Physical Fitness and Physical Activity in Young Adults: A Comparative Study Between Two Higher Education Institutions
Abstract
1. Introduction
2. Materials and Methods
2.1. Participants
2.2. Research Design
2.3. Data Collection
2.3.1. Physical Activity and Well-Being Questionnaire
2.3.2. Anthropometrics
2.3.3. Cardiorespiratory Fitness
2.3.4. Muscular Strength, Balance and Flexibility
2.4. Statistical Analysis
3. Results
4. Discussion
5. Conclusions
Author Contributions
Funding
Institutional Review Board Statement
Informed Consent Statement
Data Availability Statement
Acknowledgments
Conflicts of Interest
References
- Diethelm, K.; Huybrechts, I.; Moreno, L.; Henauw, S.D.; Manios, Y.; Beghin, L.; González-Gross, M.; Donne, C.L.; Cuenca-García, M.; Castillo, M.J.; et al. Nutrient Intake of European Adolescents: Results of the HELENA (Healthy Lifestyle in Europe by Nutrition in Adolescence) Study. Public Health Nutr. 2014, 17, 486–497. [Google Scholar] [CrossRef] [PubMed]
- Janssen, I.; LeBlanc, A.G. Systematic Review of the Health Benefits of Physical Activity and Fitness in School-Aged Children and Youth. Int. J. Behav. Nutr. Phys. Act. 2010, 7, 40. [Google Scholar] [CrossRef] [PubMed]
- Ortega, F.B.; Ruiz, J.R.; Castillo, M.J. Physical Activity, Physical Fitness, and Overweight in Children and Adolescents: Evidence from Epidemiologic Studies. Endocrinol. Nutr. (Engl. Ed.) 2013, 60, 458–469. [Google Scholar] [CrossRef]
- Strong, W.B.; Malina, R.M.; Blimkie, C.J.R.; Daniels, S.R.; Dishman, R.K.; Gutin, B.; Hergenroeder, A.C.; Must, A.; Nixon, P.A.; Pivarnik, J.M.; et al. Evidence Based Physical Activity for School-Age Youth. J. Pediatr. 2005, 146, 732–737. [Google Scholar] [CrossRef]
- Bouchard, C.; Després, J.-P. Physical Activity and Health: Atherosclerotic, Metabolic, and Hypertensive Diseases. Res. Q. Exerc. Sport 1995, 66, 268–275. [Google Scholar] [CrossRef]
- Kwan, M.Y.; Cairney, J.; Faulkner, G.E.; Pullenayegum, E.E. Physical Activity and Other Health-Risk Behaviors during the Transition into Early Adulthood: A Longitudinal Cohort Study. Am. J. Prev. Med. 2012, 42, 14–20. [Google Scholar] [CrossRef]
- Physical Activity and Health: A Report of the Surgeon General; U.S. Department of Health and Human Services, Centers for Disease Control and Prevention, National Center for Chronic Disease Prevention and Health Promotion: Washington, DC, USA, 1996; ISBN 978-1-883205-31-7.
- Kljajević, V.; Stanković, M.; Đorđević, D.; Trkulja-Petković, D.; Jovanović, R.; Plazibat, K.; Oršolić, M.; Čurić, M.; Sporiš, G. Physical Activity and Physical Fitness among University Students—A Systematic Review. Int. J. Environ. Res. Public Health 2021, 19, 158. [Google Scholar] [CrossRef]
- Bray, S.R.; Born, H.A. Transition to University and Vigorous Physical Activity: Implications for Health and Psychological Well-Being. J. Am. Coll. Health 2004, 52, 181–188. [Google Scholar] [CrossRef] [PubMed]
- Vella-Zarb, R.A.; Elgar, F.J. The ‘Freshman 5’: A Meta-Analysis of Weight Gain in the Freshman Year of College. J. Am. Coll. Health 2009, 58, 161–166. [Google Scholar] [CrossRef]
- Arzu, D.; Tuzun, E.H.; Eker, L. Perceived Barriers to Physical Activity in University Students. J. Sports Sci. Med. 2006, 5, 615–620. [Google Scholar]
- DeVahl, J.; King, R.; Williamson, J.W. Academic Incentives for Students Can Increase Participation in and Effectiveness of a Physical Activity Program. J. Am. Coll. Health 2005, 53, 295–298. [Google Scholar] [CrossRef]
- Suminski, R.R.; Petosa, R.; Utter, A.C.; Zhang, J.J. Physical Activity Among Ethnically Diverse College Students. J. Am. Coll. Health 2002, 51, 75–80. [Google Scholar] [CrossRef]
- Ortega, F.B.; Artero, E.G.; Ruiz, J.R.; España-Romero, V.; Jiménez-Pavón, D.; Vicente-Rodriguez, G.; Moreno, L.A.; Manios, Y.; Béghin, L.; Ottevaere, C.; et al. Physical Fitness Levels among European Adolescents: The HELENA Study. Br. J. Sports Med. 2011, 45, 20–29. [Google Scholar] [CrossRef] [PubMed]
- Caia, J.; Weiss, L.W.; Chiu, L.Z.F.; Schilling, B.K.; Paquette, M.R.; Relyea, G.E. Do Lower-Body Dimensions and Body Composition Explain Vertical Jump Ability? J. Strength Cond. Res. 2016, 30, 3073. [Google Scholar] [CrossRef] [PubMed]
- Kubieva, S.S.; Botagariev, T.A.; Konisbaeva, S.I.; Mambetov, N.; Aralbayev, A.S.; Zhetimekov, Y.T.; Dairabayev, S.E.; Kaliyakbarova, S.K.; Sadykova, Z.L. Health Promotion Program for the Students with Regard to the Level of Their Physical Activity, Physical Fitness and Health. J. Phys. Educ. Sport 2019, 2019, 703–709. [Google Scholar]
- Andersen, L.B.; Harro, M.; Sardinha, L.B.; Froberg, K.; Ekelund, U.; Brage, S.; Anderssen, S.A. Physical Activity and Clustered Cardiovascular Risk in Children: A Cross-Sectional Study (The European Youth Heart Study). Lancet 2006, 368, 299–304. [Google Scholar] [CrossRef]
- The HEALTHY Study Group; DeBar, L.L.; Schneider, M.; Drews, K.L.; Ford, E.G.; Stadler, D.D.; Moe, E.L.; White, M.; Hernandez, A.E.; Solomon, S.; et al. Student Public Commitment in a School-Based Diabetes Prevention Project: Impact on Physical Health and Health Behavior. BMC Public Health 2011, 11, 711. [Google Scholar] [CrossRef]
- Griban, G.; Yahupov, V.; Svystun, V.; Dovgan, N.; Yeromenko, E.; Udych, Z.; Zhuravlov, I.; Kushniriuk, S.; Semeniv, B.; Konovalska, L. Dynamics of the Students’ Physical Fitness While Studying at Higher Educational Institutions. Int. J. Appl. Exerc. Physiol. 2020, 9, 147–156. [Google Scholar]
- Irēna, K.; Anna, M.; Anda, B. Physical Activity and Its Relation to Health-Related Physical Fitness in Students. Ovidius Univ. Ann. Ser. Phys. Educ. Sport/Sci. Mov. Health 2012, 12, 256–263. [Google Scholar]
- Ribeiro, A.; Silva, D.; Carvalho, F.; Schiavoni, D.; Jesus, B.; Cyrino, E. Health-Related Physical Fitness in Men and Women Aged 17–26 Years. Rev. Bras. Atividade Física Saúde 2013, 18, 197–204. [Google Scholar] [CrossRef]
- Pituk, C.S.; Cagas, J.Y. Physical Activity and Physical Fitness Among Filipino University Students. J. Phys. Educ. 2019, 30, e3076. [Google Scholar]
- Zou, L.; Zeng, N.; He, J. The Effect of Bamboo Dance on Motor Fitness in Chinese College Students. Int. J. Phys. Educ. Sports Health 2016, 3, 193–199. [Google Scholar]
- Osipov, A.Y.; Potop, V.; Nagovitsyn, R.S.; Zemba, E.A.; Knyazev, A.P.; Orlova, I.I.; Ratmanskaya, T.I.; Iermakov, S.S. Indicators of Physical Activity and Fitness of Male Students at Russian Universities. Phys. Educ. Stud. 2020, 24, 40–46. [Google Scholar] [CrossRef]
- Craig, C.L.; Marshall, A.L.; Sjöström, M.; Bauman, A.E.; Booth, M.L.; Ainsworth, B.E.; Pratt, M.; Ekelund, U.; Yngve, A.; Sallis, J.F. International Physical Activity Questionnaire: 12-Country Reliability and Validity. Med. Sci. Sports Exerc. 2003, 35, 1381–1395. [Google Scholar] [CrossRef]
- Fernandes, H.M.; Vasconcelos-Raposo, J.; Teixeira, C.M. Preliminary Analysis of the Psychometric Properties of Ryff’s Scales of Psychological Well-Being in Portuguese Adolescents. Span. J. Psychol. 2010, 13, 1032–1043. [Google Scholar] [CrossRef]
- Sampaio, T.; Morais, J.E.; Bragada, J.A. StepTest4all: Improving the Prediction of Cardiovascular Capacity Assessment in Young Adults. J. Funct. Morphol. Kinesiol. 2024, 9, 30. [Google Scholar] [CrossRef]
- Comfort, P.; Dos’ Santos, T.; Beckham, G.K.; Stone, M.H.; Guppy, S.N.; Haff, G.G. Standardization and Methodological Considerations for the Isometric Midthigh Pull. Strength Cond. J. 2019, 41, 57–79. [Google Scholar] [CrossRef]
- Cronin, J.; Lawton, T.; Harris, N.; Kilding, A.; McMaster, D. A Brief Review of Handgrip Strength and Sport Performance. J. Strength Cond. Res. 2017, 31, 3187–3217. [Google Scholar] [CrossRef] [PubMed]
- Plowman, S. Muscular Strength, Endurance, and Flexibility Assessments. In Fitnessgram/Activitygram Reference Guide; The Cooper Institute: Dallas, TX, USA, 2013; Volume 8, p. 1. [Google Scholar]
- Ayala, F.; de Baranda, P.S.; Croix, M.D.S.; Santonja, F. Reproducibility and Criterion-Related Validity of the Sit and Reach Test and Toe Touch Test for Estimating Hamstring Flexibility in Recreationally Active Young Adults. Phys. Ther. Sport 2012, 13, 219–226. [Google Scholar] [CrossRef]
- Granacher, U.; Behm, D.G. Relevance and Effectiveness of Combined Resistance and Balance Training to Improve Balance and Muscular Fitness in Healthy Youth and Youth Athletes: A Scoping Review. Sports Med. 2023, 53, 349–370. [Google Scholar] [CrossRef]
- IPAQ. Scoring Protocol for the International Physical Activity Questionnaire (IPAQ); Trinity College Dublin: Dublin, Ireland, 2022. [Google Scholar]
- Ryff, C.D. Happiness Is Everything, or Is It? Explorations on the Meaning of Psychological Well-Being. J. Personal. Soc. Psychol. 1989, 57, 1069–1081. [Google Scholar] [CrossRef]
- LaForgia, J.; Gunn, S.; Withers, R.T. Body Composition: Validity of Segmental Bioelectrical Impedance Analysis. Asia Pac. J. Clin. Nutr. 2008, 17, 586–591. [Google Scholar] [PubMed]
- Tanaka, H.; Monahan, K.D.; Seals, D.R. Age-Predicted Maximal Heart Rate Revisited. J. Am. Coll. Cardiol. 2001, 37, 153–156. [Google Scholar] [CrossRef] [PubMed]
- DeWeese, B.H.; Serrano, A.J.; Scruggs, S.K.; Burton, J.D. The Midthigh Pull: Proper Application and Progressions of a Weightlifting Movement Derivative. Strength Cond. J. 2013, 35, 54–58. [Google Scholar] [CrossRef]
- Thomas, C.; Comfort, P.; Chiang, C.-Y.; Jones, P.A. Relationship between Isometric Mid-Thigh Pull Variables and Sprint and Change of Direction Performance in Collegiate Athletes. J. Trainol. 2015, 4, 6–10. [Google Scholar] [CrossRef]
- Garrido, N.D.; Silva, A.J.; Fernandes, R.J.; Barbosa, T.M.; Costa, A.M.; Marinho, D.A.; Marques, M.C. High Level Swimming Performance and Its Relation to Non-Specific Parameters: A Cross-Sectional Study on Maximum Handgrip Isometric Strength. Percept. Mot. Ski. 2012, 114, 936–948. [Google Scholar] [CrossRef]
- López-Miñarro, P.A.; de Baranda Andújar, P.S.; RodrÑGuez-GarcÑa, P.L. A Comparison of the Sit-and-Reach Test and the Back-Saver Sit-and-Reach Test in University Students. J. Sports Sci. Med. 2009, 8, 116. [Google Scholar]
- Davis, B. Physical Education and the Study of Sport; Mosby: New York, NY, USA, 2000. [Google Scholar]
- Schell, J.; Leelarthaepin, B. Physical Fitness Assessment in Exercise and Sport Science; Leelar Biomediscience Services: Matraville, Australia, 1990; ISBN 0-9589397-4-8. [Google Scholar]
- Hopkins, W.G. A Scale of Magnitudes for Effect Statistics. New View Stat. 2002, 502, 321. [Google Scholar]
- Çitozi, R.; Kasa, A.; Peja, E. The Role of Hiking Activities in Improving Balance Skills to the Students of Sports University of Tirana. Arena-J. Phys. Act. 2016, 5, 69–78. [Google Scholar]
- Jourkesh, M.; Sadri, I.; Ojagi, A.; Sharanavard, A. Determination of Fitness Level in Male and Female College Aged Students. Arch. Appl. Sci. Res. 2011, 3, 326–333. [Google Scholar]
- Kang, M.; Joo, M.; Hong, H.; Kang, H. Eating Speed, Physical Activity, and Cardiorespiratory Fitness Are Independent Predictors of Metabolic Syndrome in Korean University Students. Nutrients 2021, 13, 2420. [Google Scholar] [CrossRef]
- Shimamoto, H.; Suwa, M.; Mizuno, K. Relationships between Depression, Daily Physical Activity, Physical Fitness, and Daytime Sleepiness among Japanese University Students. Int. J. Environ. Res. Public Health 2021, 18, 8036. [Google Scholar] [CrossRef] [PubMed]
- Skurikhina, N.V.; Kudryavtsev, M.D.; Kuzmin, V.A.; Iermakov, S.S. Fitness Yoga as Modern Technology of Special Health Groups’ Girl Students’ Psycho-Physical Condition and Psycho-Social Health Strengthening. Phys. Educ. Stud. 2016, 20, 24–31. [Google Scholar] [CrossRef]
- Kasiak, P.S.; Adamczyk, N.; Jodczyk, A.M.; Kaproń, A.; Lisowska, A.; Mamcarz, A.; Śliż, D. COVID-19 Pandemic Consequences among Individuals with Eating Disorders on a Clinical Sample in Poland—A Cross-Sectional Study. Int. J. Environ. Res. Public Health 2022, 19, 8484. [Google Scholar] [CrossRef] [PubMed]



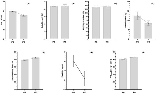
| IPB (n = 31) | IPG (n = 27) | |
|---|---|---|
| Mean ± SD | Mean ± SD | |
| Age [Years] | 19.19 ± 1.78 | 19.81 ± 5.53 |
| Body mass [Kg] | 70.70 ± 7.68 | 74.07 ± 8.40 |
| Height [cm] | 175.71 ± 5.70 | 176.15 ± 4.17 |
| BMI [Kg/m2] | 22.93 ± 2.55 | 23.90 ± 2.88 |
| IPB Mean ± SD | IPG Mean ± SD | Mean Difference (95 CI) | t-Test (p-Value) | Effect Size (Descriptor) | |
|---|---|---|---|---|---|
| Body Mass [Kg] | 70.70 ± 7.68 | 74.07 ± 8.40 | −3.374 (−7.603 to 0.855) | −1.598 (0.116) | 0.42 (small) |
| Height [cm] | 175.71 ± 5.70 | 176.15 ± 4.17 | −0.438 (−3.100 to 2.223) | −0.330 (0.743) | 0.09 (trivial) |
| BMI [Kg/m2] | 22.93 ± 2.55 | 23.90 ± 2.88 | −0.968 (−2.396 to 0.461) | −1.357 (0.180) | 0.36 (small) |
| Fat Mass [%] | 16.16 ± 4.72 | 16.14 ± 6.24 | 0.027 (−2.862 to 2.917) | 0.019 (0.985) | 0.01 (trivial) |
| Lean Mass [%] | 79.64 ±4.50 | 79.79 ± 6.16 | −0.150 (−2.963 to 2.663) | −0.107 (0.915) | 0.03 (trivial) |
| IPAQ [Score] | 2.97 ± 0.18 | 2.56 ± 0.64 | 0.412 (0.152 to 0.673) | 3.235 (0.003) | 0.90 (moderate) |
| Grip Strength [Kg] | 44.48 ± 6.41 | 44.56 ± 8.40 | −0.072 (−3.975 to −3.832) | −0.037 (0.971) | 0.01 (trivial) |
| Mid-Thigh Pull [Kg] | 128.69 ± 26.09 | 130.15 ± 29.76 | −1.455 (−16.141 to 13.232) | −0.198 (0.843) | 0.05 (trivial) |
| Standing Long Jump [m] | 1.95 ± 0.15 | 2.12 ± 0.24 | −0.17 (−0.276 to −0.06) | −3.239 (0.002) | 0.85 (moderate) |
| Standing Stork Test [s] | 12.45 ± 11.87 | 8.47 ± 6.54 | 3.974 (−1.432 to 9.379) | 1.475 (0.146) | 0.40 (small) |
| Flexibility [Score] | 4.02 ± 6.70 | 0.31 ± 8.02 | 3.706 (−0.206 to 7.617) | 1.899 (0.063) | 0.50 (small) |
| Vo2max [mL·kg−1·min−1] | 40.75 ± 4.51 | 43.27 ± 6.08 | −2.519 (−5.313 to 0.275) | −1.806 (0.076) | 0.48 (small) |
Disclaimer/Publisher’s Note: The statements, opinions and data contained in all publications are solely those of the individual author(s) and contributor(s) and not of MDPI and/or the editor(s). MDPI and/or the editor(s) disclaim responsibility for any injury to people or property resulting from any ideas, methods, instructions or products referred to in the content. |
© 2025 by the authors. Licensee MDPI, Basel, Switzerland. This article is an open access article distributed under the terms and conditions of the Creative Commons Attribution (CC BY) license.
Share and Cite
Sampaio, T.; Oliveira, J.P.; Magalhães, P.M.; Bragada, J.A.; Bartolomeu, R.F.; Vasques, C.; Morais, J.E. Physical Fitness and Physical Activity in Young Adults: A Comparative Study Between Two Higher Education Institutions. J. Funct. Morphol. Kinesiol. 2026, 11, 22. https://doi.org/10.3390/jfmk11010022
Sampaio T, Oliveira JP, Magalhães PM, Bragada JA, Bartolomeu RF, Vasques C, Morais JE. Physical Fitness and Physical Activity in Young Adults: A Comparative Study Between Two Higher Education Institutions. Journal of Functional Morphology and Kinesiology. 2026; 11(1):22. https://doi.org/10.3390/jfmk11010022
Chicago/Turabian StyleSampaio, Tatiana, João P. Oliveira, Pedro M. Magalhães, José A. Bragada, Raul F. Bartolomeu, Catarina Vasques, and Jorge E. Morais. 2026. "Physical Fitness and Physical Activity in Young Adults: A Comparative Study Between Two Higher Education Institutions" Journal of Functional Morphology and Kinesiology 11, no. 1: 22. https://doi.org/10.3390/jfmk11010022
APA StyleSampaio, T., Oliveira, J. P., Magalhães, P. M., Bragada, J. A., Bartolomeu, R. F., Vasques, C., & Morais, J. E. (2026). Physical Fitness and Physical Activity in Young Adults: A Comparative Study Between Two Higher Education Institutions. Journal of Functional Morphology and Kinesiology, 11(1), 22. https://doi.org/10.3390/jfmk11010022

