Quantifying Spatiotemporal Characteristics of Urban Wetland Soundscapes and Their Associative Pathways Regulating Restorative Benefits
Abstract
1. Introduction
2. Methods
2.1. Study Area
2.2. Data Collection Method
2.2.1. Field Research Data
2.2.2. Experimental Data
2.2.3. Ethical Approval and Informed Consent
2.3. Data Processing Method
2.3.1. Field Data Processing
2.3.2. Experimental Design
3. Results
3.1. The Results of the Field Research
3.1.1. Sound Level Spatiotemporal Characteristics
3.1.2. Spatiotemporal Characteristics of Sound Source Harmony
3.1.3. Soundscape Perceptual Restorative Characteristics
3.2. Experimental Result
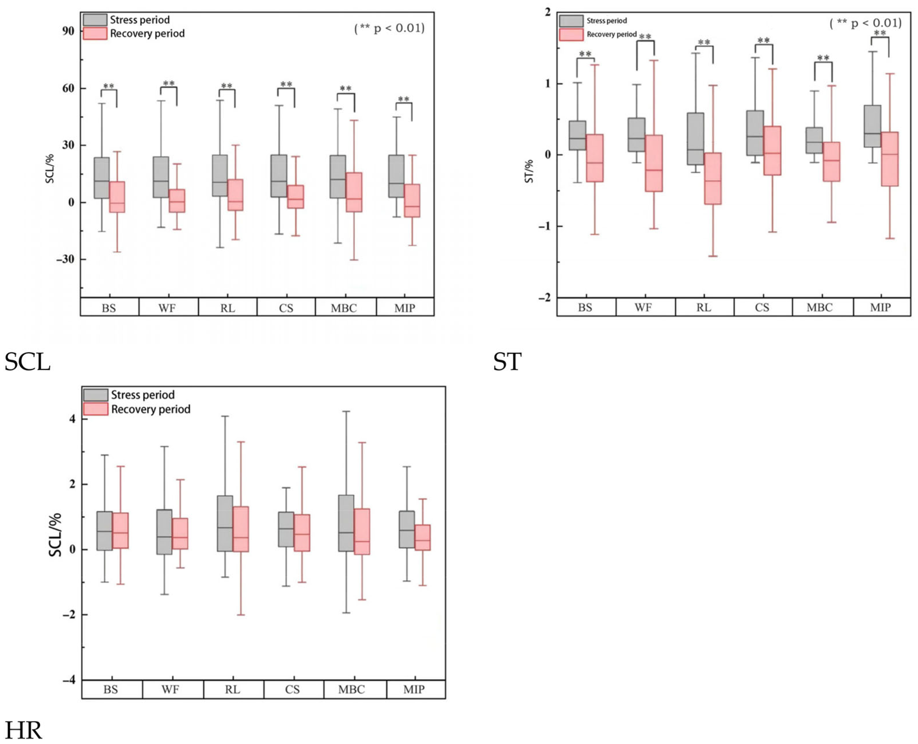
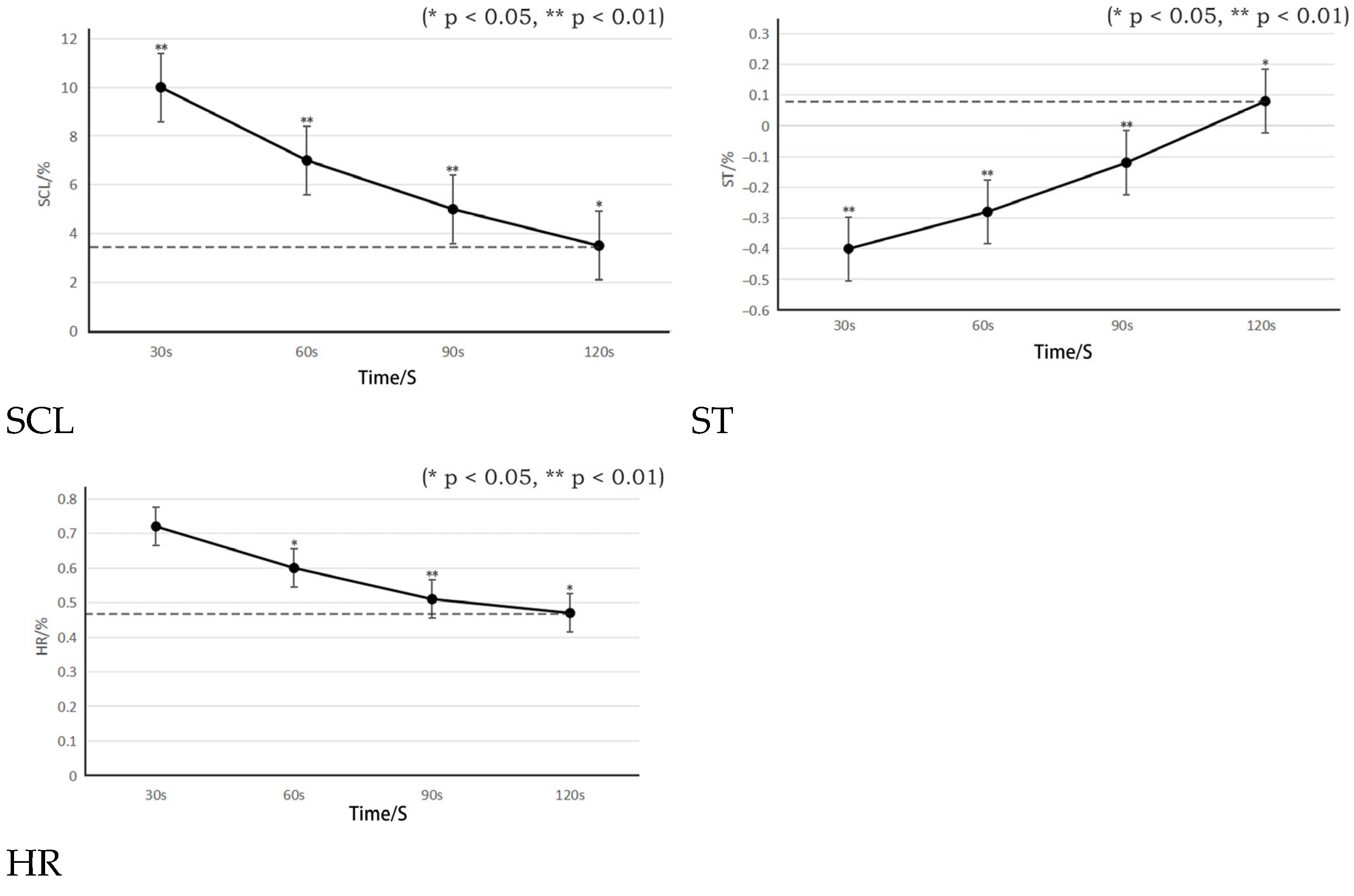
3.2.1. The Restorative Effect of Soundscapes on Physiological Responses
3.2.2. The Restorative Effect of Soundscapes on Attention
4. Discussion
4.1. Analysis of Field Research Results
4.1.1. Spatiotemporal Characteristics and Urban Green Space Planning
4.1.2. Spatiotemporal Characteristics of SHD
4.1.3. Analysis of the Restorative Characteristics of Soundscapes
4.2. Analysis of Experimental Results
4.2.1. Physiological Measurement Experiment
4.2.2. Analysis of SART Test Experiment
4.3. Innovation and Limitations
5. Conclusions
Author Contributions
Funding
Institutional Review Board Statement
Informed Consent Statement
Data Availability Statement
Conflicts of Interest
Abbreviations
| PRSS | Perceived Restorativeness Soundscape Scale |
| SHD | Sound harmonious degree |
| NDVI | Normalized Difference Vegetation Index |
| POS | Perceived occurrences of sound |
| PLS | Perceived loudness of sound |
| PFS | Preference for sound |
References
- Kondo, M.; Fluehr, J.; McKeon, T.; Branas, C. Urban Green Space and Its Impact on Human Health. Int. J. Environ. Res. Public Health 2018, 15, 445. [Google Scholar] [CrossRef] [PubMed]
- Shanahan, D.F.; Astell–Burt, T.; Barber, E.A.; Brymer, E.; Cox, D.T.C.; Dean, J.; Depledge, M.; Fuller, R.A.; Hartig, T.; Irvine, K.N.; et al. Nature–Based Interventions for Improving Health and Wellbeing: The Purpose, the People and the Outcomes. Sports 2019, 7, 141. [Google Scholar] [CrossRef] [PubMed]
- Kaplan, S.; Bardwell, L.V.; Slakter, D.B. The Museum as a Restorative Environment. Environ. Behav. 1993, 25, 725–742. [Google Scholar] [CrossRef]
- Frumkin, H.; Bratman, G.N.; Breslow, S.J.; Cochran, B.; Kahn, P.H., Jr.; Lawler, J.J.; Levin, P.S.; Tandon, P.S.; Varanasi, U.; Wolf, K.L.; et al. Nature Contact and Human Health: A Research Agenda. Environ. Health Perspect. 2017, 125, 075001. [Google Scholar] [CrossRef]
- Fong, K.C.; Hart, J.E.; James, P. A Review of Epidemiologic Studies on Greenness and Health: Updated Literature through 2017. Curr. Environ. Health Rep. 2018, 5, 77–87. [Google Scholar] [CrossRef] [PubMed]
- Twohig-Bennett, C.; Jones, A. The Health Benefits of the Great Outdoors: A Systematic Review and Meta-Analysis of Greenspace Exposure and Health Outcomes. Environ. Res. 2018, 166, 628–637. [Google Scholar] [CrossRef]
- Aletta, F.; Kang, J.; Axelsson, Ö. Soundscape Descriptors and a Conceptual Framework for Developing Predictive Soundscape Models. Landsc. Urban Plan. 2016, 149, 65–74. [Google Scholar] [CrossRef]
- Aletta, F.; Oberman, T.; Kang, J. Associations between Positive Health-Related Effects and Soundscapes Perceptual Constructs: A Systematic Review. Int. J. Environ. Res. Public Health 2018, 15, 2392. [Google Scholar] [CrossRef]
- ISO 12913-1:2014; Acoustics-Soundscape-Part 1: Definition and Conceptual Framework. IOS: Geneva, Switzerland, 2014.
- Hall, D.A.; Irwin, A.; Edmondson-Jones, M.; Phillips, S.; Poxon, J.E.W. An exploratory evaluation of perceptual, psychoacoustic and acoustical properties of urban soundscapes. Appl. Acoust. 2013, 74, 248–254. [Google Scholar] [CrossRef]
- Wu, S. Integration of Soundscape, Smellscape and Lightscape and Diversified Landscape Construction of Traditional Chinese Gardens. South Archit. 2022, 10, 1–4. (In Chinese) [Google Scholar]
- Fuhong, W.; Jie, L.I. Spatio-temporal differentiation of sound environment in urban functional areas of China. E3S Web Conf. 2020, 143, 01024. [Google Scholar] [CrossRef]
- Bai, J.; Chen, J.; Wang, M. Multimodal Urban Sound Tagging with Spatiotemporal Context. IEEE Trans. Cogn. Dev. Syst. 2023, 15, 555–565. [Google Scholar] [CrossRef]
- Wu, L.; Zhang, Q.; Yan, Y.; Lan, T.; Hu, Y.; Zhang, Y.; He, T.; Ye, J. A Study on Spatiotemporal Dynamics and Spatial Dependence of Sound Source Perception in Fuzhou Historical and Cultural Districts. Buildings 2024, 14, 1753. [Google Scholar] [CrossRef]
- Chen, Z.; Zhu, T.-Y.; Guo, X.; Liu, J. Landscape Characteristics Influencing the Spatiotemporal Dynamics of Soundscapes in Urban Forests. Forests 2024, 15, 2171. [Google Scholar] [CrossRef]
- Kogan, P.; Gale, T.; Arenas, J.P.; Arias, C. Development and Application of Practical Criteria for the Recognition of Potential Health Restoration Soundscapes (HeReS) in Urban Greenspaces. Sci. Total Environ. 2021, 793, 148541. [Google Scholar] [CrossRef]
- Lam, B.; Ong, Z.-T.; Ooi, K.; Ong, W.-H.; Wong, T.; Watcharasupat, K.N.; Boey, V.; Lee, I.; Hong, J.Y.; Kang, J.; et al. Automating Urban Soundscape Enhancements with AI: In-Situ Assessment of Quality and Restorativeness in Traffic-Exposed Residential Areas. Build. Environ. 2024, 266, 112106. [Google Scholar] [CrossRef]
- Payne, S.R.; Bruce, N. Exploring the Relationship between Urban Quiet Areas and Perceived Restorative Benefits. Int. J. Environ. Res. Public Health 2019, 16, 1611. [Google Scholar] [CrossRef]
- Benfield, J.A.; Taff, B.D.; Newman, P.; Smyth, J. Natural sound facilitates mood recovery. Ecopsychology 2014, 6, 183–188. [Google Scholar] [CrossRef]
- Yu, L.; Kang, J. Factors influencing the sound preference in urban open spaces. Appl. Acoust. 2010, 71, 622–633. [Google Scholar] [CrossRef]
- Ojala, A.; Korpela, K.; Tyrväinen, L.; Tiittanen, P.; Lanki, T. Restorative effects of urban green environments and the role of urban-nature orientedness and noise sensitivity: A field experiment. Health Place 2019, 55, 59–70. [Google Scholar] [CrossRef] [PubMed]
- Shu, S.; Ma, H. The restorative environmental sounds perceived by children. J. Environ. Psychol. 2018, 60, 72–80. [Google Scholar] [CrossRef]
- Jeon, J.Y.; Jo, H.I.; Lee, K. Potential restorative effects of urban soundscapes: Personality traits, temperament, and perceptions of VR urban environments. Landsc. Urban Plan. 2021, 214, 104188. [Google Scholar] [CrossRef]
- Shu, S.; Ma, H. Restorative effects of urban park soundscapes on children’s psychophysiological stress. Appl. Acoust. 2020, 164, 107293. [Google Scholar] [CrossRef]
- Payne, S.R. The production of a Perceived Restorativeness Soundscape Scale. Appl. Acoust. 2013, 74, 255–263. [Google Scholar] [CrossRef]
- Colglazier, W. Sustainable Development Agenda: 2030. Science 2015, 349, 1048–1050. [Google Scholar] [CrossRef] [PubMed]
- Lv, Z.; Yang, J.; Wielstra, B.; Wei, J.; Xu, F.; Si, Y. Prioritizing Green Spaces for Biodiversity Conservation in Beijing Based on Habitat Network Connectivity. Sustainability 2019, 11, 2042. [Google Scholar] [CrossRef]
- Nguyen, P.-Y.; Astell-Burt, T.; Rahimi-Ardabili, H.; Feng, X. Green Space Quality and Health: A Systematic Review. Int. J. Environ. Res. Public Health 2021, 18, 11028. [Google Scholar] [CrossRef]
- van der Jagt, A.P.N.; Craig, T.; Venn, S.; Smith, M. Soundscape Cultural Ecosystem Services: A Framework for As-sessment and Planning in Urban Green Spaces. Sustainability 2021, 13, 11991. [Google Scholar] [CrossRef]
- Sharifi, A.; Khavarian-Garmsir, A.R.; Cugurullo, F. Healthy and Resilient Cities: A Systematic Review of Frameworks, Principles, and Criteria. Sustainability 2021, 13, 12740. [Google Scholar] [CrossRef]
- Chunhua, L.; Lijia, J.; Guang, Z. Achievements, limitation and prospectives: Overseas urban wetlands researches. J. Cent. South Univ. For. Technol. 2012, 12, 25–30. (In Chinese) [Google Scholar] [CrossRef]
- Zeng, S.; Gao, P. Application analysis of plant configuration in Aixi Lake Forest Wetland Park in Nanchang. Xiandai Hortic. 2019, 1, 128–129. (In Chinese) [Google Scholar] [CrossRef]
- Fan, J.; Wen, Y. Landscape design of waterfront bird habitat in Aixi Lake, Nanchang. J. Hunan Agric. Univ. (Soc. Sci.) 2007, 8, 64–67. (In Chinese) [Google Scholar] [CrossRef]
- GB3096-2008; Environmental Quality Standard for Noise. Chinese Standard: Beijing, China, 2008.
- Huang, H. Research on the Design of Urban Waterfront Landscape Enhancement Under the Soundscape Creation—A Case Study of Donghao Stream, Guangzhou City. Master’s Thesis, Guangzhou Academy of Fine Arts, Guangzhou, China, 2022. (In Chinese) [Google Scholar] [CrossRef]
- Liu, J.; Kang, J.; Luo, T.; Behm, H. Spatiotemporal variability of soundscapes in a multiple functional urban area. Landsc. Urban Plan. 2013, 115, 1–9. [Google Scholar] [CrossRef]
- HJ640-2012; Technical Specifications for Environmental Noise Monitoring. Routine Monitoring for Urban Environmental Noise. Chinese Standard: Beijing, China, 2012.
- Liu, J.; Guo, X.; Hong, X.; Zhang, X. The Impact of Individual Factors on Perceived Soundscape Restorativeness in Urban Parks. Chin. Landsc. Archit. 2022, 38, 40–45. (In Chinese) [Google Scholar]
- IEC 61672-1:2013; Electroacoustics—Sound Level Meters—Part 1: Specifications. IEC: Geneva, Switzerland, 2013.
- Liu, J.; Kang, J. Soundscape design in city parks: Exploring the relationships between soundscape composition parameters and physical and psychoacoustic parameters. J. Environ. Eng. Landsc. Manag. 2015, 23, 102–112. [Google Scholar] [CrossRef]
- Huang, S.; Meng, X. Research on the Spatio- temporal Characteristics of the Vitality of the Xiangjiang Riverfront Space in Changsha Based on Baidu Heat Maps. Xiandai Hortic. 2024, 47, 48–53. (In Chinese) [Google Scholar] [CrossRef]
- Fang, L.; Huang, J.; Zhang, Z.; Nitivattananon, V. Data-driven framework for delineating urban population dynamic patterns: Case study on Xiamen Island, China. Sustain. Cities Soc. 2020, 62, 102365. [Google Scholar] [CrossRef]
- Zhang, M. Research on the Vitality of Commercial Center Morphological Types Based on Baidu Heat Map: A Case of Wuhan Commercial Center. Urban. Archit. 2023, 20, 76–81. (In Chinese) [Google Scholar] [CrossRef]
- Jing, M.; Wu, J. Fast image interpolation using directional inverse distance weighting for real-time applications. Opt. Commun. 2013, 286, 111–116. [Google Scholar] [CrossRef]
- Sonntag-Öström, E.; Nordin, M.; Lundell, Y.; Dolling, A.; Wiklund, U.; Karlsson, M.; Carlberg, B.; Slunga Järvholm, L. Restorative Effects of Visits to Urban and Forest Environments in Patients with Exhaustion Disorder. Urban For. Urban Green. 2014, 13, 344–354. [Google Scholar] [CrossRef]
- Gu, Q.; Geng, G.; Zhang, R.; Zhang, B.; He, Z. Analysis on Spatiotemporal Variation of Soil Moisture and Its Influencing Factors in Weihe River Basin. Res. Soil Water Conserv. 2024, 31, 199–211. (In Chinese) [Google Scholar] [CrossRef]
- Ratcliffe, E.; Gatersleben, B.; Sowden, P.T. Bird sounds and their contributions to perceived attention restoration and stress recovery. J. Environ. Psychol. 2013, 36, 221–228. [Google Scholar] [CrossRef]
- Ratcliffe, E.; Gatersleben, B.; Sowden, P.T. Associations with bird sounds: How do they relate to perceived restorative potential? J. Environ. Psychol. 2016, 47, 136–144. [Google Scholar] [CrossRef]
- Deng, L.; Luo, H.; Ma, J.; Huang, Z.; Sun, L.-X.; Jiang, M.-Y.; Zhu, C.-Y.; Li, X. Effects of integration between visual stimuli and auditory stimuli on restorative potential and aesthetic preference in urban green spaces. Urban For. Urban Green. 2020, 53, 126702. [Google Scholar] [CrossRef]
- Gao, W.; Kang, J.; Ma, H.; Wang, C. The effects of environmental sensitivity and noise sensitivity on soundscape evaluation. Build. Environ. 2023, 245, 110945. [Google Scholar] [CrossRef]
- Maddox, R.K.; Billimoria, C.P.; Perrone, B.P.; Shinn-Cunningham, B.G.; Sen, K. Competing Sound Sources Reveal Spatial Effects in Cortical Processing. PLoS Biol. 2012, 10, e1001319. [Google Scholar] [CrossRef]
- Wang, S.; Sun, Y.; Li, Z.; Shu, Y.; Feng, J.; Wang, T. Effects of bird migration on the temporal patterns of the wetland soundscape in the downstream region of the Tumen River Basin of China. Biodivers. Sci. 2023, 31, 87–100. [Google Scholar] [CrossRef]
- Yang, W.; Kang, J. Acoustic Comfort Evaluation in Urban Open Public Spaces. Appl. Acoust. 2005, 66, 211–229. [Google Scholar] [CrossRef]
- Yin, Y.; Shao, Y.; Lu, H.; Hao, Y.; Jiang, L. Predicting and Visualizing Human Soundscape Perception in Large-Scale Urban Green Spaces: A Case Study of the Chengdu Outer Ring Ecological Zone. Forests 2023, 14, 1946. [Google Scholar] [CrossRef]
- Zhang, D.; Shan, Y.; Chen, X.; Wang, Z. Soundscape in Religious Historical Buildings: A Review. Herit. Sci. 2024, 12, 45. [Google Scholar] [CrossRef]
- Buxton, R.T.; Pearson, A.L.; Allou, C.; Fristrup, K.; Wittemyer, G. A Synthesis of Health Benefits of Natural Sounds and Their Distribution in National Parks. Proc. Natl. Acad. Sci. USA 2021, 118, e2013097118. [Google Scholar] [CrossRef]
- Alvarsson, J.J.; Wiens, S.; Nilsson, M.E. Stress recovery during exposure to nature sound and environmental noise. Int. J. Environ. Res. Public Health 2010, 7, 1036–1046. [Google Scholar] [CrossRef] [PubMed]
- Ulrich, R.S.; Simons, R.F.; Losito, B.D.; Fiorito, E.; Miles, M.A.; Zelson, M. Stress Recovery during Exposure to Natural and Urban Environments. J. Environ. Psychol. 1991, 11, 201–230. [Google Scholar] [CrossRef]
- Mitchell, A.; Oberman, T.; Aletta, F.; Kachlicka, M.; Lionello, M.; Erfanian, M.; Kang, J. Investigating Urban Soundscapes of the COVID-19 Lockdown: A Predictive Soundscape Modeling Approach. J. Acoust. Soc. Am. 2021, 150, 4474–4488. [Google Scholar] [CrossRef] [PubMed]
- Stobbe, E.; Forlim, C.G.; Kühn, S. Impact of Exposure to Natural versus Urban Soundscapes on Brain Functional Connectivity, BOLD Entropy and Behavior. Environ. Res. 2024, 244, 117788. [Google Scholar] [CrossRef]























| Sound Source Category | Sound Source Name |
|---|---|
| Biophony | Bird song (BS), migratory bird calls (MBC), cricket sounds (CS) |
| Geophony | Wind blowing through water plants (WP), rustling leaves (RL), water flow (WF) |
| Human Activity Sounds | Footsteps (FS), adult conversations (AC), children playing (CP), fitness activities sounds (FAS) |
| Mechanical Sounds | Urban traffic noise (UTN), water pump sounds (WPS), park tour vehicle noise (PTV) |
| Musical Sounds | Musical instrument performance (MIP), loudspeaker music (LM), phone ringtones (PR), singers’ singing (SS) |
| Dimension | Keywords | Description |
|---|---|---|
| Fascination | Curiosity | This sound environment aroused my curiosity. |
| Exploration | There are many things for me to explore in this sound environment. | |
| Interesting | My attention was drawn to many interesting sounds in this place. | |
| Being Away | Escape | In this sound environment, I temporarily escaped from the rhythm of daily life. |
| Relief | In this sound environment, I felt relieved from work pressure. | |
| Avoidance | This sound environment allowed me to avoid unnecessary disturbances. | |
| Compatibility | Adaptation | I quickly adapted to this sound environment. |
| Ease | It was easy to do what I wanted in this sound environment. | |
| Match | This sound environment matched my preferences well. | |
| Coherence | Orderly | The sound environment here is clear and orderly. |
| Belonging | The sounds I heard here were consistent with what the sound environment should be. | |
| Consistency | What I like to do is consistent with this sound environment. | |
| Extensibility | Exploration | This sound environment is large enough for me to explore from different directions. |
| Infinite | The scope of this sound environment seems infinite. | |
| Spacious | This sound environment made me feel that the space here was very spacious. |
| Sound Source Harmony | Moran’s I | z-Score | p |
|---|---|---|---|
| Biophony | 0.344 | 3.603 ** | 0.000 |
| Geophony | 0.255 | 1.941 | 0.052 |
| Human Activity Sounds | 0.186 | 3.243 ** | 0.001 |
| Mechanical Sounds | 0.307 | 2.168 * | 0.030 |
| Musical Sounds | −0.075 | −0.199 | 0.842 |
| Sound Source Harmony | Distribution Pattern | Sampling Points |
|---|---|---|
| Biophony | HH | 6, 7 |
| LL | 11 | |
| HL | 10 | |
| Geophony | HH | 19, 21 |
| HL | 16 | |
| LL | 14 | |
| Human Activity Sounds | HL | 9, 10, 11, 12, 13 |
| LH | 7 | |
| Mechanical Sounds | HH | 21 |
| HL | 22 | |
| LH | 18 | |
| Musical Sounds | HL | 18 |
| LH | 4 |
| Sound Category | SCL | ST | HR |
|---|---|---|---|
| BS | 2.15 | 31.2 | 72.5 |
| WF | 2.08 | 31.5 | 71.8 |
| RL | 2.22 | 31.3 | 73.1 |
| CS | 2.19 | 31.6 | 70.9 |
| MBC | 2.05 | 31.4 | 72.2 |
| MIP | 2.11 | 31.5 | 71.5 |
| F | 1.42 | 1.28 | 0.96 |
| P | 0.925 | 0.937 | 0.964 |
| Period | SCL | ST | HR |
|---|---|---|---|
| Base | 6.25 | 33.15 | 71.32 |
| Stress | 8.91 | 32.98 | 85.47 |
| Z | −5.327 | −2.041 | −6.184 |
| P | 0.000 *** | 0.041 * | 0.000 *** |
| Soundscape | Attention Indicators | Before Stimulation Median (IQR) | Post-Stimulus Median (IQR) | Z | p |
|---|---|---|---|---|---|
| BS | response time | 276.00 (114.00) | 265.00 (122.00) | −6.460 ** | 0.000 |
| Reaction error | 19.00 (9.00) | 16.50 (11.00) | −3.253 ** | 0.307 | |
| WF | response time | 268.00 (129.00) | 264.00 (121.00) | −1.750 * | 0.080 |
| Reaction error | 18.00 (15.83) | 17.50 (10.00) | −1.476 | 0.140 | |
| RL | response time | 272.00 (117.00) | 267.00 (121.00) | −4.168 ** | 0.000 |
| Reaction error | 18.00 (10.00) | 16.00 (12.00) | −0.918 | 0.358 | |
| CS | response time | 273.00 (110.00) | 264.00 (118.00) | −6.606 ** | 0.000 |
| Reaction error | 17.00 (11.00) | 18.00 (7.00) | −1.021 | 0.001 | |
| MBC | response time | 267.00 (123.00) | 263.00 (118.00) | −2.958 ** | 0.003 |
| Reaction error | 18.00 (11.00) | 18.00 (10.00) | −1.328 | 0.026 | |
| MIP | response time | 274.00 (114.75) | 271.00 (116.00) | −4.201 ** | 0.000 |
| Reaction error | 18.00 (12.00) | 17.00 (11.00) | −2.231 * | 0.184 |
Disclaimer/Publisher’s Note: The statements, opinions and data contained in all publications are solely those of the individual author(s) and contributor(s) and not of MDPI and/or the editor(s). MDPI and/or the editor(s) disclaim responsibility for any injury to people or property resulting from any ideas, methods, instructions or products referred to in the content. |
© 2026 by the authors. Licensee MDPI, Basel, Switzerland. This article is an open access article distributed under the terms and conditions of the Creative Commons Attribution (CC BY) license.
Share and Cite
Zhao, Z.; Li, W.; He, Q. Quantifying Spatiotemporal Characteristics of Urban Wetland Soundscapes and Their Associative Pathways Regulating Restorative Benefits. Sustainability 2026, 18, 3783. https://doi.org/10.3390/su18083783
Zhao Z, Li W, He Q. Quantifying Spatiotemporal Characteristics of Urban Wetland Soundscapes and Their Associative Pathways Regulating Restorative Benefits. Sustainability. 2026; 18(8):3783. https://doi.org/10.3390/su18083783
Chicago/Turabian StyleZhao, Zhiqing, Wenkang Li, and Qingpeng He. 2026. "Quantifying Spatiotemporal Characteristics of Urban Wetland Soundscapes and Their Associative Pathways Regulating Restorative Benefits" Sustainability 18, no. 8: 3783. https://doi.org/10.3390/su18083783
APA StyleZhao, Z., Li, W., & He, Q. (2026). Quantifying Spatiotemporal Characteristics of Urban Wetland Soundscapes and Their Associative Pathways Regulating Restorative Benefits. Sustainability, 18(8), 3783. https://doi.org/10.3390/su18083783
