Sign in to use this feature.

Years

Between: -

Subjects

remove_circle_outline
remove_circle_outline
remove_circle_outline
remove_circle_outline
remove_circle_outline
remove_circle_outline
remove_circle_outline

Journals

Article Types

Countries / Regions

Search Results (111)

Search Parameters:
Keywords = spirocyclization

Order results
Result details
Results per page
Select all
Export citation of selected articles as:
19 pages, 2190 KB  
Article
Spectral Characterization of Prospidium Chloride Using Complementary Analytical Techniques
by Antoniy A. Kladiev, Elena V. Uspenskaya, Mikhail G. Baryshev, Vasilii A. Ivlev, Vasilii G. Vasil’ev, Samvel S. Barsegyan and Ainaz Safdari
Sci. Pharm. 2026, 94(1), 15; https://doi.org/10.3390/scipharm94010015 - 5 Feb 2026
Viewed by 259
Abstract
The clinical efficacy of chemotherapy against rapidly proliferating cells stimulates both the development of new agents and the reassessment of established drugs. Spectroscopic methods (UV, FT-IR, and 1H NMR) were applied to characterize prospidium chloride and related substances. The FT-IR spectrum of [...] Read more.
The clinical efficacy of chemotherapy against rapidly proliferating cells stimulates both the development of new agents and the reassessment of established drugs. Spectroscopic methods (UV, FT-IR, and 1H NMR) were applied to characterize prospidium chloride and related substances. The FT-IR spectrum of prospidium chloride, arising from vibrational transitions within the alkyl fragments of the dispirotripiperazinium cation, is reported with band assignments. Electronic transitions between molecular orbitals are analyzed using quantum–mechanical selection rules (Laporte and spin selection rules). The n→σ* transition (ΔS = 0) corresponds to the absorption maximum at λmax = 282 ± 0.40 nm (ε = 3.89 ± 0.08 L·mol−1·cm−1). A 1H NMR spectrum (700 MHz) was used to assign chemical shifts δ (ppm), J-coupling constants (Hz), and gauche conformational features of prospidium chloride and its dihydroxy and epoxy impurities. Quantitative 1H NMR (qNMR) was applied to determine the content of the active pharmaceutical ingredient and related substances. The methods provide complementary structural information for the characterization of prospidium chloride. Full article
Show Figures

Figure 1

12 pages, 523 KB  
Communication
Chemo- and Regioselective 1,3-Dipolar Cycloaddition of Nitrile Imines to 5-Arylmethylene-2-methylthiohydantoins
by Maria E. Filkina, Lev A. Lintsov, Victor A. Tafeenko, Maxim E. Kukushkin and Elena K. Beloglazkina
Organics 2026, 7(1), 7; https://doi.org/10.3390/org7010007 - 3 Feb 2026
Viewed by 262
Abstract
1,3-Dipolar cycloaddition reactions of nitrile imines are a powerful tool for the construction of spirocyclic frameworks, yet controlling chemoselectivity remains challenging when dipolarophiles contain multiple reactive sites. In this study, we investigated the cycloaddition of nitrile imines with 5-arylmethylene-2-methylthiohydantoins, which possess both exocyclic [...] Read more.
1,3-Dipolar cycloaddition reactions of nitrile imines are a powerful tool for the construction of spirocyclic frameworks, yet controlling chemoselectivity remains challenging when dipolarophiles contain multiple reactive sites. In this study, we investigated the cycloaddition of nitrile imines with 5-arylmethylene-2-methylthiohydantoins, which possess both exocyclic C=C and endocyclic C=N bonds. Nitrile imines were generated from hydrazonoyl chlorides under basic conditions and reacted with the thiohydantoin substrates under optimized reaction conditions. The cycloaddition proceeded smoothly, affording spiro-fused thiohydantoin–pyrazoline derivatives. In all cases, the reaction occurred selectively at the exocyclic C=C bond, while the C=N bond remained unreactive even in the presence of excess dipole. This chemoselectivity is attributed to the greater steric accessibility of the exocyclic double bond. These results clarify key factors governing nitrile imine chemoselectivity and provide a reliable approach to structurally complex spirocyclic thiohydantoin derivatives. Full article
Show Figures

Figure 1

13 pages, 1730 KB  
Article
Straightforward Synthetic Approach to Aminoalcohols with 9-oxabicyclo[3.3.1]nonane or Cyclooctane Core via Nucleophilic Ring-Opening of Spirocyclic Bis(oxiranes)
by Olga V. Ryzhikova, Daiana V. Savchenkova, Sergey V. Kositov, Yuri K. Grishin, Olga A. Maloshitskaya, Kseniya N. Sedenkova and Elena B. Averina
Molecules 2026, 31(2), 252; https://doi.org/10.3390/molecules31020252 - 12 Jan 2026
Viewed by 282
Abstract
Nucleophilic ring-opening of bis(oxiranes), containing several reactive centers, can be used to elaborate straightforward atom-economy and stereoselective approaches to polyfunctionalized compounds. In the present work, ring-opening of cis- and trans-diastereomers of a spirocyclic bis(oxirane), containing a cyclooctane core (namely, 1,8-dioxadispiro[2.3.2.3]dodecane), upon treatment with [...] Read more.
Nucleophilic ring-opening of bis(oxiranes), containing several reactive centers, can be used to elaborate straightforward atom-economy and stereoselective approaches to polyfunctionalized compounds. In the present work, ring-opening of cis- and trans-diastereomers of a spirocyclic bis(oxirane), containing a cyclooctane core (namely, 1,8-dioxadispiro[2.3.2.3]dodecane), upon treatment with various amines, was studied. Trans-isomer afforded aminoalcohols with 9-oxabicyclo[3.3.1]nonane moiety, formed via domino-process, including opening of an oxirane ring followed by intramolecular cyclization. Ring-opening of cis-isomer gave aminosubstituted cis-cyclooctane-1,5-diols, derived from independent reaction of two oxirane moieties. Activation of oxirane rings by the addition of LiClO4, acting as a Lewis acid, allowed the involvement of a number of primary and secondary aliphatic amines as well as aniline derivatives in the reaction. Scope and limitations of the reaction were studied and a series of aminoalcohols with a 9-oxabicyclo[3.3.1]nonane core and symmetric diaminodiols with a cyclooctane core were obtained. Full article
(This article belongs to the Section Organic Chemistry)
Show Figures

Figure 1

13 pages, 1109 KB  
Article
Isolation of Three New Diketopiperazine Alkaloids from Penicillium sp. SCH3-Sd2
by Eun-Young Lee, Qian Gao, Hui Tan, Prima F. Hillman, Dawoon Chung, Grace Choi, Hiyoung Kim, Kyung-Min Lim and Sang-Jip Nam
Molecules 2026, 31(1), 149; https://doi.org/10.3390/molecules31010149 - 1 Jan 2026
Viewed by 351
Abstract
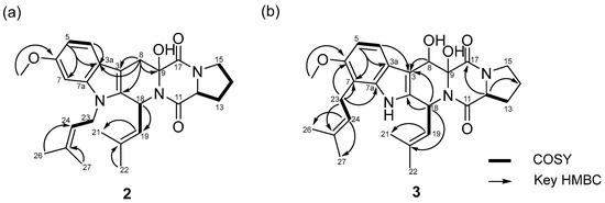
Intensive analysis of the culture broth of the marine-derived Penicillium sp. strain SCH3-Sd2 led to the isolation of one spirocyclic diketopiperazine alkaloid, spirotryprostatin H (1), as well as two indolyl diketopiperazines, fumitremorgins O and P (2 and 3). The [...] Read more.
Intensive analysis of the culture broth of the marine-derived Penicillium sp. strain SCH3-Sd2 led to the isolation of one spirocyclic diketopiperazine alkaloid, spirotryprostatin H (1), as well as two indolyl diketopiperazines, fumitremorgins O and P (2 and 3). The planar structures of 13 were elucidated by comprehensive spectroscopic analyses, while their absolute configurations were determined by combined NOESY and ECD analyses, and the configuration of the proline moiety was further confirmed using the advanced Marfey’s method. The evaluation of the antibacterial activity of compounds 13 against six bacterial strains revealed weak and selective activity only against Kocuria rhizophila KCTC 1915, with minimum inhibitory concentration (MIC) values of 64, 128, and 64 μg/mL, respectively. Full article
(This article belongs to the Section Natural Products Chemistry)
Show Figures

Figure 1

16 pages, 1010 KB  
Article
Synthesis of Trifluoromethylated Spiroisoxazolones via a [3+2] Cycloaddition of Nitrile Imines and Unsaturated Isoxazolones
by Wei Zhang and Da-Ming Du
Molecules 2026, 31(1), 73; https://doi.org/10.3390/molecules31010073 - 24 Dec 2025
Viewed by 543
Abstract
A strategy for constructing trifluoromethylated spiroisoxazolones has been developed. This approach relies on the 1,3-dipolar cycloaddition of CF3-substituted nitrile imines, generated in situ from trifluoroacetyl hydrazonoyl bromides and K2CO3, with the exocyclic double bond of 4-benzylidene-3-methylisoxazol-5(4H [...] Read more.
A strategy for constructing trifluoromethylated spiroisoxazolones has been developed. This approach relies on the 1,3-dipolar cycloaddition of CF3-substituted nitrile imines, generated in situ from trifluoroacetyl hydrazonoyl bromides and K2CO3, with the exocyclic double bond of 4-benzylidene-3-methylisoxazol-5(4H)-ones. The reaction provides a series of trifluoromethylated spiro(isoxazolone-pyrazoline) derivatives in moderate to high yields (up to 93%). The protocol exhibits broad substrate compatibility with respect to aromatic substituents on both reaction partners. To the best of our knowledge, the introduction of a trifluoromethyl group at the 3-position of the pyrazoline ring via nitrile imine cycloaddition chemistry has not been previously reported. The resulting products incorporate a valuable CF3-substituted pyrazoline pharmacophore spiro-fused to an isoxazolone core and may be of interest for medicinal chemistry programs. Full article
(This article belongs to the Special Issue Advances in Heterocyclic Synthesis, 2nd Edition)
Show Figures

Figure 1

15 pages, 3398 KB  
Article
Synthesis and In Situ Application of a New Fluorescent Probe for Visual Detection of Copper(II) in Plant Roots
by Dongyan Hu, Jiao Guan, Wengao Chen, Liushuang Zhang, Xingrong Fan, Guisu Zhou and Zhijuan Bao
Molecules 2025, 30(24), 4783; https://doi.org/10.3390/molecules30244783 - 15 Dec 2025
Cited by 1 | Viewed by 454
Abstract
A new rhodamine-based fluorescent probe (RDC, rhodamine-based derivative) was rationally designed and synthesized for the highly selective, sensitive, and quantitative detection of Cu2+. The probe demonstrated outstanding specificity toward Cu2+, even in the presence of competing metal ions (e.g., [...] Read more.
A new rhodamine-based fluorescent probe (RDC, rhodamine-based derivative) was rationally designed and synthesized for the highly selective, sensitive, and quantitative detection of Cu2+. The probe demonstrated outstanding specificity toward Cu2+, even in the presence of competing metal ions (e.g., Al3+, Fe3+, Cr3+, Na+, and K+), exhibiting negligible interference and confirming its robust anti-interference capability. A spectroscopic analysis revealed that Cu2+ induced spirocyclic ring cleavage, resulting in a colorless-to-pink colorimetric transition and enhancement of the yellow–green fluorescence at 590 nm. Upon addition of Cu2+, the fluorescence spectrum showed a linear response in the concentration range of 0.4–20 μM, with a correlation coefficient (R2) of 0.9907 and the limit of detection (LOD) calculated to be 0.12 μM. Meanwhile, Job’s plot analysis verified that the binding stoichiometry between RDC and Cu2+ was 1:1. The probe exhibits rapid response kinetics (<5 min) and non-destructiveness properties, enabling in vivo imaging. Under stress conditions, Cu2+ accumulated predominantly in root tips (its primary target tissue), with the following distribution hierarchy: root tips > maturation zone epidermis > xylem vessels > cortical cell walls. In conclusion, RDC is a well-characterized, high-performance tool with high accuracy, excellent selectivity, and superior sensitivity for plant Cu2+ studies, and this work opens new technical avenues for rhodamine-based probes in plant physiology, environmental toxicity monitoring, and rational design of phytoremediation strategies. Full article
Show Figures

Figure 1

19 pages, 3577 KB  
Review
Enantioselective Preparation of (N,O)-, (N,N)- and (N,S)-Spiroketal Moieties
by Mata Sow, Edouard Fauran and Laurent Commeiras
Molecules 2025, 30(20), 4100; https://doi.org/10.3390/molecules30204100 - 15 Oct 2025
Viewed by 747
Abstract
This review highlights enantioselective strategies for preparing (N,O)- (N,N)- and (N,S)-spiroketal skeleton, which are key structural units found in many natural products and pharmacologically active substances. The strategies are mainly based on metallo-, organo- or Lewis acid-catalyzed cycloaddition or annulation reactions. Full article
Show Figures

Graphical abstract

25 pages, 6054 KB  
Review
Recent Advances in Biocatalytic Dearomative Spirocyclization Reactions
by Xiaorui Chen, Changtong Zhu, Luyun Ji, Changmei Liu, Yan Zhang, Yijian Rao and Zhenbo Yuan
Catalysts 2025, 15(7), 673; https://doi.org/10.3390/catal15070673 - 10 Jul 2025
Cited by 3 | Viewed by 3378
Abstract
Spirocyclic architectures, which feature two rings sharing a single atom, are common in natural products and exhibit beneficial biological and material properties. Due to the significance of these architectures, biocatalytic dearomative spirocyclization has recently emerged as a powerful approach for constructing three-dimensional spirocyclic [...] Read more.
Spirocyclic architectures, which feature two rings sharing a single atom, are common in natural products and exhibit beneficial biological and material properties. Due to the significance of these architectures, biocatalytic dearomative spirocyclization has recently emerged as a powerful approach for constructing three-dimensional spirocyclic frameworks under mild, sustainable conditions and with exquisite stereocontrol. This review surveys the latest advances in biocatalyzed spirocyclization of all-carbon arenes (phenols and benzenes), aza-aromatics (indoles and pyrroles), and oxa-aromatics (furans). We highlight cytochrome P450s, flavin-dependent monooxygenases, multicopper oxidases, and novel metalloenzyme platforms that effect regio- and stereoselective oxidative coupling, epoxidation/semi-pinacol rearrangement, and radical-mediated cyclization to produce diverse spirocycles. Mechanistic insights gleaned from structural, computational, and isotope-labeling studies are discussed where necessary to help the readers further understand the reported reactions. Collectively, these examples demonstrate the transformative potential of biocatalysis to streamline access to spirocyclic scaffolds that are challenging to prepare through traditional methods, underscoring biocatalysis as a transformative tool for synthesizing pharmaceutically relevant spiroscaffolds while adhering to green chemistry paradigms to ultimately contribute to a cleaner and more sustainable future. Full article
(This article belongs to the Section Biocatalysis)
Show Figures

Graphical abstract

20 pages, 8284 KB  
Article
Ganoapplanilactone C from Ganoderma applanatum Ameliorates Metabolic Dysfunction-Associated Steatotic Liver Disease via AMPK/mTOR-Mediated Lipid Regulation in Zebrafish
by Yifan Guo, Mengke Zhang, Jiayang Xu, Mengyue Dong, Xin Chen, Anan Yang, Jinming Gao and Xia Yin
Antioxidants 2025, 14(6), 637; https://doi.org/10.3390/antiox14060637 - 26 May 2025
Viewed by 1246
Abstract
A phytochemical study of Ganoderma applanatum identified four predominant triterpenoids, with ganoapplanilactone C (GATC) exhibiting the most significant lipid-reducing effects in high-fat diet-fed zebrafish, surpassing atorvastatin at 5 μM. Histopathological analysis confirmed GATC’s protective effects on the liver against high-fat diet-induced damage. The [...] Read more.
A phytochemical study of Ganoderma applanatum identified four predominant triterpenoids, with ganoapplanilactone C (GATC) exhibiting the most significant lipid-reducing effects in high-fat diet-fed zebrafish, surpassing atorvastatin at 5 μM. Histopathological analysis confirmed GATC’s protective effects on the liver against high-fat diet-induced damage. The Enzyme-Linked Immunosorbent Assay (ELISA) results showed a positive correlation between GATC treatment and liver health markers, as well as antioxidant enzymes, while they revealed a negative correlation with triglycerides and inflammatory cytokines. Metabolomic profiling demonstrates GATC’s impact on metabolites such as amino acids, fatty acids, and the mechanistic Target of Rapamycin (mTOR) signaling pathway, suggesting its role in regulating multiple metabolic processes. The increase in Adenosine Monophosphate-activated protein kinase (AMPK) phosphorylation in the GATC-treated groups indicates the activation of the AMPK/mTOR pathway, a key mechanism in lipid metabolism and liver protection. Molecular docking studies highlighted the importance of GATC’s spirocyclic ketone system and hydroxyl group in binding to target proteins. These findings underscore GATC’s potential as a therapeutic agent for metabolic dysfunction-associated steatotic liver disease (MASLD), emphasizing its superior efficacy compared to other triterpenoids due to its unique C-23 spiro 5/7 system. This study provides valuable insights into the prevention and treatment of MASLD using G. applanatum-derived compounds. Full article
Show Figures

Graphical abstract

16 pages, 2404 KB  
Article
Squaramide-Catalyzed Asymmetric Michael Addition/Cyclization Reaction for the Synthesis of Chiral Bisspiro Barbituric Acid–Oxindole Derivatives
by De-Jun Qiao and Da-Ming Du
Molecules 2025, 30(9), 2000; https://doi.org/10.3390/molecules30092000 - 30 Apr 2025
Viewed by 1098
Abstract
An efficient stereoselective strategy for the synthesis of chiral bisspiro barbituric acid–oxindole derivatives was developed. The asymmetric Michael addition/cyclization tandem reaction between benzylidene barbituric acids and oxindolylmalonitriles was catalyzed by squaramide catalyst, and the corresponding spirocyclic products were obtained in good-to-high yields (up [...] Read more.
An efficient stereoselective strategy for the synthesis of chiral bisspiro barbituric acid–oxindole derivatives was developed. The asymmetric Michael addition/cyclization tandem reaction between benzylidene barbituric acids and oxindolylmalonitriles was catalyzed by squaramide catalyst, and the corresponding spirocyclic products were obtained in good-to-high yields (up to 97%) with excellent stereoselectivities (up to >99% ee, >20:1 dr). At the same time, the practicality of the reaction was verified by the gram-scale preparation reaction. Full article
(This article belongs to the Special Issue Current Development of Asymmetric Catalysis and Synthesis)
Show Figures

Graphical abstract

16 pages, 2146 KB  
Article
Investigation of Dearomatizing Spirocyclizations and Spirocycle Functionalization En Route to Spirocalcaridines A and B—Some Trials and Tribulations
by Ravi P. Singh, Delphine Gout, James X. Mao, Peter Kroll and Carl J. Lovely
Molecules 2025, 30(5), 1143; https://doi.org/10.3390/molecules30051143 - 3 Mar 2025
Cited by 2 | Viewed by 1903
Abstract
Spirocalcaridines A and B are among the most challenging members of the marine invertebrate-derived Leucetta alkaloids. Approaches to the construction and elaboration of the highly compact spirocyclic core are described. The synthesis of tricyclic guanidine via tandem oxidative amination dearomatizing spirocyclization (TOADS) using [...] Read more.
Spirocalcaridines A and B are among the most challenging members of the marine invertebrate-derived Leucetta alkaloids. Approaches to the construction and elaboration of the highly compact spirocyclic core are described. The synthesis of tricyclic guanidine via tandem oxidative amination dearomatizing spirocyclization (TOADS) using hypervalent iodine set the stage for total synthesis via the migration of the C4/C8 double bond to the C4/C5 position, followed by oxidation. The undesired but not surprising propensity of the spirocyclic cyclohexadienone to undergo rearrangement to the phenol hindered the desired olefin migration. Furthermore, initial efforts to install the oxidation sequentially, first at C5 and then at C4 in the complete carbon skeleton, were fraught with unforeseen challenges and unusual outcomes. In addition, the scope and limitations of hypervalent iodine-mediated tandem oxidative dearomatizing spirocyclization on various substrates were explored. Urethanes and thiourethanes underwent spirocyclization with an excellent yield, whereas the reaction with allylic substrates and species lacking the p-methoxy substituent did not proceed. Attempts to prepare other guanidine precursors are briefly discussed. Full article
(This article belongs to the Special Issue Total Synthesis of Natural Products and Their Analogues)
Show Figures

Graphical abstract

8 pages, 1001 KB  
Article
Copper-Catalyzed Four-Component A3-Based Cascade Reaction: Facile Synthesis of 3-Oxetanone-Derived Spirocycles
by Rongkang Zhang, Liliang Huang, Aiguo Gu and Huangdi Feng
Chemistry 2025, 7(1), 19; https://doi.org/10.3390/chemistry7010019 - 4 Feb 2025
Cited by 1 | Viewed by 3309
Abstract
3-Oxetanone-derived spirooxazolidines represent a class of building blocks for accessing diverse saturated heterocycles, but their synthetic methods remain unexplored. Herein, we demonstrate a highly atom-economic approach for the synthesis of diverse 3-oxetanone-derived N-propargyl spirooxazolidines via a CuBr2/TFA co-catalyzed four-component A [...] Read more.
3-Oxetanone-derived spirooxazolidines represent a class of building blocks for accessing diverse saturated heterocycles, but their synthetic methods remain unexplored. Herein, we demonstrate a highly atom-economic approach for the synthesis of diverse 3-oxetanone-derived N-propargyl spirooxazolidines via a CuBr2/TFA co-catalyzed four-component A3-based cascade reaction of a 1,2-amino alcohol, a 3-oxetanone, a formaldehyde, and an alkyne. This strategy is characterized by a wide substrate range and excellent chemoselectivity. In addition, the synthesized spirocycles could also be easily converted into other valuable compounds, facilitating potentially useful synthetic applications. Full article
Show Figures

Graphical abstract

14 pages, 2079 KB  
Article
Diastereoselective Synthesis of 2-Amino-spiro[4.5]decane-6-ones Through Synergistic Photocatalysis and Organocatalysis for [3 + 2] Cycloaddition of Cyclopropylamines with Olefins
by Tianxiao Hu and Xufeng Lin
Catalysts 2025, 15(2), 107; https://doi.org/10.3390/catal15020107 - 22 Jan 2025
Viewed by 3035
Abstract
This research employs 2-methylene-tetrahydronaphtalene-1-ones and N-cyclopropylanilines as starting materials, integrating photocatalysis and organic phosphoric acid catalysis to synthesize 2-amino-spiro[4.5]decane-6-ones via a [3 + 2] cycloaddition approach. This method boasts the advantage of mild reaction conditions that are photocatalyst-free and metal catalyst-free. It achieves [...] Read more.
This research employs 2-methylene-tetrahydronaphtalene-1-ones and N-cyclopropylanilines as starting materials, integrating photocatalysis and organic phosphoric acid catalysis to synthesize 2-amino-spiro[4.5]decane-6-ones via a [3 + 2] cycloaddition approach. This method boasts the advantage of mild reaction conditions that are photocatalyst-free and metal catalyst-free. It achieves 100% atom conversion of the substrates, aligning with the principles of green chemistry. Additionally, it attains a high diastereoselectivity result of up to 99:1, demonstrating good stereoselectivity. In the derivatives of 2-methylene-tetrahydronaphtalene-1-ones, substrates with alkane rings of different sizes or thiophene replacing the phenyl ring are also amenable to this method, enabling the synthesis of different [4.4], [4.5], and [4.6] spirocyclic compounds. In the derivatives of N-cyclopropylanilines, substrates with para-fluoro and meta-fluoro substitutions are also amenable to this method. Finally, a preliminary mechanistic investigation was conducted, proposing a plausible reaction mechanism pathway initiating from the intermediate N-cyclopropylanilines with chiral phosphoric acid. Full article
(This article belongs to the Special Issue Sustainable Catalysis for Green Chemistry and Energy Transition)
Show Figures

Figure 1

19 pages, 3960 KB  
Article
How Do Gepotidacin and Zoliflodacin Stabilize DNA-Cleavage Complexes with Bacterial Type IIA Topoisomerases? 2. A Single Moving Metal Mechanism
by Robert A. Nicholls, Harry Morgan, Anna J. Warren, Simon E. Ward, Fei Long, Garib N. Murshudov, Dmitry Sutormin and Benjamin D. Bax
Int. J. Mol. Sci. 2025, 26(1), 33; https://doi.org/10.3390/ijms26010033 - 24 Dec 2024
Cited by 2 | Viewed by 2677
Abstract
DNA gyrase is a bacterial type IIA topoisomerase that can create temporary double-stranded DNA breaks to regulate DNA topology and an archetypical target of antibiotics. The widely used quinolone class of drugs use a water–metal ion bridge in interacting with the GyrA subunit [...] Read more.
DNA gyrase is a bacterial type IIA topoisomerase that can create temporary double-stranded DNA breaks to regulate DNA topology and an archetypical target of antibiotics. The widely used quinolone class of drugs use a water–metal ion bridge in interacting with the GyrA subunit of DNA gyrase. Zoliflodacin sits in the same pocket as quinolones but interacts with the GyrB subunit and also stabilizes lethal double-stranded DNA breaks. Gepotidacin has been observed to sit on the twofold axis of the complex, midway between the two four-base-pair separated DNA-cleavage sites and has been observed to stabilize singe-stranded DNA breaks. Here, we use information from three crystal structures of complexes of Staphlococcus aureus DNA gyrase (one with a precursor of gepotidacin and one with the progenitor of zoliflodacin) to propose a simple single moving metal-ion-catalyzed DNA-cleavage mechanism. Our model explains why the catalytic tyrosine is in the tyrosinate (negatively charged) form for DNA cleavage. Movement of a single catalytic metal-ion (Mg2+ or Mn2+) guides water-mediated protonation and cleavage of the scissile phosphate, which is then accepted by the catalytic tyrosinate. Type IIA topoisomerases need to be able to rapidly cut the DNA when it becomes positively supercoiled (in front of replication forks and transcription bubbles) and we propose that the original purpose of the small Greek Key domain, common to all type IIA topoisomerases, was to allow access of the catalytic metal to the DNA-cleavage site. Although the proposed mechanism is consistent with published data, it is not proven and other mechanisms have been proposed. Finally, how such mechanisms can be experimentally distinguished is considered. Full article
(This article belongs to the Section Molecular Pharmacology)
Show Figures

Figure 1

17 pages, 2166 KB  
Article
Immunogenic Cell Death Traits Emitted from Chronic Lymphocytic Leukemia Cells Following Treatment with a Novel Anti-Cancer Agent, SpiD3
by Elizabeth Schmitz, Abigail Ridout, Audrey L. Smith, Alexandria P. Eiken, Sydney A. Skupa, Erin M. Drengler, Sarbjit Singh, Sandeep Rana, Amarnath Natarajan and Dalia El-Gamal
Biomedicines 2024, 12(12), 2857; https://doi.org/10.3390/biomedicines12122857 - 16 Dec 2024
Cited by 4 | Viewed by 2163
Abstract
Background: Targeted therapies (e.g., ibrutinib) have markedly improved chronic lymphocytic leukemia (CLL) management; however, ~20% of patients experience disease relapse, suggesting the inadequate depth and durability of these front-line strategies. Moreover, immunotherapeutic success in CLL has been stifled by its pro-tumor microenvironment milieu [...] Read more.
Background: Targeted therapies (e.g., ibrutinib) have markedly improved chronic lymphocytic leukemia (CLL) management; however, ~20% of patients experience disease relapse, suggesting the inadequate depth and durability of these front-line strategies. Moreover, immunotherapeutic success in CLL has been stifled by its pro-tumor microenvironment milieu and low mutational burden, cultivating poor antigenicity and limited ability to generate anti-tumor immunity through adaptive immune cell engagement. Previously, we have demonstrated how a three-carbon-linker spirocyclic dimer (SpiD3) promotes futile activation of the unfolded protein response (UPR) in CLL cells through immense misfolded-protein mimicry, culminating in insurmountable ER stress and programmed CLL cell death. Method: Herein, we used flow cytometry and cell-based assays to capture the kinetics and magnitude of SpiD3-induced damage-associated molecular patterns (DAMPs) in CLL cell lines and primary samples. Result: SpiD3 treatment, in vitro and in vivo, demonstrated the capacity to propagate immunogenic cell death through emissions of classically immunogenic DAMPs (CALR, ATP, HMGB1) and establish a chemotactic gradient for bone marrow-derived dendritic cells. Conclusions: Thus, this study supports future investigation into the relationship between novel therapeutics, manners of cancer cell death, and their contributions to adaptive immune cell engagement as a means for improving anti-cancer therapy in CLL. Full article
Show Figures

Figure 1

Back to TopTop