issue of 2016, this journal uses article numbers instead of page numbers. See further details here.

Article Metrics

Back to TopTop