Sign in to use this feature.

Years

Between: -

Subjects

remove_circle_outline
remove_circle_outline
remove_circle_outline
remove_circle_outline
remove_circle_outline
remove_circle_outline
remove_circle_outline
remove_circle_outline
remove_circle_outline

Journals

remove_circle_outline
remove_circle_outline
remove_circle_outline
remove_circle_outline
remove_circle_outline
remove_circle_outline

Article Types

Countries / Regions

remove_circle_outline
remove_circle_outline
remove_circle_outline
remove_circle_outline
remove_circle_outline

Search Results (682)

Search Parameters:
Keywords = spatial attraction model

Order results
Result details
Results per page
Select all
Export citation of selected articles as:
28 pages, 22437 KB  
Article
LightGBM–SHAP-Based Study of the Threshold and Synergistic Effects of Physical and Perceptual Scene Elements on Spatial Vitality in Historic Cultural Districts
by Gaojie Zhang and Zhongshan Huang
Sustainability 2026, 18(6), 2778; https://doi.org/10.3390/su18062778 - 12 Mar 2026
Viewed by 26
Abstract
The revitalization of vitality in historic cultural districts can enhance a city’s cultural attractiveness and promote the upgrading of the urban cultural industry and sustainable development. Revealing the threshold and synergistic effects of different districts’ scene elements on district vitality helps to identify [...] Read more.
The revitalization of vitality in historic cultural districts can enhance a city’s cultural attractiveness and promote the upgrading of the urban cultural industry and sustainable development. Revealing the threshold and synergistic effects of different districts’ scene elements on district vitality helps to identify the distribution patterns of district vitality and provides a basis for managerial decision-making. This study first uses a geographic information system (ArcGIS) to overlay Baidu heatmaps with the street-network distribution in order to depict the spatiotemporal heterogeneity of district vitality and to compute vitality values by partitions at the district scale. Subsequently, based on an explanatory framework that integrates the physical space and subjective cognition, multi-source data such as street-view panoramas and points of interest (POIs) are quantified to obtain scene-element values for each unit area. Then, the scene-element values and vitality values are integrated into a consolidated database. Additionally, the LightGBM model and the SHAP method are employed to evaluate each element’s marginal contribution and relative importance to district vitality, thereby screening out the key scene elements. Finally, by means of SHAP dependence plots and interaction-effect analysis, the threshold intervals of the key elements and their synergistic relationships are identified, revealing the nonlinear threshold effects and synergies by which scene elements influence spatial vitality. The results show that during rest days, district vitality exhibits stronger diffusion, and the synergistic effect between Leisure-Facility Attractiveness and Street-Network Accessibility is the most prominent in enhancing vitality. High Exhibition-Facility Attractiveness is difficult to sustain crowds on its own; only when Leisure-Facility Attractiveness is likewise high does its effectiveness increase significantly. When Transport Accessibility is within the 0.20–0.40 interval, the positive effect of Leisure-Facility Attractiveness is significantly amplified. An excessive Traditional–Modern Facility Mix readily leads to homogenization of districts; therefore, when introducing modern business formats, local cultural characteristics must be retained. Overall, the generation of district vitality relies more on the synergy between material factors and subjective cognition than on improvements to any single element. The findings of this study provide suggestions for the planning of scene elements and the enhancement of vitality in historic cultural districts. Full article
Show Figures

Figure 1

16 pages, 2940 KB  
Article
ESO-Det: An Efficient Small Object Detector for Real-Time UAV Perception
by Haodong Deng, Song Zhou and Weidong Yang
Sensors 2026, 26(5), 1512; https://doi.org/10.3390/s26051512 - 27 Feb 2026
Viewed by 189
Abstract
Object detection in aerial drone imagery has attracted increasing attention in Unmanned Aerial Vehicle(UAV) sensing applications. However, small objects occupying limited image regions, with large scale variations and similar background interference, make it challenging to perceive them. Meanwhile, the constrained computing power of [...] Read more.
Object detection in aerial drone imagery has attracted increasing attention in Unmanned Aerial Vehicle(UAV) sensing applications. However, small objects occupying limited image regions, with large scale variations and similar background interference, make it challenging to perceive them. Meanwhile, the constrained computing power of the onboard platform imposes requirements on the speed and efficiency of the algorithm. In this paper, we propose an efficient object detection network for real-time UAV perception named ESO-Det. Our approach introduces three key innovations: (1) Dense Cross-branch Complementary Module, a lightweight model that dynamically integrates semantic and spatial information to improve the network’s understanding of scene details. (2) Large-Kernel Context Integration Module, a module that expands receptive fields to effectively aggregate multi-scale contextual information. (3) Lightweight Selective Aggregation Module, a model selectively aggregates fused multi-scale features through different functional branches. Extensive experiments demonstrate that the proposed method achieves higher performance than representative existing approaches while maintaining real-time processing capability. The results show that our method is suitable for real-time UAV object detection. Full article
(This article belongs to the Section Sensing and Imaging)
Show Figures

Figure 1

28 pages, 8664 KB  
Article
Multi-Dimensional Coupling Perspective on the Compatibility of Ecosystem Service Supply and Demand in Megacities and Future Scenario Simulation: The Case of Shanghai
by Jiafang Huang, Shaofeng Chen, Chenxi Su, Miaomiao Yan, Han Chen and Zheng Ding
Sustainability 2026, 18(5), 2195; https://doi.org/10.3390/su18052195 - 25 Feb 2026
Viewed by 200
Abstract
Amid global climate change and rapid urbanization, megacities such as Shanghai confront prominent ecological challenges. A critical issue is the growing mismatch between the supply of and demand for urban green space (UGS) ecosystem services. This study aims to explore the supply–demand compatibility [...] Read more.
Amid global climate change and rapid urbanization, megacities such as Shanghai confront prominent ecological challenges. A critical issue is the growing mismatch between the supply of and demand for urban green space (UGS) ecosystem services. This study aims to explore the supply–demand compatibility of Shanghai’s UGS ecosystem services and simulate future scenarios. Guided by the SSP1-2.6 scenario, it integrates the PLUS model, InVEST model, and nSFCA method to conduct dynamic analysis, quantifying supply–demand alignment and identifying imbalance areas. Results show a significant spatial mismatch: high demand but low supply in Shanghai’s inner ring and low demand but high supply in the outer ring. UGS attractiveness presents a core-concentrated and peripheral-diffused pattern by level. By 2030, a coordinated supply framework of “city-level dominance, community-level support, and neighborhood-level supplementation” will form, improving supply–demand alignment, though accessibility gaps persist. The study reveals that urbanization, planning policies, and population–spatial expansion asynchrony drive these patterns, providing scientific decision-making support for optimizing Shanghai’s green space planning and building an ecologically livable city. Full article
Show Figures

Figure 1

23 pages, 5584 KB  
Article
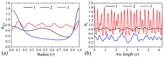
Linking Self-Organization of Bacterial and Human Populations in Mathematical Models of Chemotaxis
by Romas Baronas, Boleslovas Dapkūnas and Remigijus Šimkus
Mathematics 2026, 14(5), 748; https://doi.org/10.3390/math14050748 - 24 Feb 2026
Viewed by 275
Abstract
This paper analyses the self-organization and spatio-temporal pattern formation in bacterial and human populations using chemotaxis-based mathematical models. The pattern formation in the following three chemotaxis-type systems is investigated: the self-organization of suspensions of luminous Escherichia coli bacteria, the capital-induced labor migration in [...] Read more.
This paper analyses the self-organization and spatio-temporal pattern formation in bacterial and human populations using chemotaxis-based mathematical models. The pattern formation in the following three chemotaxis-type systems is investigated: the self-organization of suspensions of luminous Escherichia coli bacteria, the capital-induced labor migration in a spatial Solow model, and the movement of urban criminals forming crime hotspots. The three models are selected as representative examples of chemotaxis mechanisms that capture distinct modeling assumptions and applications. Nonlinear two-dimensional as well as one-dimensional-in-space reaction–diffusion–chemotaxis models were used to simulate the pattern formation in all three chemotactic systems within a restricted area—a circle. The models are formulated in dimensionless form, and the corresponding dimensional parameters are estimated through the comparison of simulation results with experimental and statistical data. The numerical simulation under the transient conditions was carried out using the finite difference technique. This study highlights substantial differences between bacterial motility and the geographical movement of humans; however, human populations’ movement toward an attractant can be regarded as analogous to the chemotactic behavior of biological cells, differing primarily in scale. Full article
(This article belongs to the Special Issue Chemotaxis Models and Their Applications in Biology)
Show Figures

Figure 1

18 pages, 2660 KB  
Article
The Game Between Quality Induction and Traffic Constraint: A Non-Linear Threshold Study of Park Travel Carbon Emissions from an Urban–Rural Differentiation Perspective
by He Zhang, Chao Wang, Hongjie Dong, Xiya Zhao, Yuxue Zhang and Mengge Du
Buildings 2026, 16(4), 867; https://doi.org/10.3390/buildings16040867 - 21 Feb 2026
Viewed by 284
Abstract
As global decarbonization strategies pivot towards the burgeoning sector of recreational mobility, the tension between the attractive force of high-quality amenities and the constraining capacity of transport infrastructure in urban parks has emerged as a critical planning dilemma for high-density metropolises. To disentangle [...] Read more.
As global decarbonization strategies pivot towards the burgeoning sector of recreational mobility, the tension between the attractive force of high-quality amenities and the constraining capacity of transport infrastructure in urban parks has emerged as a critical planning dilemma for high-density metropolises. To disentangle this game mechanism, this study proposes a integrated Dual-Diagnostic Framework that synthesizes a modified gravity model, Grouped OLS regression, and an explainable XGBoost-SHAP algorithm to identify non-linear thresholds under spatial heterogeneity. Leveraging empirical data from Tianjin, a representative high-density metropolis, the analysis reveals a distinct bimodal distribution of carbon emissions from travel to comprehensive parks, confirming a fundamental structural divergence between urban and suburban mobility patterns. Crucially, the non-linear diagnosis uncovers a dominant Facility Configuration Induction mechanism within the suburban interface; here, park scale acts as the primary driver of excess travel, with its induction effect often overriding the mitigation potential of public transit until a specific critical mass is achieved. Consequently, the results identify a rigid threshold for bus station density alongside optimal intervals for park scale, providing quantitative benchmarks and differentiated governance strategies to resolve the paradox between park quality and carbon intensity. Full article
(This article belongs to the Special Issue Low-Carbon Urban Planning: Sustainable Strategies and Smart Cities)
Show Figures

Figure 1

29 pages, 1487 KB  
Article
High-Speed Rail Network and the Spatial Evolution of Regional Industries: Evidence from New Industry Entry
by Mingzhen Li, Hongchang Li, Huaixiang Wang and Xujuan Kuang
Systems 2026, 14(2), 219; https://doi.org/10.3390/systems14020219 - 20 Feb 2026
Viewed by 228
Abstract
Although numerous studies have examined the impact of high-speed rail (HSR) on regional economic development, few have explored this relationship from a network perspective—a research gap this paper seeks to fill. Specifically, this paper aims to clarify the theoretical mechanism through which the [...] Read more.
Although numerous studies have examined the impact of high-speed rail (HSR) on regional economic development, few have explored this relationship from a network perspective—a research gap this paper seeks to fill. Specifically, this paper aims to clarify the theoretical mechanism through which the HSR network affects the spatial evolution of regional industries, focusing on the new industry entry. We improve the local spread model by incorporating the HSR network as a key component and perform empirical analyses using the Spatial Durbin Model (SDM) and spatial mediation effect model, drawing on data from Chinese A-share-listed companies. The findings indicate that China’s regional industries underwent spatial evolution characterized by “diffusive agglomeration”. In terms of direct effects, connectivity ranks as the most influential HSR network indicator; however, when both direct and spillover effects are taken into account, accessibility becomes the primary factor, underscoring its vital role in reshaping the spatial distribution of industries. Additionally, the HSR network exerts a slightly stronger impact on industrial spatial diffusion (fueled by knowledge spillovers) than on industrial agglomeration (driven by market size), and its attraction to new industry entry is notably greater in peripheral regions than in core regions. These results demonstrate that HSR, characterized by “transporting people rather than goods”, mainly facilitates the exchange of knowledge, technology and information instead of reducing freight costs, offering valuable insights for optimizing regional industrial layouts. Full article
(This article belongs to the Section Complex Systems and Cybernetics)
Show Figures

Figure 1

29 pages, 9521 KB  
Article
Evolutionary Characteristics and Dynamic Mechanism of the Global Transportation Carbon Emission Spatial Correlation Network
by Yi Liang, Han Liu, Zhaoge Wu, Xiaoduo Wang and Zhaoxu Yuan
ISPRS Int. J. Geo-Inf. 2026, 15(2), 89; https://doi.org/10.3390/ijgi15020089 - 19 Feb 2026
Viewed by 292
Abstract
This study constructs a global transportation carbon emission spatial correlation network via a modified gravity model and explores its evolutionary characteristics and dynamic mechanisms by integrating three-dimensional evolutionary analysis (node, overall, structural) and temporal exponential random graph model (TERGM). The main findings are [...] Read more.
This study constructs a global transportation carbon emission spatial correlation network via a modified gravity model and explores its evolutionary characteristics and dynamic mechanisms by integrating three-dimensional evolutionary analysis (node, overall, structural) and temporal exponential random graph model (TERGM). The main findings are as follows: (1) Global transportation carbon emission spatial correlation intensity keeps rising, with improved connectivity and integration, forming three regionally agglomerated correlation poles centered on the United States (America), China (Asia) and major European countries (Europe). (2) Network centrality distributes asymmetrically: Switzerland, Norway and the United States remain core nodes, while China, Japan and other Asian economies with strong direct correlation radiation are not in the core tier. (3) Third, evolutionary dynamics stem from the synergistic interaction of multidimensional attributes. ① Economic level positively drives bidirectional connection emission and attraction; economic scale and openness curb emission but boost attraction, while tertiary industry structure inhibits both. ② Only economic level and government efficiency exert significant positive effects on absdiff, fostering network heterophilic attraction. ③ Spatial and institutional proximity in edgecov effectively facilitate connection formation. ④ Endogenous network variables present a collaborative mechanism of reciprocity and transmission, constrained by network density. ⑤ Temporal effects show early connection structure forms path dependence, resulting in low dynamic variability and overall network stability. Full article
(This article belongs to the Special Issue Spatial Data Science and Knowledge Discovery)
Show Figures

Figure 1

29 pages, 4910 KB  
Article
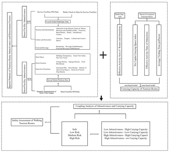
Multi-Source Data Integration for Safety Evaluation of Walking Tourism Routes: Coupling Spatial Analysis of Attractiveness and Carrying Capacity in Macao
by Haoran Lu, Xiaoxiao Zhou, Ziyi Chen and Jialin Cheng
Sustainability 2026, 18(4), 1984; https://doi.org/10.3390/su18041984 - 14 Feb 2026
Viewed by 179
Abstract
The safety of “City Walk” routes in high-density historic districts is a critical constraint for sustainable urban tourism. This study establishes an integrated safety assessment framework for Macao’s eight walking routes by coupling tourism attractiveness with spatial carrying capacity. Utilizing social media big [...] Read more.
The safety of “City Walk” routes in high-density historic districts is a critical constraint for sustainable urban tourism. This study establishes an integrated safety assessment framework for Macao’s eight walking routes by coupling tourism attractiveness with spatial carrying capacity. Utilizing social media big data, multi-source spatial datasets and Spatial Lag Models, we conceptualize “attractions” and “streets” as a continuous system. The results reveal a spatial mismatch: while entertainment and green streetscapes drive attractiveness, excessive amenities in narrow alleys reduce perceived safety. A “crowded core–empty periphery” capacity pattern creates significant risks, with approximately 39% of nodes classified as medium-to-high risk due to high attractiveness overloading low carrying capacity. By diagnosing these “high-attractiveness, low-capacity” conflicts, this study demonstrates the effectiveness of multi-source data fusion in identifying resilience weaknesses, offering actionable insights for smart tourism management and the promotion of social sustainability in high-density destinations. Full article
(This article belongs to the Special Issue Leisure Involvement and Smart Tourism)
Show Figures

Figure 1

26 pages, 3072 KB  
Article
Spatial Stickiness, Location Choice, and Mechanisms of Talent Flow in Urban Agglomerations: Evidence from University Graduates
by Nana Cui, Ziyi Jiao, Junfan Ye, Siting Li and Gaohong She
Sustainability 2026, 18(4), 1872; https://doi.org/10.3390/su18041872 - 12 Feb 2026
Viewed by 270
Abstract
The rational allocation of talent resources is significant to regional transformation and upgrading high-quality development. Focusing on urban agglomerations in China, this study examines the spatial patterns and underlying mechanisms of graduate talent mobility using employment data from the Ministry of Education Graduate [...] Read more.
The rational allocation of talent resources is significant to regional transformation and upgrading high-quality development. Focusing on urban agglomerations in China, this study examines the spatial patterns and underlying mechanisms of graduate talent mobility using employment data from the Ministry of Education Graduate Employment Quality Reports. We utilized the social network analysis method, stickiness rate, external attractiveness index, and directed migration model. The results reveal the following. (1) Spatial Stratification and Typology: A significant “Matthew Effect” characterizes China’s talent landscape. While the Yangtze River Delta and Pearl River Delta exhibit a “high stickiness–high attractiveness” dual-drive pattern, emerging inland agglomerations like Chengdu–Chongqing rely on high internal stickiness as a critical “stabilizer,” maintaining regional resilience through local stock retention despite limited external pull. (2) Complexity of Driving Mechanisms: Ridge regression indicates that while economic development (GDP per capita) and innovation capacity remain core drivers of external attractiveness, public services and institutional costs exert stronger constraints on mobility. (3) Policy Implications: In contrast, monetary talent policies show limited marginal utility. The study concludes that talent governance in urban agglomerations must shift from homogenous “talent wars” to differentiated sustainable strategies. Advanced regions should foster polycentric networks to mitigate overcrowding, while emerging regions should prioritize “soft infrastructure” to lower social costs, leveraging endogenous stickiness for long-term human capital accumulation and spatial equity. Full article
(This article belongs to the Section Sustainable Urban and Rural Development)
Show Figures

Figure 1

19 pages, 2440 KB  
Article
Generative Diffusion-Based Channel Estimation for Pinching Antenna-Assisted Indoor NFC
by Yongji Chen and Qi Wang
Electronics 2026, 15(4), 730; https://doi.org/10.3390/electronics15040730 - 9 Feb 2026
Viewed by 251
Abstract
Pinching antenna systems (PASS) are waveguide-based antenna architectures featuring structural flexibility and high energy efficiency, making them attractive for indoor near-field communication (NFC). However, rich multipath propagation and spatial non-stationarity in practical indoor environments pose significant challenges to accurate channel estimation, especially under [...] Read more.
Pinching antenna systems (PASS) are waveguide-based antenna architectures featuring structural flexibility and high energy efficiency, making them attractive for indoor near-field communication (NFC). However, rich multipath propagation and spatial non-stationarity in practical indoor environments pose significant challenges to accurate channel estimation, especially under limited antenna activation and pilot resources. In this paper, the PASS channel estimation problem is reformulated from a generative inference perspective. A diffusion-model-driven channel estimation framework is proposed, where received signals are interpreted as noisy observations of latent near-field channel states, and channel estimation is performed via conditional reverse denoising diffusion. By exploiting waveguide-mediated near-field structures and sparse antenna activation, the proposed framework enables robust channel recovery in highly underdetermined settings. To better match indoor propagation characteristics, the diffusion-based inference emphasizes multipath-aware channel distributions, allowing joint modeling of deterministic waveguide effects and stochastic scattering, thereby alleviating model mismatch in conventional estimators. Simulation results show that the proposed method achieves stable channel estimation performance across different SNRs and antenna activation scales, while the computational complexity of the proposed framework is explicitly analyzed to assess its practical applicability. Full article
Show Figures

Figure 1

18 pages, 4777 KB  
Article
Nonlinear Impact of Population Shrinkage on Urban Ecological Resilience: A Threshold Effect Analysis Based on City-Level Panel Data from the Yangtze River Economic Belt, China
by Xuan Chen, Yuluan Zhao, Chunfang Zhou and Yonglong Cai
Land 2026, 15(2), 261; https://doi.org/10.3390/land15020261 - 3 Feb 2026
Viewed by 314
Abstract
In the context of rapid urbanization and demographic transition, the implications of population shrinkage for urban sustainable development have attracted increasing scholarly attention. Nevertheless, empirical evidence on the relationship between population change and urban ecological resilience remains limited. Drawing on the Pressure–State–Response (PSR) [...] Read more.
In the context of rapid urbanization and demographic transition, the implications of population shrinkage for urban sustainable development have attracted increasing scholarly attention. Nevertheless, empirical evidence on the relationship between population change and urban ecological resilience remains limited. Drawing on the Pressure–State–Response (PSR) framework, this study constructs a comprehensive indicator system to assess urban ecological resilience in 110 cities along the Yangtze River Economic Belt (YEB) over the period of 2012–2021. Furthermore, a panel threshold regression model is employed to examine the nonlinear effects of population shrinkage on urban ecological resilience. The findings indicate that urban ecological resilience exhibits an overall upward trend in YEB, characterized by pronounced spatial disparities. Eastern cities have a higher level of resilience than cities in the western region in YEB. The number of cities with shrinking populations is gradually increasing, and these shrinking cities are mainly small and medium-sized cities. The empirical results show that the impact of population shrinkage on urban ecological resilience is distinctly nonlinear, and regional economic development plays a moderating role in this nonlinear relationship. At lower levels of economic development, population shrinkage does not significantly moderate urban ecological resilience. As the economy reaches a moderate stage, population shrinkage exerts a stronger modulatory effect on ecological resilience. When economic development advances to a higher level, however, population shrinkage tends to inhibit ecological resilience. Overall, this study provides a scientific basis for the population–ecological policies tailored to local conditions and offers valuable insights to promote urban sustainable development under conditions of population shrinkage. Full article
(This article belongs to the Topic Advances in Urban Resilience for Sustainable Futures)
Show Figures

Figure 1

21 pages, 5818 KB  
Article
Effect of Impinging Jet Ventilation System Geometry and Location on Thermal Comfort Achievements and Flow Characteristics
by Naif Albelwi, Abdullah M.A. Alsharif, Abdulrhman Farran, H. A. Refaey and Mohamed A. Karali
Buildings 2026, 16(3), 639; https://doi.org/10.3390/buildings16030639 - 3 Feb 2026
Viewed by 319
Abstract
Impinging jet ventilation (IJV) systems have attracted significant attention due to their potential to augment indoor thermal comfort and airflow distribution. Previous studies have primarily investigated corner and mid-wall IJV installations; however, comparative analyses focusing on different diffuser geometries remain limited. [...] Read more.
Impinging jet ventilation (IJV) systems have attracted significant attention due to their potential to augment indoor thermal comfort and airflow distribution. Previous studies have primarily investigated corner and mid-wall IJV installations; however, comparative analyses focusing on different diffuser geometries remain limited. Accordingly, this study examines the combined effects of IJV diffuser geometry and installation location on thermal comfort indices and airflow characteristics. A full three-dimensional computational fluid dynamics (CFD) model, without the use of symmetry, is developed to simulate a realistic office environment (3 × 3 × 2.9 m3), operating in cooling mode under hot summer climatic conditions. Three IJV diffuser cross-section geometries—triangular, square, and circular—are evaluated at four installation locations (two corners and two mid-wall positions), assuming a fixed occupant location. A combined return and exhaust outlet configuration is adopted. The results indicate that the IJV location influences airflow and temperature distributions more strongly than the diffuser geometry. Nevertheless, the circular diffuser exhibits superior performance compared to the triangular and square geometries. The mid-wall location placed behind the occupant and away from the hot exterior wall demonstrates reduced thermal stratification, improved airflow characteristics, and weaker vortex formation, making it the most favorable configuration. From an architectural perspective, these findings highlight the importance of early coordination between ventilation design and office spatial planning, as diffuser placement directly influences occupant comfort zones and furniture layout. Moreover, the preference for mid-wall installations supports a more flexible façade design and allows for greater freedom in organizing workspaces without compromising thermal performance. Full article
(This article belongs to the Topic Indoor Air Quality and Built Environment)
Show Figures

Figure 1

36 pages, 2732 KB  
Review
Processing of Visual Mirror Symmetry by Human Observers; Mechanisms and Models
by Cayla A. Bellagarda, J. Edwin Dickinson, Jason Bell, Paul V. McGraw and David R. Badcock
Symmetry 2026, 18(2), 247; https://doi.org/10.3390/sym18020247 - 30 Jan 2026
Viewed by 453
Abstract
Mirror symmetry is an important and common feature of the visual world, which has attracted the interest of scientists, artists, and philosophers for centuries. The human visual system is very sensitive to mirror symmetry; symmetry is detected quickly and accurately and influences perception [...] Read more.
Mirror symmetry is an important and common feature of the visual world, which has attracted the interest of scientists, artists, and philosophers for centuries. The human visual system is very sensitive to mirror symmetry; symmetry is detected quickly and accurately and influences perception even when not relevant to the task at hand. Neuroimaging studies have identified mirror symmetry-specific haemodynamic and electrophysiological responses in extra-striate regions of the visual cortex, and these findings closely align with behavioural psychophysical findings when only considering the magnitude and sensitivity of the response. However, as we go on to discuss later, the location of these responses is at odds with where psychophysical models based on early visual filters would predict. In attempts to capture and explain mirror symmetry perception, various models have been developed and refined as our understanding of the factors influencing mirror symmetry perception has grown. The current review provides a contemporary overview of the psychophysical and neuroimaging understanding of mirror symmetry perception in human vision. We then consider how new findings align with predominant spatial filtering models of mirror symmetry perception to identify key factors that need to be accounted for in current and future iterations. Full article
(This article belongs to the Section Life Sciences)
Show Figures

Figure 1

30 pages, 7552 KB  
Review
Physics-Informed Neural Networks for Underwater Acoustic Propagation Modeling: A Review
by Yuxiang Gao, Peng Xiao, Shiwei Xie and Zhenglin Li
Electronics 2026, 15(2), 480; https://doi.org/10.3390/electronics15020480 - 22 Jan 2026
Viewed by 589
Abstract
Physics-informed neural networks (PINNs) have recently attracted considerable attention as a framework for solving partial differential equations. Underwater sound-field prediction fundamentally relies on solving acoustic wave equations, making PINNs a natural candidate for this application. This paper reviews recent developments in PINN-based modeling [...] Read more.
Physics-informed neural networks (PINNs) have recently attracted considerable attention as a framework for solving partial differential equations. Underwater sound-field prediction fundamentally relies on solving acoustic wave equations, making PINNs a natural candidate for this application. This paper reviews recent developments in PINN-based modeling of underwater acoustic propagation, which we group into two main lines of research. The first introduces mathematically motivated simplifications of the governing equations and then employs PINNs as efficient solvers; examples include ray-based PINNs and PINN estimators of modal wavenumbers. The second focuses on improving computational performance by tailoring network architectures and hyperparameters, such as spatial domain-decomposition strategies. While PINNs demonstrate significant potential, challenges persist regarding computational efficiency and convergence in high-frequency regimes. Future research directions are identified, emphasizing a multi-faceted strategy that systematically addresses limitations at both the physical formulation level and the neural network architecture level. By integrating advanced hybrid physics-data modeling and scalable training algorithms, this review highlights the pathway toward bridging the gap between theoretical frameworks and realistic ocean applications. Full article
(This article belongs to the Section Circuit and Signal Processing)
Show Figures

Figure 1

24 pages, 4482 KB  
Article
Regional Patterns of Digital Skills Mismatch in Indonesia’s Digital Economy: Insights from the Indonesia Digital Society Index
by I Gede Nyoman Mindra Jaya, Nusirwan, Dita Kusumasari, Argasi Susenna, Lidya Agustina, Yan Andriariza Ambhita Sukma, Hendro Prasetyono, Sinta Septi Pangastuti, Farah Kristiani and Nurul Hermina
Sustainability 2026, 18(2), 1077; https://doi.org/10.3390/su18021077 - 21 Jan 2026
Viewed by 389
Abstract
This study investigates regional heterogeneity and spatial interdependence in digital skills mismatch across Indonesia by constructing a Digital Skills Supply–Demand Ratio (DSSDR) from the Indonesia Digital Society Index (IMDI). In line with SDG 10 (Reduced Inequalities) and SDG 4 (Quality Education), the study [...] Read more.
This study investigates regional heterogeneity and spatial interdependence in digital skills mismatch across Indonesia by constructing a Digital Skills Supply–Demand Ratio (DSSDR) from the Indonesia Digital Society Index (IMDI). In line with SDG 10 (Reduced Inequalities) and SDG 4 (Quality Education), the study aims to provide policy-relevant evidence to support a more inclusive and balanced digital transformation. Using district-level data and spatial econometric models (OLS, SAR, and the SDM), the analysis evaluates both local determinants and cross-regional spillover effects. Model comparison identifies the Spatial Durbin Model as the best specification, revealing strong spatial dependence in digital skills imbalance. The results show that most local socioeconomic and digital readiness indicators do not have significant direct effects on DSSDR, while school internet coverage exhibits a consistently negative association, indicating that digital demand expands faster than local supply. In contrast, spatial spillovers are decisive: a higher share of ICT study programs in neighboring regions improves local DSSDR through knowledge and human-capital diffusion, whereas higher GRDP per capita in adjacent regions exacerbates local mismatch, consistent with a talent-attraction mechanism. These findings demonstrate that digital skills mismatch is a spatially interconnected phenomenon driven more by interregional dynamics than by local conditions alone, implying that policy responses should move beyond isolated district-level interventions toward coordinated regional strategies integrating education systems, labor markets, and digital ecosystem development. The study contributes a spatially explicit, supply–demand-based framework for diagnosing regional digital inequality and supporting more equitable and sustainable digital development in Indonesia. Full article
Show Figures

Figure 1

Back to TopTop