Sign in to use this feature.

Years

Between: -

Subjects

remove_circle_outline
remove_circle_outline
remove_circle_outline
remove_circle_outline
remove_circle_outline
remove_circle_outline
remove_circle_outline
remove_circle_outline
remove_circle_outline

Journals

remove_circle_outline
remove_circle_outline
remove_circle_outline
remove_circle_outline
remove_circle_outline
remove_circle_outline
remove_circle_outline
remove_circle_outline
remove_circle_outline
remove_circle_outline
remove_circle_outline

Article Types

Countries / Regions

remove_circle_outline
remove_circle_outline
remove_circle_outline
remove_circle_outline
remove_circle_outline

Search Results (1,008)

Search Parameters:
Keywords = spray distribution

Order results
Result details
Results per page
Select all
Export citation of selected articles as:
12 pages, 3194 KB  
Article
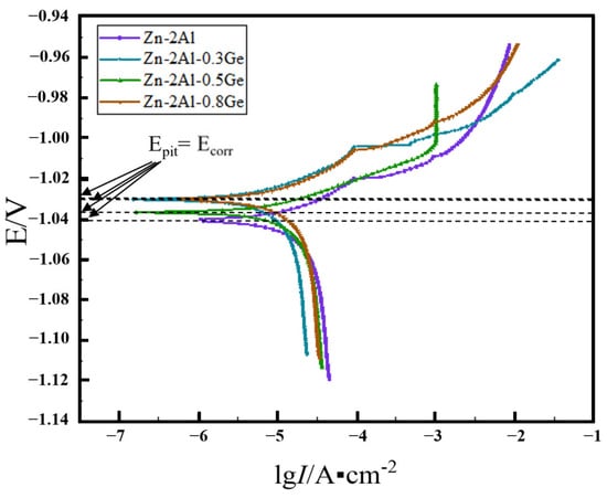
Effects of Minor Ge on the Microstructure and Corrosion Resistance of Zn-2Al Filler Metals
by Yue Zhao, Xiaoyang Wang, Quanbin Lu, Yuanxun Shen, Yinghao Cui, Shirui Guo, Lujun Cui, Yongqian Chen and Xiaolei Li
Materials 2025, 18(22), 5111; https://doi.org/10.3390/ma18225111 - 11 Nov 2025
Abstract
The properties of flux-cored Zn-Al filler metals are prone to deteriorating due to corrosion, making filler metals unusable. In this study, flux-cored Zn-2Al-xGe (x = 0, 0.3, 0.5, and 0.8 wt.%) filler metals are prepared to explore the effect of [...] Read more.
The properties of flux-cored Zn-Al filler metals are prone to deteriorating due to corrosion, making filler metals unusable. In this study, flux-cored Zn-2Al-xGe (x = 0, 0.3, 0.5, and 0.8 wt.%) filler metals are prepared to explore the effect of minor Ge on the corrosion resistance of Zn-2Al filler metals. The salt spray test is carried out on filler metals. A scanning transmission electron microscope is used to identify the phases in filler metals. The electrochemical performance of filler metals was tested by a workstation. The findings indicate that the microstructure of the Zn-2Al filler metal is composed of α-Al and η-Zn. Diamond-Ge forms in the microstructure of the Zn-2Al filler metal due to the introduction of Ge. Zn-2Al-xGe filler metals exhibit pitting corrosion characterized by intergranular corrosion (IGC) in the salt spray environment. Ge improves the IGC resistance of filler metals by changing the distribution of α-Al in the filler metal. The Zn-2Al-0.3Ge filler metal demonstrates the most excellent corrosion resistance. It has 16% elongation after 15 d of corrosion, which is higher than that of Zn-2Al by 13.6%. Full article
(This article belongs to the Section Metals and Alloys)
Show Figures

Figure 1

19 pages, 6213 KB  
Article
A Novel Image-Based Method for Measuring Spray Pattern Distribution in a Mechanical Patternator
by Mustafa Çomaklı and Bahadır Sayıncı
Agriculture 2025, 15(22), 2337; https://doi.org/10.3390/agriculture15222337 - 11 Nov 2025
Abstract
The uniform distribution of pesticides via spraying is of crucial importance in achieving effective and environmentally sustainable crop protection. Conventional assessment techniques such as sensor-based patternators and electronic monitoring systems are often expensive, complex to calibrate, and limited in adaptability to different nozzle [...] Read more.
The uniform distribution of pesticides via spraying is of crucial importance in achieving effective and environmentally sustainable crop protection. Conventional assessment techniques such as sensor-based patternators and electronic monitoring systems are often expensive, complex to calibrate, and limited in adaptability to different nozzle geometries or operating conditions. The present study introduces and validates a low-cost, image-based method as an alternative to the traditional volumetric approach for evaluating spray pattern uniformity in mechanical patternators. Spray tests were conducted under controlled laboratory conditions in order to minimize environmental variability and ensure repeatability. The present study compared two complementary methods—volumetric measurement and image analysis—to evaluate their agreement and accuracy in determining spray deposition profiles. The findings, which included correlation and multivariate tests, indicated a robust linear relationship between the two approaches (r = 0.990–0.999), with deviations falling below ±3% and no statistically significant multivariate differences (p = 0.067). The image-based approach effectively captured both central and edge regions of the spray pattern, demonstrating precision comparable to volumetric readings. The findings confirm that image analysis provides an accurate, reliable, and repeatable means of assessing spray uniformity without reliance on costly sensor technologies. The proposed method offers a practical and scalable alternative for laboratory calibration, nozzle classification, and research applications focused on optimizing agricultural spraying performance. Full article
(This article belongs to the Section Agricultural Technology)
Show Figures

Figure 1

27 pages, 11627 KB  
Article
Wind Tunnel Tests on Anti-Icing Performance of Wind Turbine Blade with NACA0018 Airfoil with Bio-Wax PCMS-PUR Coating
by Zheng Sun, Yiting Wang, He Shen, Haotian Zheng, Hailin Li, Yan Li and Fang Feng
Coatings 2025, 15(11), 1305; https://doi.org/10.3390/coatings15111305 - 7 Nov 2025
Viewed by 252
Abstract
The increasing prominence of blade icing in wind power generation within cold regions has positioned anti-icing coating technology as a key research focus. This study synthesised phase-change microcapsules using bio-wax as the core material and isophorone diisocyanate as the shell material via interfacial [...] Read more.
The increasing prominence of blade icing in wind power generation within cold regions has positioned anti-icing coating technology as a key research focus. This study synthesised phase-change microcapsules using bio-wax as the core material and isophorone diisocyanate as the shell material via interfacial polymerisation. These microcapsules were then compounded with polyurethane to form an anti-icing coating, whose properties and anti-icing performance were systematically investigated. Key findings indicate that a 1% emulsifier concentration yielded microcapsules with a concentrated particle size distribution (≈20 μm). Microcapsules with a core-to-shell ratio of 7:3 exhibited optimal thermal storage performance, characterised by a melting enthalpy of 49.73 J/g and an encapsulation efficiency of 78%, establishing this as the optimal formulation. Icing wind tunnel tests demonstrated enhanced anti-icing efficacy with increasing microcapsule concentration. At 36% concentration, the coating achieved an anti-icing efficiency of 65.80% under conditions of −15 °C and 3 m/s wind speed, and 64.05% at −10 °C and 6 m/s. The coating maintained its effectiveness under high wind speeds, though its performance diminished with increased water spray flux. The coating functioned by delaying ice formation through phase-change heat release. It consistently demonstrated an anti-icing efficiency exceeding 60% across operational conditions −15 °C to −5 °C and wind speeds of 3–9 m/s. This work provides an efficient and environmentally friendly anti-icing solution for wind turbine blades in cold regions. Full article
Show Figures

Figure 1

25 pages, 3863 KB  
Article
Impact of Three-Fluid Nozzle Emulsification on the Physicochemical and Thermodynamic Properties of Avocado Oil Microcapsules Obtained by Spray Drying
by Anahí Hernández-Marañón, Enrique Flores-Andrade, Jorge Yáñez-Fernández, M. Teresa Carvajal, Luz Alicia Pascual-Pineda, Liliana Alamilla-Beltrán, Humberto Hernández-Sánchez and Gustavo F. Gutiérrez-López
Appl. Sci. 2025, 15(21), 11798; https://doi.org/10.3390/app152111798 - 5 Nov 2025
Viewed by 185
Abstract
This study investigated the production and characterization of avocado oil emulsions generated with a three-fluid nozzle (3FN) and the physicochemical and thermodynamic properties of the resulting microcapsules obtained by spray drying. The emulsions showed a bimodal size distribution with a main peak at [...] Read more.
This study investigated the production and characterization of avocado oil emulsions generated with a three-fluid nozzle (3FN) and the physicochemical and thermodynamic properties of the resulting microcapsules obtained by spray drying. The emulsions showed a bimodal size distribution with a main peak at 0.893 µm and PDI values below 0.70 indicate a mid-range polydispersity. Despite their shear-thinning behavior, emulsions exhibited limited stability, as indicated by ζ-potential (−23.9 mV) and increasing TSI values. Spray drying with 3FN achieved a yield of 71.7% and an encapsulation efficiency of 57.8%, with moisture content below 4%, meeting commercial requirements. The microcapsules displayed unimodal particle distributions (D[3,2] = 8.38 µm; D[4,3] = 11.14 µm) and irregular spherical morphologies with surface folds and roughness. Adsorption isotherms followed a type II pattern, well described by the GAB model, with monolayer moisture content (0.043–0.060 g H2O/g solids) defining critical stability conditions. Thermodynamic analyses identified a “minimum entropy zone” corresponding to enhanced structural stability, while glass transition data confirmed that encapsulated oil did not act as a plasticizer. Overall, the use of a three-fluid nozzle enabled the development of avocado oil microcapsules with favorable physical and thermal attributes, supporting their potential for long-term stability in functional food applications. Full article
(This article belongs to the Special Issue Advanced Technologies for Food Packaging and Preservation)
Show Figures

Figure 1

14 pages, 4084 KB  
Article
Effect of Cold-Sprayed Zinc Coating and Heat Treatment on the Microstructure and Corrosion Behavior of 30MnB5 Hot-Stamped Steel
by Hyunbin Nam, Minseok Seo and Cheolho Park
Materials 2025, 18(21), 5032; https://doi.org/10.3390/ma18215032 - 5 Nov 2025
Viewed by 240
Abstract
This study investigated the microstructure and corrosion behavior of 30MnB5 hot-stamped steel after applying a zinc coating using the cold-spraying method followed by heat treatment (HT). Al-10 wt%Si coating is essential for improving the high-temperature corrosion resistance of 30MnB5 steel during the hot-stamping [...] Read more.
This study investigated the microstructure and corrosion behavior of 30MnB5 hot-stamped steel after applying a zinc coating using the cold-spraying method followed by heat treatment (HT). Al-10 wt%Si coating is essential for improving the high-temperature corrosion resistance of 30MnB5 steel during the hot-stamping process. Before HT, the coating layer primarily consisted of Al, whereas after HT, Fe–Al-based intermetallic compounds were formed throughout the layer. The Zn in the coating layer applied using the cold-spraying method was not uniformly distributed before HT. However, during HT, the low-melting-point Zn melted and re-solidified, allowing it to combine with Fe diffusing from the substrate. Consequently, Zn–Al–Fe-based intermetallic compounds were formed on the surface of the coating layer. In the Zn-coated specimens, the current density near the corrosion potential tends to be lower than that of the Al–Si-coated specimens because Zn corrodes preferentially owing to its sacrificial anode effect, thereby protecting the underlying Al–Si-coated layer and steel. Full article
Show Figures

Figure 1

18 pages, 3562 KB  
Article
Cold-Sprayed Ni and NdFeB-Al Powders Recovery and Reuse
by Jean-Michel Lamarre, Alexandre Nascimento, Cindy Charbonneau, Luc Pouliot and Fabrice Bernier
Materials 2025, 18(21), 5000; https://doi.org/10.3390/ma18215000 - 1 Nov 2025
Viewed by 268
Abstract
As cold spray additive manufacturing matures, significant efforts are being made to develop spray conditions for more challenging materials, thereby expanding the technology’s range of applications. One main challenge while using commercially available equipment is that, even under optimized conditions, deposition efficiency remains [...] Read more.
As cold spray additive manufacturing matures, significant efforts are being made to develop spray conditions for more challenging materials, thereby expanding the technology’s range of applications. One main challenge while using commercially available equipment is that, even under optimized conditions, deposition efficiency remains low for some materials. Powder particles that do not adhere are wasted, which can severely affect the process economics, especially in a mass production context and/or when expensive feedstocks are used. Powder recovery and reuse is a logical solution to mitigate this problem, yet few studies evaluate its feasibility and its impact on powder characteristics and ultimately coating performance. In this work, powder recovery was investigated for two cases: a Ni powder and a NdFeB-Al powder mix, used respectively for repair applications and for the fabrication of permanent magnets. A prototype recovery system was built, achieving a recovery efficiency of up to 75%. The powders were recovered after up to four spray runs, and their morphology and size distribution were characterized. The magnetic properties of both powders and coatings were evaluated using hysteresis measurements. Although the process affects the particle size distribution and their magnetic properties, powders remain suitable for re-deposition for both materials. In particular, it was shown that NdFeB-Al mix maintains 97% of its initial magnetic performance under industrial operating conditions. Full article
Show Figures

Figure 1

24 pages, 4204 KB  
Article
Effect of Twin-Fluid Mass Ratio on Near-Field Spray Characteristics and Dynamics of a Novel Two-Phase Injector with an Internal Swirl
by Rachel Swinney, Md Shakil Ahmed and Lulin Jiang
Fire 2025, 8(11), 425; https://doi.org/10.3390/fire8110425 - 31 Oct 2025
Viewed by 404
Abstract
The present study investigates the influence of atomizing air-to-liquid mass ratio (ALR) on the near-field spray characteristics and stability of a novel twin-fluid injector that integrates bubble-bursting for primary atomization and shear-induced secondary atomization. Unlike conventional injectors, the novel design generates ultra-fine sprays [...] Read more.
The present study investigates the influence of atomizing air-to-liquid mass ratio (ALR) on the near-field spray characteristics and stability of a novel twin-fluid injector that integrates bubble-bursting for primary atomization and shear-induced secondary atomization. Unlike conventional injectors, the novel design generates ultra-fine sprays at the exit with low sensitivity to liquid properties. The previous version improved secondary atomization even for highly viscous liquids, showing strong potential in hydrogel-based fire suppression. The current design improves primary atomization, leading to more stable and finer sprays. The near-field spray characteristics are quantified using a high-speed shadowgraph across ALRs ranging from 1.25 to 2.00. This study found that stable and finely atomized sprays are produced across all the tested ALRs. Increasing ALR reduces droplet size, while the spray is the widest at 1.25. Sauter Mean Diameter (SMD) contours show larger droplets at the edges and smaller ones toward the center, with ALR 2.00 yielding the most uniform size distribution. As per the atomization efficiency, ALR of 1.25 shows the best performance. Overall, an optimum ALR of 1.75 is identified, offering balanced droplet size distribution, stability, and atomization efficiency, making the injector potentially suitable for fire suppression and liquid-fueled gas turbines requiring high stability and fuel flexibility. Full article
Show Figures

Graphical abstract

20 pages, 6023 KB  
Article
Genome-Wide Identification, Characterization, and Expression Analysis of Trehalose Metabolism Genes in Tea Plant (Camellia sinensis) Reveals Their Roles in Response to Heat Stress
by Shizhong Zheng, Xiaohui Chen, Ziwei Zhou, Rongzhao Lin, Huangxin Jiang, Liyi Xu and Jingjing Su
Plants 2025, 14(21), 3309; https://doi.org/10.3390/plants14213309 - 29 Oct 2025
Viewed by 349
Abstract
Heat stress exacerbated by global warming severely impairs the growth and tea quality of the tea plant (Camellia sinensis). Trehalose is pivotal for regulating plant growth and enhancing stress resistance. However, the molecular characteristics, expression patterns, and regulatory mechanisms of trehalose [...] Read more.
Heat stress exacerbated by global warming severely impairs the growth and tea quality of the tea plant (Camellia sinensis). Trehalose is pivotal for regulating plant growth and enhancing stress resistance. However, the molecular characteristics, expression patterns, and regulatory mechanisms of trehalose metabolism genes in tea plants under heat stress remain unclear. Therefore, this study conducted a comprehensive investigation of trehalose metabolism genes in the Tieguanyin tea plant genome. A total of 30 trehalose metabolism genes were identified, including 17 trehalose-6-phosphate synthase (CsTPS), 9 trehalose-6-phosphate phosphatase (CsTPP), and 4 trehalase (CsTRE) genes. These genes were characterized in terms of their chromosomal locations and gene structures; the encoded proteins were characterized in terms of their phylogenetic relationships, conserved motifs, functional domains, physicochemical properties, and subcellular distributions. The results showed that these genes exhibit family-specific structural and functional features, laying a foundation for further functional studies. Collinearity analysis identified 20 homologous gene pairs between tea plants and Arabidopsis thaliana, significantly more than the 3 pairs with Oryza sativa, suggesting a closer evolutionary relationship with A. thaliana. Additionally, five intraspecific duplicated gene pairs were identified, all with Ka/Ks values < 1, indicating they have undergone strong purifying selection during evolution, leading to functional stability. Cis-acting element analysis revealed abundant stress-responsive, light-responsive, and phytohormone-responsive elements in the promoter regions of these trehalose metabolism genes, indicating their potential involvement in tea plant stress resistance regulation. Differential expression analyses under heat stress with exogenous trehalose treatment (CK: control, T: water-sprayed heat stress, TT: 5.0 mM trehalose-sprayed heat stress) identified six differentially expressed genes (DEGs). We further analyzed the expression patterns of these DEGs. Specifically, CsTPS1, CsTPS5, and CsTPS12 were increasingly upregulated in CK, T, and TT, respectively, while CsTPP1 and CsTPP2 were upregulated in TT relative to T. Additionally, CsTRE1, CsTRE2, and CsTRE4 showed downregulation in TT compared to T, though they were not classified as DEGs. These findings indicate that exogenous trehalose application modulates trehalose metabolism by promoting CsTPS and CsTPP expression while inhibiting CsTRE expression, thereby increasing endogenous trehalose content in tea plants under heat stress. Yeast heat stress tolerance assays confirmed that CsTPS1, CsTPS5, CsTPS12, and CsTPP1 enhanced yeast survival at 38 °C, verifying their function in improving organismal heat stress tolerance. In conclusion, these results clarify the roles of trehalose metabolism genes in tea plants’ heat stress response, demonstrating that exogenous trehalose modulates their expression to increase endogenous trehalose levels. This study provides a theoretical foundation for exploring trehalose-mediated heat stress resistance mechanisms and improving tea plant stress tolerance via genetic engineering. Full article
Show Figures

Figure 1

15 pages, 1969 KB  
Article
Ion-Type Irradiation Effect on Optical, Structural, and Morphological Properties of ZnO Thin Films
by Alejandra López-Suárez, Dwight R. Acosta, Juan López-Patiño and Beatriz E. Fuentes
Surfaces 2025, 8(4), 74; https://doi.org/10.3390/surfaces8040074 - 24 Oct 2025
Viewed by 273
Abstract
ZnO thin films were deposited on soda–lime glass substrates using the chemical spray pyrolysis method at a temperature of 500 °C. After the deposition, the substrates were irradiated with 10 keV H+ and Ar+ ions using a Colutron ion gun. We [...] Read more.
ZnO thin films were deposited on soda–lime glass substrates using the chemical spray pyrolysis method at a temperature of 500 °C. After the deposition, the substrates were irradiated with 10 keV H+ and Ar+ ions using a Colutron ion gun. We investigated the optical, structural, and morphological properties of the irradiated samples using Rutherford Backscattering Spectrometry, Ultraviolet and Visible Spectroscopy, X-ray diffraction, and Scanning Electron Microscopy. Our results showed a slight decrease in the optical band gap of the irradiated samples, which can be attributed to the quantum confinement effect caused by changes in the crystallite size. The diffractograms displayed diffraction peaks corresponding to the characteristic planes of the hexagonal wurtzite phase of ZnO, indicating that the films were polycrystalline with a preferential orientation along the c-axis. We also observed a reduction in the average crystallite size of the samples after ion irradiation. The morphological study showed that the average grain size increased and the shape changed from spherical in the pristine sample to flake-like after irradiation. Additionally, the samples irradiated with Ar+ ions exhibited a bimodal distribution in grain size, which is attributed to the defects and nucleation centers generated during the irradiation process. Full article
Show Figures

Figure 1

22 pages, 10683 KB  
Article
A Vision Navigation Method for Agricultural Machines Based on a Combination of an Improved MPC Algorithm and SMC
by Yuting Zhai, Dongyan Huang, Jian Li, Xuehai Wang and Yanlei Xu
Agriculture 2025, 15(21), 2189; https://doi.org/10.3390/agriculture15212189 - 22 Oct 2025
Viewed by 297
Abstract
Vision navigation systems provide significant advantages in agricultural scenarios such as pesticide spraying, weeding, and harvesting by interpreting crop row structures in real-time to establish guidance lines. However, the delay introduced by image processing causes the path and pose information relied upon by [...] Read more.
Vision navigation systems provide significant advantages in agricultural scenarios such as pesticide spraying, weeding, and harvesting by interpreting crop row structures in real-time to establish guidance lines. However, the delay introduced by image processing causes the path and pose information relied upon by the controller to lag behind the actual vehicle state. In this study, a hierarchical delay-compensated cooperative control framework (HDC-CC) was designed to synergize Model Predictive Control (MPC) and Sliding Mode Control (SMC), combining predictive optimization with robust stability enforcement for agricultural navigation. An upper-layer MPC module incorporated a novel delay state observer that compensated for visual latency by forward-predicting vehicle states using a 3-DoF dynamics model, generating optimized front-wheel steering angles under actuator constraints. Concurrently, a lower-layer SMC module ensured dynamic stability by computing additional yaw moments via adaptive sliding surfaces, with torque distribution optimized through quadratic programming. Under varying adhesion conditions tests demonstrated error reductions of 74.72% on high-adhesion road and 56.19% on low-adhesion surfaces. In Gazebo simulations of unstructured farmland environments, the proposed framework achieved an average path tracking error of only 0.091 m. The approach effectively overcame vision-controller mismatches through predictive compensation and hierarchical coordination, providing a robust solution for vision autonomous agricultural machinery navigation in various row-crop operations. Full article
(This article belongs to the Section Artificial Intelligence and Digital Agriculture)
Show Figures

Figure 1

18 pages, 998 KB  
Article
Mosquito Feeding Preference, Infectivity Rates, and Knockdown Resistance Within the Wild Population of Anopheles arabiensis in Jabi Tehnan District, Northwest Ethiopia
by Alemnesh Hailemariam Bedasso, Sisay Dugassa, Jimma Dinsa Deressa, Geremew Tasew Guma, Getachew Tolera Eticha, Mesay Hailu Dangisso, Eliningaya J. Kweka and Habte Tekie
Trop. Med. Infect. Dis. 2025, 10(10), 299; https://doi.org/10.3390/tropicalmed10100299 - 21 Oct 2025
Viewed by 1004
Abstract
Background: In recent decades, malaria vector species distribution and insecticide resistance have taken new colonization steps across Africa. Understanding the malaria vector insecticide resistance status, blood meal source, and species composition is of paramount importance in designing evidence-based vector control strategies. This study [...] Read more.
Background: In recent decades, malaria vector species distribution and insecticide resistance have taken new colonization steps across Africa. Understanding the malaria vector insecticide resistance status, blood meal source, and species composition is of paramount importance in designing evidence-based vector control strategies. This study assessed the blood meal sources, sporozoite (infectivity) rate, and knockdown resistance allele’s frequency in female Anopheles arabiensis in chosen villages of Jabi Tehnan District, Northwest Ethiopia. Methods: The host-seeking and resting Anopheles gambiae s.l. were collected using human landing catches (HLCs), CDC light traps (CDC-LTs), pyrethrum spray catches (PSCs), and pit shelters (PSs) both indoors and outdoors. The analysis of both blood meal sources and circumsporozoite proteins was performed using enzyme-linked immunosorbent assay (ELISA). The detection of knockdown resistance gene mutations and species identification were conducted using a polymerase chain reaction (PCR). Results: A total of 5098 female Anopheles gambiae s.l. were collected. Of these, 1690 (33.2%) were collected from HLCs, 1423 (27.9%) from CDC light traps, 1635 (32.0%) from PSCs, and only 350 (6.9%) from pit shelters (PSs). Of these, 57.2% (n = 2915) female Anopheles mosquitoes were collected indoors using CDC light traps (CDC-LTs), human landing catches (HLCs), and pyrethrum spray catches (PSCs), while 38.2% (n = 2183) were collected outdoors using human landing collection (HLC), CDC light traps (CDC-LTs), and artificial pit shelters (PSs). Molecular identification to the species level showed that among the 530 An. gambiae s.l. samples analyzed using PCR, 96.03% (509) were An. arabiensis, and 3.97% (21) were unidentified species. The biting peak was found to be from 22:00 to 00:00 h for An. arabiensis. However, their activity decreased sharply after 23:00 to 00:00 h. The distribution of knockdown resistance genes in the tested specimens of An. arabiensis consisted of 1.4% (n = 3) heterozygous resistant (RS), 17.9% (n = 38) homozygous resistant (RR), and 80.7% (n = 171) homozygous susceptible (SS) genotypes. A higher proportion of Anopheles mosquitoes analyzed for blood meal analysis had a human blood meal origin at 13.1% (n = 47), followed by bovine at 8.9% (n = 32) and mixed at 5.8% (n = 21). Conclusions: The dominant malaria vector species was Anopheles arabiensis in the study area with a higher human blood meal origin. The Kdr gene was confirmed in the tested An. arabiensis, indicating that an alternative insecticide class should be used in the study area. Full article
(This article belongs to the Special Issue Insecticide Resistance and Vector Control)
Show Figures

Figure 1

12 pages, 5297 KB  
Article
In Situ Hydrogel Growth on Flame-Sprayed Hydroxyapatite (HA)/TiO2-Coated Stainless Steel via TiO2-Photoinitiated Polymerization
by Komsanti Chokethawai, Nattawit Yutimit, Burin Boonsri, Parkpoom Jarupoom, Ketmanee Muangchan, Sahadsawat Tonkaew, Pongpen Kaewdee, Sujitra Tandorn and Chamnan Randorn
Gels 2025, 11(10), 837; https://doi.org/10.3390/gels11100837 - 18 Oct 2025
Viewed by 330
Abstract
Hydroxyapatite (HA) coatings improve implant bioactivity but suffer from brittleness and limited functionality. Here, we report a hybrid coating strategy combining flame-sprayed HA/TiO2 with in situ hydrogel growth. TiO2 incorporated into the HA matrix acted as a photocatalytic initiator for acrylamide [...] Read more.
Hydroxyapatite (HA) coatings improve implant bioactivity but suffer from brittleness and limited functionality. Here, we report a hybrid coating strategy combining flame-sprayed HA/TiO2 with in situ hydrogel growth. TiO2 incorporated into the HA matrix acted as a photocatalytic initiator for acrylamide polymerization under UV. Unlike conventional hydrogel coatings that require added photoinitiators or separate surface modification steps, TiO2 incorporated into the HA layer serves as a built-in photocatalytic initiator, enabling direct polymerization of acrylamide monomers on the sprayed surface. The resulting HA/TiO2–hydrogel coatings exhibited a continuous hydrogel layer with intimate contact to the ceramic surface, as evidenced by SEM cross-sections and elemental mapping. The HA/TiO2 1% coating produced a continuous coverage in close contact with the surface, while excessive TiO2(5%) led to uncontrolled hydrogel growth and partial coating failure. SEM cross-sections revealed a dense, well-adhered coating with homogeneously distributed Ca, P, O, and finely dispersed Ti. Upon immersion in simulated body fluid (SBF), submicron globular deposits progressively developed on the coating surface. EDS showed an increase in Ca/P ratio from ~1.66 (as-sprayed) to ~1.92 (14 days). These findings highlight a straightforward approach for combining flame-sprayed ceramics with photocatalytic hydrogel growth, providing a practical route toward multifunctional implant surface modification. Full article
(This article belongs to the Special Issue Hydrogels for Bone Regeneration (2nd Edition))
Show Figures

Graphical abstract

17 pages, 4143 KB  
Article
Improving Resource Efficiency in Plant Protection by Enhancing Spray Penetration in Crop Canopies Using Air-Assisted Spraying
by Seweryn Lipiński, Piotr Markowski, Zdzisław Kaliniewicz and Piotr Szczyglak
Resources 2025, 14(10), 165; https://doi.org/10.3390/resources14100165 - 17 Oct 2025
Viewed by 455
Abstract
Efficient pesticide application remains a critical resource-management challenge in modern agriculture, where limited spray penetration reduces treatment efficacy, wastes chemical inputs, and increases environmental losses. This study quantified the effect of air-assisted spraying (AAS) on droplet deposition in two contrasting field crops, oilseed [...] Read more.
Efficient pesticide application remains a critical resource-management challenge in modern agriculture, where limited spray penetration reduces treatment efficacy, wastes chemical inputs, and increases environmental losses. This study quantified the effect of air-assisted spraying (AAS) on droplet deposition in two contrasting field crops, oilseed rape and wheat. Field trials were conducted using a sprayer equipped with an adjustable airflow module, and spray coverage was measured with water-sensitive papers at multiple canopy heights and orientations. In oilseed rape, AAS improved deposition on front-facing and top surfaces in the lower canopy, for example, increasing top-surface coverage at 90 cm from 53.4% to 65.5% at 6 km∙h−1, indicating more uniform distribution and enhanced penetration. In wheat, which typically exhibits a more open canopy structure compared to oilseed rape, AAS effects were smaller and less consistent, with the greatest gain on front-facing lower surfaces (from 13.3% to 21.9% at 7 km∙h−1). Although drift was not measured in this experiment, previous studies using the same sprayer prototype demonstrated measurable reductions, supporting the environmental relevance of improved deposition. These results highlight the role of canopy architecture in determining AAS performance and underscore the technology’s potential to reduce pesticide inputs, minimize off-target losses, and improve the resource efficiency of crop protection in line with EU Farm to Fork objectives. Full article
Show Figures

Figure 1

17 pages, 3284 KB  
Article
Research on Temperature Distribution of Cable Fire in Utility Tunnel and Fire Extinguishing Efficiency of High-Pressure Water Mist Fire Extinguishing System
by Kun Xiang, Peng Du, Hongrun Liu, Yaojia Fu and Taoran Li
Fire 2025, 8(10), 404; https://doi.org/10.3390/fire8100404 - 17 Oct 2025
Viewed by 776
Abstract
Utility tunnels concentrate various important urban engineering pipelines within a shared underground space, which poses significant fire risks, particularly from cable fires. In this study, a full-scale fire experiment was conducted to investigate the temperature distribution characteristics of cable fires in utility tunnels, [...] Read more.
Utility tunnels concentrate various important urban engineering pipelines within a shared underground space, which poses significant fire risks, particularly from cable fires. In this study, a full-scale fire experiment was conducted to investigate the temperature distribution characteristics of cable fires in utility tunnels, along with the effects of spray intensity, cable fullness, and longitudinal ventilation on the extinguishing efficiency of a high-pressure water mist fire extinguishing system (HWMFES). The results show that the maximum heating area of a cable fire in a utility tunnel is localized to the three cable trays nearest to and directly above the fire source, with a peak temperature of 825 °C, while the impact on other areas is negligible. Increasing the spray intensity from 0.7 to 1.0 L/(min·m2) reduced the time required to lower temperatures to 50 °C by 40.8%, while reducing cable fullness from 12 to 6 cables per tray shortened extinguishing time by 22.5%. Additionally, applying a ventilation speed of 2 m/s enhanced cooling efficiency, reducing the time to reach 50 °C by 67.5% compared to still air conditions. These findings provide practical insights and data support for optimizing the design and application of HWMFES in enhancing fire safety in utility tunnels. Full article
(This article belongs to the Special Issue Confined Space Fire Safety and Alternative Fuel Fire Safety)
Show Figures

Figure 1

24 pages, 4333 KB  
Article
Development of Co-Amorphous Systems for Inhalation Therapy—Part 2: In Silico Guided Co-Amorphous Rifampicin–Moxifloxacin and –Ethambutol Formulations
by Eleonore Fröhlich, Noon Sharafeldin, Valerie Reinisch, Nila Mohsenzada, Stefan Mitsche, Hartmuth Schröttner and Sarah Zellnitz-Neugebauer
Pharmaceutics 2025, 17(10), 1339; https://doi.org/10.3390/pharmaceutics17101339 - 16 Oct 2025
Viewed by 454
Abstract
Background/Objectives: Tuberculosis (TB) remains a global health challenge due to long treatment durations, poor adherence, and growing drug resistance. Inhalable co-amorphous systems (COAMS) offer a promising strategy for targeted pulmonary delivery of fixed-dose combinations, improving efficacy and reducing systemic side effects. Methods: [...] Read more.
Background/Objectives: Tuberculosis (TB) remains a global health challenge due to long treatment durations, poor adherence, and growing drug resistance. Inhalable co-amorphous systems (COAMS) offer a promising strategy for targeted pulmonary delivery of fixed-dose combinations, improving efficacy and reducing systemic side effects. Methods: Our in-house-developed machine learning (ML) tool identified two promising API-API combinations for TB therapy, rifampicin (RIF)–moxifloxacin (MOX) and RIF–ethambutol (ETH). Physiologically based pharmacokinetic (PBPK) modeling was used to estimate therapeutic lung doses of RIF, ETH, and MOX following oral administration. Predicted lung doses were translated into molar ratios, and COAMS of RIF-ETH and RIF-MOX at both model-predicted (1:1) and PBPK-informed ratios were prepared by spray drying and co-milling, followed by comprehensive physicochemical and aerodynamic characterization. Results: RIF-MOX COAMS could be prepared in all molar ratios tested, whereas RIF-ETH failed to result in COAMS for therapeutically relevant molar ratios. Spray drying and ball milling successfully produced stable RIF-MOX formulations, with spray drying showing superior behavior in terms of morphology (narrow particle size distribution; lower Sauter mean diameter), aerosolization performance (fine particle fraction above 74% for RIF and MOX), and dissolution. Conclusions: This study demonstrated that PBPK modeling and ML are useful tools to develop COAMS for pulmonary delivery of active pharmaceutical ingredients (APIs) routinely applied through the oral route. It was also observed that COAMS may be less effective when the therapeutic lung dose ratio significantly deviates from the predicted 1:1 molar ratio. This suggests the need for alternative delivery strategies in such cases. Full article
(This article belongs to the Special Issue New Platform for Tuberculosis Treatment)
Show Figures

Graphical abstract

Back to TopTop