Sign in to use this feature.

Years

Between: -

Subjects

remove_circle_outline
remove_circle_outline
remove_circle_outline
remove_circle_outline
remove_circle_outline
remove_circle_outline
remove_circle_outline
remove_circle_outline
remove_circle_outline

Journals

remove_circle_outline
remove_circle_outline
remove_circle_outline
remove_circle_outline
remove_circle_outline
remove_circle_outline

Article Types

Countries / Regions

remove_circle_outline
remove_circle_outline
remove_circle_outline

Search Results (346)

Search Parameters:
Keywords = soluble solid and acid ratio

Order results
Result details
Results per page
Select all
Export citation of selected articles as:
17 pages, 1390 KB  
Article
Ultrasound-Assisted Extraction of Oil and Antioxidant Compounds from Wheat Germ and the Obtention of Protein and Fiber-Rich Residue
by Silvina Patricia Meriles, Carlos Guillermo Ferrayoli, Marcela Lilian Martínez, Pablo Daniel Ribotta and María Cecilia Penci
Processes 2026, 14(2), 259; https://doi.org/10.3390/pr14020259 - 12 Jan 2026
Abstract
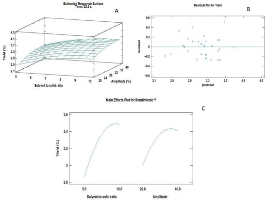
Wheat germ (WG) oil is highly used in cosmetics and pharmaceutics for its high tocopherol content. The present study explored and optimized the ultrasound-assisted extraction of oil and bioactive compounds from stabilized wheat germ at a laboratory scale. Optimum conditions were 15 s, [...] Read more.
Wheat germ (WG) oil is highly used in cosmetics and pharmaceutics for its high tocopherol content. The present study explored and optimized the ultrasound-assisted extraction of oil and bioactive compounds from stabilized wheat germ at a laboratory scale. Optimum conditions were 15 s, 36% amplitude, and 10:1 solvent-to-solid ratio. The yield (5.1%) and the ether-soluble fraction (87.92%) obtained were remarkable considering the short extraction time, and the solvent used was absolute ethanol. Sonication did not have a significant impact on oil oxidation parameters (acidity and peroxide value), tocopherol content (1499 μg toc/g extract), and antiradical scavenging activity of the extracts (71% DPPH loss). The total fiber content (16%) and type of the remaining solids were not affected as well. Protein solubility increased with sonication. Altogether, these findings propose ultrasound-assisted extraction of oil from wheat germ as a promising alternative to conventional techniques. Full article
(This article belongs to the Special Issue Extraction Processes, Modeling, and Optimization of Oils)
Show Figures

Figure 1

17 pages, 1465 KB  
Article
High-Solids Processing of Palmaria palmata for Feed Applications: Effects of Alkaline Autoclaving and Sequential Enzymatic Treatment
by Catarina Ramos-Oliveira, Marta Ferreira, Isabel Belo, Aires Oliva-Teles and Helena Peres
Phycology 2026, 6(1), 12; https://doi.org/10.3390/phycology6010012 - 8 Jan 2026
Viewed by 147
Abstract
Macroalgae are increasingly recognized as a valuable source of nutrients and bioactive compounds for animal nutrition, including for aquatic species. However, the complex structure of the macroalgal cell wall limits the accessibility of intracellular components, restricting their use in feeds. To overcome this [...] Read more.
Macroalgae are increasingly recognized as a valuable source of nutrients and bioactive compounds for animal nutrition, including for aquatic species. However, the complex structure of the macroalgal cell wall limits the accessibility of intracellular components, restricting their use in feeds. To overcome this limitation, macroalgal hydrolysis using various technological treatments has been tested, often employing a low solid-to-water ratio, which complicates downstream processing due to phase separation. In contrast, high-solids loading hydrolysis has the advantage of producing a single and consolidated fraction, simplifying subsequent processing and application. The present study assessed the effectiveness of high-solids loading water or alkaline (0.5 and 1N NaOH) autoclaving for 30 or 60 min, applied alone or followed by sequential enzymatic hydrolysis, using a xylanase-rich enzymatic complex aimed at promoting cell wall disruption and increasing the extractability of intracellular components in the red macroalga Palmaria palmata with minimal free water. The 1N NaOH treatment for 30 min decreased neutral and acid detergent fiber while increasing Folin–Ciocalteu total phenolic content (GAE) (expressed as gallic acid equivalent) and the water-soluble protein fraction and decreased crude protein, indicating enhanced extractability of these components. Microscopic examination showed relatively mild structural changes on the surface of P. palmata after high-solids loading alkaline (1N NaOH) autoclaving for 30 min. Following alkaline or water treatment, the enzymatic complex hydrolysis further increased the Folin–Ciocalteu total phenolic content (GAE), with minimal effects on NDF, ADF, or crude protein. Overall, these results showed that high-solids loading alkaline autoclaving, with or without subsequent enzymatic hydrolysis, effectively disrupts P. palmata cell walls and induces substantial modifications while simplifying processing by avoiding phase separation. Full article
(This article belongs to the Special Issue Development of Algal Biotechnology)
Show Figures

Figure 1

19 pages, 976 KB  
Article
Production and Quality of ‘Smooth Cayenne’ Pineapple as Affected by Nitrogen Fertilization and Types of Plantlets in the Northern Region of Rio de Janeiro State, Brazil
by Denilson Coelho De Faria, Rômulo André Beltrame, Jéssica Morais Cunha, Stella Arndt, Simone de Paiva Caetano Bucker Moraes, Paulo Cesar Dos Santos, Marta Simone Mendonça Freitas, Moises Zucoloto, Silvio de Jesus Freitas, Willian Bucker Moraes, Marlene Evangelista Vieira and Almy Junior Cordeiro de Carvalho
Agronomy 2026, 16(2), 153; https://doi.org/10.3390/agronomy16020153 - 7 Jan 2026
Viewed by 171
Abstract
This study evaluated the effects of nitrogen fertilization and different types of planting material on the yield and fruit quality of pineapple (Ananas comosus var. comosus) cv. Smooth Cayenne under the edaphoclimatic conditions of the Northern region of Rio de Janeiro [...] Read more.
This study evaluated the effects of nitrogen fertilization and different types of planting material on the yield and fruit quality of pineapple (Ananas comosus var. comosus) cv. Smooth Cayenne under the edaphoclimatic conditions of the Northern region of Rio de Janeiro State, Brazil. The experiment was conducted in a randomized block design, arranged in a factorial scheme with four nitrogen rates, six types of planting material, and two harvest seasons (winter and summer). Based on the results, it can be inferred that slips provided higher yields and heavier fruits, whereas plants derived from crowns and suckers showed lower productivity. Increasing nitrogen rates promoted greater fruit mass and length, higher pulp percentage, and increased production of vegetative propagules. Fruits harvested in the summer showed higher soluble solids content (15.5 °Brix), greater pulp and juice percentages, and lower titratable acidity, which are desirable characteristics for fresh consumption. Despite the seasonal differences, fruit mass ranging from 1.5 to 2.0 kg met commercial standards for both processing and domestic markets. The soluble solids/titratable acidity ratio (15.8) was below the ideal range for fresh consumption. The combination of appropriate planting material and nitrogen fertilization contributes to higher production efficiency, cost reduction, and improved fruit quality. Full article
(This article belongs to the Section Horticultural and Floricultural Crops)
Show Figures

Figure 1

15 pages, 2260 KB  
Article
Molecular Association Between Short Linear Maltodextrin and Ferulic Acid and the Exploration of Its Applicability
by Shigesaburo Ogawa, Daisuke Sugitani, Minenosuke Matsutani, Mizuho Takayashiki and Atsushi Kawano
Polymers 2026, 18(2), 166; https://doi.org/10.3390/polym18020166 - 7 Jan 2026
Viewed by 176
Abstract
Short linear maltodextrin (SLMD) mixtures, which are modified from starch, comprise approximately 10 linear glucose molecules. In this study, we explored the noncovalent molecular association of SLMD with ferulic acid (FA) in aqueous and solid systems, as well as its applicability to water-in-oil [...] Read more.
Short linear maltodextrin (SLMD) mixtures, which are modified from starch, comprise approximately 10 linear glucose molecules. In this study, we explored the noncovalent molecular association of SLMD with ferulic acid (FA) in aqueous and solid systems, as well as its applicability to water-in-oil (W/O) emulsion systems. Results showed that SLMD interacts with FA at a 1:1 molar ratio with an average equilibrium constant of 13.3 M−1 in pure water. Changes in ellipticity in the involved circular dichroism absorption spectrum and nuclear magnetic resonance spectroscopy revealed that multipoint direct interactions exist between SLMD and FA suggesting complex formation through inclusion. Complexation does not impede the radical scavenging ability of FA; instead, there is an additive effect with a slight contribution from SLMD. SLMD crystals with a high FA content were obtained for B-type amylose. However, no strong interaction between the solid forms of SLMD and FA was recognized. For both SLMD aq. and W/O emulsions with different FA concentrations, the UV protection effect increased due to the solubility enhancement of FA by SLMD. Overall, this study demonstrates the ability and potential importance of SLMD to associate with functional components in water and solid systems and the applicability to emulsified systems. Full article
Show Figures

Figure 1

18 pages, 3996 KB  
Article
Combined Process of Chlorination Roasting and Acid Leaching of Lead and Silver from Lead Cake
by Biserka Lucheva, Peter Iliev and Nadezhda Kazakova
Materials 2026, 19(1), 170; https://doi.org/10.3390/ma19010170 - 2 Jan 2026
Viewed by 219
Abstract
This study evaluates an integrated approach for recovering lead and silver from lead cake through chlorination roasting followed by acid leaching. The lead cake originates from sulfuric acid leaching of zinc ferrite residues obtained during the hydrometallurgical processing of zinc calcine. The effects [...] Read more.
This study evaluates an integrated approach for recovering lead and silver from lead cake through chlorination roasting followed by acid leaching. The lead cake originates from sulfuric acid leaching of zinc ferrite residues obtained during the hydrometallurgical processing of zinc calcine. The effects of roasting temperature, lead cake-to-NaCl mass ratio, and roasting duration on metal recovery were systematically examined to determine optimal process conditions. Based on the experimental results, roasting at 550 °C for 1.5 h with a lead cake-to-NaCl mass ratio of 1:3, followed by leaching in 1 M HCl, was selected as a representative and sufficiently effective condition for the combined process. Under these conditions, nearly complete dissolution of Pb and Ag was achieved, reducing their contents in the final solid residue to 0.90% and 0.0027%, respectively. Compared to direct chloride leaching, the combined process provided higher extraction efficiencies (Pb 98.67%, Ag 98.09%) and a lower final residue mass (34% vs. 45%). The roasting step enables the solid-state conversion of PbSO4 into highly soluble chloride phases (PbCl2 and Pb(OH)Cl), while ZnFe2O4, Fe2O3 and SiO2 remain stable and form the inert matrix of the residue. Acid leaching at a lower solid-to-liquid ratio (1:10) ensures near-complete dissolution of Pb and Ag, whereas aqueous leaching at a high ratio (1:100) results in incomplete Pb removal. The compliance leaching test (EN 12457-2) confirmed that the residue produced after the optimized two-step treatment meets the EU criteria for inert waste. Overall, the proposed combined process enhances Pb and Ag recovery, minimizes environmental risk, and offers a technically robust and sustainable route for treating lead-containing industrial residues. Full article
(This article belongs to the Section Metals and Alloys)
Show Figures

Graphical abstract

37 pages, 4734 KB  
Review
Leaching of Rhenium from Secondary Resources: A Review of Advances, Challenges, and Process Optimisation
by Ignacio Castillo, Mauricio Mura, Edelmira Gálvez, Felipe M. Galleguillos-Madrid, Eleazar Salinas-Rodríguez, Jonathan Castillo, Williams Leiva, Alvaro Soliz, Sandra Gallegos and Norman Toro
Minerals 2026, 16(1), 51; https://doi.org/10.3390/min16010051 - 31 Dec 2025
Viewed by 215
Abstract
Rhenium is one of the rarest and most strategically important metals, indispensable in high-temperature superalloys and platinum–rhenium catalysts used across the aerospace and petrochemical industries. Owing to its limited primary reserves, recovering rhenium from secondary sources, such as spent catalysts, superalloy residues, and [...] Read more.
Rhenium is one of the rarest and most strategically important metals, indispensable in high-temperature superalloys and platinum–rhenium catalysts used across the aerospace and petrochemical industries. Owing to its limited primary reserves, recovering rhenium from secondary sources, such as spent catalysts, superalloy residues, and metallurgical dusts, has become vital to ensuring supply security. This review examines technological developments between 1998 and 2025, focusing on how operational parameters, including temperature, leaching time, reagent concentration, and solid-to-liquid ratio, govern dissolution kinetics and overall process efficiency. Comparative evaluation of hydrometallurgical, alkaline, and hybrid processes indicates that modern systems can achieve recovery rates exceeding 98% through selective oxidation, alkaline activation, or combined pyro and hydrometallurgical mechanisms. Acid–chlorine leaching facilitates rapid, low-temperature dissolution; alkaline sintering stabilises rhenium as soluble perrhenates; and hybrid smelting routes enable the concurrent separation of rhenium and osmium. Sustainable aqueous systems employing nitric and ammonium media have also demonstrated near-complete recovery at ambient temperature under closed-loop recycling conditions. Collectively, these findings highlight a technological transition from energy-intensive, acid-based pathways towards low-impact, recyclable, and digitally optimised hydrometallurgical processes. The integration of selective oxidants, phase engineering, circular reagent management, and artificial intelligence-assisted modelling is defining the next generation of rhenium recovery, combining high extraction yields with reduced environmental impact and alignment with global sustainability goals. Full article
Show Figures

Figure 1

16 pages, 1370 KB  
Article
Optimization of Ultrasonic Enzyme-Assisted Extraction for the Recovery of Phenolic Compounds and Soluble Solids from Apple Pomace
by Violeta Nour
Foods 2026, 15(1), 98; https://doi.org/10.3390/foods15010098 - 29 Dec 2025
Viewed by 187
Abstract
Apple pomace is a significant by-product of the juice processing industry and a rich source of bioactive compounds; however, its potential as a valuable resource is currently largely untapped. In this work, the ultrasound–enzyme-assisted extraction (UEAE) was evaluated as an alternative method for [...] Read more.
Apple pomace is a significant by-product of the juice processing industry and a rich source of bioactive compounds; however, its potential as a valuable resource is currently largely untapped. In this work, the ultrasound–enzyme-assisted extraction (UEAE) was evaluated as an alternative method for the extraction of phenolic compounds and soluble solids from apple pomace. For this purpose, an optimization study was carried out using a Box–Behnken factorial design combined with the response surface methodology to assess the influence of enzyme/substrate ratio (0–10% v/w), extraction time (1–5 h) and temperature (25–55 °C) on three response variables: total phenolic content, DPPH radical scavenging activity and soluble solids content of the extracts. In addition, the phenolic profile of the extracts was also investigated. According to the model, DPPH radical scavenging activity will record the maximum value (0.69 mmol Trolox/L) for a 10% enzyme/substrate ratio, at 42 °C and 1 h extraction time. Extraction with an enzyme/substrate ratio of 8.5% at 41 °C for 1 h gave the highest retrieval of soluble solids content (4.1%) in the extracts. Based on HPLC results, chlorogenic acid, caffeic acid, rutin, and epicatechin were the predominant polyphenols in the extracts. The results confirmed the great potential of apple pomace as an economical source of bioactive compounds, and UEAE enhanced the recovery of phenolic compounds and soluble solids from this underutilized by-product. Full article
Show Figures

Figure 1

23 pages, 1264 KB  
Article
Fermented Kiwifruit By-Product as Experimental Biostimulant for Soilless Mini-Plum Tomato Cultivation
by Anna Agosti, Alessia Levante, Jasmine Hadj Saadoun, Samreen Nazeer, Lorenzo Del Vecchio, Leandra Leto, Massimiliano Rinaldi, Rohini Dhenge, Martina Cirlini, Camilla Lazzi and Benedetta Chiancone
Plants 2026, 15(1), 82; https://doi.org/10.3390/plants15010082 - 26 Dec 2025
Viewed by 245
Abstract
Biostimulants boost plant growth, productivity, and nutrient retention, and can be produced from agri-food waste via microbial fermentation. In this study, undersized and unsold kiwifruits were fermented with Lactiplantibacillus plantarum to produce a fermented kiwifruit-based biostimulant (FKB). FKB was applied to soilless tomato [...] Read more.
Biostimulants boost plant growth, productivity, and nutrient retention, and can be produced from agri-food waste via microbial fermentation. In this study, undersized and unsold kiwifruits were fermented with Lactiplantibacillus plantarum to produce a fermented kiwifruit-based biostimulant (FKB). FKB was applied to soilless tomato plants (cv. Solarino) at two concentrations (50 and 100 mL L−1) at the root level, every two weeks throughout the crop cycle. Fruits were analyzed for technological and chemical parameters, including color, texture, total soluble solids, titratable acidity, sugar/acid ratio, pH, electrical conductivity, total polyphenol content, antioxidant activity, and lycopene concentration. Additionally, metataxonomic analysis characterized the substrate microbial community at the beginning and the end of cultivation. Overall, the results indicate a dose-dependent effect of FKB on fruit quality parameters, with the highest concentration showing the most pronounced effects, specifically for the fruit firmness (8.02 N for FKB at 100 mL L−1 vs. 7.25 N for the Control). Moreover, both tested concentrations were associated with increased antioxidant activity (on average +28%), and lycopene content (on average +57%) compared with the Control fruits. While overall microbial diversity remained largely unchanged, the relative abundance of bacterial taxa associated with nutrient cycling and plant–microbe interactions was modulated by the biostimulant, indicating subtle but potentially functionally relevant shifts in the rhizosphere microbiota. These findings suggest that fermented kiwifruit biomass can serve as an effective biostimulant, improving both fruit quality and the functional structure of the rhizosphere microbial community in soilless tomato cultivation. Full article
Show Figures

Graphical abstract

17 pages, 3225 KB  
Article
Screening of Lactic Acid Bacteria and RSM-Based Optimization for Enhancing γ-Aminobutyric Acid (GABA) Accumulation in Orange Juice
by Shufeng Yin, Yiyao Wang, RuiXue Zhao, Ning Zhao, Hao Liu, Yining Tang, Ningbo Qin, Yiwei Dai and Xinping Lin
Foods 2026, 15(1), 71; https://doi.org/10.3390/foods15010071 - 25 Dec 2025
Viewed by 383
Abstract
Inoculated fermentation can enhance the flavor, nutrition, and functionality of juice. The lactic acid bacteria (LAB) are commonly used as starter cultures. This study screened LAB for orange juice fermentation and optimized fermentation factors using response surface methodology (RSM) to improve GABA content [...] Read more.
Inoculated fermentation can enhance the flavor, nutrition, and functionality of juice. The lactic acid bacteria (LAB) are commonly used as starter cultures. This study screened LAB for orange juice fermentation and optimized fermentation factors using response surface methodology (RSM) to improve GABA content in orange juice. A total of 52 LAB strains were screened, and Lacticaseibacillus paracasei ZY (Lcb. paracasei ZY) and Lacticaseibacillus rhamnosus SN12 (Lcb. rhamnosus SN12) presented higher GABA yields and adaptability to substrates. The optimized fermentation factors for GABA enhancement in orange juice were as follows: initial pH of 5.5, fermentation temperature of 37 °C, soluble solids content of 12.0 °Bx, inoculum ratio of Lcb. paracasei ZY to Lcb. rhamnosus SN12 as 1:1, inoculum size of 6 Log CFU/mL, and fermentation time of 96 h. Under these optimized conditions, the GABA content reached 0.89 g/L, representing a 39.06% increase compared to uninoculated orange juice. This indicates that RSM-based optimization is conducive to increasing GABA content in orange juice and provides a scientific basis for the development of GABA-enriched functional fermented juices. Full article
(This article belongs to the Special Issue Food Microorganism Contribution to Fermented Foods)
Show Figures

Graphical abstract

16 pages, 2807 KB  
Article
Crystallographic Modification of Rosuvastatin Calcium: Formulation, Characterization and Pharmacokinetic Evaluation for Enhanced Dissolution, Stability and Bioavailability
by Deepak Kulkarni and Sanjay Pekamwar
Sci. Pharm. 2026, 94(1), 1; https://doi.org/10.3390/scipharm94010001 - 19 Dec 2025
Viewed by 368
Abstract
Rosuvastatin calcium is a promising lipid-lowering agent and the drug of choice in hyperlipidemia. Conventional solid oral delivery of rosuvastatin is limited by its poor solubility and ultimately poor bioavailability. An attempt was made to fabricate the cocrystals of RSC for enhancing solubility [...] Read more.
Rosuvastatin calcium is a promising lipid-lowering agent and the drug of choice in hyperlipidemia. Conventional solid oral delivery of rosuvastatin is limited by its poor solubility and ultimately poor bioavailability. An attempt was made to fabricate the cocrystals of RSC for enhancing solubility and bioavailability. Cocrystals were prepared by a microwave synthesiser-assisted solvent evaporation technique with multiple cocrystal formers. Rosuvastatin-Ascorbic acid (RSC-AA) cocrystals showed the highest solubility (~5-fold increased) amongst all twenty drug-coformer combination (DCC). RSC-AA cocrystals (1:1 ratio) were further characterized by various analytical techniques like FTIR, DSC and XRD to confirm the formation of cocrystals. RSC-AA cocrystals also showed improved flow properties and compressibility in comparison with pure drug, and it was demonstrated using the SeDeM diagram. RSC-AA cocrystals were further formulated into an immediate-release tablet by implementing experimental optimization. Comparative dissolution study of the cocrystal and pure drug tablet revealed improved dissolution after cocrystallization. RSC-AA cocrystal tablet showed the % drug release of 95.61 ± 3.94 while RSC pure drug showed the drug release of 67.83 ± 3.29. In vivo pharmacokinetic analysis showed significant improvement in systemic availability and cumulative absorption of the drug. The peak plasma concentration (Cmax) for RSC pure drug was 13.924 ± 0.477 μg/mL, while RSC-AA cocrystals showed a peak plasma concentration of 22.464 ± 0.484 μg/mL. Area Under Curve (AUC) of RSC-AA cocrystal was also significantly greater compared to the pure drug. In the stability study analysis, the shelf life was calculated from a graphical method and was found to be around 34.58 months for RSC-AA cocrystal tablets and 19.87 months for RSC pure drug tablets, which indicates improved stability with cocrystallization. Overall, the cocrystallization resulted in significant improvement in dissolution and solubility of RSC. Full article
Show Figures

Figure 1

20 pages, 4537 KB  
Article
Developmental Stage-Specific Modulation of Sugar–Acid Metabolism in ‘Fengtang’ Plum as Revealed by UPLC-MS/MS-Based Metabolomics
by Liangjie Ba, Chenglin Luo, Xiaogang Wang, Sen Cao, Jianye Chen and Donglan Luo
Agronomy 2025, 15(12), 2846; https://doi.org/10.3390/agronomy15122846 - 11 Dec 2025
Viewed by 479
Abstract
‘Fengtang’ plum, a specialty fruit variety from Guizhou Province, is characterized by its high total soluble solids (TSS) and well-balanced sugar–acid ratio. In this study, widely targeted metabolomics (UPLC-MS/MS) combined with multivariate statistical analysis was employed to systematically monitor dynamic changes in sugar–acid [...] Read more.
‘Fengtang’ plum, a specialty fruit variety from Guizhou Province, is characterized by its high total soluble solids (TSS) and well-balanced sugar–acid ratio. In this study, widely targeted metabolomics (UPLC-MS/MS) combined with multivariate statistical analysis was employed to systematically monitor dynamic changes in sugar–acid metabolism across three critical developmental stages of the fruit: pre-veraison stage (PR), veraison stage (VR), and full veraison stage (FR). The aim was to elucidate the intrinsic mechanisms underlying high sugar accumulation. The results indicated that TSS content increased significantly during fruit maturation, reaching up to 17%, while titratable acid (TA) content continuously decreased. Consequently, the sugar–acid ratio rose substantially from 21.5 at the early stage to 43.8. A comprehensive metabolomic analysis led to the identification of 2003 metabolites, with notable emphasis on phenolic acids, amino acid derivatives, sugars, and other major classes. Key metabolic pathways from the KEGG database were also examined. Enrichment analysis of these pathways revealed that central metabolic routes—including fructose and mannose metabolism, galactose metabolism, and the tricarboxylic acid (TCA) cycle—played crucial roles in the dynamic accumulation of sugar–acid components. Notably, oligosaccharides such as cottonseed sugar and pine trisaccharide were observed to accumulate significantly during fruit ripening. These findings clarify the metabolic foundation and mechanisms contributing to the high sugar quality of ‘Fengtang’ plum, thereby providing a theoretical basis for precise fruit quality regulation and the optimization of post-harvest preservation strategies. Full article
(This article belongs to the Section Horticultural and Floricultural Crops)
Show Figures

Figure 1

19 pages, 4988 KB  
Essay
Utilizing Phosphate Tailing-Based Compound Selenium Activator to Enhance Selenium Absorption and Fruit Quality in Citrus: Resource Utilization Strategy for Sustainable Agriculture
by Xiangmei Zhao, Zhizong Liu, Liu Gao, Yonglin Wu, Li Bao and Naiming Zhang
Sustainability 2025, 17(24), 11094; https://doi.org/10.3390/su172411094 - 11 Dec 2025
Viewed by 246
Abstract
To address the contradiction between the widespread prevalence of selenium deficiency and the growing demand for selenium-enriched fruits, this study utilized phosphate tailings (industrial solid waste), wood vinegar (a by-product of forestry processing), biochemical fulvic acid, and alginic acid (renewable biomass resources) to [...] Read more.
To address the contradiction between the widespread prevalence of selenium deficiency and the growing demand for selenium-enriched fruits, this study utilized phosphate tailings (industrial solid waste), wood vinegar (a by-product of forestry processing), biochemical fulvic acid, and alginic acid (renewable biomass resources) to construct an organic–inorganic composite soil selenium activator. This formulation enhances the mobilization of inherent selenium in the soil without relying on exogenous selenium supplementation, thereby improving selenium bioavailability while mitigating the environmental pollution and resource depletion associated with external selenium inputs. Through field experiments, we systematically evaluated the influence of varying activator dosages on soil physicochemical properties, available selenium content, selenium distribution in different citrus organs, and fruit quality. The results demonstrated that the application of the compound activator at 600 g/plant significantly increased (p < 0.05) soil available selenium and fruit selenium content by 21.26% and 21.06%, respectively. During the fruit expansion stage of Sugar Orange, soil available selenium was elevated by 21.8%, which corresponded to a 21.09% increase in fruit selenium content. Regarding fruit quality parameters, Sugar Orange exhibited increases in soluble solids (35.8%), citric acid (20.3%), solid-to-acid ratio (77.8%), and selenium content (223.3%). In Rock Sugar Orange, significant enhancements were observed in soluble solids (46.1%), vitamin C (45.3%), total soluble sugars (73.4%), solid-to-acid ratio (156.6%), and selenium content (69.7%). Structural equation modeling revealed that soil available selenium, soil properties, and selenium content in citrus organs collectively exerted positive regulatory effects on fruit quality. Specifically, juice selenium content showed significant positive correlations with fruit shape index, individual fruit weight, soluble solids content, and solid-to-acid ratio. This strategy achieves the synergistic reuse of industrial solid waste and agricultural biomass resources, offering a green and sustainable pathway to enhance selenium content and quality in citrus fruits. Full article
(This article belongs to the Special Issue Sustainability and Resilience in Agricultural Systems)
Show Figures

Figure 1

15 pages, 1808 KB  
Article
Recovery of Lithium and Cobalt from Spent Lithium-Ion Batteries Using a Deep Eutectic Solvent Based on Choline Chloride and Oxalic Acid (Oxaline)
by Jessica M. Guamán-Gualancañay, Carlos F. Aragón-Tobar, Katherine Moreno, José-Luis Palacios and Diana Endara
Molecules 2025, 30(24), 4690; https://doi.org/10.3390/molecules30244690 - 7 Dec 2025
Viewed by 415
Abstract
The growing consumption of lithium-ion batteries (LIBs) in electronic devices and electric vehicles has led to a significant increase in waste containing valuable metals such as lithium and cobalt. Recovering these metals is essential to reducing dependence on primary sources and minimizing environmental [...] Read more.
The growing consumption of lithium-ion batteries (LIBs) in electronic devices and electric vehicles has led to a significant increase in waste containing valuable metals such as lithium and cobalt. Recovering these metals is essential to reducing dependence on primary sources and minimizing environmental impact. In this study, the leaching of the cathode active material from discarded LIBs was evaluated using oxaline, a deep eutectic solvent (DES) composed of oxalic acid and choline chloride in a 1:1 molar ratio. The process began with the collection, discharge, washing, drying, and dismantling of the LIBs, followed by the separation of their components. Subsequently, the cathode active material was characterized, revealing a primary composition of cobalt (54.5%) and lithium (6.5%), with the presence of LiCoO2 confirmed by XRD analysis. Leaching experiments were conducted to evaluate the effects of temperature, time, and solid percentage, demonstrating that oxaline is effective for the selective leaching of lithium and cobalt. Under optimal conditions (90 °C, 1–2 wt.% cathode active material, 400 rpm), lithium underwent complete dissolution within the first hour, while cobalt achieved complete leaching by 4 h. Both metals were recovered as oxalates and separated based on differences in solubility. Oxaline proves to be an efficient and environmentally friendly alternative for the selective recovery of lithium and cobalt from LIB waste, supporting a circular economy in the management of critical metals. Full article
Show Figures

Figure 1

24 pages, 5834 KB  
Article
Multi-Omics Elucidation of Flavor Characteristics in Compound Fermented Beverages Based on Flavoromics and Metabolomics
by Xiaolong Li, Jun Ma, Yannan Chu, Hui Li, Yin Zhang, Abo Li and Yonghua Jia
Foods 2025, 14(23), 4119; https://doi.org/10.3390/foods14234119 - 1 Dec 2025
Viewed by 644
Abstract
To characterize the key odorants and elucidate the flavor profiles of compound fermented beverages after fermentation, single-compound fermented beverages (GW, AW) and a compound fermented beverage (CW) were prepared using Italian Riesling grapes and SirPrize apples as raw materials. The flavor and metabolite [...] Read more.
To characterize the key odorants and elucidate the flavor profiles of compound fermented beverages after fermentation, single-compound fermented beverages (GW, AW) and a compound fermented beverage (CW) were prepared using Italian Riesling grapes and SirPrize apples as raw materials. The flavor and metabolite profiles were systematically analyzed by integrating flavoromics (comprehensive two-dimensional gas chromatography–time-of-flight mass spectrometry, GC × GC–TOF MS) and metabolomics (LC–MS/MS). The results demonstrated that CW exhibited the most favorable acid/reducing sugars (2.18), imparting a drier taste and superior stability. Compounds with relative odor activity values (rOAV) greater than 1—including 3-methyl-1-butyl acetate, ethyl hexanoate, ethyl butanoate, and ethyl octanoate—collectively contributed prominent fruity, floral, and sweet aromas to all three wine types. Ethyl decanoate provided an additional distinctive traditional fruity note specifically to AW, while 1-octen-3-ol contributed a mushroom-like aroma to both GW and CW. Moreover, 3-methylbutanal, 4-ethyl-2-methoxyphenol, and ethyl 3-methylbutanoate added additional significant aroma contributions to CW, imparting floral, clove-like, and fruity notes, respectively. Notably, ethyl hexanoate (fruity aroma) exhibited a remarkably high rOAV of 27.43 in CW, significantly surpassing its levels in the single-substrate fermentations. Lipid metabolism and the phenylpropanoid pathway were significantly activated in CW, facilitating the coordinated synthesis of esters and phenolic compounds. Sensory attribute network analysis further confirmed that CW possessed more pronounced “sweet”, “fruity”, and “floral” characteristics. Correlation analysis revealed significant relationships between volatile organic compounds (VOCs) and total soluble solids (TS), titratable acidity (TA), the TA/TS ratio, and metabolite levels, underscoring the close connections among physicochemical properties, precursor/intermediate metabolites, and flavor formation. Comprehensive analysis of non-volatile metabolites and flavor-associated VOCs revealed variety-specific characteristics and compounding effects, providing valuable insights for enhancing the quality of compound fermented beverages. Full article
(This article belongs to the Section Drinks and Liquid Nutrition)
Show Figures

Figure 1

14 pages, 2650 KB  
Article
Combined Experimental and Computational Approaches for Ternary Solid Dispersions to Enhance the Oral Bioavailability of Penfluridol
by Masoud Mamani, Gyu Lin Kim, Su Min Kil and Hyo-Kyung Han
Pharmaceutics 2025, 17(12), 1546; https://doi.org/10.3390/pharmaceutics17121546 - 30 Nov 2025
Viewed by 582
Abstract
Background: Penfluridol is a long-acting oral antipsychotic used for the treatment of schizophrenia. Although the prolonged half-life of penfluridol allows once-weekly dosing, improving patient compliance, its therapeutic potential is limited by low aqueous solubility and poor oral absorption. This study aimed to enhance [...] Read more.
Background: Penfluridol is a long-acting oral antipsychotic used for the treatment of schizophrenia. Although the prolonged half-life of penfluridol allows once-weekly dosing, improving patient compliance, its therapeutic potential is limited by low aqueous solubility and poor oral absorption. This study aimed to enhance the dissolution and oral bioavailability of penfluridol using solid dispersion technology. Methods: Ternary solid dispersions of penfluridol were prepared using a solvent evaporation method with various hydrophilic carriers. Following prescreening of polymeric carriers, the formulation composition was optimized using a random forest regression model. Structural characteristics and drug release behavior of the optimized formulation (PF-SD5) were evaluated through in vitro studies. Pharmacokinetic studies in rats were conducted to assess the effectiveness of PF-SD5 in enhancing oral bioavailability. Results: The optimized PF-SD5 formulation, comprising penfluridol, poloxamer 407, and polyvinylpyrrolidone K30 in a 1:3:1 ratio, exhibited a 117-fold increase in aqueous solubility compared with the pure drug. PF-SD5 achieved nearly complete drug release within 1 h across a pH range from acidic to neutral. Spectroscopic, microscopical, and thermal analyses confirmed that penfluridol transformed into an amorphous form and established molecular interactions within the carrier matrix. Pharmacokinetic studies in rats revealed approximately a 1.9-fold increase in oral bioavailability. Conclusions: Combining solid dispersion technology with machine learning-guided optimization provides an effective strategy for enhancing the oral absorption of poorly soluble penfluridol. Full article
Show Figures

Figure 1

Back to TopTop