Female Basketball Players’ Jump and Sprint Performance After Plyometric Jump Training Compared to Resistance Training
Abstract
1. Introduction
2. Materials and Methods
2.1. Participants
2.2. Training Intervention
2.3. Physical Performance Tests
2.3.1. Countermovement Jump (CMJ)
2.3.2. Drop Jump (DJ)
2.3.3. Standing Long Jump (LJ)
2.3.4. CMJ with Swing Arm (CMJA)
2.3.5. Running CMJA
2.3.6. Linear Sprint
2.4. Statistical Analysis
3. Results
3.1. Jump Performance
3.2. Sprint Performance
4. Discussion
4.1. Potential Limitations
4.2. Practical Application
5. Conclusions
Author Contributions
Funding
Institutional Review Board Statement
Informed Consent Statement
Data Availability Statement
Conflicts of Interest
References
- Ramirez-Campillo, R.; García-Hermoso, A.; Moran, J.; Chaabene, H.; Negra, Y.; Scanlan, A.T. The Effects of Plyometric Jump Training on Physical Fitness Attributes in Basketball Players: A Meta-Analysis. J. Sport Health Sci. 2022, 11, 656–670. [Google Scholar] [CrossRef]
- Barrera-Domínguez, F.J.; Martínez-García, D.; Jerez-Mayorga, D.; Chirosa-Ríos, L.J.; Almagro, B.J.; Molina-López, J. Vertical Versus Horizontal Training for Improving the Change of Direction Speed in Adult Basketball Players: A Systematic Review and Meta-Analysis. J. Strength Cond. Res. 2024, 38, 791–803. [Google Scholar] [CrossRef]
- Young, W.B. Transfer of Strength and Power Training to Sports Performance. Int. J. Sports Physiol. Perform. 2006, 1, 74–83. [Google Scholar] [CrossRef] [PubMed]
- Curovic, I.; Rhodes, D.; Alexander, J.; Harper, D.J. Vertical Strength Transfer Phenomenon Between Upper Body and Lower Body Exercise: Systematic Scoping Review. Sports Med. 2024, 54, 2109–2139. [Google Scholar] [CrossRef] [PubMed]
- Zhou, J.-Y.; Wang, X.; Hao, L.; Ran, X.-W.; Wei, W. Meta-Analysis of the Effect of Plyometric Training on the Athletic Performance of Youth Basketball Players. Front. Physiol. 2024, 15, 1427291. [Google Scholar] [CrossRef]
- Khlifa, R.; Aouadi, R.; Hermassi, S.; Chelly, M.S.; Jlid, M.C.; Hbacha, H.; Castagna, C. Effects of a Plyometric Training Program With and Without Added Load on Jumping Ability in Basketball Players. J. Strength Cond. Res. 2010, 24, 2955–2961. [Google Scholar] [CrossRef]
- Simenz, C.J.; Dugan, C.A.; Ebben, W.P. Strength and Conditioning Practices of National Basketball Association Strength and Conditioning Coaches. J. Strength Cond. Res. 2005, 19, 495–504. [Google Scholar]
- Ramirez-Campillo, R.; Álvarez, C.; García-Hermoso, A.; Ramírez-Vélez, R.; Gentil, P.; Asadi, A.; Chaabene, H.; Moran, J.; Meylan, C.; García-de-Alcaraz, A. Methodological Characteristics and Future Directions for Plyometric Jump Training Research: A Scoping Review. Sports Med. 2018, 48, 1059–1081. [Google Scholar] [CrossRef] [PubMed]
- Ramirez-Campillo, R.; Moran, J.; Chaabene, H.; Granacher, U.; Behm, D.G.; García-Hermoso, A.; Izquierdo, M. Methodological Characteristics and Future Directions for Plyometric Jump Training Research: A Scoping Review Update. Scand. J. Med. Sci. Sports 2020, 30, 983–997. [Google Scholar] [CrossRef]
- Swinton, P.A.; Schoenfeld, B.J.; Murphy, A. Dose–Response Modelling of Resistance Exercise Across Outcome Domains in Strength and Conditioning: A Meta-Analysis. Sports Med. 2024, 54, 1579–1594. [Google Scholar] [CrossRef]
- Saeterbakken, A.H.; Stien, N.; Paulsen, G.; Behm, D.G.; Andersen, V.; Solstad, T.E.J.; Prieske, O. Task Specificity of Dynamic Resistance Training and Its Transferability to Non-Trained Isometric Muscle Strength: A Systematic Review with Meta-Analysis. Sports Med. 2025, 55, 1651–1676. [Google Scholar] [CrossRef]
- Markovic, G. Does Plyometric Training Improve Vertical Jump Height? A Meta-Analytical Review. Br. J. Sports Med. 2007, 41, 349–355. [Google Scholar] [CrossRef]
- De Villarreal, E.S.-S.; Kellis, E.; Kraemer, W.J.; Izquierdo, M. Determining Variables of Plyometric Training for Improving Vertical Jump Height Performance: A Meta-Analysis. J. Strength Cond. Res. 2009, 23, 495–506. [Google Scholar] [CrossRef]
- Komi, P.V. Stretch-shortening Cycle. Strength Power Sport 2003, 184–202. [Google Scholar]
- Nicol, C.; Avela, J.; Komi, P.V. The Stretch-Shortening Cycle: A Model to Study Naturally Occurring Neuromuscular Fatigue. Sports Med. 2006, 36, 977–999. [Google Scholar] [CrossRef] [PubMed]
- Schoenfeld, B.J. Potential Mechanisms for a Role of Metabolic Stress in Hypertrophic Adaptations to Resistance Training. Sports Med. 2013, 43, 179–194. [Google Scholar] [CrossRef]
- Schoenfeld, B.J. The Mechanisms of Muscle Hypertrophy and Their Application to Resistance Training. J. Strength Cond. Res. 2010, 24, 2857–2872. [Google Scholar] [CrossRef]
- Behm, D.G. Neuromuscular Implications and Applications of Resistance Training. J. Strength Cond. Res. 1995, 9, 264–274. [Google Scholar]
- Negra, Y.; Chaabene, H.; Stöggl, T.; Hammami, M.; Chelly, M.S.; Hachana, Y. Effectiveness and Time-Course Adaptation of Resistance Training vs. Plyometric Training in Prepubertal Soccer Players. J. Sport Health Sci. 2020, 9, 620–627. [Google Scholar] [CrossRef]
- Whitehead, M.T.; Scheett, T.P.; McGuigan, M.R.; Martin, A.V. A Comparison of the Effects of Short-Term Plyometric and Resistance Training on Lower-Body Muscular Performance. J. Strength Cond. Res. 2018, 32, 2743–2749. [Google Scholar] [CrossRef]
- Lloyd, R.S.; Radnor, J.M.; Croix, M.B.D.S.; Cronin, J.B.; Oliver, J.L. Changes in Sprint and Jump Performances after Traditional, Plyometric, and Combined Resistance Training in Male Youth Pre-and Post-Peak Height Velocity. J. Strength Cond. Res. 2016, 30, 1239–1247. [Google Scholar] [CrossRef]
- MacDonald, C.J.; Lamont, H.S.; Garner, J.C.; Jackson, K. A Comparison of the Effects of Six Weeks Oftraditional Resistance Training, Plyometric Training, and Complex Training on Measures of Power. J. Trainology 2013, 2, 13–18. [Google Scholar] [CrossRef] [PubMed]
- MacDonald, C.J.; Lamont, H.S.; Garner, J.C. A Comparison of the Effects of 6 Weeks of Traditional Resistance Training, Plyometric Training, and Complex Training on Measures of Strength and Anthropometrics. J. Strength Cond. Res. 2012, 26, 422–431. [Google Scholar] [CrossRef]
- Vissing, K.; Brink, M.; Lønbro, S.; Sørensen, H.; Overgaard, K.; Danborg, K.; Mortensen, J.; Elstrøm, O.; Rosenhøj, N.; Ringgaard, S. Muscle Adaptations to Plyometric vs. Resistance Training in Untrained Young Men. J. Strength Cond. Res. 2008, 22, 1799–1810. [Google Scholar] [CrossRef]
- Arazi, H.; Asadi, A.; Roohi, S. Enhancing Muscular Performance in Women: Compound versus Complex, Traditional Resistance and Plyometric Training Alone. J. Musculoskelet. Res. 2014, 17, 1450007. [Google Scholar] [CrossRef]
- Chaouachi, A.; Hammami, R.; Kaabi, S.; Chamari, K.; Drinkwater, E.J.; Behm, D.G. Olympic Weightlifting and Plyometric Training with Children Provides Similar or Greater Performance Improvements than Traditional Resistance Training. J. Strength Cond. Res. 2014, 28, 1483–1496. [Google Scholar] [CrossRef]
- McKay, A.K.A.; Stellingwerff, T.; Smith, E.S.; Martin, D.T.; Mujika, I.; Goosey-Tolfrey, V.L.; Sheppard, J.; Burke, L.M. Defining Training and Performance Caliber: A Participant Classification Framework. Int. J. Sports Physiol. Perform. 2022, 17, 317–331. [Google Scholar] [CrossRef]
- Reeve, T.C.; Tyler, C.J. The Validity of the SmartJump Contact Mat. J. Strength Cond. Res. 2013, 27, 1597–1601. [Google Scholar] [CrossRef]
- Lockie, R.G.; Schultz, A.B.; Callaghan, S.J.; Jeffriess, M.D.; Berry, S.P. Reliability and Validity of a New Test of Change-of-Direction Speed for Field-Based Sports: The Change-of-Direction and Acceleration Test (CODAT). J. Sports Sci. Med. 2013, 12, 88. [Google Scholar]
- Hopkins, W.G. Measures of Reliability in Sports Medicine and Science. Sports Med. 2000, 30, 1–15. [Google Scholar] [CrossRef] [PubMed]
- Currell, K.; Jeukendrup, A.E. Validity, Reliability and Sensitivity of Measures of Sporting Performance. Sports Med. 2008, 38, 297–316. [Google Scholar] [CrossRef]
- Kuznetsova, A.; Brockhoff, P.B.; Christensen, R.H. lmerTest Package: Tests in Linear Mixed Effects Models. J. Stat. Softw. 2017, 82, 1–26. [Google Scholar] [CrossRef]
- Lenth, R.; Lenth, M.R. Package ‘Lsmeans’. Am. Stat. 2018, 34, 216–221. [Google Scholar]
- Bürkner, P.-C. Brms: An R Package for Bayesian Multilevel Models Using Stan. J. Stat. Softw. 2017, 80, 1–28. [Google Scholar] [CrossRef]
- Champely, S.; Ekstrom, C.; Dalgaard, P.; Gill, J.; Weibelzahl, S.; Anandkumar, A.; Ford, C.; Volcic, R.; De Rosario, H. Pwr: Basic Functions for Power Analysis. 2017. Available online: https://search.r-project.org/CRAN/refmans/pwr/html/pwr-package.html#:~:text=This%20package%20contains%20functions%20for%20basic%20power%20calculations,corresponding%20to%20conventional%20effect%20sizes%20%28small%2C%20medium%2C%20large%29 (accessed on 9 October 2025).
- Rosenthal, R.; Cooper, H.; Hedges, L. Parametric Measures of Effect Size. Handb. Res. Synth. 1994, 621, 231–244. [Google Scholar]
- Stojanović, E.; Ristić, V.; McMaster, D.T.; Milanović, Z. Effect of Plyometric Training on Vertical Jump Performance in Female Athletes: A Systematic Review and Meta-Analysis. Sports Med. 2017, 47, 975–986. [Google Scholar] [CrossRef]
- Rhea, M.R.; Alvar, B.A.; Burkett, L.N.; Ball, S.D. A Meta-Analysis to Determine the Dose Response for Strength Development. Med. Sci. Sports Exerc. 2003, 35, 456–464. [Google Scholar] [CrossRef]
- Spiering, B.A.; Mujika, I.; Sharp, M.A.; Foulis, S.A. Maintaining Physical Performance: The Minimal Dose of Exercise Needed to Preserve Endurance and Strength over Time. J. Strength Cond. Res. 2021, 35, 1449–1458. [Google Scholar] [CrossRef] [PubMed]
- Kons, R.L.; Orssatto, L.B.R.; Ache-Dias, J.; De Pauw, K.; Meeusen, R.; Trajano, G.S.; Dal Pupo, J.; Detanico, D. Effects of Plyometric Training on Physical Performance: An Umbrella Review. Sports Med.-Open 2023, 9, 4. [Google Scholar] [CrossRef] [PubMed]
- Ramírez-delaCruz, M.; Bravo-Sánchez, A.; Esteban-García, P.; Jiménez, F.; Abián-Vicén, J. Effects of Plyometric Training on Lower Body Muscle Architecture, Tendon Structure, Stiffness and Physical Performance: A Systematic Review and Meta-Analysis. Sports Med.-Open 2022, 8, 40. [Google Scholar] [CrossRef]
- Zimmermann, H.B.; Knihs, D.; Diefenthaeler, F.; MacIntosh, B.; Dal Pupo, J. Continuous Jumps Enhance Twitch Peak Torque and Sprint Performance in Highly Trained Sprint Athletes. Int. J. Sports Physiol. Perform. 2021, 16, 565–572. [Google Scholar] [CrossRef]


| Variable | PT (n = 10) | RT (n = 10) | Control (n = 10) |
|---|---|---|---|
| Age (y) | 19.6 ± 0.3 | 19.6 ± 0.4 | 19.1 ± 0.7 |
| Training experience (y) | 11.3 ± 0.3 | 11.9 ± 0.4 | 12.3 ± 0.95 |
| Height (m) | 174.2 ± 2.4 | 174.6 ± 2.1 | 173.3 ± 6.4 |
| Weight (kg) | 64.2 ± 1.7 | 64.9 ± 1.3 | 64.3 ± 4.5 |
| Squat 1RM (kg) * | 116.0 ± 3.6 | 116 ± 3.6 | 117.5 ± 12.1 |
| Group | Exercise and Load * | Sets × Repetitions or Distance | Rest ** | |
|---|---|---|---|---|
| Weeks 1, 3, 5 | Weeks 2, 4, 6, 7, 8 | |||
| PT | CMJ | 3 × 8 | 3 × 10 | 15 s |
| Left leg CMJ | 2 × 6 | 2 × 8 | ||
| Right leg CMJ | 2 × 6 | 2 × 8 | ||
| Lateral skater jumps | 3 × 10 | 3 × 12 | ||
| 30 cm hurdle jump | 3 × 8 | 3 × 10 | ||
| 30 cm drop jump | 3 × 6 | 3 × 8 | 15–30 s | |
| 30 cm left leg drop jump | 2 × 5 | 2 × 6 | ||
| 30 cm right leg drop jump | 2 × 5 | 2 × 6 | ||
| Linear sprint | 3 × 15 m | 3 × 20 m | 30 s | |
| RT | Back squat Week 1–2: 60% 1RM; Week 3–4: 70% 1RM; Week 5–7: 75% 1RM; Week 8: 60% 1RM | 2 × 8 | 2 × 10 | 3–4 min |
| Left and right leg Bulgarian squat Week 1–2: 40% 1RM; Week 3–4: 50% 1RM; Week 5–7: 55% 1RM; Week 8: 40% 1RM | 1 × 6 | 1 × 8 | ||
| Seated hip abduction Week 1–2: 10 kg; Week 3–4: 15 kg; Week 5–7: 20 kg; Week 8: 10 kg | 3 × 10 | 3 × 12 | 30 s | |
| Keiser air squat Heel raise Week 1–2: 50% 1RM; Week 3–4: 60% 1RM; Week 5–7: 70% 1RM; Week 8: 50% 1RM | 2 × 8 2 × 6 | 2 × 10 2 × 8 | 3–4 min | |
| Left and right leg heel raise Week 1–2: 30% 1RM; Week 3–4: 40% 1RM; Week 5–7: 50% 1RM; Week 8: 30% 1RM | 1 × 5 | 1 × 6 | ||
| Sled-push Week 1–2: 40% 1BM; Week 3–4: 60% 1BM; Week 5–7: 80% 1BM; Week 8: 40% 1BM | 3 × 15 m | 3 × 20 m | 1 min | |
| Variable | ICC [95%CI] | CV |
|---|---|---|
| CMJ height | 0.93 [0.89–0.95] | 2.45% |
| CMJ peak power | 0.94 [0.91–0.96] | 2.55% |
| DJ height | 0.95 [0.92–0.97] | 4.20% |
| Reactive strength index | 0.99 [0.98–0.99] | 6.40% |
| Standing long jump | 0.79 [0.70–0.86] | 5.32% |
| CMJ with swing arm | 0.69 [0.58–0.79] | 3.49% |
| Running CMJ with swing arm | 0.73 [0.62–0.82] | 5.67% |
| Linear sprint | 0.76 [0.66–0.84] | 2.25% |
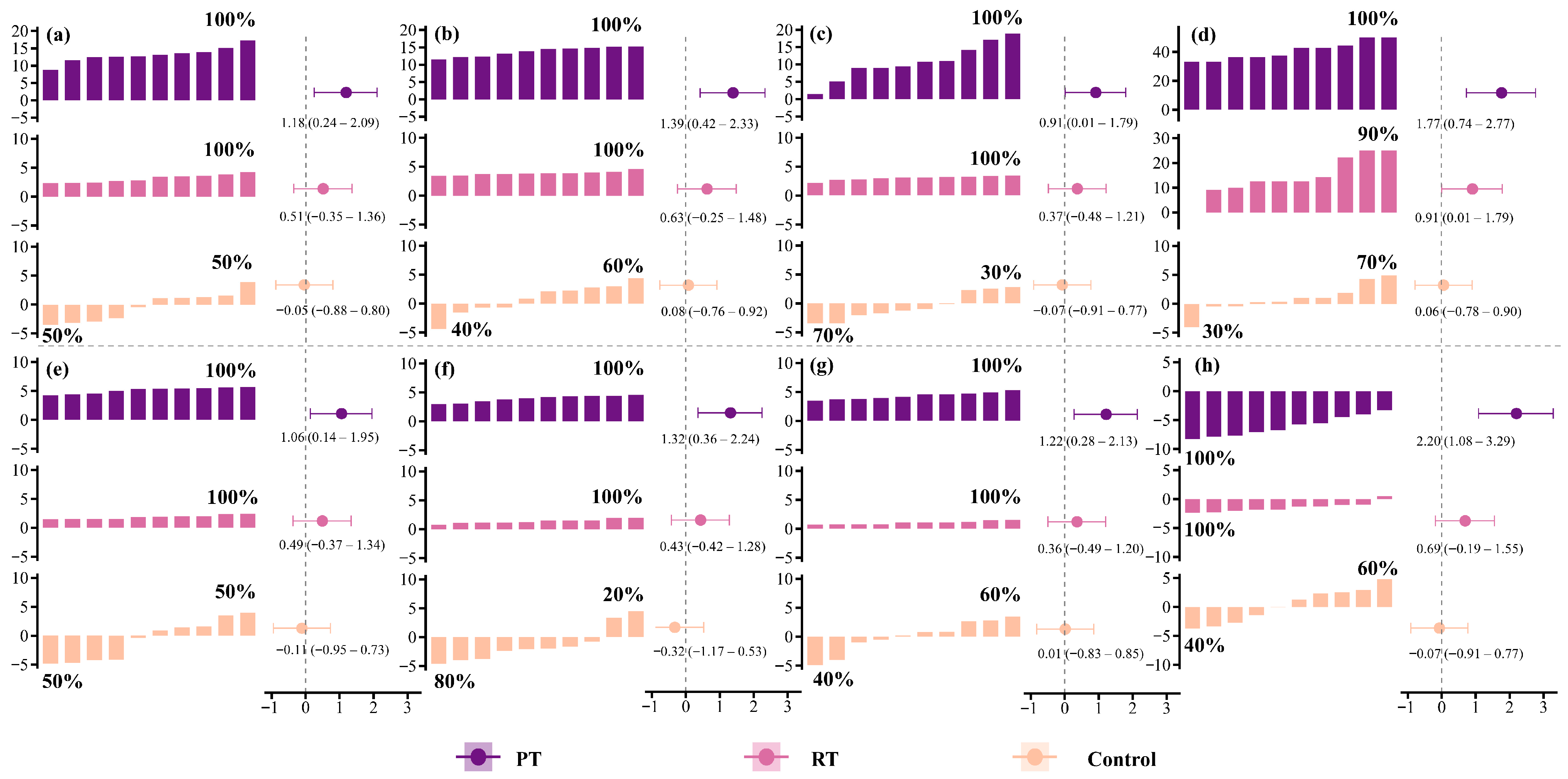
| Group | Pre | Post | Change [95%Crl] | p | ES | Power | Probability |
|---|---|---|---|---|---|---|---|
| Countermovement jump height (cm) | |||||||
| PT | 30.99 ± 3.01 | 35.06 ± 3.55 | 4.06 [2.10–5.99] | 0.00 | 1.18 | 91.35% | 99.99% |
| RT | 30.30 ± 1.71 | 31.26 ± 1.89 | 0.96 [−0.98–2.94] | 0.32 | 0.51 | 30.33% | 83.30% |
| CT | 31.11 ± 2.38 | 31.00 ± 2.37 | −0.11 [−2.04–1.77] | 0.91 | −0.05 | 5.19% | 45.90% |
| Countermovement jump peak power (w) | |||||||
| PT | 2956.10 ± 263.54 | 3362.90 ± 296.40 | 406.95 [233.46–578.18] | 0.00 | 1.39 | 97.32% | 99.99% |
| RT | 2923.50 ± 169.63 | 3037.00 ± 177.07 | 113.44 [−57.52–287.88] | 0.19 | 0.63 | 42.52% | 90.30% |
| CT | 2984.35 ± 285.33 | 3007.57 ± 289.41 | 21.46 [−153.56–194.90] | 0.79 | 0.08 | 5.55% | 60.20% |
| Drop jump (cm) | |||||||
| PT | 28.61 ± 2.86 | 31.64 ± 3.46 | 3.04 [1.22–4.91] | 0.00 | 0.91 | 73.00% | 99.99% |
| RT | 27.93 ± 2.13 | 28.77 ± 2.20 | 0.85 [−1.03–2.77] | 0.36 | 0.37 | 18.33% | 81.50% |
| CT | 29.39 ± 2.63 | 29.20 ± 2.33 | −0.19 [−2.09–1.68] | 0.84 | −0.07 | 5.47% | 42.30% |
| Reactive strength index (m/s) | |||||||
| PT | 0.90 ± 0.18 | 1.26 ± 0.21 | 0.36 [0.24–0.47] | 0.00 | 1.77 | 99.85% | 99.99% |
| RT | 0.85 ± 0.12 | 0.97 ± 0.13 | 0.12 [0.01–0.24] | 0.04 | 0.91 | 72.81% | 98.00% |
| CT | 0.88 ± 0.13 | 0.89 ± 0.14 | 0.01 [−0.11–0.12] | 0.87 | 0.06 | 5.38% | 56.60% |
| Long jump (m) | |||||||
| PT | 2.07 ± 0.09 | 2.17 ± 0.10 | 0.11 [0.03–0.18] | 0.01 | 1.06 | 84.40% | 99.60% |
| RT | 2.03 ± 0.07 | 2.07 ± 0.08 | 0.04 [−0.04–0.12] | 0.32 | 0.49 | 28.47% | 83.40% |
| CT | 2.07 ± 0.12 | 2.06 ± 0.13 | −0.02 [−0.09–0.06] | 0.71 | −0.11 | 6.12% | 34.80% |
| Countermovement jump with swing arm (m) | |||||||
| PT | 2.60 ± 0.07 | 2.70 ± 0.07 | 0.10 [0.03–0.18] | 0.01 | 1.32 | 95.80% | 99.70% |
| RT | 2.57 ± 0.08 | 2.61 ± 0.08 | 0.04 [−0.04–0.11] | 0.32 | 0.43 | 23.32% | 83.30% |
| CT | 2.54 ± 0.09 | 2.51 ± 0.11 | −0.03 [−0.11–0.04] | 0.34 | −0.32 | 15.09% | 18.50% |
| Running countermovement jump with swing arm (m) | |||||||
| PT | 2.68 ± 0.09 | 2.79 ± 0.10 | 0.12 [0.03–0.21] | 0.01 | 1.22 | 92.77% | 99.40% |
| RT | 2.66 ± 0.07 | 2.69 ± 0.07 | 0.03 [−0.06–0.12] | 0.53 | 0.36 | 17.50% | 73.50% |
| CT | 2.66 ± 0.11 | 2.66 ± 0.15 | 0.00 [−0.09–0.09] | 0.96 | 0.01 | 5.02% | 51.80% |
| 22.2 m linear sprint time (s) | |||||||
| PT | 3.93 ± 0.07 | 3.69 ± 0.13 | −0.24 [−0.34–−0.14] | 0.00 | −2.20 | 99.99% | 99.99% |
| RT | 3.92 ± 0.07 | 3.86 ± 0.08 | −0.06 [−0.16–0.04] | 0.27 | −0.69 | 49.56% | 86.40% |
| CT | 3.89 ± 0.12 | 3.90 ± 0.20 | 0.01 [−0.09–0.11] | 0.81 | 0.07 | 5.44% | 40.80% |
Disclaimer/Publisher’s Note: The statements, opinions and data contained in all publications are solely those of the individual author(s) and contributor(s) and not of MDPI and/or the editor(s). MDPI and/or the editor(s) disclaim responsibility for any injury to people or property resulting from any ideas, methods, instructions or products referred to in the content. |
© 2025 by the authors. Licensee MDPI, Basel, Switzerland. This article is an open access article distributed under the terms and conditions of the Creative Commons Attribution (CC BY) license (https://creativecommons.org/licenses/by/4.0/).
Share and Cite
Tian, Y.; Xu, K.; Fang, W.; Ramirez-Campillo, R. Female Basketball Players’ Jump and Sprint Performance After Plyometric Jump Training Compared to Resistance Training. Sports 2025, 13, 374. https://doi.org/10.3390/sports13110374
Tian Y, Xu K, Fang W, Ramirez-Campillo R. Female Basketball Players’ Jump and Sprint Performance After Plyometric Jump Training Compared to Resistance Training. Sports. 2025; 13(11):374. https://doi.org/10.3390/sports13110374
Chicago/Turabian StyleTian, Yuhang, Kai Xu, Wenxuan Fang, and Rodrigo Ramirez-Campillo. 2025. "Female Basketball Players’ Jump and Sprint Performance After Plyometric Jump Training Compared to Resistance Training" Sports 13, no. 11: 374. https://doi.org/10.3390/sports13110374
APA StyleTian, Y., Xu, K., Fang, W., & Ramirez-Campillo, R. (2025). Female Basketball Players’ Jump and Sprint Performance After Plyometric Jump Training Compared to Resistance Training. Sports, 13(11), 374. https://doi.org/10.3390/sports13110374

