Sign in to use this feature.

Years

Between: -

Subjects

remove_circle_outline
remove_circle_outline
remove_circle_outline
remove_circle_outline
remove_circle_outline

Journals

Article Types

Countries / Regions

Search Results (72)

Search Parameters:
Keywords = soluble epoxide hydrolase activity

Order results
Result details
Results per page
Select all
Export citation of selected articles as:
12 pages, 1058 KB  
Article
Indole Alkaloids and Phenolic Amides from the Rhizomes of Cimicifuga heracleifolia and Their In Vitro Soluble Epoxide Hydrolase (sEH) Inhibitory Activity
by Yanwen Sun, Chunyu Fan, Liyi Chen, Xueting Cui, Kouharu Otsuki, Mi Zhang, Feng Qiu, Liqin Ding and Wei Li
Plants 2025, 14(12), 1742; https://doi.org/10.3390/plants14121742 - 6 Jun 2025
Viewed by 635
Abstract
Cimicifuga heracleifolia is a perennial herb that belongs to the Ranunculaceae family. Its dried rhizomes are a source of Cimicifugae Rhizoma, a traditional Chinese medicine used for detoxification, the treatment of febrile diseases, and the prevention of pathogenic invasion. In the present study, [...] Read more.
Cimicifuga heracleifolia is a perennial herb that belongs to the Ranunculaceae family. Its dried rhizomes are a source of Cimicifugae Rhizoma, a traditional Chinese medicine used for detoxification, the treatment of febrile diseases, and the prevention of pathogenic invasion. In the present study, a phytochemical investigation of the rhizomes of C. heracleifolia resulted in the isolation of three indole alkaloids (13) and seven phenolic amides (410), including three new compounds, 6-methoxy-3-(3-methyl-1-oxo-2-butenyl) 1H indole (1), (3R)-1-(β-d-glucopyranosyl)-3-hydroxy-3-(3-methylbutyl)-2-oxindole (3), and N-acetyldopamine-3-O-β-d-allopyranoside (4). Their structures were elucidated using extensive physicochemical and spectroscopic analyses. All the isolated compounds were evaluated for their inhibitory activity against soluble epoxide hydrolase (sEH). The results showed that cimicifugamide A (6) exhibited the most potent inhibitory activity, with an IC₅₀ value of 8.74 μM, followed by cimicifugamide (7), demethoxycimicifugamide (8), and N-trans-feruloyl tyramine (10), with IC50 values ranging from 15.63 to 20.58 μM. Kinetic analysis revealed that compound 6 inhibited sEH through a non-competitive mechanism. Full article
(This article belongs to the Section Phytochemistry)
Show Figures

Figure 1

27 pages, 6210 KB  
Article
Synthetic Epoxyeicosatrienoic Acid Mimics Protect Mesangial Cells from Sorafenib-Induced Cell Death
by Marcus de Bourg, Abhishek Mishra, Rawand S. Mohammad, Christophe Morisseau, Bruce D. Hammock, John D. Imig and Anders Vik
Molecules 2025, 30(7), 1445; https://doi.org/10.3390/molecules30071445 - 24 Mar 2025
Cited by 1 | Viewed by 1133
Abstract
Nineteen potential mimics of 8,9-epoxyeicosatrienoic acid (8,9-EET), a natural bioactive oxylipin, were synthesized and evaluated for their ability to protect renal mesangial cells against sorafenib-induced cell death in a water-soluble tetrazolium (WST-8) assay. All compounds were also evaluated as inhibitors of soluble epoxide [...] Read more.
Nineteen potential mimics of 8,9-epoxyeicosatrienoic acid (8,9-EET), a natural bioactive oxylipin, were synthesized and evaluated for their ability to protect renal mesangial cells against sorafenib-induced cell death in a water-soluble tetrazolium (WST-8) assay. All compounds were also evaluated as inhibitors of soluble epoxide hydrolase. As expected of a potent pan-kinase inhibitor the drug sorafenib caused a significant decrease in cell viability in HRMCs. Several analogs containing amide and oxamide groups in place of the epoxide showed efficacy in reducing sorafenib induced human renal mesangial cell (HRMC) death. Oxamide containing analogs proved particularly effective, with the most promising analog increasing cell viability five-fold over control at 1 µM. These analogs, containing an oxamide group as a bioisostere for the epoxide in 8,9-EET, did not display significant inhibitory activity towards soluble epoxide hydrolase. This preliminary structure–activity relationship analysis reveals the oxamide group as a promising bioisostere for the epoxide in the 8,9-position of the fatty acid chain, producing protective effects against sorafenib-induced cell death in HRMCs. Collectively, these findings demonstrate the potential for using epoxide mimics and particularly oxamides as 8,9-EET analogs as bioisosteres of the corresponding epoxide in a therapeutic strategy against sorafenib-induced glomerular nephrotoxicity. Full article
(This article belongs to the Special Issue Synthesis of Bioactive Compounds, 3rd Edition)
Show Figures

Graphical abstract

25 pages, 12527 KB  
Article
A Soluble Epoxide Hydrolase Inhibitor Improves Cerebrovascular Dysfunction, Neuroinflammation, Amyloid Burden, and Cognitive Impairments in the hAPP/PS1 TgF344-AD Rat Model of Alzheimer’s Disease
by Xing Fang, Jane J. Border, Huawei Zhang, Lavanya Challagundla, Jasleen Kaur, Sung Hee Hwang, Bruce D. Hammock, Fan Fan and Richard J. Roman
Int. J. Mol. Sci. 2025, 26(6), 2433; https://doi.org/10.3390/ijms26062433 - 8 Mar 2025
Cited by 3 | Viewed by 2236
Abstract
Alzheimer’s disease (AD) is an increasing global healthcare crisis with few effective treatments. The accumulation of amyloid plaques and hyper-phosphorylated tau are thought to underlie the pathogenesis of AD. However, current studies have recognized a prominent role of cerebrovascular dysfunction in AD. We [...] Read more.
Alzheimer’s disease (AD) is an increasing global healthcare crisis with few effective treatments. The accumulation of amyloid plaques and hyper-phosphorylated tau are thought to underlie the pathogenesis of AD. However, current studies have recognized a prominent role of cerebrovascular dysfunction in AD. We recently reported that SNPs in soluble epoxide hydrolase (sEH) are linked to AD in human genetic studies and that long-term administration of an sEH inhibitor attenuated cerebral vascular and cognitive dysfunction in a rat model of AD. However, the mechanisms linking changes in cerebral vascular function and neuroprotective actions of sEH inhibitors in AD remain to be determined. This study investigated the effects of administration of an sEH inhibitor, 1-(1-Propanoylpiperidin-4-yl)-3-[4-(trifluoromethoxy)phenyl]urea (TPPU), on neurovascular coupling, blood–brain barrier (BBB) function, neuroinflammation, and cognitive dysfunction in an hAPP/PS1 TgF344-AD rat model of AD. We observed predominant β-amyloid accumulation in the brains of 9–10-month-old AD rats and that TPPU treatment for three months reduced amyloid burden. The functional hyperemic response to whisker stimulation was attenuated in AD rats, and TPPU normalized the response. The sEH inhibitor, TPPU, mitigated capillary rarefaction, BBB leakage, and activation of astrocytes and microglia in AD rats. TPPU increased the expression of pre- and post-synaptic proteins and reduced loss of hippocampal neurons and cognitive impairments in the AD rats, which was confirmed in a transcriptome and GO analysis. These results suggest that sEH inhibitors could be a novel therapeutic strategy for AD. Full article
Show Figures

Figure 1

16 pages, 3791 KB  
Article
Effects of 17,18-Epoxyeicosatetraenoic Acid and 19,20-Epoxydocosapentaenoic Acid Combined with Soluble Epoxide Hydrolase Inhibitor t-TUCB on Brown Adipogenesis and Mitochondrial Respiration
by Yang Yang, Haoying Wu, Xinyun Xu, Christophe Morisseau, Kin Sing Stephen Lee, Bruce D. Hammock, Jiangang Chen and Ling Zhao
Nutrients 2025, 17(6), 936; https://doi.org/10.3390/nu17060936 - 7 Mar 2025
Viewed by 1467
Abstract
Background/Objectives: 17,18-epoxyeicosatetraenoic acid (17,18-EEQ) and 19,20-epoxydocosapentaenoic acid (19,20-EDP) are bioactive metabolites produced from eicosapentaenoic acid (EPA) and docosahexaenoic acid (DHA), respectively, by CYP450s. These metabolites are unstable and quickly metabolized by auto-oxidation, esterification, β-oxidation, or hydrolysis by soluble epoxide hydrolase (sEH). 17,18-EEQ [...] Read more.
Background/Objectives: 17,18-epoxyeicosatetraenoic acid (17,18-EEQ) and 19,20-epoxydocosapentaenoic acid (19,20-EDP) are bioactive metabolites produced from eicosapentaenoic acid (EPA) and docosahexaenoic acid (DHA), respectively, by CYP450s. These metabolites are unstable and quickly metabolized by auto-oxidation, esterification, β-oxidation, or hydrolysis by soluble epoxide hydrolase (sEH). 17,18-EEQ or 19,20-EDP combined with a potent sEH inhibitor t-TUCB differentially activated brown adipose tissue in diet-induced obesity. In the current study, we investigated whether these n-3 epoxy fatty acids with t-TUCB directly promote brown adipocyte differentiation and their thermogenic capacities. Methods: Murine brown preadipocytes were treated with 17,18-EEQ or 19,20-EDP with t-TUCB during and post differentiation. Brown marker protein expression and mitochondrial respiration were measured. In addition, the activation of PPARγ and suppression of NFκB reporter by 17,18-EEQ or 19,20-EDP alone or with t-TUCB were assessed, and the roles of PPARγ were evaluated with PPARγ knockdown and GW9662. Results: 17,18-EEQ or 19,20-EDP with t-TUCB promoted brown adipogenesis and mitochondrial respiration and uncoupling. Moreover, with t-TUCB, both epoxides improved mitochondrial respiration, but only 17,18-EEQ with t-TUCB significantly increased mitochondrial uncoupling (and heat production) in the differentiated adipocytes. PPARγ may be required for the effects of epoxides on differentiation but not on the thermogenic function post differentiation. Conclusions: The results demonstrate that, with t-TUCB, 17,18-EEQ and 19,20-EDP promote brown adipogenesis and mitochondrial respiration and uncoupling. 17,18-EEQ also promotes thermogenesis in differentiated brown adipocytes. Together, the results suggest thermogenic potentials of tested n-3 epoxides, especially 17,18-EEQ with t-TUCB. Translational studies of these n-3 epoxides on human brown adipocyte differentiation and functions are warranted. Full article
(This article belongs to the Section Nutrition and Metabolism)
Show Figures

Figure 1

11 pages, 2379 KB  
Article
Intradomain Allosteric Regulation of Soluble Epoxide Hydrolase by Its Substrates
by Shin Matsumura, Ayano Shida, Moeno Tsuchii, Mika Wada, Jimmy Charneau, Motonori Tsuji, Keiji Hasumi and Eriko Suzuki
Int. J. Mol. Sci. 2024, 25(24), 13496; https://doi.org/10.3390/ijms252413496 - 17 Dec 2024
Viewed by 1694
Abstract
Soluble epoxide hydrolase (sEH) is a bifunctional enzyme with epoxide hydrolase activity in the C-terminal domain (C-EH) and lipid phosphate phosphatase activity in the N-terminal domain (N-phos). The C-EH hydrolyzes bioactive epoxy fatty acids such as epoxyeicosatrienoic acid (EET). The N-phos hydrolyzes lipid [...] Read more.
Soluble epoxide hydrolase (sEH) is a bifunctional enzyme with epoxide hydrolase activity in the C-terminal domain (C-EH) and lipid phosphate phosphatase activity in the N-terminal domain (N-phos). The C-EH hydrolyzes bioactive epoxy fatty acids such as epoxyeicosatrienoic acid (EET). The N-phos hydrolyzes lipid phosphomonesters, including the signaling molecules of lysophosphatidic acid (LPA). Here, we report that the C-EH and N-phos are reciprocally regulated by their respective substrates. Full-length sEH (sEH-FL) showed positive cooperativity toward the substrate for each domain. Similar cooperativity was found when truncated enzymes having only C- and N-terminal domains, sEH-C and sEH-N, respectively, were used, suggesting an intra-domain nature of the cooperativity. In addition, the N-phos substrate LPA inhibited C-EH activity in sEH-FL and sEH-C equally. Similarly, the C-EH substrate EET inhibited N-phos activity. Structural and kinetic data suggest the presence of allosteric sites in each domain of the sEH enzyme, which share the binding of LPA and EET. Thus, each of the two sEH activities is regulated by a substrate of its own and by that of the other domain. This mechanism may explain why sEH has evolved to have two different enzyme activities, which possibly allows sEH to balance the metabolism of bioactive lipids. Full article
(This article belongs to the Special Issue The Role of Enzymes in Metabolic Processes)
Show Figures

Figure 1

11 pages, 3096 KB  
Article
Soluble Epoxide Hydrolase Inhibition Attenuates Proteinuria by Alleviating Renal Inflammation and Podocyte Injuries in Adriamycin-Induced Nephropathy
by Qingyu Niu, Ziyu Guo, Yaoxian Liang and Li Zuo
Int. J. Mol. Sci. 2024, 25(19), 10629; https://doi.org/10.3390/ijms251910629 - 2 Oct 2024
Cited by 2 | Viewed by 2157
Abstract
Soluble epoxide hydrolase (sEH) has previously been demonstrated to play an important part in kidney diseases by hydrolyzing renoprotective epoxyeicosatrienoic acids to their less active diols. However, little is known about the role of sEH in primary glomerular diseases. Here, we investigated the [...] Read more.
Soluble epoxide hydrolase (sEH) has previously been demonstrated to play an important part in kidney diseases by hydrolyzing renoprotective epoxyeicosatrienoic acids to their less active diols. However, little is known about the role of sEH in primary glomerular diseases. Here, we investigated the effects of sEH inhibition on proteinuria in primary glomerular diseases and the underlying mechanism. The expression of sEH in the renal tubules of patients with minimal change disease, IgA nephropathy, and membranous nephropathy was significantly increased. Renal sEH expression level was positively correlated with the 24 h urine protein excretion and negatively correlated with serum albumin. In the animal model of Adriamycin (ADR)-induced nephropathy, renal sEH mRNA and protein expression increased significantly. Pharmacological inhibition of sEH with AUDA effectively reduced urine protein excretion and attenuated renal pathological damage. Furthermore, sEH inhibition markedly abrogated the abnormal expressions of nephrin and desmin in glomerular podocytes induced by ADR. More importantly, AUDA treatment inhibited renal NF-κB activation and reduced TNF-α levels in rats with ADR-induced nephropathy. Overall, our findings suggest that sEH inhibition ameliorates renal inflammation and podocyte injury, thus reducing proteinuria and exerting renoprotective effects. Targeting sEH might be a potential strategy for the treatment of proteinuria in primary glomerular diseases. Full article
Show Figures

Figure 1

14 pages, 3178 KB  
Article
Inhibition of Soluble Epoxide Hydrolase by Cembranoid Diterpenes from Soft Coral Sinularia maxima: Enzyme Kinetics, Molecular Docking, and Molecular Dynamics
by Nguyen Viet Phong, Nguyen Phuong Thao, Le Ba Vinh, Bui Thi Thuy Luyen, Chau Van Minh and Seo Young Yang
Mar. Drugs 2024, 22(8), 373; https://doi.org/10.3390/md22080373 - 17 Aug 2024
Cited by 5 | Viewed by 2133
Abstract
Soluble epoxide hydrolase (sEH) is essential for converting epoxy fatty acids, such as epoxyeicosatrienoic acids (EETs), into their dihydroxy forms. EETs play a crucial role in regulating blood pressure, mediating anti-inflammatory responses, and modulating pain, making sEH a key target for therapeutic interventions. [...] Read more.
Soluble epoxide hydrolase (sEH) is essential for converting epoxy fatty acids, such as epoxyeicosatrienoic acids (EETs), into their dihydroxy forms. EETs play a crucial role in regulating blood pressure, mediating anti-inflammatory responses, and modulating pain, making sEH a key target for therapeutic interventions. Current research is increasingly focused on identifying sEH inhibitors from natural sources, particularly marine environments, which are rich in bioactive compounds due to their unique metabolic adaptations. In this study, the sEH inhibitory activities of ten cembranoid diterpenes (110) isolated from the soft coral Sinularia maxima were evaluated. Among them, compounds 3 and 9 exhibited considerable sEH inhibition, with IC50 values of 70.68 μM and 78.83 μM, respectively. Enzyme kinetics analysis revealed that these two active compounds inhibit sEH through a non-competitive mode. Additionally, in silico approaches, including molecular docking and molecular dynamics simulations, confirmed their stability and interactions with sEH, highlighting their potential as natural therapeutic agents for managing cardiovascular and inflammatory diseases. Full article
(This article belongs to the Special Issue Marine Drug Discovery through Molecular Docking)
Show Figures

Figure 1

9 pages, 815 KB  
Article
Preclinical Evaluation of Soluble Epoxide Hydrolase Inhibitor AMHDU against Neuropathic Pain
by Denis Babkov, Natalya Eliseeva, Kristina Adzhienko, Viktoria Bagmetova, Dmitry Danilov, Cynthia B. McReynolds, Christophe Morisseau, Bruce D. Hammock and Vladimir Burmistrov
Int. J. Mol. Sci. 2024, 25(16), 8841; https://doi.org/10.3390/ijms25168841 - 14 Aug 2024
Cited by 3 | Viewed by 2224
Abstract
Inhibition of soluble epoxide hydrolase (sEH) is a promising therapeutic strategy for treating neuropathic pain. These inhibitors effectively reduce diabetic neuropathic pain and inflammation induced by Freund’s adjuvant which makes them a suitable alternative to traditional opioids. This study showcased the notable analgesic [...] Read more.
Inhibition of soluble epoxide hydrolase (sEH) is a promising therapeutic strategy for treating neuropathic pain. These inhibitors effectively reduce diabetic neuropathic pain and inflammation induced by Freund’s adjuvant which makes them a suitable alternative to traditional opioids. This study showcased the notable analgesic effects of compound AMHDU (1,1′-(hexane-1,6-diyl)bis(3-((adamantan-1-yl)methyl)urea)) in both inflammatory and diabetic neuropathy models. While lacking anti-inflammatory properties in a paw edema model, AMHDU is comparable to celecoxib as an analgesic in 30 mg/kg dose administrated by intraperitoneal injection. In a diabetic tactile allodynia model, AMHDU showed a prominent analgesic activity in 10 mg/kg intraperitoneal dose (p < 0.05). The effect is comparable to that of gabapentin, but without the risk of dependence due to a different mechanism of action. Low acute oral toxicity (>2000 mg/kg) and a high therapeutic index makes AMHDU a promising candidate for further structure optimization and preclinical evaluation. Full article
(This article belongs to the Special Issue Cyclic and Heterocyclic Compounds in Drug Synthesis and Delivery)
Show Figures

Graphical abstract

24 pages, 5411 KB  
Article
Essential Oils of Laurus nobilis L.: From Chemical Analysis to In Silico Investigation of Anti-Inflammatory Activity by Soluble Epoxide Hydrolase (sEH) Inhibition
by Francesca Fantasma, Vadym Samukha, Michela Aliberti, Ester Colarusso, Maria Giovanna Chini, Gabriella Saviano, Vincenzo De Felice, Gianluigi Lauro, Agostino Casapullo, Giuseppe Bifulco and Maria Iorizzi
Foods 2024, 13(14), 2282; https://doi.org/10.3390/foods13142282 - 20 Jul 2024
Cited by 7 | Viewed by 4238
Abstract
Laurus nobilis L. is commonly used in folk medicine in the form of infusion or decoction to treat gastrointestinal diseases and flatulence as a carminative, antiseptic, and anti-inflammatory agent. In this study, the essential oil (EO) composition of wild-grown L. nobilis L. leaves [...] Read more.
Laurus nobilis L. is commonly used in folk medicine in the form of infusion or decoction to treat gastrointestinal diseases and flatulence as a carminative, antiseptic, and anti-inflammatory agent. In this study, the essential oil (EO) composition of wild-grown L. nobilis L. leaves collected from seven different altitudinal locations in the Molise region and adjacent regions (Abruzzo and Campania) was investigated. EOs from the leaves were obtained by hydrodistillation and analyzed by GC-FID and GC/MS, and 78 compounds were identified. The major oil components were 1,8-cineol (43.52–31.31%), methyl-eugenol (14.96–4.07%), α-terpinyl acetate (13.00–8.51%), linalool (11.72–1.08%), sabinene (10.57–4.85%), α-pinene (7.41–3.61%), eugenol (4.12–1.97%), and terpinen-4-ol (2.33–1.25%). Chemometric techniques have been applied to compare the chemical composition. To shed light on the nutraceutical properties of the main hydrophobic secondary metabolites (≥1.0%) of laurel EOs, we assessed the in vitro antioxidant activities based on 2,2-diphenyl-1-picrylhydrazyl (DPPH•) radical scavenging activity and the reducing antioxidant power by using a ferric reducing power (FRAP) assay. Furthermore, we highlighted the anti-inflammatory effects of seven EOs able to interfere with the enzyme soluble epoxide hydrolase (sEH), a key enzyme in the arachidonic acid cascade, in concentrations ranging from 16.5 ± 4.3 to 8062.3 ± 580.9 mg/mL. Thanks to in silico studies, we investigated and rationalized the observed anti-inflammatory properties, ascribing the inhibitory activity toward the disclosed target to the most abundant volatile phytochemicals (≥1.0%) of seven EOs. Full article
(This article belongs to the Special Issue Bioactive Compounds in Food: From Molecule to Biological Function)
Show Figures

Graphical abstract

30 pages, 11339 KB  
Article
Evaluation of the Therapeutic Potential of Sulfonyl Urea Derivatives as Soluble Epoxide Hydrolase (sEH) Inhibitors
by Biswajit Kundu, Szabolcs Dvorácskó, Abhishek Basu, Lenny Pommerolle, Kyu Ah Kim, Casey M. Wood, Eve Gibbs, Madeline Behee, Nadya I. Tarasova, Resat Cinar and Malliga R. Iyer
Molecules 2024, 29(13), 3036; https://doi.org/10.3390/molecules29133036 - 26 Jun 2024
Cited by 2 | Viewed by 3044
Abstract
The inhibition of soluble epoxide hydrolase (sEH) can reduce the level of dihydroxyeicosatrienoic acids (DHETs) effectively maintaining endogenous epoxyeicosatrienoic acids (EETs) levels, resulting in the amelioration of inflammation and pain. Consequently, the development of sEH inhibitors has been a prominent research area for [...] Read more.
The inhibition of soluble epoxide hydrolase (sEH) can reduce the level of dihydroxyeicosatrienoic acids (DHETs) effectively maintaining endogenous epoxyeicosatrienoic acids (EETs) levels, resulting in the amelioration of inflammation and pain. Consequently, the development of sEH inhibitors has been a prominent research area for over two decades. In the present study, we synthesized and evaluated sulfonyl urea derivatives for their potential to inhibit sEH. These compounds underwent extensive in vitro investigation, revealing their potency against human and mouse sEH, with 4f showing the most promising sEH inhibitory potential. When subjected to lipopolysaccharide (LPS)-induced acute lung injury (ALI) in studies in mice, compound 4f manifested promising anti-inflammatory efficacy. We investigated the analgesic efficacy of sEH inhibitor 4f in a murine pain model of tail-flick reflex. These results validate the role of sEH inhibition in inflammatory diseases and pave the way for the rational design and optimization of sEH inhibitors based on a sulfonyl urea template. Full article
(This article belongs to the Section Medicinal Chemistry)
Show Figures

Graphical abstract

11 pages, 5808 KB  
Article
The Inhibition Activity of Natural Methoxyflavonoid from Inula britannica on Soluble Epoxide Hydrolase and NO Production in RAW264.7 Cells
by Jang Hoon Kim, Kyung-Sook Han, Eun-Song Lee, Yong-Goo Kim, Yong-Il Kim, Byoung Ok Cho and Ik Soo Lee
Int. J. Mol. Sci. 2024, 25(8), 4357; https://doi.org/10.3390/ijms25084357 - 15 Apr 2024
Cited by 4 | Viewed by 1834
Abstract
Soluble epoxide hydrolase (sEH) is an enzyme targeted for the treatment of inflammation and cardiovascular diseases. Activated inflammatory cells produce nitric oxide (NO), which induces oxidative stress and exacerbates inflammation. We identify an inhibitor able to suppress sEH and thus NO production. Five [...] Read more.
Soluble epoxide hydrolase (sEH) is an enzyme targeted for the treatment of inflammation and cardiovascular diseases. Activated inflammatory cells produce nitric oxide (NO), which induces oxidative stress and exacerbates inflammation. We identify an inhibitor able to suppress sEH and thus NO production. Five flavonoids 15 isolated from Inula britannica flowers were evaluated for their abilities to inhibit sEH with IC50 values of 12.1 ± 0.1 to 62.8 ± 1.8 µM and for their effects on enzyme kinetics. A simulation study using computational chemistry was conducted as well. Furthermore, five inhibitors (15) were confirmed to suppress NO levels at 10 µM. The results showed that flavonoids 15 exhibited inhibitory activity in all tests, with compound 3 exhibiting the most significant efficacy. Thus, in the development of anti-inflammatory inhibitors, compound 3 is a promising natural candidate. Full article
Show Figures

Figure 1

29 pages, 12923 KB  
Article
1,3-Dichloroadamantyl-Containing Ureas as Potential Triple Inhibitors of Soluble Epoxide Hydrolase, p38 MAPK and c-Raf
by Boris P. Gladkikh, Dmitry V. Danilov, Vladimir S. D’yachenko and Gennady M. Butov
Int. J. Mol. Sci. 2024, 25(1), 338; https://doi.org/10.3390/ijms25010338 - 26 Dec 2023
Cited by 3 | Viewed by 2148
Abstract
Soluble epoxide hydrolase (sEH) is an enzyme involved in the metabolism of bioactive lipid signaling molecules. sEH converts epoxyeicosatrienoic acids (EET) to virtually inactive dihydroxyeicosatrienoic acids (DHET). The first acids are “medicinal” molecules, the second increase the inflammatory infiltration of cells. Mitogen-activated protein [...] Read more.
Soluble epoxide hydrolase (sEH) is an enzyme involved in the metabolism of bioactive lipid signaling molecules. sEH converts epoxyeicosatrienoic acids (EET) to virtually inactive dihydroxyeicosatrienoic acids (DHET). The first acids are “medicinal” molecules, the second increase the inflammatory infiltration of cells. Mitogen-activated protein kinases (p38 MAPKs) are key protein kinases involved in the production of inflammatory mediators, including tumor necrosis factor-α (TNF-α) and cyclooxygenase-2 (COX-2). p38 MAPK signaling plays an important role in the regulation of cellular processes, especially inflammation. The proto-oncogenic serine/threonine protein kinase Raf (c-Raf) is a major component of the mitogen-activated protein kinase (MAPK) pathway: ERK1/2 signaling. Normal cellular Raf genes can also mutate and become oncogenes, overloading the activity of MEK1/2 and ERK1/2. The development of multitarget inhibitors is a promising strategy for the treatment of socially dangerous diseases. We synthesized 1,3-disubstituted ureas and diureas containing a dichloroadamantyl moiety. The results of computational methods show that soluble epoxide hydrolase inhibitors can act on two more targets in different signaling pathways of mitogen-activated protein kinases p38 MAPK and c-Raf. The two chlorine atoms in the adamantyl moiety may provide additional Cl-π interactions in the active site of human sEH. Molecular dynamics studies have shown that the stability of ligand–protein complexes largely depends on the “spacer effect.” The compound containing a bridge between the chloroadamantyl fragment and the ureide group forms more stable ligand–protein complexes with sEH and p38 MAPK, which indicates a better conformational ability of the molecule in the active sites of these targets. In turn, a compound containing two chlorine atoms forms a more stable complex with c-Raf, probably due to the presence of additional halogen bonds of chlorine atoms with amino acid residues. Full article
Show Figures

Figure 1

14 pages, 2194 KB  
Article
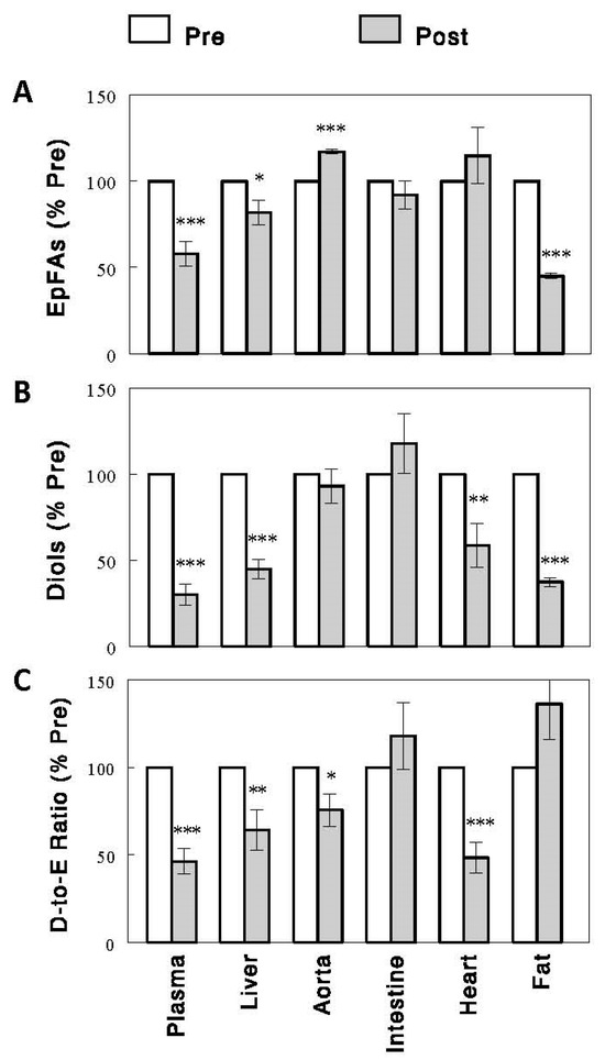
Determinants of Meal-Induced Changes in Circulating FFA Epoxides, Diols, and Diol-to-Epoxide Ratios as Indices of Soluble Epoxide Hydrolase Activity
by Young Taek Oh, Jun Yang, Darko Stefanovski, Bruce Hammock and Jang H. Youn
Int. J. Mol. Sci. 2023, 24(24), 17351; https://doi.org/10.3390/ijms242417351 - 11 Dec 2023
Viewed by 1426
Abstract
Soluble epoxide hydrolase (sEH) is an important enzyme for metabolic and cardiovascular health. sEH converts FFA epoxides (EpFAs), many of which are regulators of various cellular processes, to biologically less active diols. In human studies, diol (sEH product) to EpFA (sEH substrate) ratios [...] Read more.
Soluble epoxide hydrolase (sEH) is an important enzyme for metabolic and cardiovascular health. sEH converts FFA epoxides (EpFAs), many of which are regulators of various cellular processes, to biologically less active diols. In human studies, diol (sEH product) to EpFA (sEH substrate) ratios in plasma or serum have been used as indices of sEH activity. We previously showed these ratios profoundly decreased in rats during acute feeding, possibly reflecting decreases in tissue sEH activities. The present study was designed to test which tissue(s) these measurements in the blood represent and if factors other than sEH activity, such as renal excretion or dietary intake of EpFAs and diols, significantly alter plasma EpFAs, diols, and/or their ratios. The results show that postprandial changes in EpFAs and diols and their ratios in plasma were very similar to those observed in the liver but not in other tissues, suggesting that the liver is largely responsible for these changes in plasma levels. EpFAs and diols were excreted into the urine, but their levels were not significantly altered by feeding, suggesting that renal excretion of EpFAs and diols may not play a major role in postprandial changes in circulating EpFAs, diols, or their ratios. Diet intake had significant impacts on circulating EpFA and diol levels but not on diol-to-EpFA (D-to-E) ratios, suggesting that these ratios, reflecting sEH activities, may not be significantly affected by the availability of sEH substrates (i.e., EpFAs). In conclusion, changes in FFA D-to-E ratios in plasma may reflect those in the liver, which may in turn represent sEH activities in the liver, and they may not be significantly affected by renal excretion or the dietary intake of EpFAs and diols. Full article
(This article belongs to the Section Bioactives and Nutraceuticals)
Show Figures

Figure 1

11 pages, 1501 KB  
Article
Inhibitory Activity of Natural cis-Khellactone on Soluble Epoxide Hydrolase and Proinflammatory Cytokine Production in Lipopolysaccharides-Stimulated RAW264.7 Cells
by Jang Hoon Kim, Ji Hyeon Park, Sung Cheol Koo, Yun-Chan Huh, Mok Hur, Woo Tae Park, Youn-Ho Moon, Tae Il Kim and Byoung Ok Cho
Plants 2023, 12(20), 3656; https://doi.org/10.3390/plants12203656 - 23 Oct 2023
Cited by 1 | Viewed by 1875
Abstract
The pursuit of anti-inflammatory agents has led to intensive research on the inhibition of soluble epoxide hydrolase (sEH) and cytokine production using medicinal plants. In this study, we evaluated the efficacy of cis-khellactone, a compound isolated for the first time from the [...] Read more.
The pursuit of anti-inflammatory agents has led to intensive research on the inhibition of soluble epoxide hydrolase (sEH) and cytokine production using medicinal plants. In this study, we evaluated the efficacy of cis-khellactone, a compound isolated for the first time from the roots of Peucedanum japonicum. The compound was found to be a competitive inhibitor of sEH, exhibiting an IC50 value of 3.1 ± 2.5 µM and ki value of 3.5 µM. Molecular docking and dynamics simulations illustrated the binding pose of (−)cis-khellactone within the active site of sEH. The results suggest that binding of the inhibitor to the enzyme is largely dependent on the Trp336–Gln384 loop within the active site. Further, cis-khellactone was found to inhibit pro-inflammatory cytokines, including NO, iNOS, IL-1β, and IL-4. These findings affirm that cis-khellactone could serve as a natural therapeutic candidate for the treatment of inflammation. Full article
(This article belongs to the Special Issue Synthesis and Regulation of Active Compounds in Medicinal Plants)
Show Figures

Figure 1

22 pages, 4046 KB  
Article
In Silico Modeling and Structural Analysis of Soluble Epoxide Hydrolase Inhibitors for Enhanced Therapeutic Design
by Shuvam Sar, Soumya Mitra, Parthasarathi Panda, Subhash C. Mandal, Nilanjan Ghosh, Amit Kumar Halder and Maria Natalia D. S. Cordeiro
Molecules 2023, 28(17), 6379; https://doi.org/10.3390/molecules28176379 - 31 Aug 2023
Cited by 5 | Viewed by 2340
Abstract
Human soluble epoxide hydrolase (sEH), a dual-functioning homodimeric enzyme with hydrolase and phosphatase activities, is known for its pivotal role in the hydrolysis of epoxyeicosatrienoic acids. Inhibitors targeting sEH have shown promising potential in the treatment of various life-threatening diseases. In this study, [...] Read more.
Human soluble epoxide hydrolase (sEH), a dual-functioning homodimeric enzyme with hydrolase and phosphatase activities, is known for its pivotal role in the hydrolysis of epoxyeicosatrienoic acids. Inhibitors targeting sEH have shown promising potential in the treatment of various life-threatening diseases. In this study, we employed a range of in silico modeling approaches to investigate a diverse dataset of structurally distinct sEH inhibitors. Our primary aim was to develop predictive and validated models while gaining insights into the structural requirements necessary for achieving higher inhibitory potential. To accomplish this, we initially calculated molecular descriptors using nine different descriptor-calculating tools, coupled with stochastic and non-stochastic feature selection strategies, to identify the most statistically significant linear 2D-QSAR model. The resulting model highlighted the critical roles played by topological characteristics, 2D pharmacophore features, and specific physicochemical properties in enhancing inhibitory potential. In addition to conventional 2D-QSAR modeling, we implemented the Transformer-CNN methodology to develop QSAR models, enabling us to obtain structural interpretations based on the Layer-wise Relevance Propagation (LRP) algorithm. Moreover, a comprehensive 3D-QSAR analysis provided additional insights into the structural requirements of these compounds as potent sEH inhibitors. To validate the findings from the QSAR modeling studies, we performed molecular dynamics (MD) simulations using selected compounds from the dataset. The simulation results offered crucial insights into receptor–ligand interactions, supporting the predictions obtained from the QSAR models. Collectively, our work serves as an essential guideline for the rational design of novel sEH inhibitors with enhanced therapeutic potential. Importantly, all the in silico studies were performed using open-access tools to ensure reproducibility and accessibility. Full article
(This article belongs to the Special Issue In Silico Methods Applied in Drug and Pesticide Discovery)
Show Figures

Graphical abstract

Back to TopTop