error_outline You can access the new MDPI.com website here. Explore and share your feedback with us.
 
 
Sign in to use this feature.

Years

Between: -

Subjects

remove_circle_outline
remove_circle_outline
remove_circle_outline
remove_circle_outline
remove_circle_outline
remove_circle_outline
remove_circle_outline
remove_circle_outline
remove_circle_outline

Journals

remove_circle_outline
remove_circle_outline
remove_circle_outline
remove_circle_outline
remove_circle_outline
remove_circle_outline
remove_circle_outline
remove_circle_outline
remove_circle_outline
remove_circle_outline
remove_circle_outline
remove_circle_outline
remove_circle_outline
remove_circle_outline

Article Types

Countries / Regions

remove_circle_outline
remove_circle_outline
remove_circle_outline
remove_circle_outline
remove_circle_outline
remove_circle_outline

Search Results (1,711)

Search Parameters:
Keywords = speciations

Order results
Result details
Results per page
Select all
Export citation of selected articles as:
6 pages, 406 KB  
Case Report
Unusually Extensive Furuncular Myiasis in a Returning Traveller from Rural Ethiopia Complicated by Streptococcus Pyogenes Secondary Infection Following Albendazole Therapy
by Diva Jhaveri, Alastair McGregor and Matthew J. W. Kain
Reports 2026, 9(1), 19; https://doi.org/10.3390/reports9010019 - 8 Jan 2026
Abstract
Background and Clinical Significance: Furuncular myiasis is a tropical parasitic skin infestation caused by dipterous fly larvae, most commonly affecting travellers to endemic regions. While returning travellers typically present with one or few lesions, extensive parasitism is rare. Increased global mobility and [...] Read more.
Background and Clinical Significance: Furuncular myiasis is a tropical parasitic skin infestation caused by dipterous fly larvae, most commonly affecting travellers to endemic regions. While returning travellers typically present with one or few lesions, extensive parasitism is rare. Increased global mobility and expanding ecological range of myiasis-causing species underscores the need for clinicians in endemic and non-endemic regions to recognise, diagnose, and manage this condition promptly. Awareness of exposure risks—including soil contact, infested clothing, and poor living conditions—is essential to reducing morbidity and preventing complications like secondary bacterial infection. Case Presentation: A healthy male in his forties returned to the UK after a month-long visit to rural Ethiopia, during which he slept on dirt floors and hung his washing on a line. He developed pruritic papular lesions that progressed to erythematous furuncles with central puncta and purulent discharge, accompanied by sensations of movement. The patient self-extracted 12 larvae in Ethiopia and subsequently sought local medical attention, receiving Albendazole, after which emerging larvae were non-motile. On UK presentation, he had 27 lesions at varying stages, 3 with signs of secondary infection. Laboratory investigations revealed elevated inflammatory markers, and wound swabs grew scanty Streptococcus pyogenes. Management included wound occlusion and systemic antibiotics. No further larvae were retrieved, precluding definitive speciation. All lesions improved over subsequent reviews. Conclusions: This case illustrates an unusually extensive presentation of presumed Cordylobia spp. myiasis in a returning traveller, highlighting potential complications following larvicidal therapy. Clinicians should maintain a high index of suspicion for myiasis in patients with compatible cutaneous lesions and relevant history. Increasing travel and shifting vector distributions make familiarity with tropical dermatoses and provision of effective safety measures essential in clinical practice. Full article
Show Figures

Figure 1

12 pages, 8827 KB  
Article
Photocatalytic Enhancement of Metal Ion Release from Oxides in the Presence of Polystyrene: Environmental Implications in Marine Pollution
by Francesca Coccia, Lucia Tonucci, Andrea Mascitti, Rosa Sinisi, Carmela Leonessa, Michele Ciulla, Antonella Fontana, Stefano Di Giacomo and Nicola d’Alessandro
ChemEngineering 2026, 10(1), 8; https://doi.org/10.3390/chemengineering10010008 - 7 Jan 2026
Abstract
The coexistence of plastics and metal-based materials in aquatic systems introduces complex interfacial processes that influence pollutant speciation and mobility. This study investigates the role of polystyrene (PS) in promoting UV-induced dissolution of ZnO and Cu2O in aqueous media, revealing a [...] Read more.
The coexistence of plastics and metal-based materials in aquatic systems introduces complex interfacial processes that influence pollutant speciation and mobility. This study investigates the role of polystyrene (PS) in promoting UV-induced dissolution of ZnO and Cu2O in aqueous media, revealing a plastic-mediated pathway for metal ion mobilization. Post-use expanded PS fragments were co-dispersed with the oxides and irradiated at 254 nm for 24 h. Ion concentrations were quantified by ICP-MS, while PS morphology and chemistry were characterized by SEM, EDX, FTIR, Raman, and DSC. The presence of PS markedly enhanced metal release, bringing Zn2+ from 29.9 to 50.6 ppm and Cu2+ from 1.1 to 26.5 ppm under irradiation, compared to minimal dissolution in the dark. Spectroscopic analyses indicated negligible polymer degradation, suggesting that enhanced dissolution arises from interfacial photooxidation and associated redox/pH microgradients at the polymer–oxide boundary. These findings demonstrate that PS may serve as a catalytic interface that accelerates UV-driven dissolution of otherwise poorly soluble metal oxides. This mechanism expands current understanding of plastic–pollutant interactions and has implications for predicting metal bioavailability and designing strategies to mitigate pollutant release in sunlit marine and coastal environments. Full article
Show Figures

Figure 1

26 pages, 377 KB  
Review
Airborne Radioiodine: A Comparative View of Chemical Forms in Medicine, Nuclear Industry, and Fallout Scenarios
by Klaus Schomäcker, Ferdinand Sudbrock, Thomas Fischer, Felix Dietlein, Markus Dietlein, Philipp Krapf and Alexander Drzezga
Int. J. Mol. Sci. 2026, 27(2), 590; https://doi.org/10.3390/ijms27020590 - 6 Jan 2026
Abstract
Airborne iodine-131 plays a pivotal role in both nuclear medicine and nuclear safety due to its radiotoxicity, volatility, and affinity for the thyroid gland. Although the total exhaled activity after medical I-131 therapy is minimal, over 95% of this activity appears in volatile [...] Read more.
Airborne iodine-131 plays a pivotal role in both nuclear medicine and nuclear safety due to its radiotoxicity, volatility, and affinity for the thyroid gland. Although the total exhaled activity after medical I-131 therapy is minimal, over 95% of this activity appears in volatile organic forms, which evade standard filtration and reflect metabolic pathways of iodine turnover. Our experimental work in patients and mice confirms the metabolic origin of these species, modulated by thyroidal function. In nuclear reactor environments, both under routine operation and during accidents, organic iodides such as [131I]CH3I have also been identified as major airborne components, often termed “penetrating iodine” due to their low adsorption to conventional filters. This review compares the molecular speciation, environmental persistence, and dosimetric impact of airborne I-131 across clinical, technical, and accidental release scenarios. While routine reactor emissions yield negligible doses (<0.1 µSv/year), severe nuclear incidents like Chernobyl and Fukushima have resulted in significant thyroid exposures. Doses from these events ranged from tens of millisieverts to several Sieverts, particularly in children. We argue that a deeper understanding of chemical forms is essential for effective risk assessment, filtration technology, and emergency preparedness. Iodine-131 exemplifies the dual nature of radioactive substances: in nuclear medicine its radiotoxicity is therapeutically harnessed, whereas in industrial or reactor contexts it represents an unwanted hazard. The same physicochemical properties that enable therapeutic efficacy also determine, in the event of uncontrolled release, the range, persistence, and the potential for unwanted radiotoxic exposure in the general population. In nuclear medicine, exhaled activity after radioiodine therapy is minute but largely organically bound, reflecting enzymatic and metabolic methylation processes. During normal reactor operation, airborne iodine levels are negligible and dominated by inorganic vapors efficiently captured by filtration systems. In contrast, major accidents released large fractions of volatile iodine, primarily as elemental [131I]I2 and organically bound iodine species like [131I]CH3I. The chemical nature of these compounds defined their atmospheric lifetime, transport distance, and deposition pattern, thereby governing the thyroid dose to exposed populations. Chemical speciation is the key determinant across all scenarios. Exhaled iodine in medicine is predominantly organic; routine reactor releases are negligible; severe accidents predominantly release elemental and organic iodine that drive environmental transport and exposure. Integrating these domains shows how chemical speciation governs volatility, mobility, and bioavailability. The novelty of this review lies not in introducing new iodine chemistry, but in the systematic comparative synthesis of airborne radioiodine speciation across medical therapy, routine nuclear operation, and severe accident scenarios, identifying chemical form as the unifying determinant of volatility, environmental transport, and dose. Full article
(This article belongs to the Topic Environmental Toxicology and Human Health—2nd Edition)
18 pages, 3656 KB  
Article
Do Symbiotic Microbes Drive Chemical Divergence Between Colonies in the Pratt’s Leaf-Nosed Bat, Hipposideros pratti?
by Ziqi Zheng, Jeffrey R. Lucas, Chunmian Zhang and Congnan Sun
Biology 2026, 15(2), 114; https://doi.org/10.3390/biology15020114 - 6 Jan 2026
Abstract
Host odour may be affected by symbiotic microbes that produce metabolites. As a result, chemical signal production may be influenced. Few studies to date have assessed how symbiotic microbes influence variation in geography of animal chemical signals. This is important because chemical signal [...] Read more.
Host odour may be affected by symbiotic microbes that produce metabolites. As a result, chemical signal production may be influenced. Few studies to date have assessed how symbiotic microbes influence variation in geography of animal chemical signals. This is important because chemical signal divergence can affect mate choice, species recognition, and ultimately speciation in a broad range of animals. However, the underlying driving forces of chemical signal divergence are still rather poorly understood. To study chemical signals, bats provide a good model system because they are such social mammals. Because males roost in dark spaces during the daytime, they rely on chemical and acoustic signals. We identified three colonies across a large geographic area and collected male forehead gland secretions from Pratt’s leaf-nosed bats (Hipposideros pratti). We examined the role symbiotic microbes played in potential variation in the geography of chemical signals. We observed significant colony-level differences in compound categories and in the amount of specific compounds. We also found significant colony-level differences in forehead gland microbiota. However, there was no significant relationship between bat-gland bacterial community composition and variation in chemical composition across colonies. These results suggest that bacterial communities may fail to shape the chemical signalling profiles of the different colonies in Pratt’s leaf-nosed bats. Full article
(This article belongs to the Special Issue Advances in Biological Research of Chiroptera)
Show Figures

Figure 1

22 pages, 8413 KB  
Article
Characterization of Copper-Modified Clinoptilolite for the Photocatalytic Removal of Congo Red Dye from Wastewater
by Hristina Lazarova, Liliya Tsvetanova, Borislav Barbov, Stela Atanasova-Vladimirova and Aleksandar Nikolov
Crystals 2026, 16(1), 32; https://doi.org/10.3390/cryst16010032 - 30 Dec 2025
Viewed by 302
Abstract
In this study, the photocatalytic performance of natural clinoptilolite was enhanced through copper modification, achieved via ion exchange followed by KOH-induced precipitation, leading to materials with different copper speciation. Physicochemical characterization using WDXRF, PXRD, FTIR and N2 physisorption revealed a transition from [...] Read more.
In this study, the photocatalytic performance of natural clinoptilolite was enhanced through copper modification, achieved via ion exchange followed by KOH-induced precipitation, leading to materials with different copper speciation. Physicochemical characterization using WDXRF, PXRD, FTIR and N2 physisorption revealed a transition from exchanged Cu2+ species at low loading to the formation of copper-bearing phases such as brochantite, Cu(OH)2 and CuO at higher alkalinity. The Cu-modified samples were evaluated for the photocatalytic degradation of Congo red under UV irradiation. Among them, sample NZ-Cu3 exhibited the highest activity, achieving approximately 91% dye degradation within 30–40 min. Kinetic analysis demonstrated that the degradation process is better described by the pseudo-second-order model, indicating that chemisorption plays a dominant role. Radical scavenger experiments revealed that photogenerated holes (h⁺) are the primary reactive species responsible for dye degradation, while hydroxyl radicals contribute to a lesser extent. The enhanced photocatalytic performance is attributed to the synergistic effect of photocatalytic degradation, improved charge separation and the presence of surface copper species, highlighting Cu-modified clinoptilolite as a promising low-cost photocatalyst for wastewater treatment. Full article
(This article belongs to the Special Issue Exploring New Materials for the Transition to Sustainable Energy)
Show Figures

Figure 1

18 pages, 2601 KB  
Article
Promoted CO2 Desorption in N-(2-Hydroxyethyl)ethylenediamine Solutions Catalyzed by Histidine
by Siming Chen, Xinzhu Zhang, Guangfei Xing, Lei Zhang, Le Chang, Yubing Xu and Yongchun Zhang
Catalysts 2026, 16(1), 24; https://doi.org/10.3390/catal16010024 - 29 Dec 2025
Viewed by 206
Abstract
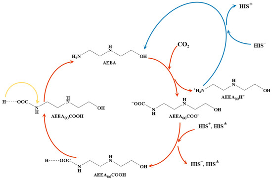
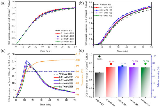
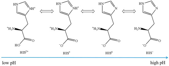
This study systematically investigates the catalytic effect of histidine (HIS) on CO2 desorption in amine-based solvents, with a primary focus on 30 wt% N-(2-aminoethylamino)ethanol (AEEA) and its blends with N-methyldiethanolamine (MDEA). Experimental results show that the addition of 0.22 wt% [...] Read more.
This study systematically investigates the catalytic effect of histidine (HIS) on CO2 desorption in amine-based solvents, with a primary focus on 30 wt% N-(2-aminoethylamino)ethanol (AEEA) and its blends with N-methyldiethanolamine (MDEA). Experimental results show that the addition of 0.22 wt% HIS significantly enhances both the equilibrium desorption amount and the maximum desorption rate of CO2, particularly at elevated temperatures (e.g., 100 °C). Under optimal conditions, HIS increased the maximum desorption rate by 22.1% and reduced the heat duty to 71.7% compared to the non-catalytic benchmark. The catalytic performance was further confirmed in AEEA-MDEA mixed solvents, with the most pronounced effect observed in the 3:2 molar ratio system, where HIS enhanced both the equilibrium desorption amount and the maximum desorption rate by 15.3% and 20.8%, respectively. Through 13C NMR analysis and pH-dependent speciation monitoring, we revealed that HIS alters the reaction pathway by suppressing the formation of stable carbamate species (AEEA(a)COO). The protonated (HIS+) and neutral (HIS±) forms were identified as the active species that promote more direct CO2 release from carbamate, while the deprotonated (HIS) form facilitates proton transfer and amine regeneration. HIS also exhibited excellent catalytic stability over 10 absorption–desorption cycles. These findings highlight HIS as an efficient and stable organocatalyst for energy-efficient CO2 desorption processes. Full article
(This article belongs to the Special Issue Catalysis and Technology for CO2 Capture, Conversion and Utilization)
Show Figures

Graphical abstract

13 pages, 790 KB  
Communication
Direct Biochar–Root Interactions May Alter Cadmium Sequestration at the Interface: A Hydroponic Study
by Cidong Jiang, Lihui Xiang, Yu Cheng, Qiang Liu, Jackson Nkoh Nkoh and Hailong Lu
Agronomy 2026, 16(1), 62; https://doi.org/10.3390/agronomy16010062 - 25 Dec 2025
Viewed by 282
Abstract
Biochar is widely recognized for its ability to immobilize heavy metals in soil, yet its direct effect on plant physiological metal-sequestration capacity remains poorly understood. This study explores a critical distinction between two mechanisms: direct, concurrent metal immobilization by biochar versus its capacity [...] Read more.
Biochar is widely recognized for its ability to immobilize heavy metals in soil, yet its direct effect on plant physiological metal-sequestration capacity remains poorly understood. This study explores a critical distinction between two mechanisms: direct, concurrent metal immobilization by biochar versus its capacity to physiologically precondition plants, altering their inherent metal uptake and distribution. Using a hydroponic design with pH-matched controls, the latter was isolated by preconditioning rice plants with peanut straw biochar (PSB) or corn straw biochar (CSB) and subsequently removing amendments before cadmium (Cd) exposure. Our results reveal that biochar (PSB) preconditioning may modify root architecture and surface chemistry, enhancing negative zeta potential and functional group density. This modification increased root Cd adsorption capacity by 50.1% and 142.7% within 2 h or 2.2% and 52.6% within 48 h compared to the normal and pH-adjusted controls, respectively, with shifted metal speciation toward stable complexes. However, this enhanced root sequestration coincided with an increased translocation factor, elevating shoot Cd content by 78% compared to the normal control. In contrast, CSB preconditioning showed negligible effects. Our findings suggest that biochar’s net impact on metal distribution is probably the product of two temporally distinct processes: chemical immobilization in growth media versus physiological preconditioning effects. This dual mechanism framework may explain the variability in literature reports on the effect of biochar on heavy metal uptake by plants. It also highlights the need for holistic biochar risk assessment that considers both chemical and plant physiological pathways in both soil and hydroponic systems. Full article
(This article belongs to the Section Agricultural Biosystem and Biological Engineering)
Show Figures

Figure 1

14 pages, 1513 KB  
Article
Analysis of Elemental Concentrations and Risk Assessment of Prepared Livestock and Poultry Meat Dishes Sold in Zhejiang Province
by Chenyang Zheng, Ying Tan, Zhengyan Hu, Jingshun Zhang and Jun Tang
Foods 2026, 15(1), 73; https://doi.org/10.3390/foods15010073 - 25 Dec 2025
Viewed by 207
Abstract
This study assessed elemental exposure and health risks in 35 prepared livestock and poultry dishes from Zhejiang Province using inductively coupled plasma mass spectrometry (ICP-MS). Aluminum (Al) showed the highest concentrations, while strontium (Sr) and barium (Ba) were moderate; other elements (molybdenum (Mo), [...] Read more.
This study assessed elemental exposure and health risks in 35 prepared livestock and poultry dishes from Zhejiang Province using inductively coupled plasma mass spectrometry (ICP-MS). Aluminum (Al) showed the highest concentrations, while strontium (Sr) and barium (Ba) were moderate; other elements (molybdenum (Mo), chromium (Cr), lead (Pb), cadmium (Cd), thallium (Tl), cobalt (Co), arsenic (As)) were low; and nickel (Ni) was undetected. All dishes complied with GB 2762-2022 limits. Although seven dishes showed mild-to-moderate single-factor contamination, Nemerow indices confirmed safe levels (Pc < 0.7). Principal Component Analysis (PCA) and Hierarchical Cluster Analysis (HCA) indicated that processing methods drove contamination profiles, with deep-fried products accumulating higher metal levels than stir-fried or boiled ones. While non-carcinogenic risks were acceptable for adults, children showed higher susceptibility with Total Target Hazard Quotients (TTHQ) values nearly double those of adults, exceeding safety thresholds in certain dishes primarily due to As and Cr. Carcinogenic risks for hexavalent chromium (Cr(VI)) and inorganic arsenic (iAs) were acceptable (1 × 10−6 to 1 × 10−4) for 32 dishes. After speciation-based recalibration, the remaining three dishes also fell within safe limits. Overall, exposure risks are low, though specific deep-fried products warrant monitoring. Full article
(This article belongs to the Section Food Toxicology)
Show Figures

Figure 1

39 pages, 4489 KB  
Article
High-Resolution 1H NMR Investigation of the Speciation Status of Nickel(II) and Copper(II) Ions in a Cell Culture Medium: Relevance to Their Toxicological Actions
by Deepinder K. Kalra, Kayleigh Hunwin, Katie Hewitt, Olivia Steel and Martin Grootveld
Molecules 2026, 31(1), 85; https://doi.org/10.3390/molecules31010085 - 24 Dec 2025
Viewed by 320
Abstract
Copper and nickel ions play pivotal, albeit distinct, roles as essential trace elements in living systems, and primarily serve as co-factors for a range of enzymes. However, as with all trace metal ions, excessive concentrations can exert adverse toxicological properties. Interestingly, the incorporation [...] Read more.
Copper and nickel ions play pivotal, albeit distinct, roles as essential trace elements in living systems, and primarily serve as co-factors for a range of enzymes. However, as with all trace metal ions, excessive concentrations can exert adverse toxicological properties. Interestingly, the incorporation of these in cell culture media can establish novel chemical interactions, with their speciation status markedly influencing characteristics, including cell maturation, and cellular uptake mechanisms. Thus, the primary objective of this study was to investigate and determine the speciation status (i.e., complexation) of nickel(II) and copper(II) ions by biomolecules present in RPMI 1640 mammalian cell culture medium using virtually non-invasive high-resolution proton NMR analysis, an investigation of much relevance to now routine studies of their toxicological actions towards cultured cells. Samples of the above aqueous culture medium were 1H NMR-titrated with increasing added concentrations of 71–670 µmol/L Ni(II)(aq.), and 0.71–6.7, 7.1–67 and 71–670 µmol/L Cu(II)(aq.), in duplicate or triplicate. 1H NMR spectra were acquired on a JEOL ECZ-600 spectrometer at 298 K. Results demonstrated that addition of increasing concentrations of Ni(II) and Cu(II) ions to the culture medium led to the selective broadening of a series of biomolecule resonances, results demonstrating their complexation by these agents. The most important complexants for Ni(II) were histidine > glutamine > acetate ≈ methionine ≈ lysine ≈ threonine ≈ branched-chain amino acids (BCAAs) > asparagine ≈ aspartate > tyrosine ≈ tryptophan, whereas for Cu(II) they were found to be histidine > glutamine > phenylalanine ≈ tyrosine ≈ nearly all remaining aliphatic metabolites (particularly the wealth of amino acids detectable) > 4-hydroxyphenylacetate (trace culture medium contaminant), in these orders. However, Cu(II) had the ability to influence the linewidths of these signals at much lower added levels (≤7 µmol/L) than that of Ni(II), the broadening effects of the latter occurring at concentrations which were approximately 10-fold greater. Virtually all of these added metal ion-induced resonance modifications were, as expected, reversible on addition of equivalent or excess levels of the chelator EDTA. From this study, changes in the co-ordination sphere of metal ions in physiological environments can give rise to marked modifications in their physicochemical properties (e.g., redox potentials, electronic charges, the potential catalytic generation of reactive oxygen species (ROS), and cell membrane passages). Moreover, given that the above metabolites may also function as potent hydroxyl radical (OH) scavengers, these findings suggest that generation of this aggressively reactive oxidant directly from Cu(II) and Ni(II) ions in physiologically-relevant complexes may be scavenged in a ‘site-dependent’ manner. This study is of further relevance to trace metal ion research in general since it enhances our understanding of the nature of their interactions with culture medium biomolecules, and therefore provides valuable information regarding their overall chemical and biological activities, and toxicities. Full article
Show Figures

Figure 1

24 pages, 874 KB  
Review
Application of Photo-Fenton Process to Highly Saline Water Matrices: Effect of Inorganic Ions on Iron Speciation
by Ivan Vallés, Javier Moreno-Andrés, Iván Sciscenko, Lucas Santos-Juanes and Antonio Arques
Molecules 2026, 31(1), 56; https://doi.org/10.3390/molecules31010056 - 23 Dec 2025
Viewed by 239
Abstract
The photo-Fenton process has been widely studied for the treatment of organic pollutants and disinfection in a wide range of scenarios. Nevertheless, its efficiency decreased when applied to complex matrices, as in the case of most advanced oxidation processes. Despite the interferences caused [...] Read more.
The photo-Fenton process has been widely studied for the treatment of organic pollutants and disinfection in a wide range of scenarios. Nevertheless, its efficiency decreased when applied to complex matrices, as in the case of most advanced oxidation processes. Despite the interferences caused by different anions, the photo-Fenton is able to obtain good degradation values for pollutants and microorganisms, especially in combination with other methods; however, it depends on the matrix to be treated. Due to the lack of studies and reviews in this field, this paper reviewed the outcome of the inorganic ions present on highly saline water matrices (more than 1 g L−1 of chlorides, fluorides, bromides, sulphates, carbonates or bicarbonates, borates, phosphates and nitrates/nitrites) on the Fenton-based processes, focusing on their outcome on iron speciation and their scavenger effect. Also, the most relevant works so far for the abatement of microcontaminants and disinfection by this process on highly saline matrices have been revised. Special emphasis is on the efficiency of the process, considering the relevant industries referred to. Full article
(This article belongs to the Topic Wastewater Treatment Based on AOPs, ARPs, and AORPs)
Show Figures

Figure 1

28 pages, 11836 KB  
Article
Molecules, Morphometrics and Modeling of the Medically Important Genus Hemiscorpius Peters, 1861 (Scorpiones: Hemiscorpiidae) in Iran Reveal New Species from Kerman
by Hossein Dehghan, Esmail Amiri Ghanat Saman, Seyed Massoud Madjdzadeh, Masoumeh Amiri, Asma Moeinadini, Lorenzo Prendini and Hossein Barahoei
Insects 2026, 17(1), 18; https://doi.org/10.3390/insects17010018 - 23 Dec 2025
Viewed by 583
Abstract
Eight species of the medically important scorpion genus Hemiscorpius Peters, 1861 have been reported in Iran, three of which are responsible for most of the severe clinical cases of envenomation. However, morphological similarity complicates species delimitation in this genus, hindering the identification of [...] Read more.
Eight species of the medically important scorpion genus Hemiscorpius Peters, 1861 have been reported in Iran, three of which are responsible for most of the severe clinical cases of envenomation. However, morphological similarity complicates species delimitation in this genus, hindering the identification of species implicated in envenomations. The present study integrates morphology, DNA sequences, and ecological niche modeling to clarify the taxonomy and distribution of Hemiscorpius in southern Iran, providing taxonomic insights relevant to public health and biodiversity conservation. Morphometric analyses were performed to evaluate size and shape differences; molecular phylogenetic analyses were conducted on DNA sequences of the mitochondrial Cytochrome c Oxidase Subunit I gene; and species distribution models, based on occurrence records and bioclimatic variables, were developed. Morphometric analyses revealed significant interspecific differences and sexual dimorphism. A new species was identified and described as Hemiscorpius aratta sp. n. Molecular phylogenetic analysis confirmed the distinctiveness of the new species and revealed intraspecific variation in the type species, Hemiscorpius lepturus Peters, 1861, suggesting possible cryptic diversity. Southern Iran, particularly the coastline of the Persian Gulf and the Gulf of Oman, represents a diversity hotspot for Hemiscorpius. Topographical barriers such as the Jebal Barez, Makkoran, and Zagros Mountain ranges promoted isolation and speciation, leading to high levels of endemism in the genus. Ecological niche models revealed that the distributions of Hemiscorpius species are strongly influenced by temperature and precipitation. Coastal species are restricted to thermally stable maritime habitats, whereas semi-arid species occupy regions with higher temperature seasonality. Range-restricted species are habitat specialists, vulnerable to environmental change. This study reinforces the importance of integrating morphological, molecular, and ecological data for resolving taxonomic ambiguity. Full article
(This article belongs to the Section Insect Systematics, Phylogeny and Evolution)
Show Figures

Figure 1

14 pages, 2092 KB  
Article
Recursive Ectopic Gene Conversion Leads to Elevated DNA Mutation, Gene Loss, and Novel Gene Formation in Aspergillus
by Ruojin Wang, Weiwei Liu, Tao Liu, Tianmeng Wang, Huilong Chen, Huilong Qi, Jiangli Wang, Meifang Lan and Xiyin Wang
Microorganisms 2026, 14(1), 33; https://doi.org/10.3390/microorganisms14010033 - 22 Dec 2025
Viewed by 258
Abstract
Gene conversion contributes to gene copy number changes, DNA mutations, and functional innovation and has been widely reported in three domains of life. However, it has hardly been described in Aspergillus, including industrially and commercially important or pathogenic fungi. Here, we revealed [...] Read more.
Gene conversion contributes to gene copy number changes, DNA mutations, and functional innovation and has been widely reported in three domains of life. However, it has hardly been described in Aspergillus, including industrially and commercially important or pathogenic fungi. Here, we revealed multiple sets of homologous genes located in a region of chromosome 1 of A. flavus, and its orthologous counterpart of A. oryzae. Phylogenetic analysis showed evidence of frequent gene (DNA) conversion between ectopic paralogs in each species, accompanied by prominent point mutations and DNA deletion (from several to hundreds of base pairs). At least two independent cases showed that the converted genes in A. oryzae have been repeatedly split into shorter genes by the introduction of stop codons, and then ectopic conversion rendered paralogous genes (regions) to have the same configuration of tandemly located new genes. Inference of nucleotide substitution and ancestral gene content showed that the conversion-affected regions have seen 3.48 times as many substitutions and 4–6 times as many gene losses compared to the non-affected regions. We predicted that a DNA loop between proximal regions, in the common ancestor and inherited by each species, facilitates ectopic gene (DNA) conversion and elevated rates of mutations and losses. Overall, we found that gene conversion proves to be a key factor resulting in genome instability, elevated gene evolutionary rates, and an effective avenue to produce new genes, likely leading to the speciation of two Aspergillus lineages. Full article
(This article belongs to the Section Molecular Microbiology and Immunology)
Show Figures

Figure 1

16 pages, 1184 KB  
Article
Probabilistic Human Health Risk Assessment of Inorganic Arsenic Exposure Following the 2020 Taal Volcano Eruption, Batangas, Philippines
by Yu-Syuan Luo, Jullian Patrick C. Azores, Rhodora M. Reyes and Geminn Louis C. Apostol
Toxics 2026, 14(1), 13; https://doi.org/10.3390/toxics14010013 - 22 Dec 2025
Cited by 1 | Viewed by 366
Abstract
Volcanic eruptions can mobilize naturally occurring toxic elements such as arsenic into surrounding ecosystems, contaminating soil, water, and food webs. Despite increasing evidence of arsenic enrichment in volcanic regions, comprehensive exposure assessments that integrate dietary and drinking water pathways remain limited, particularly in [...] Read more.
Volcanic eruptions can mobilize naturally occurring toxic elements such as arsenic into surrounding ecosystems, contaminating soil, water, and food webs. Despite increasing evidence of arsenic enrichment in volcanic regions, comprehensive exposure assessments that integrate dietary and drinking water pathways remain limited, particularly in post-eruption contexts where baseline data are scarce. Following the 2020 Taal Volcano eruption, this study conducted a probabilistic risk assessment to quantify aggregate exposure to inorganic arsenic (iAs) among residents of Batangas, Philippines. A Monte Carlo simulation framework (10,000 iterations) integrated post-eruption environmental data on total arsenic in soil, lake water, drinking water and clam tissues with modeled bioaccumulation and transfer factors for fish and major terrestrial crops. Two exposure scenarios, lower bound (50% iAs fraction) and upper bound (90% iAs fraction), were applied to capture uncertainty in arsenic speciation and bioavailability. Simulated iAs concentrations followed the order rice > corn > vegetables > root crops. Aggregate daily iAs doses averaged 3.0 ± 1.4 µg/kg bw/day (lower bound) and 4.0 ± 2.0 µg/kg bw/day (upper bound), with females showing slightly higher exposures and pregnant women exhibiting lower doses. Sensitivity analysis identified clam intake, rice intake, and iAs in rice, clams, and drinking water as dominant determinants of total exposure. All simulated individuals exceeded the U.S. EPA non-cancer reference dose (HQ > 1) and cancer risk benchmark (10−6–10−4), indicating substantial health concern. These findings highlight the urgent need for sustained environmental monitoring, arsenic speciation analyses, biomonitoring, and public health programs to guide evidence-based management in arsenic-affected volcanic regions. Full article
(This article belongs to the Section Exposome Analysis and Risk Assessment)
Show Figures

Graphical abstract

12 pages, 1412 KB  
Article
The Species-Specific Inversion Polymorphism of the X Chromosome in Anopheles messeae and Anopheles daciae Is Based on the Common Ancestral Variant X1
by Evgeniya S. Soboleva, Maria V. Sharakhova, Igor V. Sharakhov and Gleb N. Artemov
Genes 2026, 17(1), 5; https://doi.org/10.3390/genes17010005 - 19 Dec 2025
Viewed by 276
Abstract
Background/Objectives: Chromosomal inversions play an important role in the evolution of insects by forming genetic barriers between closely related species and facilitating local adaptation. Polymorphic inversions in malaria mosquitoes of the Maculipennis subgroup have been studied for over 50 years, yet the [...] Read more.
Background/Objectives: Chromosomal inversions play an important role in the evolution of insects by forming genetic barriers between closely related species and facilitating local adaptation. Polymorphic inversions in malaria mosquitoes of the Maculipennis subgroup have been studied for over 50 years, yet the evolutionary ancestry of the gene orders remains unknown. In this study, we mapped the genes flanking the breakpoints of two polymorphic X-chromosome inversions in the cryptic species Anopheles messeae and Anopheles daciae of the Maculipennis subgroup. Methods: We used an iterative mapping approach to define the breakpoint regions, selecting flanking markers based on the genome assembly of the reference species, Anopheles atroparvus. To identify the ancestral X chromosomal arrangement in An. messeae and An. daciae, we developed and implemented the genomic inversion calculator (GIC), which uses greedy heuristics to determine the shortest evolutionary scenario of rearrangements. Results: Our knowledge of the relative genomic positions of the inversion breakpoints in An. daciae and An. messeae enabled us to use the An. atroparvus genome as an outgroup and the GIC tool to show that the X0 and X2 arrangements emerged independently along the evolutionary lineages of An. daciae and An. messeae, respectively, based on the X1 arrangement. Conclusions: These results refine the structure and boundaries of the X chromosome rearrangements and reconstruct the sequence of evolutionary events in the cryptic complex An. messeaeAn. daciae, demonstrating that the X1 arrangement is ancestral. This study lays the groundwork for analyzing the molecular organization of breakpoints, the mechanisms of inversion formation, and their role in speciation. Full article
(This article belongs to the Section Animal Genetics and Genomics)
Show Figures

Figure 1

14 pages, 1859 KB  
Article
Thallium(I) Uptake and Accumulation by Wheat and Rice Plants
by Puu-Tai Yang, Hsin-Fang Chang, Liang-Sin Huang, Tsung-Ju Chuang and Shan-Li Wang
Agronomy 2025, 15(12), 2918; https://doi.org/10.3390/agronomy15122918 - 18 Dec 2025
Viewed by 262
Abstract
Thallium (Tl) is a highly toxic trace metal of increasing concern in agricultural soils. This study investigated the uptake, accumulation, and tissue-level distribution of Tl(I) in rice (Oryza sativa L.) and wheat (Triticum aestivum L.) grown in three agricultural soils differing [...] Read more.
Thallium (Tl) is a highly toxic trace metal of increasing concern in agricultural soils. This study investigated the uptake, accumulation, and tissue-level distribution of Tl(I) in rice (Oryza sativa L.) and wheat (Triticum aestivum L.) grown in three agricultural soils differing in soil pH and texture. In the seedling pot experiment (0–100 mg kg−1 soil Tl), plant Tl concentrations increased dose-dependently, and were at least an order of magnitude lower in the alkaline soil than in the acidic soils. Bioaccumulation factors of roots and shoots generally exceeded unity and declined with increasing Tl dose in acidic soils, consistent with uptake saturation and physiological stress at high exposure. To elucidate how soil Tl speciation and pH regulate Tl availability, X-ray absorption spectroscopy (XAS) was used; it showed that Tl(I)—sorbed on illite was the predominant species in all soils (89–95%), with a minor fraction (5–11%) associated with non-specific adsorption. In maturity pots (5 mg kg−1 soil Tl), both crops grown in the moderately acidic, coarse-textured soil translocated a small fraction of absorbed Tl to grains, with wheat and rice containing 0.24 and 0.10 mg kg−1 Tl, respectively. Comparatively, plants in the more acidic soil failed to reach maturity, and grain Tl was not detected in the alkaline soil. LA-ICP-MS mapping revealed Tl enrichment in the bran and embryo of rice and in the crease, bran, and embryo of wheat, indicating that unpolished grains may pose higher dietary exposure risks than polished products. Overall, these findings demonstrate the key roles of soil pH and mineral composition in governing soil Tl availability and plant Tl uptake, whereas plant transport processes regulate grain Tl loading. In the absence of food-safety standards for Tl, the results of this study underscore the need to better understand and mitigate Tl transfer from contaminated soils into human food chains via cereal crops. Full article
(This article belongs to the Special Issue Soil Pollution and Remediation in Sustainable Agriculture)
Show Figures

Figure 1

Back to TopTop