Isolation of Three New Diketopiperazine Alkaloids from Penicillium sp. SCH3-Sd2
Abstract
1. Introduction

2. Results and Discussion
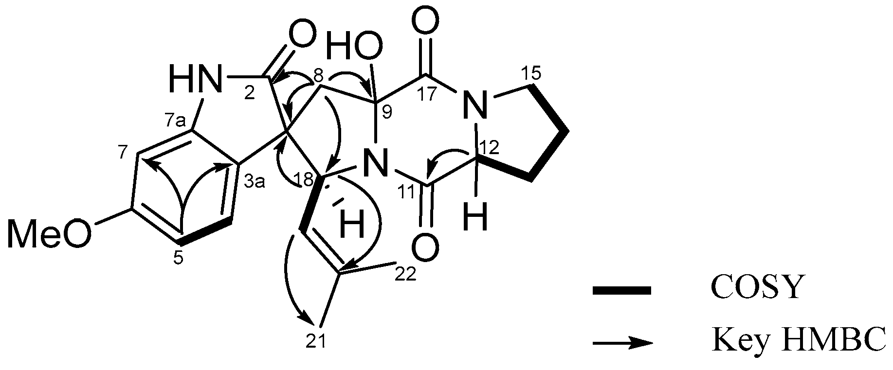
2.1. Structure Elucidation
2.2. Absolute Configurations of Compounds 1–3
2.3. Antibacterial Activity
| Minimal Inhibitory Concentration (μg/mL) | ||||||
|---|---|---|---|---|---|---|
| Compounds | Gram (+) Bacteria | Gram (−) Bacteria | ||||
| B. subtillis KCTC 1021 | K. rhizophila KCTC 1915 | S. aureus KCTC 1621 | E. coli KCTC 2441 | S. tyhimurium KCTC 2515 | K. pneumonia KCTC 2690 | |
| 1 | >128 | 64 | >128 | >128 | >128 | >128 |
| 2 | >128 | 128 | >128 | >128 | >128 | >128 |
| 3 | >128 | 64 | >128 | >128 | >128 | >128 |
| Ampicillin | 0.5 | 0.25 | 2 | 64 | 16 | >128 |
| Vancomycin | 0.25 | 0.25 | 0.25 | >128 | >128 | >128 |
3. Materials and Methods
3.1. General Experimental Procedures
3.2. Collection and Identification of the Strain SCH3-Sd2
3.3. Fermentation, Extraction, and Isolation
3.4. Acid Hydrolysis and Advanced Marfey’s Analysis of Spirotryprostatin H
3.5. Antibacterial Activity Assay
4. Conclusions
Supplementary Materials
Author Contributions
Funding
Institutional Review Board Statement
Informed Consent Statement
Data Availability Statement
Conflicts of Interest
Abbreviations
| COSY | Correlated Spectroscopy |
| DKPs | Diketopiperazines |
| ECD | Electronic Circular Dichroism |
| HMBC | Heteronuclear Multiple Bond Correlation |
| HSQC | Heteronuclear Single-Quantum Correlation |
| HPLC | High-performance liquid chromatography |
| MIC | Minimum inhibitory concentration |
| NMR | Nuclear magnetic resonance |
| NOESY | Nuclear Overhauser Effect |
| OSMAC | One strain−many compounds |
| PDB | Potato Dextrose Broth |
| TFA | Trifluoroacetic acid |
References
- Schueffler, A.; Anke, T. Fungal natural products in research and development. Nat. Prod. Rep. 2014, 31, 1425–1448. [Google Scholar] [CrossRef] [PubMed]
- Eze, P.M.; Liu, Y.; Simons, V.E.; Ebada, S.S.; Kurtán, T.; Király, S.B.; Esimone, C.O.; Okoye, F.B.; Proksch, P.; Kalscheuer, R. Two new metabolites from a marine-derived fungus Penicillium ochrochloron. Phytochem. Lett. 2023, 55, 101–104. [Google Scholar] [CrossRef]
- Imhoff, J.F. Natural products from marine fungi—Still an underrepresented resource. Mar. Drugs 2016, 14, 19. [Google Scholar] [CrossRef] [PubMed]
- Bugni, T.S.; Ireland, C.M. Marine-derived fungi: A chemically and biologically diverse group of microorganisms. Nat. Prod. Rep. 2004, 21, 143–163. [Google Scholar] [CrossRef]
- Yang, X.; Liu, J.; Mei, J.; Jiang, R.; Tu, S.; Deng, H.; Liu, J.; Yang, S.; Li, J. Origins, structures, and bioactivities of secondary metabolites from marine-derived Penicillium fungi. Mini Rev. Med. Chem. 2021, 21, 2000–2019. [Google Scholar] [CrossRef]
- Ma, H.-G.; Liu, Q.; Zhu, G.-L.; Liu, H.-S.; Zhu, W.-M. Marine natural products sourced from marine-derived Penicillium fungi. J. Asian Nat. Prod. Res. 2016, 18, 92–115. [Google Scholar] [CrossRef]
- Borthwick, A.D. 2,5-Diketopiperazines: Synthesis, reactions, medicinal chemistry, and bioactive natural products. Chem. Rev. 2012, 112, 3641–3716. [Google Scholar] [CrossRef]
- Zhang, Y.-H.; Du, H.-F.; Liu, Y.-F.; Cao, F.; Luo, D.-Q.; Wang, C.-Y. Novel anti-inflammatory diketopiperazine alkaloids from the marine-derived fungus Penicillium brasilianum. Appl. Microbiol. Biotechnol. 2024, 108, 194. [Google Scholar] [CrossRef]
- Reyes, F.; Bills, G.F.; Durán-Patrón, R. Strategies for the discovery of fungal natural products. Front. Media SA 2022, 13, 897756. [Google Scholar] [CrossRef]
- Romano, S.; Jackson, S.A.; Patry, S.; Dobson, A.D. Extending the “one strain many compounds”(OSMAC) principle to marine microorganisms. Mar. Drugs 2018, 16, 244. [Google Scholar] [CrossRef]
- da Silva, F.M.R.; Paggi, G.M.; Brust, F.R.; Macedo, A.J.; Silva, D.B. Metabolomic strategies to improve chemical information from OSMAC studies of endophytic fungi. Metabolites 2023, 13, 236. [Google Scholar] [CrossRef] [PubMed]
- Cui, C.-B.; Kakeya, H.; Osada, H. Novel mammalian cell cycle inhibitors, spirotryprostatins A and B, produced by Aspergillus fumigatus, which inhibit mammalian cell cycle at G2/M phase. Tetrahedron 1996, 52, 12651–12666. [Google Scholar] [CrossRef]
- Liu, J.; Gao, W.-J.; Fang, C.-H.; Li, Y.; Liu, X.-Y.; Lv, M.-J.; Yue, J.-M.; Yu, J.-H. Indole diketopiperazine alkaloids from a soil-derived fungus Aspergillus sp. KYS-11. Fitoterapia 2025, 185, 106697. [Google Scholar] [CrossRef] [PubMed]
- Wang, F.; Fang, Y.; Zhu, T.; Zhang, M.; Lin, A.; Gu, Q.; Zhu, W. Seven new prenylated indole diketopiperazine alkaloids from holothurian-derived fungus Aspergillus fumigatus. Tetrahedron 2008, 64, 7986–7991. [Google Scholar] [CrossRef]
- Yamazaki, M.; Fujimoto, H.; Kawasaki, T. The structure of a tremorgenic metabolite from Aspergillus fumigatus fres., fumitremorgin a. Tetrahedron Lett. 1975, 16, 1241–1244. [Google Scholar] [CrossRef]
- Peng, J.; Gao, H.; Li, J.; Ai, J.; Geng, M.; Zhang, G.; Zhu, T.; Gu, Q.; Li, D. Prenylated indole diketopiperazines from the marine-derived fungus Aspergillus versicolor. J. Org. Chem. 2014, 79, 7895–7904. [Google Scholar] [CrossRef]
- Fraley, A.E.; Sherman, D.H. Enzyme evolution in fungal indole alkaloid biosynthesis. FEBS J. 2020, 287, 1381–1402. [Google Scholar] [CrossRef]
- Borgman, P.; Lopez, R.D.; Lane, A.L. The expanding spectrum of diketopiperazine natural product biosynthetic pathways containing cyclodipeptide synthases. Org. Biomol. Chem. 2019, 17, 2305–2314. [Google Scholar] [CrossRef]
- Bhushan, R.; Brückner, H. Marfey’s reagent for chiral amino acid analysis: A review. Amino Acids 2004, 27, 231–247. [Google Scholar] [CrossRef]
- Shi, H.; Jiang, J.; Zhang, H.; Jiang, H.; Su, Z.; Liu, D.; Jie, L.; He, F. Antibacterial spirooxindole alkaloids from Penicillium brefeldianum inhibit dimorphism of pathogenic smut fungi. Front. Microbiol. 2022, 13, 1046099. [Google Scholar] [CrossRef]
- Gao, N.; Shang, Z.-C.; Yu, P.; Luo, J.; Jian, K.-L.; Kong, L.-Y.; Yang, M.-H. Alkaloids from the endophytic fungus Penicillium brefeldianum and their cytotoxic activities. Chin. Chem. Lett. 2017, 28, 1194–1199. [Google Scholar] [CrossRef]
- Yang, J.; Lin, D.; Yang, L.; Li, F.; Yang, Y.; Cui, X.; Zhang, R.; Yang, X. Four novel alkaloids from Aspergillus fumigatus and their antimicrobial activities. Fitoterapia 2025, 185, 106708. [Google Scholar] [CrossRef] [PubMed]
- Zgurskaya, H.I.; López, C.A.; Gnanakaran, S. Permeability barrier of Gram-negative cell envelopes and approaches to bypass it. ACS Infect. Dis. 2015, 1, 512–522. [Google Scholar] [CrossRef] [PubMed]
- Štumpf, S.; Hostnik, G.; Primožič, M.; Leitgeb, M.; Salminen, J.-P.; Bren, U. The effect of growth medium strength on minimum inhibitory concentrations of tannins and tannin extracts against E. coli. Molecules 2020, 25, 2947. [Google Scholar] [CrossRef]
- Ramkissoon, A.; Seepersaud, M.; Maxwell, A.; Jayaraman, J.; Ramsubhag, A. Isolation and antibacterial activity of indole alkaloids from Pseudomonas aeruginosa UWI-1. Molecules 2020, 25, 3744. [Google Scholar] [CrossRef]
- Chung, D.; Baek, K.; Bae, S.S.; Jung, J. Identification and characterization of a marine-derived chitinolytic fungus, Acremonium sp. YS2-2. J. Microbiol. 2019, 57, 372–380. [Google Scholar] [CrossRef]
- Glass, N.L.; Donaldson, G.C. Development of primer sets designed for use with the PCR to amplify conserved genes from filamentous ascomycetes. Appl. Environ. Microbiol. 1995, 61, 1323–1330. [Google Scholar] [CrossRef]
- Nam, S.-J.; Kauffman, C.A.; Jensen, P.R.; Fenical, W. Isolation and characterization of actinoramides A–C, highly modified peptides from a marine Streptomyces sp. Tetrahedron 2011, 67, 6707–6712. [Google Scholar] [CrossRef]




| Pos. | 1 | 2 | 3 | |||||
|---|---|---|---|---|---|---|---|---|
| δC a, Mult. | δH b (J in Hz) | δC a, Mult. | δH b (J in Hz) | COSY | HMBC | δC a, Mult. | δH b (J in Hz) | |
| 1-NH | 10.44, s | |||||||
| 2 | 182.3, qC | 132.3, qC | 131.1, qC | |||||
| 3 | 55.9, qC | 103.3, qC | 106.5, qC | |||||
| 3a | 119.8, qC | 121.1, qC | 121.5, qC | |||||
| 4 | 126.8, CH | 6.99, d (8.3) | 118.4, CH | 7.42, d (8.3) | 5 | 3, 6, 7a | 117.7, CH | 7.56, d (8.7) |
| 5 | 106.7, CH | 6.50, dd (8.3, 2.4) | 108.5, CH | 6.69, dd (8.3, 2.2) | 4, 7 | 4, 7 | 105.6, CH | 6.76, d (8.7) |
| 6 | 159.8, qC | 155.3, qC | 152.2, qC | |||||
| 7 | 96.5, CH | 6.40, d (2.4) | 93.4, CH | 6.80, d (2.2) | 4, 5, 6 | 111.9, qC | ||
| 7a | 142.8, qC | 137.0, qC | 136.5, qC | |||||
| 8 | 41.2, CH2 | α 2.35, d (15.0); β 2.89, d (15.0) | 29.4, CH2 | α 3.08, d (16.0); β 3.40, d (16.0) | 2, 3, 3a, 9 | 67.8, CH | 5.51, s | |
| 9 | 89.4, qC | 82.9, qC | 83.3, qC | |||||
| 11 | 168.2, qC | 164.9, qC | 166.2, qC | |||||
| 12 | 60.1, CH | 4.44, m | 57.9, CH | 4.37, m | 13 | 13 c | 58.2, CH | 4.41, m |
| 13 | 27.8, CH2 | α 1.89, m; β 2.22, m | 28.5, CH2 | α 1.85, m; β 2.27, m | 12, 14 | 28.5, CH2 | α 1.87, m; β 2.29, m | |
| 14 | 22.7, CH2 | 1.90, m | 22.1, CH2 | 1.86, m | 13, 15 | 22.0, CH2 | 1.89, m | |
| 15 | 44.8, CH2 | 3.43, m | 44.7, CH2 | 3.45, m | 14 | 44.9, CH2 | 3.45, m | |
| 17 | 164.3, qC | 169.9, qC | 170.2, qC | |||||
| 18 | 60.9, CH | 4.79, d (9.0) | 40.7, CH | 5.93, d (9.8) | 19 | 19, 20 | 48.7, CH | 5.83, d (9.5) |
| 19 | 121.8, CH | 4.92, d (9.0) | 123.1, CH | 4.82, d (9.8) | 18 | 21 c | 124.0, CH | 4.78, d (9.5) |
| 20 | 135.2, qC | 132.9, qC | 133.0, qC | |||||
| 21 | 17.7, CH3 | 1.16, s | 17.7, CH3 | 1.91, s | 19, 20, 22 | 18.4, CH3 | 1.92, s | |
| 22 | 25.1, CH3 | 1.49, s | 25.1, CH3 | 1.59, s | 19, 20, 21 | 25.4, CH3 | 1.57, s | |
| 23 | 41.0, CH2 | 4.54, m; β 4.64, m | 24 | 25 c | 23.4, CH2 | 3.54, m/3.41, m | ||
| 24 | 120.4, CH | 4.98, m | 23 | 26 c, 27 c | 123.1, CH | 5.20, m | ||
| 25 | 133.7, qC | 130.2, qC | ||||||
| 26 | 18.0, CH3 | 1.85, s | 24, 25, 27 | 17.9, CH3 | 1.76, s | |||
| 27 | 25.2, CH3 | 1.66, s | 24, 25, 26 | 25.2, CH3 | 1.62, s | |||
| 6-OMe | 55.2, CH3 | 3.72, s | 55.0, CH3 | 3.76, s | 6 | 56.4, CH3 | 3.76, s | |
| 8-OH | 4.76, s | |||||||
| 9-OH | 7.42, s | 6.53, br s | 4.09, s | |||||
Disclaimer/Publisher’s Note: The statements, opinions and data contained in all publications are solely those of the individual author(s) and contributor(s) and not of MDPI and/or the editor(s). MDPI and/or the editor(s) disclaim responsibility for any injury to people or property resulting from any ideas, methods, instructions or products referred to in the content. |
© 2026 by the authors. Licensee MDPI, Basel, Switzerland. This article is an open access article distributed under the terms and conditions of the Creative Commons Attribution (CC BY) license.
Share and Cite
Lee, E.-Y.; Gao, Q.; Tan, H.; Hillman, P.F.; Chung, D.; Choi, G.; Kim, H.; Lim, K.-M.; Nam, S.-J. Isolation of Three New Diketopiperazine Alkaloids from Penicillium sp. SCH3-Sd2. Molecules 2026, 31, 149. https://doi.org/10.3390/molecules31010149
Lee E-Y, Gao Q, Tan H, Hillman PF, Chung D, Choi G, Kim H, Lim K-M, Nam S-J. Isolation of Three New Diketopiperazine Alkaloids from Penicillium sp. SCH3-Sd2. Molecules. 2026; 31(1):149. https://doi.org/10.3390/molecules31010149
Chicago/Turabian StyleLee, Eun-Young, Qian Gao, Hui Tan, Prima F. Hillman, Dawoon Chung, Grace Choi, Hiyoung Kim, Kyung-Min Lim, and Sang-Jip Nam. 2026. "Isolation of Three New Diketopiperazine Alkaloids from Penicillium sp. SCH3-Sd2" Molecules 31, no. 1: 149. https://doi.org/10.3390/molecules31010149
APA StyleLee, E.-Y., Gao, Q., Tan, H., Hillman, P. F., Chung, D., Choi, G., Kim, H., Lim, K.-M., & Nam, S.-J. (2026). Isolation of Three New Diketopiperazine Alkaloids from Penicillium sp. SCH3-Sd2. Molecules, 31(1), 149. https://doi.org/10.3390/molecules31010149

