Abstract
Nineteen potential mimics of 8,9-epoxyeicosatrienoic acid (8,9-EET), a natural bioactive oxylipin, were synthesized and evaluated for their ability to protect renal mesangial cells against sorafenib-induced cell death in a water-soluble tetrazolium (WST-8) assay. All compounds were also evaluated as inhibitors of soluble epoxide hydrolase. As expected of a potent pan-kinase inhibitor the drug sorafenib caused a significant decrease in cell viability in HRMCs. Several analogs containing amide and oxamide groups in place of the epoxide showed efficacy in reducing sorafenib induced human renal mesangial cell (HRMC) death. Oxamide containing analogs proved particularly effective, with the most promising analog increasing cell viability five-fold over control at 1 µM. These analogs, containing an oxamide group as a bioisostere for the epoxide in 8,9-EET, did not display significant inhibitory activity towards soluble epoxide hydrolase. This preliminary structure–activity relationship analysis reveals the oxamide group as a promising bioisostere for the epoxide in the 8,9-position of the fatty acid chain, producing protective effects against sorafenib-induced cell death in HRMCs. Collectively, these findings demonstrate the potential for using epoxide mimics and particularly oxamides as 8,9-EET analogs as bioisosteres of the corresponding epoxide in a therapeutic strategy against sorafenib-induced glomerular nephrotoxicity.
1. Introduction
Epoxyeicosatrienoic acids (EETs), metabolites derived from arachidonic acid through the action of cytochrome P450 (CYP) oxidase enzymes [1], play vital roles in cardiovascular and renal actions, particularly by influencing blood pressure regulation, sodium excretion, and inflammation control [2,3,4]. EETs exert vasodilatory effects that reduce renal vascular resistance, promoting proper kidney blood flow and alleviating hypertension [2,5,6]. A growing body of evidence indicates that lower plasma levels of EETs, frequently due to increased soluble epoxide hydrolase (sEH) activity, are linked with conditions such as hypertension, coronary artery disease, and endothelial dysfunction [5,6]. In disorders like renovascular hypertension and coronary artery disease, reduced EET levels may exacerbate disease progression, including hypertensive and diabetic nephropathy. Furthermore, polymorphisms in genes coding for enzymes involved in EET regulation, including CYP2C8, CYP2C9, CYP2J2, and EPHX2, are linked with altered risks of cardiovascular diseases [7]. Human studies suggest that inhibiting sEH could potentially protect against kidney injury and slow the progression of kidney diseases [8]. EETs play a protective role in preventing renal injury by inhibiting inflammatory pathways and reducing oxidative stress in kidney cells [9]. Targeting sEH, to increase EETs, for therapeutic intervention, appears promising, particularly for treating conditions such as diabetic nephropathy and drug-induced nephrotoxicity [8,10]. In addition, EETs have also demonstrated, via the use of sEH inhibitors [11], the ability to improve renal allograft dysfunction and cardiovascular alterations in kidney transplant recipients in vivo [12]. These findings indicate that strategies aimed at maintaining optimal EET levels by inhibiting sEH activity could offer therapeutic potential in treating cardiovascular and renal conditions [13]. However, usage of pharmaceutical inhibitors come with constraints.
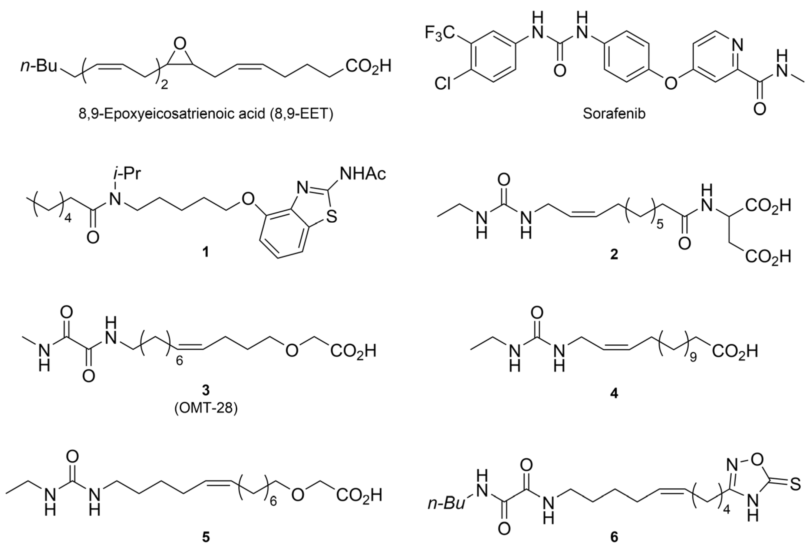
To overcome the limitations of handling inhibitors and metabolism by sEH of naturally occurring EETs, usage of analogs (also called mimics herein) to these oxylipins offer several advantages such as reduced susceptibility to enzymatic degradation [14], avoiding possible toxic metabolites of epoxy fatty acids (EpFAs) [15,16] and allowing for therapeutic effect where EpFA production is low, such as in kidney tissue [17]. Additionally, EpFA mimics can be utilized as probes to study the biological effects of EpFAs and possibly identify their putative target receptor(s) [18,19]. Research has shown that such analogs exhibit potent vasodilatory effects and help lower blood pressure. For instance, in hypertensive animal models, analogs like 1 and 2 (Figure 1) significantly reduced blood pressure in spontaneously hypertensive rats (SHRs) and angiotensin-II-induced hypertension models [20]. This development highlights the therapeutic potential of EET analogs in managing hypertension by preserving their beneficial vascular effects [21,22]. Structure–activity relationship activity studies into the cardioprotective effects and in vitro pharmacokinetic studies of 17,18-epoxy-5,8,11,14-eicosatetraenoic acid (17,18-EEQ) have led to the development of the 17,18-EEQ mimic OMT-28 (3) [23]. This mimic has shown a favorable toxicological and kinetic profile in phase I clinical trials and is currently in phase II clinical trials for patients with persistent atrial fibrillation [24].
Sorafenib (Figure 1) is a multi-kinase inhibitor with applications across challenging oncology cases, including hepatocellular carcinoma (HCC), renal cell carcinoma (RCC), and desmoid tumors. It works by inhibiting multiple signaling pathways that are essential for tumor growth and survival, primarily the Ras/MEK/ERK and PI3K/Akt/mTOR pathways. Additionally, sorafenib’s inhibition of VEGFR (vascular endothelial growth factor receptor) offers an anti-angiogenic effect, which is particularly beneficial for solid tumors [25]. However, this inhibition also leads to significant nephrotoxicity, resulting in glomerular injury and proteinuria, which pose major clinical challenges [26]. Inhibitors of VEGF and tyrosine kinases (TKIs), like sorafenib, causes a decrease in glomerular nephrin levels, and subsequent proteinurea [27]. In addition, renal inflammation is a contributing factor to the observed nephrotoxic effects of inhibitors of VEGF/TKI, causing several undesirable effects, such as acute tubular necrosis [28]. In this study, we aimed to investigate whether synthetic 8,9-EET analogs could help mitigate the nephrotoxic effects of sorafenib on glomerular mesangial cells, which are known to be sensitive to the presence of external 8,9-EET (Figure 1) in the medium [29].
Figure 1.
Structure of the endogenous 8,9-EET, sorafenib, and examples of some previously reported 14,15-EET and 17,18-EEQ mimics [14,24,30,31,32].
Figure 1.
Structure of the endogenous 8,9-EET, sorafenib, and examples of some previously reported 14,15-EET and 17,18-EEQ mimics [14,24,30,31,32].

2. Results and Discussion
2.1. Mimic Design
Previous studies have shown that EpFA mimics with fewer double bond than the endogenous EpFA are capable of retaining the activity (3, Figure 1 [31]). Placement of a double bond in a different position, however, can lead to antagonist-like activity (4 has an antagonistic effect, while 5 has agonist activity) [31,33]. In a structure–activity relationship study of 8,9-EET, where the effect of removing double bonds was studied, it was found that two double bonds were required to exert nephroprotective effect [34]. Omission of double bonds provide enhanced stability against metabolic transformations such as those by cytochrome P450 enzymes leading to allylic hydroxylation and epoxidation or those catalyzed by cyclooxygenases, which can lead to undesirable biologically active metabolites [35]. Bisallylic positions are also highly prone to autoxidation and should, thus, be avoided, if possible. In order to ameliorate stability against sEH, the epoxide group has successfully been substituted with more metabolically robust isosteres, such as amides (1), ureas (2, 4, 5), and oxamides (3, 6) while maintaining or even improving activity [14,31,33,36]. A plethora of isosteres for the carboxylate group in 14,15-EET have been explored (such as 6) [14]. Some examples of favorable substitutions turned out to be a tetrazole and alpha-oxo carboxylate (for example 5), which exhibited excellent activity, better metabolic stability and in the latter case better water solubility.
The focus of previous attempts at mimicking EpFAs have been targeted with 14,15-EET [14], 17,18-EEQ [30], as well as some for 19,20-EpDPA [37]. The studies discussed above have largely been aimed at the role of EpFAs as regulators of the cardiovascular system, not other desirable effects, such as their anti-inflammatory and antiangiogenic effects. Endogenous 8,9-EET has been shown to protect renal cells in vitro against nephrotoxicity caused by cisplatin [19]. Some 14,15-EET mimics have also demonstrated nephroprotective effects in vitro (e.g., 2 and 5) [19,32].
Inspired by previous studies of 14,15-EET and 17,18-EEQ mimics, a small library of potential 8,9-EET mimics was synthesized (Figure 2). The epoxide group in 8,9-EET was replaced with previously reported bioisosteres of the epoxide in EpFAs that would be stable towards sEH, such as urea (7a–f), oxamide (8a–e), and amide (9a–d, 10a–d). Urea analogs containing (Z)-alkenes in the 5,6- and 12,13-position from the carboxylic acid were designed, as well as their saturated counterparts were envisaged. For the fully saturated analogs (7a–b), the carbon chain length from the urea group towards the omega end included two homologs (10 and 11 carbon atoms, respectively). Homologation towards the omega end has previously been shown to have a minor effect on activity [36]. An alpha-oxo group was included in all urea analogs (7a–f) to improve water solubility, prevent beta-oxidation, and simplify their syntheses. Alpha-oxo carboxylates have previously shown to retain the activity of the parent molecule, while having better water solubility and metabolic stability [30]. Oxamide groups have also been shown to be excellent substitutions for epoxides in EpFAs. Herein, we included five mimics containing oxamides (8a–e). The length of the carbon chain from carboxylate to first nitrogen varied from six (8a–b, 8e) to seven (8c–d). Two homologs of the carbon chain towards the omega end were included for each of the oxamide analogs (8a vs. 8b, 8c vs. 8d). One analog also contained a (Z)-alkene in the allylic position towards the omega end (8e). The amides (9a–d, 10a–d), much like before, featured variations in chain length, both between carboxylate and amide, as well as towards the omega end. Additionally, the amide group can have two different directions: the nitrogen atom can be facing the carboxylate end (e.g., 9d) or the carbonyl group can be facing the carboxylate (e.g., 10b).
Figure 2.
8,9-EET analogs synthesized in this study.
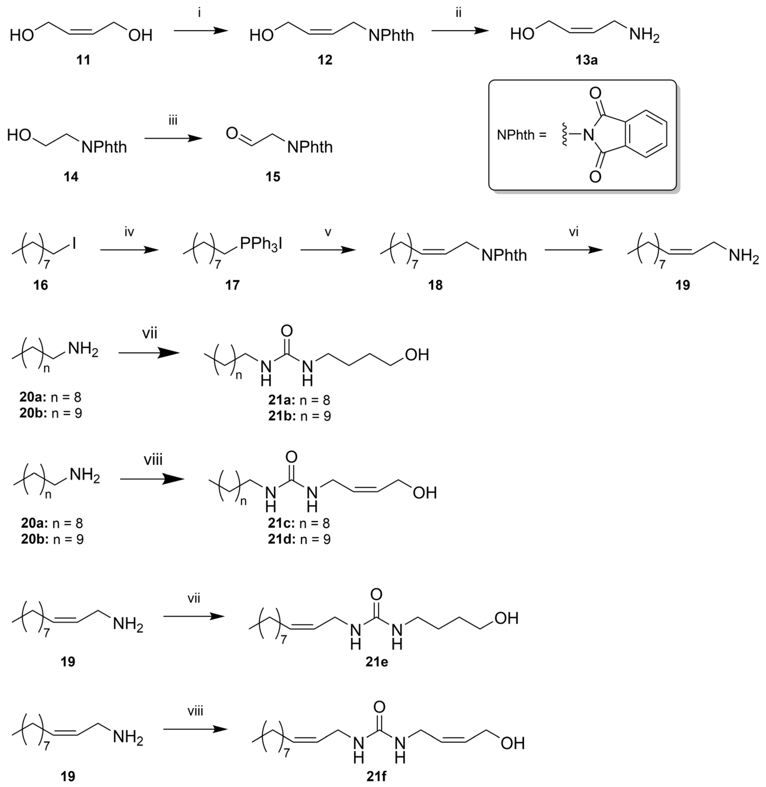
2.2. Synthesis
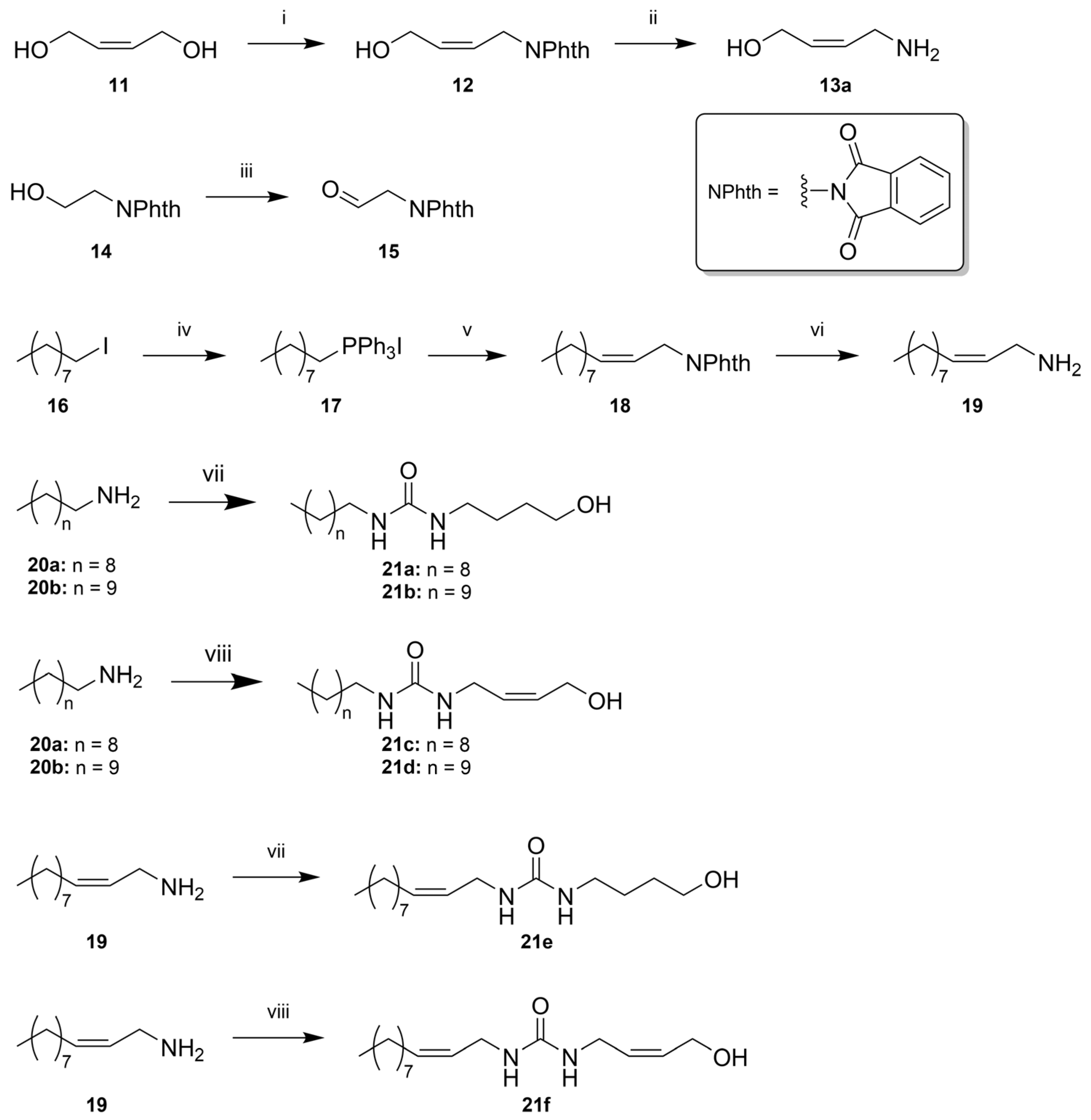
The olefinic amines 13a and 19 were synthesized as outlined in Scheme 1. Olefinic amine 13a was synthesized from diol 11 in a two-step procedure. In the first step, one alcohol group was selectively functionalized using a Mitsunobu reaction with phthalimide [38], providing compound 12. The reaction gave a moderate yield, due to a cumbersome purification. In the last step of the modified Gabriel synthesis, the phthalimide group was removed with hydrazine to give the amino alcohol 13a in a good yield. Conversion of the free amine to its corresponding hydrochloride was indeed possible, but using hydrochlorides was not desirable, as it would require comprehensive optimization of the urea synthesis (see below).
Scheme 1.
Reagents and conditions: (i) Phthalimide, PPh3, diisopropyl azodicarboxylate, rt, 16 h; (ii) N2H4·H2O, EtOH, reflux, 2 h; (iii) DMP, NaHCO3, CH2Cl2, rt, 18 h; (iv) PPh3, MeCN, reflux, 18 h; (v) Sodium bis(trimethylsilyl)amide (NaHMDS), THF, hexamethylphosphoramide, 15, −78 °C, 18 h; (vi) N2H4·H2O, EtOH, reflux, 2 h; (vii) CDI, MeCN, 0 °C → rt, 30 min, then 4-aminobutan-1-ol (13b), rt, 30 min; (viii) CDI, MeCN, 0 °C → rt, 30 min, then 13a, rt, 30 min.
A Wittig strategy was employed (Scheme 1) to synthesize the second olefinic amine 19. Commercial phthalimide-protected ethanolamine 14 was oxidized to the aldehyde 15 using Dess-Martin periodinane (DMP) buffered with NaHCO3. The resulting aldehyde 15 was then reacted with the ylide of Wittig salt 17 (prepared from nonyl iodide (16) and PPh3) in a Z-selective Wittig reaction, giving the phthalimide protected olefinic amine 18. Finally, removal of the phthalimide group was achieved with hydrazine, as before, affording the free amine 19 in a good yield.
All urea groups were introduced using 1,1′-carbonyldiimidazole (CDI) in conjunction with a fatty amine (19 or 20a–b) and an amino alcohol (13a–b) in a modified version of the procedure by Shore et al. [39], resulting in the asymmetric ureas shown in Scheme 1. The aliphatic amines 20a–b and 4-aminobutanol were commercially available and was coupled to the olefinic amines (13a and 19) synthesized above. Equimolar quantities of the two amines were added sequentially to a solution of CDI in acetonitrile, yielding the urea alcohols 21a–f. The urea alcohols were highly polar and poorly soluble in all solvents tested (except 21f) and were, thus, purified by recrystallization. When using commercial amines with known densities, which could be measured accurately, this methodology worked superbly. However, when using self-made amines, which were more difficult to measure accurately, significant quantities of symmetric ureas were sometimes produced. In those cases, work-up was laborious and yields were moderate to low.
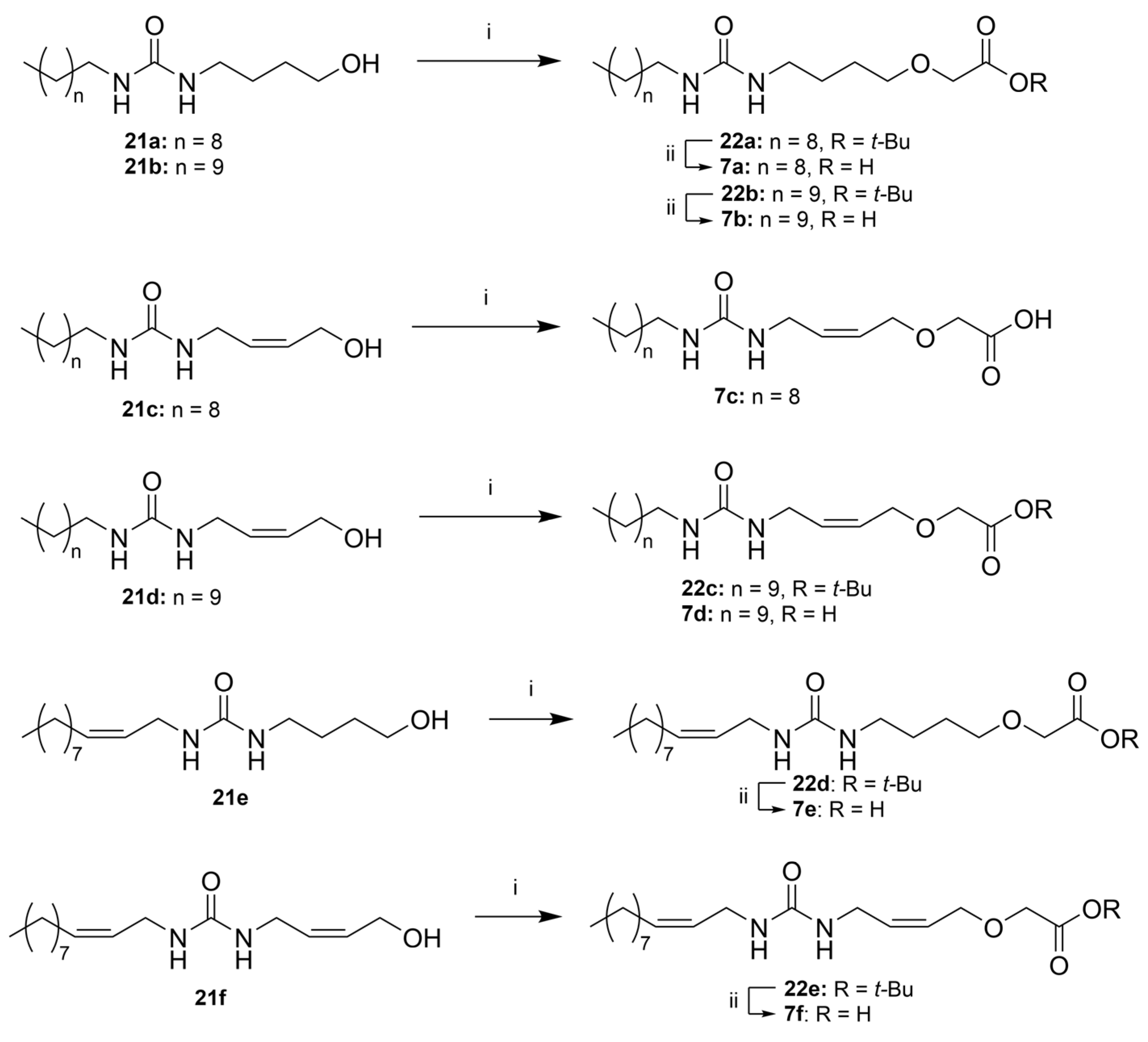
In the second to last step, synthesis of the fatty acid backbone was finalized via an ether synthesis, providing the target compounds 22a–e as esters (Scheme 2). First, a common method for synthesis of alpha-oxo esters, using phase-transfer catalysis using Bu4NHSO4 and tert-butyl bromoacetate [40], was attempted. When employing this methodology on 21a–b, conversion was poor and remaining undissolved starting material made phase separation during extraction very difficult. It was possible to force the reaction to completion by switching solvent from toluene to DCM, extending reaction time to several days and adding additional portions of tert-butyl bromoacetate numerous times. Obviously, these conditions were not optimal. Ester hydrolysis during the reaction was significant, as can be seen in the reaction of 21c, where the carboxylic acid 7c was the major product. Such copious use of tert-butyl bromoacetate is also undesirable. Further optimization of reaction conditions or a change in strategy is warranted if further analogs of this type are to be synthesized. Finally, hydrolyses of the esters were carried out under standard conditions (LiOH, H2O, MeOH). The reactions went smoothly, and the product could be purified by recrystallization (for 7a–e) or chromatography (for 7f).
Scheme 2.
Reagents and conditions: (i) BrCH2CO2tBu, Bu4NHSO4, CH2Cl2, NaOH (aq.), 0 °C → rt, 16 h—5 days; (ii) LiOH·H2O, H2O:THF:MeOH = 1:2:2, 0 °C, 3 h.
To produce oxamide analogs 8a–e, a three-step procedure involving a selective condensation between an amine and the 2-oxamido substituted ester 25a–b was envisaged (Scheme 3). In the first step, ethyl oxalyl chloride (23) was reacted with the hydrochloride salts of amino esters in the presence of the base triethylamine 24a–b. Sufficient purity of the resulting intermediates 25a–b could usually be achieved by merely washing the DCM with dilute aqueous acid. Next, the aliphatic amines (n-nonylamine, n-decylamine, n-undecylamine or 19) reacted selectively [41,42] with the 2-oxamido substituted ester (25a or 25b) over the aliphatic ester, giving oxamides 26a–e. After hydrolysis, the oxamide analogs 8a–e were obtained.
Scheme 3.
Reagents and conditions: (i) Et3N, CH2Cl2, rt, 2 h; (ii) n-nonylamine, n-decylamine or 19, EtOH, rt, 3 h; (iii) LiOH·H2O, H2O:THF:MeOH = 1:2:2, rt, 3 h.
Amide analogs 9a–d were prepared in two steps (Scheme 4). The aliphatic carboxylic acids 27a–b were converted to their corresponding acid chlorides by way of SOCl2, then reacted directly with the appropriate amino ester hydrochlorides in the presence of Hünig’s base, affording amides 28a–d in typically good yields. Next, hydrolysis with LiOH gave the amide-containing analogs 9a–d. The last four amide analogs were prepared (Scheme 4) by reacting the carboxy esters 29a–b with the appropriate amines in an EDC-promoted peptide coupling [43], giving amides 30a–d in moderate yields. Finally, ester hydrolysis afforded the final amide analogs 10a–d.
Scheme 4.
Reagents and conditions: (i) SOCl2, reflux, 2 h, then methyl 6-aminohexanoate·HCl (24a) or methyl 7-aminoheptanoate·HCl (24b), iPr2NEt, MeCN, rt, 16 h; (ii) LiOH·H2O, H2O:THF:MeOH = 1:2:2, rt, 3 h; (iii) 1-Ethyl-3-(3-dimethylaminopropyl)carbodiimide hydrochloride (EDC·HCl), 4-dimethylaminopyridine, n-undecylamine, n-dodecylamine or amine 19, CH2Cl2, rt, 16 h; (iv) LiOH·H2O, H2O:THF:MeOH 1:2:2, rt, 3 h.
2.3. Epoxide Hydrolase Inhibition
All compounds were evaluated as inhibitors of both human soluble epoxide hydrolase (sEH) and microsomal epoxide hydrolase (mEH). None of the compounds were significant (IC50 ≥ 50 µM) inhibitors of the mEH. However, many compounds were low to moderate inhibitors of sEH (Table 1). Analogs containing urea and amide isosteres were mediocre inhibitors (Entries 1–6 and 12–19), with IC50-values typically in the lower µM range. Those containing oxamide isosteres (Entries 7–11), however, were generally poor inhibitors of sEH. For reference, the most potent inhibitors here are several orders of magnitude less potent than, for example, the related 12-(3-(adamantan-1-yl)ureido)dodecanoic acid (AUDA) (IC50 3 nM) [44]. Drug candidates targeting sEH, such as EC5026, are even more potent (IC50 < 0.05 nM) [45].
Table 1.
Cell viability of human renal mesangial cells measured by a WST assay (N = 4). E10µM: median increase in cell viability in percentage points upon treatment with EET analog (10 µM) relative to sorafenib (10 µM) only. E1µM: EET-analog (1 µM). Missing entries denote insignificant (p > 0.05, Student’s t) increase in cell viability. HsEH: IC50 for human soluble epoxide hydrolase (HsEH).
2.4. Evaluation of Nephroprotective Effects
Cell viability of HRMCs treated with sorafenib was determined with a water-soluble tetrazolium salt (WST) assay (Table 1). Sorafenib exposure resulted in around 90% of the cell dying (Figure 3). Sorafenib has been reported as a potent sEH inhibitor [46]; however, it does not protect the cells because mesangial cells do not produce sufficient EETs, thus, providing a good background to test EET analogs. Analogs containing the urea isostere (Entries 1–6) were inactive, except for 7b (Entry 3, Table 1 and Figure 3a), which exhibited significant activity even at low concentrations (1 µM). No explanation for why 7b was active and none of the structural homologs (e.g., 7a, Entry 2) were inactive could be found. The oxamide-containing analogs (Entries 7–11), however, all exhibited significant activity. Out of all the analogs tested, the saturated analog 8b demonstrated superior efficacy and good potency, with an increase in cell viability of 64% at 10 µM and 50% at 1 µM (Entry 8, Table 1 and Figure 3b). Saturated analogs with the first nitrogen in 7-position (Entries 7–8), counting from the carboxylic acid, exhibited an increase in potency over their counterparts with the nitrogen in 8-position (Entries 9–10, Table 1 and Figure 3d). The effect of carbon chain length towards the omega end proved substantial for 8a–b, with the C11-chain being superior. For 8c–d, however, chain length towards the omega end made no significant difference. Interestingly, introduction of the Z-alkene in 8e (Entry 11) resulted in diminished activity (cf. Entry 8) to the point of near insignificance. Analogs containing amide isosteres (Entries 12–19) exhibited activities ranging from good to none. Those compounds that had the amide group in 8,9-position relative to the carboxylic acid (Entries 14–17, Table 1 and Figure 3c) all showed activity at 10 µM, although none at 1 µM. Shifting of the amide group position to either 7,8-position (Entries 12–13) or 9,10-position (Entries 18–19) caused activity to drop to zero. The preference for 8,9-position observed here is not entirely surprising, as it mirrors that of an endogenous substrate (8,9-EET), at least on paper. Interestingly, it is worth noting that the distance between what is thought to be the primary pharmacophores, the carboxylic acid and oxamide, can be varied by one carbon atom (Entries 7–8 vs. 9–10) without greatly impacting activity. This phenomenon might be the result of the oxamide group consisting of two amides, which can interact with the target, rather molecular flexibility in the putative receptor.
Figure 3.
WST-8 assay of human renal mesangial cells treated with sorafenib and 8,9-EET mimics, (a) 7b, (b) 8b, (c) 10b, (d) 8d, at indicated concentrations after 48 h incubation, as percentages relative to control. Bars represent mean ± SEM (n = 4).
Finally, the correlation between IC50 for sEH and nephroprotective effect (E10µM) was investigated, but none (R2 = 0.1) was found. Due to the most promising compound (8b) being an insignificant inhibitor of sEH and the general complete lack of correlation between sEH inhibition and efficacy, the results do indicate that the mode of action for the substances are not sEH inhibition, which is probably due to the lack of EETs production by the tested cells. The substances may be mimics of 8,9-EET or have some other yet unknown mechanism behind their nephroprotective effect that could be investigated in further studies.
3. Experimental
3.1. Synthetic Procedures
Materials and Equipment
All commercially available reagents and solvents were used without any further purification, unless otherwise stated. Analytical TLC was performed on silica gel 60 F254 aluminum-backed plates (Merck (Rahway, NJ, USA)). Column chromatography was performed on silica gel 60 (Merck). NMR spectra were recorded on either a Bruker AVI400, AVneo400, or Bruker AVI600 spectrometer. Chemical shifts (δ) are reported relative to the solvent residue signal in CDCl3 (7.27 ppm), CD3OD (3.31 ppm), DMSO-d6 (2.50 ppm) (1H-NMR), CDCl3 (77.0 ppm), CD3OD (49.0 ppm), and DMSO-d6 (39.52 ppm) (13C NMR). For mixtures of CDCl3 and CD3OD, CD3OD was used to lock the signal. Mass spectra were recorded by the Department of Chemistry, University of Oslo, on a Bruker maXis II and ESI ionization.
3.2. Synthetic Procedures
3.2.1. General Procedure A: Urea Formation with 1,1′-Carbonyldiimidazole
1,1′-Carbonyldiimidazole (CDI) (1.00 equiv.) was dissolved in acetonitrile (0.8 M) and cooled to 0 °C under an argon atmosphere before adding a solution of the first amine (1.00 equiv.) dropwise. The solution was warmed to room temperature and stirred for 30 min. The second amine (1.00 equiv.) was added dropwise, and the reaction stirred for 90 min at room temperature. Work-up typically consisted of recrystallization.
3.2.2. General Procedure B: Phase-Transfer Catalyzed Ether Synthesis
The alcohol was suspended/dissolved in CH2Cl2 (0.12 M), cooled to 0 °C and n-Bu4NHSO4 (0.50 equiv.) and NaOH (0.12 M) were added and stirred for 30 min. tert-Butyl bromoacetate (2.0 equiv.) was added and the mixture slowly warmed to room temperature. The reaction was stirred vigorously at room temperature and additional tert-butyl bromoacetate (1.0 equiv) was added. After the alcohol was fully consumed (The alcohol may be poorly soluble in CH2Cl2. In which case, prolonged reaction times and several additions of tert-butyl bromoacetate twice daily are necessary) as indicated by TLC, the solution was diluted with water, extracted three times with CH2Cl2, and the combined organic phases washed with brine. The solution was dried over MgSO4, evaporated in vacuo and purified by column chromatography.
3.2.3. General Procedure C: Ester Hydrolysis
The ester was dissolved in tetrahydrofuran:methanol:water (2:2:1 V:V) (0.02 M for the total volume), cooled to 0 °C and LiOH·H2O (35 equiv.) was added. The solution/suspension was stirred for 3 h at 0 °C unless otherwise stated. The volatiles (chiefly methanol and tetrahydrofuran) were evaporated in vacuo at 25 °C, and the products were purified further according to the specific procedures.
3.2.4. General Procedure D: Conversion of Carboxylic Acid to Acid Chloride
The carboxylic acid was taken up in SOCl2 (5.0 equiv.) and refluxed for two hours. Then, the solution was cooled and excess thionyl chloride evaporated in vacuo. The residue was used without further purification.
3.2.5. General Procedure E: Condensation Between Amine and Oxoester
The ethyl 2-alkylamino-2-oxoacetate is taken up in EtOH (abs.). Amine (1.00 equiv.) is added in one portion under an argon atmosphere and then stirred for 3 h at room temperature. CHCl3 is added to the suspension until all was dissolved before concentrating in vacuo. The product is purified by column chromatography (SiO2).
(Z)-1-Phthalimido-4-hydroxybut-2-ene (12)
To a solution of (Z)-but-2-ene-1,4-diol (11) (2.00 g, 22.7 mmol) in dry THF (91 mL), phthalimide (2.23 g, 15.1 mmol, 0.67 equiv.) and triphenylphosphine (3.97 g, 15.1 mmol, 0.667 equiv.) were added. The solution was cooled to 0 °C and diisopropyl azodicarboxylate (3.0 mL, 15 mmol, 0.67 equiv.) was added over 1 h, slowly warmed to room temperature, and stirred overnight. Concentration in vacuo and purification using column chromatography (SiO2, 2:1 n-hexane:EtOAc) afforded 12 (2.26 g, 10.4 mmol, 46%) as colorless amorphous solids. Rf 0.50 (EtOAc, UV). 1H NMR (400 MHz, CDCl3) δ 7.84 (dd, J = 5.4, 3.1 Hz, 2H), 7.72 (dd, J = 5.4, 3.1, 2H), 5.90 (dtt, J = 10.8, 6.8, 1.2, 1H), 5.56 (dtt, J = 10.38 7.7, 1.2, 1H), 4.39 (ddd, J = 11.2, 7.3, 1.3 Hz, 4H); 13C NMR (101 MHz, CDCl3) δ 168.3, 134.3, 133.4, 132.2, 125.1, 123.5, 58.2, 34.6. Spectroscopic data are consistent with that reported in the literature [47].
(Z)-4-Aminobut-2-en-1-ol (13a)
Phthalimide 12 (1.81 g, 8.33 mmol) was dissolved in EtOH (42 mL), and hydrazine monohydrate (6.3 mL, 83 mmol, 10 equiv.) was added and refluxed for 2 h. The solution was cooled to room temperature, filtered, and the filtrate was concentrated in vacuo. Kugelrohr distillation (bp. 65 °C/0.8 mmHg) gave a colorless oil (532 mg, 6.11 mmol, 73%), which solidified at -18 °C. 1H NMR (400 MHz, CD3OD) δ 5.63 (m, 2H), 4.14 (m, 2H), 3.31 (m, 2H); 13C NMR (101 MHz, CD3OD) δ 131.3, 129.6, 57.0, 37.6. The 1H NMR spectrum is consistent with previously reported values [48].
N-(2-oxoethyl)-phthalimide (15)
N-(2-Hydroxyethyl)phthalimide (14) (0.961 g, 5.00 mmol, 1.00 equiv.) was dissolved in DCM (25 mL), and NaHCO3 (1.27 g, 30.0 mmol, 3.00 equiv.) was added, followed by DMP (2.82 g, 6.5 mmol, 1.30 equiv.) at room temperature. The reaction mixture was stirred overnight (18 h) and quenched by addition of a saturated aqueous solution of Na2S2O3 (50 mL). The layers were separated, and the aqueous layer was extracted with DCM (3 × 25 mL). The combined organic layers were washed with a saturated aq. NaHCO3 (20 mL), brine (20 mL), dried (MgSO4), filtered, and concentrated in vacuo. Purification by flash chromatography on silica gel (EtOAc:hexane 1:1) afforded the desired compound 15 as a white solid (0.648 g, 3.42 mmol, 63%). mp. 111–114 °C; Rf: 0.28 (EtOAc:hexane 1:1); 1H NMR (400 MHz, CDCl3) δ 9.65 (s, 1H), 7.88 (dd, J = 5.5, 3.1 Hz, 2H), 7.75 (dd, J = 5.5, 3.1 Hz, 2H), 4.55 (s, 2H); 13C NMR (101 MHz, CDCl3) δ 194.0, 167.9 (2 × C), 134.8 (2 × C), 132.4 (2 × C), 124.1 (2 × C), 47.8. All spectroscopic and physical data were in agreement with those reported in the literature [49].
Nonyltriphenylphosphonium Iodide (17)
1-Iodononane (16) (1.27 g, 5.00 mmol, 1.00 equiv.) and PPh3 (2.62 g, 10.0 mmol, 2.00 equiv.) were dissolved in acetonitrile (45 mL) and stirred at reflux overnight (18 h). The mixture was allowed to cool down. After evaporation of the solvent, the crude was purified by flash chromatography on silica gel, starting with pure DCM, then changing the eluent to DCM 95:5 MeOH. This afforded the desired Wittig salt 17 as a viscous yellow oil (2.50 g, 4.85 mmol, 97%). Rf 0.62 (DCM:MeOH 95:5); 1H NMR (400 MHz, CDCl3) δ 7.87–7.62 (m, 15H), 3.68–3.49 (m, 2H), 1.63–1.55 (m, 4H), 1.31–1.05 (m, 10H), 0.81 (t, J = 6.8 Hz, 3H); 13C NMR (101 MHz, CDCl3) δ 135.2 (d, J = 3.0 Hz, 3 × C), 133.7 (d, J = 9.9 Hz, 6 × C), 130.6 (d, J = 12.5 Hz, 6 × C), 118.2 (d, J = 85.9 Hz, 3 × C), 31.8, 30.5 (d, J = 15.5 Hz), 29.2 (3 × C), 23.2 (d, J = 50.0 Hz), 22.7, 22.6, 14.1. All spectroscopic and physical data were in agreement with those reported in the literature [50].
(Z)-N-(Undec-2-en-1-yl)phthalimide (18)
The Wittig salt 17 (1.83 g, 3.55 mmol, 1.00 equiv.) was dissolved in dry THF (72 mL) and HMPA (12.0 mL). The solution was degassed and purged three times with nitrogen. Subsequently, the mixture was cooled to −78 °C and then NaHMDS (6.20 mL, 0.6 M in toluene, 3.73 mmol, 1.05 equiv.) was added dropwise. The reaction mixture changed from colorless to an orange color. The mixture was brought up to 0 °C, stirred for five minutes, and then re-cooled to −78 °C. A solution of aldehyde 15 (0.671 g, 3.55 mmol, 1.00 equiv.) dissolved in dry THF (8.00 mL) was added in a dropwise manner. The mixture was allowed to warm up to room temperature slowly in a dry ice/acetone bath for 18 h before being quenched by the addition of saturated aq. NaH2PO4 (30 mL). The phases were separated, and the aqueous phase was extracted with Et2O (3 × 40 mL). The combined organic phases were washed with brine (2 × 25 mL), dried (MgSO4), filtered, and the solvent was removed in vacuo. The crude product was purified by flash chromatography on silica gel (hexane:EtOAc 9:1) to afford the desired Z-alkene 18 as an oil (0.613 g, 2.05 mmol, 57%). Rf 0.48 (hexane:EtOAc 9:1); 1H NMR (400 MHz, CDCl3) δ 7.83 (dd, J = 5.4, 3.0 Hz, 2H), 7.70 (dd, J = 5.5, 3.0 Hz, 2H), 5.64 – 5.54 (m, 1H), 5.50 – 5.37 (m, 1H), 4.31 (m, 2H), 2.45 – 2.07 (m, 2H), 1.46 – 1.15 (m, 12H), 0.91 – 0.83 (m, 3H); 13C NMR (101 MHz, CDCl3) δ 168.5 (2 × C), 135.2 (2 × C), 134.3 (2 × C), 132.7 (2 × C), 123.6, 123.2, 35.3, 32.3, 29.9, 29.9, 29.8, 29.7, 27.8, 23.1, 14.6; HRMS (ESI/Q-TOF) m/z: [M+Na]+ calcd. for C19H25NO2Na 322.1777; found 322.1777.
(Z)-Undec-2-en-1-amine (19)
Phthalimide 18 (0.575 g, 1.93 mmol, 1.00 equiv.) was dissolved in EtOH (50 mL). Hydrazine monohydrate (1.54 mL, 19.3 mmol, 10.0 equiv.) was added and the mixture was refluxed until TLC revealed no starting material. After two hours, a white precipitate was formed, and the solution was cooled to 0 °C, filtrated, and the filtrate was concentrated in vacuo. Water (10 mL) was added, and the pH was adjusted to 12 with aq. NaOH (50%). Et2O (30 mL) was added, and the phases were separated. The aqueous phase was extracted with Et2O (3 × 30 mL), and the combined organic phases were washed with 1.0 M K2CO3 (20 mL) and brine (20 mL). The organic phases were dried over K2CO3, filtrated, and the solvent was removed in vacuo to afford the desired Z-amine 19 as a yellow oil (0.299 g, 1.77 mmol, 92%), which was used in the following step without further purification. 1H NMR (400 MHz, CDCl3) δ 5.67–5.18 (m, 2H), 3.30 (d, J = 6.2 Hz, 2H), 2.03 (q, J = 6.9 Hz, 2H), 1.51–1.39 (m, 2H), 1.37–1.19 (m, 12H), 0.90–0.83 (m, 3H); 13C NMR: (101 MHz, CDCl3) δ 131.4, 131.1, 39.3, 32.3, 30.1, 29.9, 29.7, 29.7, 27.7, 23.1, 14.5; IR: 3365 cm−1 and 3287 cm−1; HRMS (ESI/Q-TOF) m/z: [M+H]+ calcd. for C11H24N 170.1903; found 170.1903.
1-Decyl-3-(4-hydroxybutyl)urea (21a)
Prepared according to General Procedure A, from 4-aminobutanol (13b) and n-decylamine (20a). The solids formed during the reaction were recrystallized from MeCN to afford urea 21a (0.372 g, 1.37 mmol, 72%) as white needles. mp. 113–114; Rf 0.36 (9:1 DCM:MeOH); 1H NMR (400 MHz, CD3OD) δ 3.56 (m, 2H), 3.18–3.04 (m, 4H), 1.61–1.40 (m, 6H), 1.38–1.22 (m, 14H), 0.90 (m, 3H); 13C NMR (101 MHz, CD3OD) δ 160.7, 62.0, 40.4, 40.2, 32.4, 30.7, 30.2, 30.1, 30.1, 29.9, 29.8, 27.3, 27.2, 23.1, 13.8; HRMS (ESI/Q-TOF) m/z: [M+Na]+ calcd. for C15H32N2O2Na 295.2356; found 295.2355.
1-(4-Hydroxybutyl)-3-undecylurea (21b)
Prepared according to General Procedure A, using n-undecylamine (20b) and 4-aminobutanol (13b). Recrystallization from MeCN gave 21b (582 mg, 2.03 mmol, 91%) as white needles. mp. 116–117 °C; Rf 0.52 (9:1 DCM:MeOH). 1H NMR (400 MHz, CD3OD) δ 3.62–3.54 (m, 2H), 3.18–3.07 (m, 4H), 1.62–1.43 (m, 6H), 1.38–1.29 (m, 16H), 0.92 (t, J = 6.9 Hz, 3H). 13C NMR (101 MHz, CD3OD) δ 159.9, 61.2, 39.6, 39.4, 31.7, 30.0, 29.5, 29.3, 29.1, 29.1, 26.6, 26.4, 22.3, 13.0. HRMS (ESI/Q-TOF) m/z: [M+Na]+ calcd. for C16H34N2O2Na 309.2512; found 309.2512.
(Z)-1-Decyl-3-(4-hydroxybut-2-en-1-yl)urea (21c)
Prepared according to General Procedure A, from aminoalcohol 13a and n-decylamine (20a). The solids formed during the reaction were recrystallized from MeCN to give the urea 21c (223 mg, 72%) as white needles. mp 97–98 °C; Rf 0.41 (9:1 DCM:MeOH); 1H NMR (400 MHz, CD3OD) δ 5.65 (dtt, J = 11.1, 6.5, 1.6 Hz, 1H), 5.49 (dtt, J = 11.1, 6.8, 1.5 Hz, 1H), 4.16 (d, J = 6.6 Hz, 1H), 3.77 (d, J = 6.8 Hz, 2H), 3.09 (t, J = 7.0 Hz, 2H), 1.45 (q, J = 6.8 Hz, 2H), 1.38–1.23 (m, 14H), 0.90 (m, 3H); 13C NMR (101 MHz, CD3OD) δ 159.7, 130.3, 128.7, 57.0, 39.7, 36.6, 31.7, 29.9, 29.3, 29.3, 29.1, 29.1, 26.5, 22.3, 13.0; HRMS (ESI/Q-TOF) m/z: [M+Na]+ calcd. for C15H30N2O2Na 293.2199; found 293.2199.
(Z)-1-(4-Hydroxybut-2-en-1-yl)-3-undecylurea (21d)
Prepared according to General Procedure A, from n-undecylamine (20b) and aminoalcohol 13a. The product was recrystallized from first MeCN, then CHCl3, to give 21d (169 mg, 0.59 mmol, 52%), which was contaminated with diundecylurea (~20 mol%). mp. 100–102 °C; Rf 0.34 (9:1 DCM:MeOH); 1H NMR (400 MHz, CD3OD) δ 5.67 (ddd, J = 12.7, 8.1, 1.5 Hz, 1H), 5.51 (dtt, J = 11.0, 6.8, 1.5 Hz, 1H), 4.18 (d, J = 6.5 Hz, 2H), 3.80 (d, J = 7.2 Hz, 2H), 3.21–3.00 (m, 3H), 1.60–1.42 (m, 3H), 1.42–1.20 (m, 20H), 0.92 (t, J = 6.9 Hz, 4H); 13C NMR (101 MHz, CD3OD) δ 160.5, 131.1, 129.4, 57.8, 40.4, 37.3, 32.4, 30.7, 30.1, 29.9, 29.8, 27.3, 23.1, 13.8; HRMS (ESI/Q-TOF) m/z: [M+Na]+ calcd. for C16H32N2O2Na 307.2356; found 307.2355.
(Z)-1-(4-Hydroxybutyl)-3-(undec-2-en-1-yl)urea (21e)
Prepared according to General Procedure A, from 4-aminobutanol (13b) and allylic amine 19. Work-up: crystallization from MeCN and washing with cold MeCN afforded urea 21e (0.262 g, 0.92 mmol, 72%). mp. 90–92 °C; Rf 0.19 (DCM:MeOH 95:5); 1H NMR (400 MHz, CD3OD) δ 5.61–5.46 (m, 1H), 5.44–5.30 (m, 1H), 3.76 (dd, J = 6.7, 1.5 Hz, 2H), 3.63–3.50 (m, 2H), 3.18–3.09 (m, 2H), 2.10 (q, J = 6.8 Hz, 2H), 1.64–1.51 (m, 4H), 1.43–1.20 (m, 12H), 0.91 (t, J = 6.7, 3H); 13C NMR (101 MHz, CD3OD) δ 161.1, 133.3, 127.8, 62.6, 40.8, 38.0, 33.1, 30.9, 30.7, 30.6, 30.4, 30.4, 28.3, 27.8, 23.7, 14.4. HRMS (ESI/Q-TOF) m/z: [M+Na]+ calcd. for C16H32N2O2Na 307.2355; found 307.2356.
1-((Z)-4-Hydroxybut-2-en-1-yl)-3-((Z)-undec-2-en-1-yl)urea (21f)
Prepared from allylic amine 19 and aminoalcohol 13a according to General Procedure A. Column chromatography twice (SiO2, 6% MeOH in DCM) afforded 21f (28 mg, 99 µmol, 20%) as a waxy solid. Rf 0.22 (94:6 DCM:MeOH); 1H NMR (400 MHz, CD3OD) δ 5.65 (dtt, J = 11.0, 6.5, 1.6 Hz, 1H), 5.54–5.44 (m, 2H), 5.39 (dtt, J = 10.9, 6.7, 1.4 Hz, 1H), 4.16 (d, J = 6.5 Hz, 2H), 3.82–3.71 (m, 4H), 2.10 (app. q, J = 7.2, 6.6 Hz, 2H), 1.42–1.24 (m, 15H), 0.89 (app. t, 3H); 13C NMR (101 MHz, CD3OD) δ 160.3, 132.7, 131.2, 129.3, 127.1, 57.8, 49.0, 48.8, 48.6, 48.6, 48.4, 48.4, 48.1, 47.9, 47.7, 37.4, 37.3, 32.4, 30.1, 30.0, 29.8, 29.7, 27.6, 23.1, 13.8; HRMS (ESI/Q-TOF) m/z: [M+Na]+ calcd. for C16H30N2O2Na 305.2199; found 305.2198.
tert-Butyl 2-(4-(3-decylureido)butoxy)acetate (22a)
Prepared according to General Procedure B, starting from 21a. Reaction time: 5 days. Column chromatography (SiO2, 2:3 n-heptane:EtOAc) afforded 22a (226 mg, 0.58 mmol, 64%) as a white wax; Rf 0.45 (EtOAc). 1H NMR (400 MHz, CDCl3) δ 5.20 (br, 2H), 3.96 (s, 2H), 3.52 (t, J = 5.5 Hz, 2H), 3.22 (t, J = 6.1 Hz, 2H), 3.15 (t, J = 7.1 Hz, 2H), 1.73–1.58 (m, 4H), 1.52–1.40 (m, 11H), 1.33–1.18 (m, 14H), 0.87 (m, 3H); 13C NMR (101 MHz, CDCl3) δ 170.3, 158.9, 82.2, 71.7, 69.0, 40.6, 40.5, 32.0, 30.4, 29.7, 29.6, 29.5, 28.2, 27.8, 27.1, 27.1, 22.8, 14.2; HRMS (ESI/Q-TOF) m/z: [M+Na]+ calcd. for C21H42N2O4Na 409.3037; found 409.3037. Acidification of the combined aqueous phases with conc. HCl (37%) to pH 2, twice extraction with EtOAc and evaporation in vacuo yielded the carboxylic acid 7a (30 mg, 0.09 mmol, 10%) after recrystallization from MeOH. See the respective section for 7a below for characterization data.
tert-Butyl 2-(4-(3-undecylureido)butoxy)acetate (22b)
Prepared from 21b according to General Procedure B. Reaction time: 6 days. Purification by column chromatography (SiO2, EtOAc:n-heptane 3:1) gave 22b (211 mg, 0.52 mmol, 72%) as a white wax. Rf 0.24 (2:1 hexane:EtOAc); 1H NMR (400 MHz, CDCl3) δ 3.97 (s, 2H), 3.53 (t, J = 5.5 Hz, 2H), 3.24 (t, J = 6.0 Hz, 2H), 3.16 (t, J = 7.1 Hz, 2H), 1.72–1.60 (m, 4H), 1.48 (s, 10H), 1.34–1.22 (m, 20H), 0.87 (t, J = 6.8 Hz, 3H); 13C NMR (101 MHz, CDCl3) δ 170.3, 158.9, 82.2, 71.7, 69.0, 40.6, 40.6, 32.0, 30.4, 29.8, 29.7, 29.6, 29.5, 28.3, 27.8, 27.1, 22.8, 14.3; HRMS (ESI/Q-TOF) m/z: [M+Na]+ calcd. for C22H44N2O4Na 423.319; found 423.319.
(Z)-2-((4-(3-Decylureido)but-2-en-1-yl)oxy)acetic Acid (7c)
Employing General Procedure B, starting from 21c. Reaction time: 2 days. The reaction resulted in primarily the carboxylic acid 7c. The aqueous phase was acidified with HCl (conc.) to pH 1–2 and extracted three times with EtOAc. Evaporation in vacuo and recrystallization from MeOH afforded 7c (115 mg, 0.35 mmol, 44%) as white solids. mp. 82–84 °C; 1H NMR (400 MHz, CD3OD) δ 5.70–5.57 (m, 2H), 4.23–4.14 (m, 2H), 4.08 (s, 2H), 3.83 – 3.75 (m, 2H), 3.09 (t, J = 7.0 Hz, 2H), 1.52–1.41 (m, 2H), 1.38–1.23 (m, 14H), 0.90 (app. t, 3H); 13C NMR (101 MHz, CD3OD) δ 173.4, 160.4, 131.8, 127.6, 67.3, 66.9, 40.4, 37.5, 32.4, 30.7, 30.1, 30.1, 29.9, 29.8, 27.3, 23.1, 13.8; HRMS (ESI/Q-TOF) m/z: [M+Na]+ calcd. for C17H32N2O4Na 351.2254; found 351.2253.
tert-Butyl (Z)-2-((4-(3-undecylureido)but-2-en-1-yl)oxy)acetate (22c)
Prepared according to General Procedure B, starting from 21d. Reaction time: 2 days. Column chromatography twice (SiO2, EtOAc:n-heptane 3:2 and CH2Cl2:EtOAc 1:1, respectively) gave 22c as a wax (111 mg, 0.28 mmol, 49%). The product was still contaminated with diundecylurea (~15 mol%). Rf 0.49 (EtOAc); 1H NMR (400 MHz, CDCl3) δ 5.84–5.67 (m, 2H), 4.12 (d, J = 5.9 Hz, 2H), 3.98 (s, 2H), 3.87 (d, J = 6.5 Hz, 2H), 3.15 (t, J = 7.1 Hz, 2H), 1.48 (s, 10H), 1.35–1.22 (m, 17H), 0.87 (t, J = 6.8 Hz, 3H); 13C NMR (101 MHz, CDCl3) δ 170.1, 158.5, 132.4, 127.3, 82.3, 68.2, 66.8, 40.7, 37.6, 32.0, 30.4, 29.8, 29.7, 29.5, 29.5, 28.2, 28.2, 27.1, 22.8, 14.3; HRMS (ESI/Q-TOF) m/z: [M+Na]+ calcd. for C22H42N2O4Na 421.3037; found 421.3036.
tert-Butyl (Z)-2-(4-(3-(undec-2-en-1-yl)ureido)butoxy)acetate (22d) and (Z)-2-(4-(3-(undec-2-en-1-yl)ureido)butoxy)acetic Acid (7e)
Prepared according to General procedure B, starting from 21e. Reaction time: overnight. Work-up: purification of the product from the organic phase by column chromatography (SiO2, hexane:EtOAc 1:1) gave the tert-butyl ester 22d (69.0 mg, 0.17 mmol, 19%) as a clear oil. Rf 0.28 (hexane:EtOAc 4:1); 1H NMR (400 MHz, CDCl3) δ 5.51–5.33 (m, 2H), 3.94 (s, 2H), 3.78 (dd, J = 6.5, 1.3 Hz, 2H), 3.50 (t, J = 5.7 Hz, 2H), 3.20 (t, J = 6.2 Hz, 2H), 2.03 (q, J = 6.9 Hz, 2H), 1.78–1.58 (m, 4H), 1.45 (s, 9H), 1.34–1.23 (m, 12H), 0.85 (t, J = 6.8 Hz, 3H); 13C NMR (101 MHz, CDCl3) δ 170.2, 158.9, 132.7, 126.8, 82.1, 71.6, 68.9, 40.4, 37.6, 32.0, 29.7, 29.6, 29.4 (2 × C), 28.2 (3 × C), 27.7, 27.4, 27.0, 22.7, 14.2; HRMS (ESI/Q-TOF) m/z: [M+Na]+ calcd. for C22H42N2O4Na 421.3037; found 421.3036.
The aqueous phase was acidified with HCl (conc.) to pH 2 and extracted with EtOAc (3 × 10 mL), and the combined organic phases were dried (MgSO4), filtrated, and concentrated in vacuo. The crude product was recrystallized using MeOH as a solvent. This afforded carboxylic acid 7e (29.1 mg, 0.08 mmol, 9%) as a crystalline solid. See the section for 7e below for characterization data.
tert-Butyl 2-(((Z)-4-(3-((Z)-undec-2-en-1-yl)ureido)but-2-en-1-yl)oxy)acetate (22e)
Prepared from 21f, according to General procedure B. Elution with EtOAc:n-heptane 1:1 gave 22e (12 mg, 29 µmol, 32%) as a clear oil. Rf 0.59 (EtOAc). 1H NMR (400 MHz, CDCl3) δ 5.84–5.68 (m, 2H), 5.55–5.45 (m, 1H), 5.44–5.33 (m, 1H), 4.12 (d, J = 5.8 Hz, 2H), 3.97 (s, 2H), 3.88 (d, J = 6.2 Hz, 2H), 3.81 (d, J = 5.4 Hz, 2H), 2.05 (q, J = 7.3 Hz, 2H), 1.48 (s, 9H), 1.36–1.21 (m, 13H), 0.87 (t, J = 7.0 Hz, 3H). 13C NMR (101 MHz, CDCl3) δ 170.1, 158.4, 133.2, 132.2, 127.4, 126.3, 82.3, 68.2, 66.8, 37.8, 37.7, 32.0, 29.7, 29.6, 29.4, 28.3, 27.5, 22.8, 14.2. HRMS (ESI/Q-TOF) m/z: [M+Na]+ calcd. for C22H40N2O4Na 419.2880; found 419.2879.
2-(4-(3-Decylureido)butoxy)acetic Acid (7a)
Prepared according to General procedure C, from tert-butyl ester 22a. Afterwards, HCl (conc.) was added under cooling until pH 2, and the solution extracted with EtOAc (4 × 50 mL (the product is poorly soluble in EtOAc)). Evaporation in vacuo and recrystallization from MeOH afforded 7a (101 mg, 0.31 mmol, 64%) as a white solid, mp. 103–105 °C. 1H NMR (400 MHz, CD3OD) δ 4.05 (s, 2H), 3.55 (t, J = 6.1 Hz, 2H), 3.14 (t, J = 6.7 Hz, 2H), 3.09 (t, J = 7.0 Hz, 2H), 1.69–1.52 (m, 4H), 1.50–1.42 (m, 2H), 1.30 (m, 14H), 0.90 (m, 3H); 13C NMR (101 MHz, CD3OD) δ 173.7, 160.7, 71.7, 68.2, 40.4, 40.1, 32.4, 30.7, 30.1, 30.1, 29.9, 29.8, 27.3, 27.3, 23.1, 13.8. HRMS (ESI/Q-TOF) m/z: [M+Na] + calcd. for C17H34N2O4Na 353.2411; found 353.2410.
2-(4-(3-Undecylureido)butoxy)acetic Acid (7b)
Prepared according to General procedure C, starting from 21b. Evaporation of the organic phase and recrystallization from MeOH gave 7b (82 mg, 0.24 mmol, 52%) as white solids. mp. 109–110 °C. 1H NMR (400 MHz, CD3OD) δ 4.06 (s, 2H), 3.54 (t, J = 6.1 Hz, 2H), 3.14 (t, J = 6.9 Hz, 2H), 3.09 (t, J = 7.0 Hz, 2H), 1.69–1.50 (m, 4H), 1.52–1.41 (m, 2H), 1.37–1.22 (m, 16H), 0.89 (app. t, 3H). 13C NMR (101 MHz, CD3OD) δ 173.6, 160.7, 71.7, 68.1, 40.4, 40.1, 32.4, 30.7, 30.1, 29.9, 29.8, 27.3, 27.3, 27.3, 23.1, 13.8. HRMS (ESI/Q-TOF) m/z: [M+Na]+ calcd. for C18H36N2O4Na 367.2567; found 367.2567.
tert-Butyl (Z)-2-((4-(3-undecylureido)but-2-en-1-yl)oxy)acetate (7d)
Prepared according to General procedure C, starting from 21d. Column chromatography twice (SiO2, EtOAc:n-heptane 3:2 and CH2Cl2:EtOAc 1:1, respectively) gave 7d as a waxy solid (111 mg, 0.28 mmol, 49%). Rf 0.49 (EtOAc). The product was still contaminated with some diundecylurea (~15 mol%). 1H NMR (400 MHz, CDCl3) δ 5.84–5.67 (m, 2H), 4.12 (d, J = 5.9 Hz, 2H), 3.98 (s, 2H), 3.87 (d, J = 6.5 Hz, 2H), 3.15 (t, J = 7.1 Hz, 2H), 1.48 (s, 10H), 1.35–1.22 (m, 17H), 0.87 (t, J = 6.8 Hz, 3H). 13C NMR (101 MHz, CDCl3) δ 170.1, 158.5, 132.4, 127.3, 82.3, 68.2, 66.8, 40.7, 37.6, 32.0, 30.4, 29.8, 29.7, 29.5, 29.5, 28.2, 28.2, 27.1, 22.8, 14.3. HRMS (ESI/Q-TOF) m/z: [M+Na]+ calcd. for C22H42N2O4Na 421.3037; found 421.3036.
(Z)-2-(4-(3-(undec-2-en-1-yl)ureido)butoxy)acetic Acid (7e):
See the procedure for 22d above. The procedure gave 7e (29.1 mg, 0.08 mmol, 9%) as a crystalline solid. Rf 0.29 (DCM:MeOH 9:1); mp. 89–90 °C; 1H NMR (400 MHz, CD3OD) δ 5.54–5.45 (m, 1H), 5.44–5.35 (m, 1H), 4.05 (s, 2H), 3.75 (dd, J = 6.6, 1.4 Hz, 2H), 3.54 (t, J = 6.1 Hz, 2H), 3.14 (t, J = 6.6 Hz, 2H), 2.09 (q, J = 7.0 Hz, 2H), 1.75–1.51 (m, 4H), 1.40–1.13 (m, 12H), 0.90 (t, J = 6.6 Hz, 3H); 13C NMR (101 MHz, CD3OD) δ 174.3, 161.2, 133.3, 127.9, 72.3, 68.8, 40.8, 38.1, 33.1, 30.7, 30.7, 30.6, 30.4, 30.4, 28.3, 27.9, 23.7, 14.4; HRMS (ESI/Q-TOF) m/z: [M + 2Na]+ calcd. for C18H33NO4Na2 387.2230; found 387.2230.
2-(((Z)-4-(3-((Z)-undec-2-en-1-yl)ureido)but-2-en-1-yl)oxy)acetic Acid (7f)
Prepared from 22e according to General procedure C. The reaction mixture was diluted with water and acidified with HCl (conc.) until pH 2–3. The solution was extracted with EtOAc (2 × 30 mL), dried over MgSO4, and evaporated in vacuo. Column chromatography (SiO2, AcOH:EtOAc:heptane 1:5:5) gave 7f (5.5 mg, 16 µmol, 55%) as a waxy solid. 1H NMR (400 MHz, CD3OD) δ 5.71–5.57 (m, 1H), 5.55–5.33 (m, 1H), 4.18 (d, J = 5.0 Hz, 1H), 4.06 (s, 1H), 3.80 (d, J = 5.2 Hz, 1H), 3.75 (d, J = 6.7 Hz, 1H), 2.10 (app. q, J = 7.0 Hz, 1H), 1.42–1.27 (m, 6H), 0.94–0.86 (m, 1H). 13C NMR (101 MHz, CD3OD) δ 173.8, 160.3, 132.7, 131.7, 127.7, 127.1, 67.6, 66.8, 37.5, 37.5, 32.4, 30.1, 30.0, 29.8, 29.7, 27.6, 23.1, 13.8. HRMS (ESI/Q-TOF) m/z: [M+Na]+ calcd. for C18H32N2O4Na 363.2254; found 363.2254.
Methyl 6-(2-ethoxy-2-oxoacetamido)hexanoate (25a)
Methyl 6-aminohexanoate hydrochloride (24a) (99 mg, 0.56 mmol) is dissolved in DCM (6.9 mL) and cooled in an ice bath. TEA (169 µL, 1.22 mmol, 2.2 equiv.) and ethyl chlorooxoacetate (23) (67.7 µL, 0.61 mmol, 1.1 equiv.) is added. After 5 min, the ice bath is removed and the reaction is stirred for 2 h. The solution is transferred to a separatory funnel and washed with HCl (1 M). The organic phase is dried over Na2SO4 and evaporated in vacuo (Excess acid chloride is removed by evaporation) to afford 25a (127 mg, 0.53 mmol, 94%) as a yellow oil. 1H NMR (400 MHz, CDCl3) δ 7.14 (s, 1H), 4.32 (q, J = 7.1 Hz, 2H), 3.65 (s, 3H), 3.32 (app. q, 2H), 2.30 (t, J = 7.4 Hz, 2H), 1.72–1.50 (m, 4H), 1.44–1.29 (m, 5H). 13C NMR (101 MHz, CDCl3) δ 174.0, 160.9, 156.7, 63.3, 51.6, 39.7, 33.9, 28.9, 26.4, 24.5, 14.1. HRMS (ESI/Q-TOF) m/z: [M+Na]+ calcd. for C11H19NO5Na 268.1155; found 268.1155.
Methyl 7-(2-ethoxy-2-oxoacetamido)heptanoate (25b)
Methyl 6-aminoheptanoate hydrochloride (24b) (600 mg, 3.07 mmol) is dissolved in DCM (38 mL) and cooled in an ice bath. TEA (941 µL, 6.75 mmol, 2.2 equiv.) and ethyl chlorooxoacetate (23) (377 µL, 3.37 mmol, 1.1 equiv.) is added. After 5 min, the ice bath is removed and the reaction stirred for 2 h. The solution is transferred to a separatory funnel and washed with HCl (1 M). The organic phase is dried over Na2SO4 and evaporated in vacuo (excess acid chloride is removed by evaporation) to afford 25b as a yellow oil. Rf 0.51 (EtOAc) 1H NMR (400 MHz, CDCl3) δ 7.03 (s, 1H), 4.28 (q, J = 7.1 Hz, 2H), 3.60 (s, 3H), 3.27 (app. q, 2H), 2.24 (t, J = 7.5 Hz, 2H), 1.65–1.43 (m, 5H), 1.38–1.21 (m, 7H). 13C NMR (101 MHz, CDCl3) δ 174.1, 160.9, 156.6, 63.2, 51.5, 39.8, 33.9, 29.0, 28.7, 26.4, 24.7, 14.0. HRMS (ESI/Q-TOF) m/z: [M+Na]+ calcd. for C12H21NO5Na 282.1312; found 282.1314.
Methyl 6-(2-(decylamino)-2-oxoacetamido)hexanoate (26a)
General procedure E is employed using 25a and n-decylamine. Column chromatography (SiO2, 3:2 EtOAc:heptane) afforded 26a (158 mg, 0.44 mmol, 82%) as a white solid, mp. 100–101 °C. Rf 0.64 (EtOAc). 1H NMR (400 MHz, CDCl3) δ 7.64–7.42 (m, 2H), 3.65 (s, 3H), 3.34–3.23 (m, 4H), 2.30 (t, J = 7.4 Hz, 2H), 1.70–1.47 (m, 6H), 1.40–1.18 (m, 16H), 0.86 (t, J = 6.8 Hz, 3H). 13C NMR (101 MHz, CDCl3) δ 174.0, 160.0, 159.9, 51.6, 39.8, 39.5, 33.9, 32.0, 29.6, 29.6, 29.4, 29.3, 29.0, 26.9, 26.4, 24.6, 22.8, 14.2. HRMS (ESI/Q-TOF) m/z: [M+Na]+ calcd. for C19H36N2O4Na 379.2567; found 379.2567.
Methyl 6-(2-oxo-2-(undecylamino)acetamido)hexanoate (26b)
Prepared from 25a and n-undecylamine according to General procedure E. Column chromatography (SiO2, 3:2 EtOAc:heptane) afforded 26b (162 mg, 0.44 mmol, 94%) as a white solid. mp. 104 °C. Rf 0.59 (EtOAc). 1H NMR (400 MHz, CDCl3) δ 7.63–7.37 (m, 2H), 3.65 (s, 3H), 3.28 (app. p, 4H), 2.30 (t, J = 7.4 Hz, 2H), 1.70–1.48 (m, 6H), 1.42–1.17 (m, 18H), 0.86 (t, J = 6.8 Hz, 3H). 13C NMR (101 MHz, CDCl3) δ 174.0, 160.0, 159.9, 51.6, 39.8, 39.6, 33.9, 32.0, 29.7, 29.7, 29.6, 29.4, 29.3, 29.0, 27.0, 26.4, 24.6, 22.8, 14.2. HRMS (ESI/Q-TOF) m/z: [M+Na]+ calcd. for C20H38N2O4Na 393.2724; found 393.2723.
Methyl 7-(2-(nonylamino)-2-oxoacetamido)heptanoate (26c)
Prepared from 25b and n-nonylamine according to General procedure E. Column chromatography (SiO2, 3:2 EtOAc:heptane) afforded 26c (419 mg, 1.18 mmol, 84%) as a white solid. mp. 114 °C. Rf 0.63 (EtOAc). 1H NMR (400 MHz, CDCl3) δ 7.63–7.38 (m, 2H), 3.65 (s, 3H), 3.29 (q, J = 6.6 Hz, 4H), 2.29 (t, J = 7.5 Hz, 2H), 1.66–1.49 (m, 6H), 1.39–1.19 (m, 16H), 0.86 (t, J = 7.0 Hz, 3H). 13C NMR (101 MHz, CDCl3) δ 174.2, 160.0, 159.9, 51.6, 39.8, 39.7, 34.0, 32.0, 29.6, 29.3, 29.2, 28.8, 26.9, 26.6, 24.9, 22.8, 14.2. HRMS (ESI/Q-TOF) m/z: [M+Na]+ calcd. for C19H36N2O4Na 379.2567; found 379.2567.
Methyl 7-(2-(decylamino)-2-oxoacetamido)heptanoate (26d)
Prepared from 25b and n-decylamine according to General procedure E. Column chromatography (SiO2, 3:2 EtOAc:heptane) afforded 26d (411 mg, 1.11 mmol, 83%) as a white solid, mp. 111 °C. Rf 0.61 (EtOAc). 1H NMR (400 MHz, CDCl3) δ 7.59–7.42 (m, 2H), 3.65 (s, 3H), 3.33–3.23 (m, 4H), 2.29 (t, J = 7.5 Hz, 2H), 1.66–1.48 (m, 6H), 1.39–1.18 (m, 18H), 0.86 (app. t, J = 6.8 Hz, 3H). 13C NMR (101 MHz, CDCl3) δ 174.2, 160.0, 159.9, 51.6, 39.8, 39.7, 34.0, 32.0, 29.6, 29.6, 29.4, 29.3, 29.2, 28.8, 27.0, 26.6, 24.9, 22.8, 14.2. HRMS (ESI/Q-TOF) m/z: [M+Na]+ calcd. for C20H38N2O4Na 393.2724; found 393.2723.
Methyl (Z)-6-(2-oxo-2-(undec-2-en-1-ylamino)acetamido)hexanoate (26e)
The aminooxoacetate 25a (74.0 mg, 0.300 mmol, 1.00 equiv.) was dissolved in EtOH (0.5 mL) and added Z-amine 19 (51.0 mg, 0.300 mmol, 1.00 equiv.) in one portion at rt. The product precipitates quickly, and the reaction was stirred for 2.5 h. The solvent was evaporated, and the crude was purified by flash chromatography on silica gel (heptane:EtOAc 2:1) to afford the desired oxamide 26e (75.0 mg, 0.204 mmol, 68%) as a white crystalline solid. Rf 0.28 (heptane:EtOAc 2:1); mp. 85–86 °C; 1H NMR (400 MHz, CDCl3) δ 7.49–7.33 (m, 2H), 5.61 (dtt, J = 10.7, 7.4, 1.6 Hz, 1H), 5.39 (dtt, J = 10.4, 7.0, 1.6 Hz, 1H), 4.32–3.82 (m, 2H), 3.67 (s, 3H), 3.31 (q, J = 6.9 Hz, 2H), 2.31 (t, J = 7.4 Hz, 2H), 2.17–1.95 (m, 2H), 1.70–1.52 (m, 4H), 1.45–1.19 (m, 14H), 0.94–0.82 (m, 3H); 13C NMR (101 MHz, CDCl3) δ 173.7, 159.6, 159.5, 134.7, 123.4, 51.4, 39.3, 36.6, 33.7, 31.7, 29.3, 29.2, 29.1 (2 × C), 28.8, 27.2, 26.1, 24.3, 22.5, 13.9; HRMS (ESI/Q-TOF) m/z: [M+Na]+ calcd. for C20H36N2O4Na 391.2567; found 391.2567.
6-(2-(Decylamino)-2-oxoacetamido)hexanoic Acid (8a)
Ester 26a was hydrolyzed using General procedure C. After cooling to 0 °C, the solution was filtered and washed with cold water. The solids were taken up in diluted HCl, extracted with EtOAc (3 × 100 mL) and dried over MgSO4. Concentration in vacuo afforded the acid 8a (115 mg, 0.31 mmol, 82%) as a pale yellow solid. mp. 142–144 °C; 1H NMR (400 MHz, DMSO) δ 11.98 (s(br), 1H), 8.68 (app. q, 2H), 3.10 (q, J = 6.7 Hz, 4H), 2.18 (t, J = 7.4 Hz, 2H), 1.58–1.36 (m, 6H), 1.34–1.14 (m, 16H), 0.85 (t, J = 6.7 Hz, 3H); 13C NMR (101 MHz, DMSO) δ 174.4, 160.0, 160.0, 38.8, 38.6, 33.6, 31.3, 29.0, 28.7, 28.7, 28.5, 26.3, 25.9, 24.2, 22.1, 14.0; HRMS (ESI/Q-TOF) m/z: [M+Na]+ calcd. for C18H34N2O4Na 365.2411; found 365.2410.
6-(2-Oxo-2-(undecylamino)acetamido)hexanoic Acid (8b)
Prepared by hydrolyzing 26b using General procedure C. After cooling to 0 °C, the solution was filtered and washed with cold water. The solids were taken up in dilute HCl, extracted with EtOAc (3 × 100 mL), and dried over MgSO4. Concentration in vacuo afforded the acid 8b (104 mg, 0.29 mmol, 79%) as a pale yellow solid. mp. 142–145 °C. 1H NMR (400 MHz, DMSO) δ 11.97 (s, 1H), 8.78–8.59 (m, 2H), 3.11 (app. q, J = 6.8 Hz, 4H), 2.19 (t, J = 7.4 Hz, 2H), 1.46 (dq, J = 15.3, 7.6 Hz, 6H), 1.24 (s, 18H), 0.86 (t, J = 6.7 Hz, 3H); 13C NMR (101 MHz, DMSO) δ 174.4, 160.0, 160.0, 38.8, 38.6, 33.6, 31.3, 29.0, 29.0, 28.7, 28.7, 28.5, 26.3, 25.9, 24.2, 22.1, 14.0; HRMS (ESI/Q-TOF) m/z: [M+Na]+ calcd. for C19H36N2O4Na 379.2567; found 379.2567.
7-(2-(Nonylamino)-2-oxoacetamido)heptanoic Acid (8c)
Prepared by hydrolyzing 26c using General procedure C. After cooling to 0 °C, the solution was filtered and washed with cold water. The solids were taken up in dilute HCl, extracted with EtOAc (3 × 100 mL), and dried over MgSO4. Concentration in vacuo and recrystallization from first MeOH then CHCl3 afforded the acid 8c (130 mg, 0.38 mmol, 33%) as a white solid. mp. 148 °C; 1H NMR (400 MHz, DMSO) δ 11.96 (s, 1H), 8.76–8.57 (m, 2H), 3.10 (app. q, J = 6.8 Hz, 4H), 2.18 (t, J = 7.4 Hz, 2H), 1.52–1.37 (m, 6H), 1.32–1.16 (m, 16H), 0.85 (t, J = 6.7 Hz, 3H); 13C NMR (101 MHz, DMSO) δ 174.5, 160.0, 160.0, 38.8, 38.7, 33.6, 31.3, 28.9, 28.7, 28.6, 28.6, 28.2, 26.3, 26.0, 24.4, 22.1, 13.9; HRMS (ESI/Q-TOF) m/z: [M+Na]+ calcd. for C18H34N2O4Na 365.2411; found 365.2410.
7-(2-(Decylamino)-2-oxoacetamido)heptanoic Acid (8d)
Prepared by hydrolyzing 27d using General procedure C. After cooling to 0 °C, the solution was filtered and washed with cold water. The solids were taken up in dilute HCl, extracted with EtOAc (3 × 100 mL), and dried over MgSO4. Concentration in vacuo afforded the acid 8d (288 mg, 0.81 mmol, 74%) as a white solid. mp. 146–147 °C; 1H NMR (400 MHz, DMSO) δ 11.95 (s, 1H), 8.75–8.61 (m, 2H), 3.18–3.04 (m, 4H), 2.19 (t, J = 7.4 Hz, 2H), 1.54–1.39 (m, 6H), 1.32–1.15 (m, 19H), 0.91–0.80 (m, 3H); 13C NMR (101 MHz, DMSO) δ 174.9, 160.5, 39.2, 34.1, 31.8, 29.4, 29.2, 28.7, 26.8, 26.5, 24.9, 22.6, 14.4; HRMS (ESI/Q-TOF) m/z: [M+Na]+ calcd. for C19H36N2O4Na 379.2567; found 379.2567.
(Z)-6-(2-Oxo-2-(undec-2-en-1-ylamino)acetamido)hexanoic Acid (8e)
Prepared by hydrolyzing 26e using General procedure C. Work-up: the reaction mixture was acidified with 1.0 M HCl (7.0 mL) to pH 2 and extracted with EtOAc (3 × 10 mL). The combined organic phases were dried (Na2SO4), and the solvent was removed in vacuo. The crude mixture was purified by flash chromatography on silica gel (1:1 → 0:1 heptane:EtOAc) to afford the desired product 8e (20.1 mg, 0.057 mmol, 77%) as a white crystalline solid. Rf 0.49 (EtOAc); mp. 124–126 °C; 1H NMR (400 MHz, CDCl3) δ 7.74–7.58 (m, 1H), 7.57–7.46 (m, 1H), 5.75–5.48 (m, 1H), 5.46–5.33 (m, 1H), 4.11–3.82 (m, 2H), 3.32 (q, J = 6.9 Hz, 2H), 2.36 (t, J = 7.4 Hz, 2H), 2.15–2.01 (m, 2H), 1.73–1.50 (m, 4H), 1.47–1.13 (m, 14H), 0.88 (t, J = 6.7 Hz, 3H); 13C NMR (101 MHz, CDCl3) δ 178.2, 159.9, 159.9, 135.0, 123.7, 39.6, 36.9, 33.7, 32.0, 29.6, 29.6, 29.4 (2 × C), 29.0, 27.6, 26.3, 24.3, 22.8, 14.2; HRMS (ESI/Q-TOF) m/z: [M+Na]+ calcd. for C19H34N2O4Na 377.2411; found 377.2410.
Methyl 6-dodecanamidohexanoate (28a)
The acid chloride of dodecanoic acid (27a) (0.79 g, 4.0 mmol, 2.0 equiv.) was prepared according to General procedure D. Afterwards, methyl 6-aminohexanoate·HCl (24a) (363 mg, 2.00 mmol) was dissolved in MeCN (10 mL) and cooled to 0 °C. The acid chloride in DCM (3.0 mL) and DIPEA (0.70 mL, 4.0 mmol, 2.0 equiv.) was added and the ice bath removed. After stirring overnight, the suspension was concentrated in vacuo and taken up in DCM. The organic phase was washed twice with diluted HCl (1 M) and diluted K2CO3, before drying the organic phase over MgSO4 and evaporating in vacuo. Purification by column chromatography (SiO2, 1:1 EtOAc:n-heptane) afforded amide 28a (309 mg, 0.94 mmol, 47%) as a white solid. mp. 62–63 °C; Rf 0.50 (EtOAc); 1H NMR (400 MHz, CDCl3) δ 5.58 (s, 1H), 3.66 (s, 3H), 3.30–3.18 (m, 2H), 2.31 (t, J = 7.4 Hz, 2H), 2.15 (app. t, 2H), 1.70–1.56 (m, 4H), 1.51 (p, J = 7.8 Hz, 2H), 1.40–1.18 (m, 18H), 0.87 (t, J = 6.8 Hz, 3H); 13C NMR (101 MHz, CDCl3) δ 174.1, 173.5, 51.5, 39.3, 36.7, 33.8, 31.9, 29.6, 29.6, 29.5, 29.4, 29.3, 29.3, 29.2, 26.3, 25.9, 24.4, 22.7, 14.1; HRMS (ESI/Q-TOF) m/z: [M+Na]+ calcd. for C19H37NO3Na 350.2666; found 350.2665.
Methyl 6-tridecanamidohexanoate (28b)
The acid chloride of tridecanoic acid (27b) (499 mg, 2.33 mmol, 1.6 equiv.) was prepared according to General procedure D. Afterwards, methyl 6-aminohexanoate·HCl (24a) (265 mg, 1.45 mmol) was dissolved in MeCN (7.3 mL) and cooled to 0 °C. The acid chloride in DCM (2.0 mL) and DIPEA (0.60 mL, 3.4 mmol, 2.4 equiv.) was added and the ice bath removed. After stirring overnight, the suspension was concentrated in vacuo. Purification by column chromatography (SiO2, 3:2 EtOAc:n-heptane) afforded amide 28b (439 mg, 1.29 mmol, 88%) as a white solid. mp. 68–69 °C; Rf 0.54 (EtOAc); 1H NMR (400 MHz, CDCl3) δ 5.75 (s, 1H), 3.68 (s, 3H), 3.27 (app. q, 2H), 2.33 (t, J = 7.4 Hz, 2H), 2.18 (app. t, 2H), 1.72–1.58 (m, 4H), 1.58–1.48 (m, 2H), 1.43–1.21 (m, 20H), 0.89 (t, J = 6.7 Hz, 3H); 13C NMR (101 MHz, CDCl3) δ 174.1, 173.4, 51.5, 39.3, 36.8, 33.8, 31.9, 29.7, 29.6, 29.6, 29.5, 29.4, 29.4, 29.3, 29.2, 26.3, 25.9, 24.4, 22.7, 14.1; HRMS (ESI/Q-TOF) m/z: [M+Na]+ calcd. for C20H39NO3Na 364.2822; found 364.2821.
Methyl 7-dodecanamidoheptanoate (28c)
The acid chloride of dodecanoic acid (27a) (300 mg, 1.50 mmol, 1.33 equiv.) was prepared according to General procedure D. Methyl 7-aminoheptanoate·HCl (24b) (220 mg, 1.12 mmol) was dissolved in MeCN (7.5 mL) and cooled to 0 °C. The acid chloride in DCM (1.0 mL) and TEA (0.37 mL, 2.6 mmol, 2.3 equiv.) were added and the ice bath removed. After stirring overnight, the suspension was concentrated in vacuo and taken up in DCM. The organic phase was washed with dilute HCl (1 M), dried over MgSO4, and evaporated in vacuo. Purification by column chromatography (SiO2, 3:2 EtOAc:n-heptane) afforded amide 28c (370 mg, 1.08 mmol, 96%) as a white solid. mp. 73 °C; Rf 0.55 (EtOAc); 1H NMR (400 MHz, CDCl3) δ 5.66 (s, 1H), 3.65 (s, 3H), 3.22 (app. q, J = 6.7 Hz, 2H), 2.29 (t, J = 7.5 Hz, 2H), 2.14 (t, J = 7.7 Hz, 2H), 1.67–1.54 (m, 4H), 1.54–1.42 (m, 2H), 1.39–1.17 (m, 20H), 0.86 (t, J = 6.8 Hz, 3H); 13C NMR (101 MHz, CDCl3) δ 174.3, 173.5, 51.6, 39.5, 36.9, 34.0, 32.0, 29.7, 29.7, 29.6, 29.5, 29.5, 29.4, 29.4, 28.8, 26.6, 26.0, 24.9, 22.8, 14.2; HRMS (ESI/Q-TOF) m/z: [M+Na]+ calcd. for C20H39NO3Na 364.2822; found 364.2822.
Methyl 7-tridecanamidoheptanoate (28d)
The acid chloride of tridecanoic acid (27b) (321 mg, 1.52 mmol, 1.33 equiv.) was prepared according to General procedure D. Afterwards, methyl 7-aminoheptanoate·HCl (24b) (221 mg, 1.12 mmol) was dissolved in MeCN (7.5 mL) and cooled to 0 °C. The acid chloride in DCM (1.0 mL) and TEA (0.37 mL, 2.6 mmol, 2.3 equiv.) were added, and the ice bath was removed. After stirring overnight, the suspension was concentrated in vacuo. Purification by column chromatography (SiO2, 1:1 EtOAc:n-heptane) afforded amide 28d (348 mg, 0.98 mmol, 91%) as a white solid. mp 72–73 °C; Rf 0.54 (EtOAc); 1H NMR (400 MHz, CDCl3) δ 5.62 (s, 1H), 3.64 (s, 3H), 3.21 (app. q/m, J = 6.7 Hz, 2H), 2.28 (t, J = 7.5 Hz, 2H), 2.13 (t, J = 7.8 Hz, 2H), 1.66–1.54 (m, 4H), 1.53–1.42 (m, 2H), 1.37–1.17 (m, 22H), 0.86 (t, J = 7.0 Hz, 3H); 13C NMR (101 MHz, CDCl3) δ 174.3, 173.4, 51.6, 39.5, 36.9, 34.0, 32.0, 29.8, 29.7, 29.7, 29.6, 29.5, 29.5, 29.5, 29.4, 28.8, 26.6, 26.0, 24.9, 22.8, 14.2; HRMS (ESI/Q-TOF) m/z: [M+Na]+ calcd. for C21H41NO3Na 378.2979; found 378.2978.
6-Dodecanamidohexanoic Acid (9a)
Ester 28a was hydrolyzed according to General procedure C. After cooling to 0 °C, the solution was filtered and washed with cold water. The solids were taken up in diluted HCl, extracted thrice with EtOAc and dried over MgSO4. Concentration in vacuo afforded carboxylic acid 9a (104 mg, 0.33 mmol, 47%) as white solids. mp. 89–90 °C; 1H NMR (400 MHz, CD3OD) δ 3.16 (t, J = 7.0 Hz, 2H), 2.29 (t, J = 7.4 Hz, 2H), 2.16 (t, J = 7.5 Hz, 2H), 1.67–1.46 (m, 6H), 1.42–1.23 (m, 18H), 0.89 (app. t, 3H); 13C NMR (101 MHz, CD3OD) δ 176.9, 175.6, 39.5, 36.5, 34.2, 32.4, 30.1, 30.0, 29.8, 29.8, 29.6, 29.5, 26.9, 26.5, 25.1, 23.1, 13.8; HRMS (ESI/Q-TOF) m/z: [M+Na]+ calcd. for C18H35NO3Na 336.2509; found 336.2508.
6-Tridecanamidohexanoic Acid (9b)
Ester 28b was hydrolyzed using General procedure C. After cooling to 0 °C, the solution was filtered and washed with cold water. The solids were taken up in diluted HCl, extracted thrice with EtOAc and dried over MgSO4. Concentration in vacuo afforded the acid 9b (172 mg, 0.53 mmol, 45%) as a white solid. mp. 93–94 °C; 1H NMR (400 MHz, CD3OD) δ 3.16 (t, J = 7.0 Hz, 2H), 2.29 (t, J = 7.4 Hz, 2H), 2.16 (t, J = 7.5 Hz, 2H), 1.69–1.46 (m, 6H), 1.42–1.21 (m, 20H), 0.95–0.84 (m, 3H); 13C NMR (101 MHz, CD3OD) δ 176.8, 175.6, 39.5, 36.5, 34.2, 32.4, 30.1, 30.1, 30.1, 30.0, 29.8, 29.8, 29.6, 29.5, 26.9, 26.5, 25.1, 23.1, 13.8; HRMS (ESI/Q-TOF) m/z: [M+Na]+ calcd. for C20H39NO3Na 364.2822; found 364.2821.
7-Dodecanamidoheptanoic Acid (9c)
Prepared by hydrolyzing 28c using General procedure C. After cooling to 0 °C, the solution was filtered and washed with cold water. The solids were taken up in dilute HCl, extracted with EtOAc (3 × 30 mL) and dried over MgSO4. Concentration in vacuo afforded the acid 9c (280 mg, 0.85 mmol, 81%) as a white solid. mp. 104–105 °C; 1H NMR (400 MHz, CD3OD) δ 3.23–3.13 (m, 2H), 2.30 (t, J = 7.4 Hz, 2H), 2.18 (t, J = 7.4 Hz, 2H), 1.58 (dp, J = 43.5, 7.2 Hz, 6H), 1.42–1.25 (m, 20H), 0.92 (t, J = 6.7 Hz, 3H); 13C NMR (101 MHz, CD3OD) δ 176.9, 175.6, 39.6, 36.5, 34.2, 32.4, 30.1, 30.0, 29.8, 29.8, 29.6, 29.6, 29.2, 27.0, 26.5, 25.4, 23.1, 13.8; HRMS (ESI/Q-TOF) m/z: [M+Na]+ calcd. for C19H37NO3Na 350.2666; found 350.2665.
7-Tridecanamidoheptanoic Acid (9d)
Prepared by hydrolyzing 28d using General procedure C. After cooling to 0 °C, the solution was filtered and washed with cold water. The solids were taken up in dilute HCl, extracted with EtOAc (3 × 30 mL) and dried over MgSO4. Concentration in vacuo afforded the acid 9d (278 mg, 0.81 mmol, 85%) as a white solid. mp. 105 °C; 1H NMR (400 MHz, CD3OD) δ 3.16 (t, J = 7.1 Hz, 2H), 2.28 (t, J = 7.4 Hz, 2H), 2.16 (t, J = 7.4 Hz, 2H), 1.68–1.43 (m, 6H), 1.43–1.17 (m, 22H), 0.97–0.83 (m, 3H); 13C NMR (101 MHz, CD3OD) δ 177.6, 176.2, 40.3, 37.2, 34.9, 33.1, 30.8, 30.7, 30.7, 30.5, 30.4, 30.3, 30.3, 29.9, 27.7, 27.1, 26.0, 23.7, 14.4; HRMS (ESI/Q-TOF) m/z: [M+Na]+ calcd. for C20H39NO3Na 364.2822; found 364.2822.
Methyl 8-oxo-8-(undecylamino)octanoate (30a)
Methyl 7-carboxyheptanoate (187 µL, ~200 mg, 1.1 mmol) was taken up in dry DCM (5.3 mL). EDC hydrochloride (0.461 mg, 2.40 mmol, 2.2 equiv.) and N,N-dimethylaminopyridine (DMAP) (261 mg, 2.40 mmol, 2.0 equiv.) were added and the mixture stirred for 30 min. Then, n-undecylamine (229 µL, 1.06 mmol, 1.0 equiv.) was added in one portion and the reaction stirred overnight. The reaction was quenched with water (5 mL) and the phases separated. The organic phase was washed with dilute HCl, dried over MgSO4 and concentrated in vacuo. Column chromatography (SiO2, 1:1 EtOAc:heptane) gave 30a (202 mg, 0.59 mmol, 56%) as a white solid. mp. 71–72 °C; Rf 0.49 (EtOAc); 1H NMR (400 MHz, CDCl3) δ 5.49 (s, 1H), 3.65 (s, 3H), 3.27–3.17 (m, 2H), 2.29 (t, J = 7.5 Hz, 2H), 2.14 (t, J = 7.6 Hz, 2H), 1.69–1.54 (m, 4H), 1.47 (p, J = 7.1 Hz, 2H), 1.39–1.15 (m, 20H), 0.87 (t, J = 6.8 Hz, 3H); 13C NMR (101 MHz, CDCl3) δ 174.3, 173.1, 51.6, 39.7, 36.8, 34.1, 32.0, 29.8, 29.7, 29.7, 29.5, 29.4, 29.0, 28.9, 27.1, 25.7, 24.9, 22.8, 14.2; HRMS (ESI/Q-TOF) m/z: [M+Na]+ calcd. for C20H39NO3Na 364.2822; found 364.2822.
Methyl 8-(dodecylamino)-8-oxooctanoate (30b)
Methyl 7-carboxyheptanoate (195 mg, 1.04 mmol) was taken up in dry DCM (5.3 mL). EDC hydrochloride (415 mg, 2.16 mmol, 2.0 equiv.) and DMAP (260 mg, 2.13 mmol, 2.0 equiv.) were added and the mixture stirred for 30 min. Then, n-dodecylamine (190 mg, 1.03 mmol, 1.0 equiv.) was added in one portion and the reaction stirred overnight. The reaction was quenched with water (5 mL) and the phases separated. The organic phase was washed with dilute HCl, dried over MgSO4 and concentrated in vacuo. Column chromatography (SiO2, 1:1 EtOAc:heptane) gave 30b (250 mg, 0.70 mmol, 66%) as a white solid. mp. 73–74 °C; Rf 0.56 (EtOAc); 1H NMR (400 MHz, CDCl3) δ 5.53 (s, 1H), 3.65 (s, 3H), 3.21 (app. q, 2H), 2.28 (t, J = 7.5 Hz, 2H), 2.14 (t, J = 7.6 Hz, 2H), 1.68–1.55 (m, 4H), 1.53–1.41 (m, 2H), 1.39–1.19 (m, 22H), 0.86 (t, J = 6.8 Hz, 3H); 13C NMR (101 MHz, CDCl3) δ 174.3, 173.1, 51.6, 39.7, 36.8, 34.1, 32.0, 29.8, 29.8, 29.7, 29.7, 29.7, 29.5, 29.4, 29.0, 28.9, 27.0, 25.7, 24.9, 22.8, 14.2; HRMS (ESI/Q-TOF) m/z: [M+Na]+ calcd. for C21H41NO3Na 378.2979; found 378.2978.
Methyl 9-oxo-9-(undecylamino)nonanoate (30c)
n-Undecylamine (0.432 mL, 2.00 mmol 4.00 equiv.), DMAP (0.244 g, 2.00 mmol, 4.00 equiv.), and methyl 8-carboxyoctanoate (0.100 g, 0.49 mmol, 1.00 equiv.) were dissolved in dry DMF (4 mL) and EDCI hydrochloride (0.382 g, 2.00 mmol, 4.00 equiv.) was added portion-wise. After 18 h, the reaction mixture was diluted with water (10 mL) and extracted with Et2O (3 × 10 mL). The combined organic phases were washed with brine (10 mL), dried (Na2SO4), filtrated, and the solvent was removed in vacuo. The residue was purified by flash chromatography on silica gel (heptane:EtOAc 1:1) to afford 30c (0.108 g, 0.30 mmol, 61%) as a crystalline solid. Rf 0.19 (heptane:EtOAc 1:1); mp.: 72–73 °C; 1H NMR (400 MHz, CDCl3) δ 5.52 (br s, 1H), 3.66 (s, 3H), 3.23 (td, J = 7.2, 5.5 Hz, 2H), 2.29 (t, J = 7.5 Hz, 2H), 2.15 (t, J = 7.5 Hz, 2H), 1.73–1.53 (m, 4H), 1.53–1.42 (m, 3H), 1.35–1.18 (m, 22H), 0.87 (t, J = 6.7 Hz, 3H); 13C NMR: (101 MHz, CDCl3) δ = 174.1, 173.1, 51.3, 39.5, 36.5, 33.8, 31.7, 29.4 (3 × C), 29.4, 29.1, 29.1, 28.8, 28.7 (2 × C), 26.7, 25.6, 24.7, 22.5, 13.9; HRMS (ESI/Q-TOF) m/z: [M+Na]+ calcd. for C21H41NO3Na 378.2978; found 378.2979.
Methyl (Z)-9-oxo-9-(undec-2-en-1-ylamino)nonanoate (30d)
EDCI hydrochloride (54.0 mg, 0.28 mmol, 1.20 equiv.) and DIPEA (76.0 mg, 0.591 mmol, 2.50 equiv.) were added to a solution of Z-amine 19 (40.0 mg, 0.243 mmol, 1.00 equiv.) and methyl 8-carboxyoctanoate (47.0 mg, 0.24 mmol, 1.00 equiv.) in dry DMF (2.00 mL). The solution was stirred overnight at rt. The solvent was removed in vacuo and the residue was purified by flash chromatography on silica gel (heptane:EtOAc 1:1) to afford 30d (31.0 mg, 0.09 mmol, 36%) as a crystalline solid. Rf 0.33 (heptane:EtOAc 1:1); mp.: 54–55 °C; 1H NMR (400 MHz, CDCl3) δ 5.61–5.42 (m, 2H), 5.43–5.29 (m, 1H), 3.91–3.83 (m, 2H), 3.64 (s, 3H), 2.28 (t, J = 7.5 Hz, 2H), 2.14 (t, J = 7.6 Hz, 2H), 2.05 (q, J = 7.3 Hz, 2H), 1.70–1.49 (m, 4H), 1.36–1.13 (m, 19H), 0.86 (t, J = 6.8 Hz, 3H); 13C NMR (101 MHz, CDCl3) δ 174.4, 173.0, 134.1, 125.1, 51.6, 36.8, 36.8, 34.1, 32.0, 29.6, 29.6, 29.4, 29.4, 29.2, 29.0, 29.0, 27.5, 25.8, 25.0, 22.8, 14.2; HRMS (ESI/Q-TOF) m/z: [M+Na]+ calcd. for C21H39NO3Na 376.2822; found 376.2822.
8-Oxo-8-(undecylamino)octanoic Acid (10a)
Prepared by hydrolyzing 30a using General procedure C. After cooling to 0 °C, the solution was filtered and washed with cold water. The solids were taken up in dilute HCl, extracted with EtOAc (3 × 30 mL) and dried over MgSO4. Concentration in vacuo afforded 10a (117 mg, 0.36 mmol, 68%) as a white solid. mp. 104–105 °C; 1H NMR (400 MHz, CD3OD) δ 3.15 (t, J = 7.0 Hz, 2H), 2.28 (t, J = 7.4 Hz, 2H), 2.17 (t, J = 7.5 Hz, 2H), 1.67–1.55 (m, 4H), 1.55–1.43 (m, 2H), 1.40–1.22 (m, 20H), 0.90 (t, J = 7.1 Hz, 3H); 13C NMR (101 MHz, CD3OD) δ 176.9, 175.5, 48.1, 47.9, 47.7, 39.7, 36.4, 34.2, 32.4, 30.1, 30.1, 30.1, 29.8, 29.8, 29.3, 29.2, 27.4, 26.3, 25.3, 23.1, 13.8; HRMS (ESI/Q-TOF) m/z: [M+Na]+ calcd. for C19H37NO3Na 350.2666; found 350.2665.
8-(Dodecylamino)-8-oxooctanoic Acid (10b)
Prepared by hydrolyzing 30b using General procedure C. After cooling to 0 °C, the solution was filtered and washed with cold water. The solids were taken up in dilute HCl, extracted with EtOAc (3 × 30 mL) and dried over MgSO4. Concentration in vacuo afforded 10b (201 mg, 0.59 mmol, 86%) as a white solid. mp. 104–105 °C; 1H NMR (400 MHz, CD3OD) δ 7.92 (s, 1H), 3.20–3.11 (m, 2H), 2.28 (t, J = 7.4 Hz, 2H), 2.17 (t, J = 7.5 Hz, 2H), 1.67–1.55 (m, 4H), 1.55–1.43 (m, 2H), 1.39–1.23 (m, 22H), 0.90 (t, J = 7.0 Hz, 3H); 13C NMR (101 MHz, CD3OD) δ 176.9, 175.5, 39.7, 36.4, 34.2, 32.4, 30.1, 30.1, 30.1, 29.8, 29.8, 29.3, 29.2, 27.4, 26.3, 25.3, 23.1, 13.8; HRMS (ESI/Q-TOF) m/z: [M+Na]+ calcd. for C20H39NO3Na 364.2822; found 364.2822.
9-Oxo-9-(undecylamino)nonanoic Acid (10c)
Prepared by hydrolyzing 30c using General procedure C. The aqueous solution was acidified with HCl (conc.) to pH 2 and extracted with EtOAc (3 × 10 mL). The combined organic phases were washed with brine (25 mL), dried (Na2SO4), and the solvent was removed in vacuo. The crude product was recrystallized using MeOH as a solvent, and the crystals were washed with cold MeOH to afford the desired product 10c (41.0 mg, 0.120 mmol, 85%) as a white crystalline solid. Rf 0.21 (DCM:MeOH 96:4; mp.: 96–98 °C; 1H NMR (400 MHz, CD3OD) δ 3.16 (t, J = 7.0 Hz, 2H), 2.29 (t, J = 7.4 Hz, 2H), 2.18 (t, J = 7.4 Hz, 2H), 1.72–1.55 (m, 4H), 1.55–1.44 (m, 2H), 1.41–1.23 (m, 22H), 0.91 (t, J = 6.8 Hz, 3H); 13C NMR (101 MHz, CD3OD) δ 177.7, 176.2, 40.3, 37.1, 35.0, 33.1, 30.7 (3 × C), 30.5, 30.4 (2 × C), 30.1 (3 × C), 28.0, 27.1, 26.1, 23.7, 14.4; HRMS (ESI/Q-TOF) m/z: [M+Na]+ calcd. for C20H39NO3Na 364.2822; found 364.2821.
(Z)-9-Oxo-9-(undec-2-en-1-ylamino)nonanoic Acid (10d)
Prepared by hydrolyzing 30d using General procedure C. The reaction mixture was acidified with 1.0 M HCl (6.0 mL) to pH 2 and extracted with EtOAc (3 × 10 mL). The combined organic phases were dried (Na2SO4), and the solvent was removed in vacuo. The crude mixture was purified by flash chromatography on silica gel (DCM, 1:0 → 0:1 heptane:EtOAc) to afford the desired product 10d (21.0 mg, 0.062 mmol, 84%) as a white crystalline solid. Rf 0.41 (EtOAc); mp. 73–74 °C; 1H NMR: (400 MHz, CDCl3) δ 5.62–5.51 (m, 1H), 5.47 (br. s, 1H), 5.43–5.31 (m, 1H), 3.88 (t, J = 6.3 Hz, 2H), 2.33 (t, J = 7.5 Hz, 2H), 2.24–2.12 (m, 2H), 2.07 (q, J = 7.2 Hz, 2H), 1.69–1.55 (m, 4H), 1.38–1.17 (m, 18H), 0.87 (t, J = 6.8 Hz, 3H); 13C NMR (101 MHz, CDCl3) δ 179.0, 173.4, 134.2, 125.0, 36.9, 36.8, 34.1, 32.0, 29.6, 29.6, 29.4, 29.4, 29.1, 29.0, 29.0, 27.5, 25.8, 24.8, 22.8, 14.2; HRMS (ESI/Q-TOF) m/z: [M+Na]+ calcd. for C20H37NO3Na 362.2666; found 362.2665.
Measurement of Human sEH and mEH Inhibition
The inhibition potency of the compounds against the recombinant purified human and mouse sEH and human mEH were measured using sensitive fluorescent assays [51,52]. The enzymes were diluted to the proper buffer and aliquoted in black 96-well plates. The enzymes were incubated with the inhibitors (0.4 < [I] < 50,000 nM) for 5 min at 37 °C before the introduction of the reporting substrate. For the sEH, nonfluorescent cyano(6-methoxy-naphthalen-2-yl)methyl trans-[(3-phenyloxiran-2-yl)methyl] carbonate MNPC was used as the reporting substrate at a final concentration of 5 μM [51]. For the mEH, cyano(6-methoxy-naphthalen-2-yl)methyl glycidyl carbonate (MNGC) was used at a final concentration of 5 µM. The formation of the product (6-methoxynaphthaldehyde) was measured (λem = 330 nm, λex = 465 nm) every 30 s for 10 min by a Molecular Device M-2 plate reader. All measurements were performed in triplicate. The inhibitory potency (IC50) was calculated by regression of at least four data points on both sides of the 50% mark.
3.3. In Vitro Cell Viability Assay
3.3.1. Chemicals
Sorafenib was obtained from LC Laboratories (catalog no S-8502) (Woburn, MA, USA). For cell viability, the WST assay Cell Counting Kit 8 (WST-8/CCK8) (ab228554) from Abcam Limited was used.
3.3.2. Methodology
Human renal mesangial cells (4200, ScienCell, Carlsbad, CA, USA) were cultured at 37 °C (in 5% CO2) in RPMI 1640 medium (Gibco™, LS11875093) containing 10% FBS, 100 U/mL of penicillin, and 0.1 mg/mL of streptomycin. The cells were subculture following the protocol of the manufacturer.
WST assay: To evaluate the effect of 8,9-EET analogs and sorafenib on the viability of human renal mesangial cells, a 96-well TPP plate is seeded with cells, which are then allowed to adhere. Over the course of 24 h, they undergo serum starvation before being subject to one of five treatments: Control (no treatment), Sorafenib (10 µM), Sorafenib plus 8,9-EET analogs (1 µM, 3 µM or 10 µM). After 48 h incubation, a WST assay [53] used to gain information on cell survival; we added 10 μL WST reagent per well and incubated for 2 h. WST-8 tetrazolium salt is reduced by cellular dehydrogenases to an orange formazan product that is soluble in tissue culture medium. The amount of formazan produced is directly proportional to the number of living cells and is measured by absorbance at 460 nm. The absorbance at 460 nm is determined using a Synergy 4 Microplate Reader.
4. Conclusions
A library of nineteen 8,9-EET analogs was synthesized and each compound evaluated for its ability to protect renal mesangial cells against sorafenib-induced toxicity and as human sEH and mEH inhibitors. All compounds feature amide-like substitutions of the epoxide group, which confers stability against degradation by sEH. In this preliminary structure–activity relationship (SAR) study, it was shown that the oxamide group could act as a good substitution for the epoxide group in 8,9-EET as nephroprotective agents. Amide substituents could result in moderately good nephroprotective effect, whereas urea-containing analogs were largely inactive. Oxamide analog 8b was the most effective and provided good protective effect even at 1 µM, while not being an inhibitor of sEH. No correlation between the nephroprotective effect and sEH inhibition was found during this project. A more elaborative SAR of 8b is warranted to further explore the structural requirements for the observed nephroprotective effect.
Supplementary Materials
The following supporting information can be downloaded at: https://www.mdpi.com/article/10.3390/molecules30071445/s1, Figures S1–S121: 1H NMR, 13C NMR spectra and all WST graphs.
Author Contributions
Conceptualization, A.V. and B.D.H.; methodology, A.V. and J.D.I.; formal analysis, A.M. and M.d.B.; investigation, A.M., C.M., M.d.B. and R.S.M.; writing—original draft preparation, A.V., A.M. and M.d.B.; writing—review and editing, A.M., A.V., C.M., J.D.I., M.d.B. and B.D.H.; visualization, A.M. and M.d.B.; supervision, A.V., J.D.I. and M.d.B.; project administration, A.V. All authors have read and agreed to the published version of the manuscript.
Funding
This study was supported, in part, by a grant from the National Institute of Environmental Health Sciences (NIEHS, R35ES030443), and NIEHS Superfund Research Program (P42 ES004699). Partial support was provided by NIH-NIEHS (RIVER Award) R35 ES030443-01, NIH-NIEHS (Superfund Award) P42 ES004699, 01 NIH-NINDS U54 NS127758 (Counter Act Program), Harrington Brain Health Medicines Scholar Award for Alzheimer’s Disease, Juvenile Diabetes Research Foundation (JDRF) Grant #: 2-SRA-2022-1210-S-B. and A gift from Jeff and Diane Larkey for research on Parkinson’s disease in memory of their parents.
Institutional Review Board Statement
Not applicable.
Informed Consent Statement
Not applicable.
Data Availability Statement
The data supporting this article have been included as part of the ESI in Supplementary Materials.
Conflicts of Interest
The authors declare no conflicts of interest.
References
- Chacos, N.; Falck, J.; Wixtrom, C.; Capdevila, J. Novel epoxides formed during the liver cytochrome P-450 oxidation of arachidonic acid. Biochem. Biophys. Res. Commun. 1982, 104, 916–922. [Google Scholar] [CrossRef]
- Tacconelli, S.; Patrignani, P. Inside epoxyeicosatrienoic acids and cardiovascular disease. Front. Pharmacol. 2014, 5, 239. [Google Scholar] [CrossRef]
- Xu, X.; Zhang, X.A.; Wang, D.W. The roles of CYP450 epoxygenases and metabolites, epoxyeicosatrienoic acids, in cardiovascular and malignant diseases. Adv. Drug Deliv. Rev. 2011, 63, 597–609. [Google Scholar] [CrossRef]
- Shahabi, P.; Siest, G.; Visvikis-Siest, S. Influence of inflammation on cardiovascular protective effects of cytochrome P450 epoxygenase-derived epoxyeicosatrienoic acids. Drug Metab. Rev. 2014, 46, 33–56. [Google Scholar] [CrossRef]
- Deng, Y.; Theken, K.N.; Lee, C.R. Cytochrome P450 epoxygenases, soluble epoxide hydrolase, and the regulation of cardiovascular inflammation. J. Mol. Cell. Cardiol. 2010, 48, 331–341. [Google Scholar] [CrossRef]
- Yang, L.; Mäki-Petäjä, K.; Cheriyan, J.; McEniery, C.; Wilkinson, I.B. The role of epoxyeicosatrienoic acids in the cardiovascular system. Br. J. Clin. Pharmacol. 2015, 80, 28–44. [Google Scholar] [CrossRef]
- Donnelly, M.K.; Conley, Y.P.; Crago, E.A.; Ren, D.; Sherwood, P.R.; Balzer, J.R.; Poloyac, S.M. Genetic markers in the EET metabolic pathway are associated with outcomes in patients with aneurysmal subarachnoid hemorrhage. J. Cereb. Blood Flow Metab. 2015, 35, 267–276. [Google Scholar] [CrossRef]
- Duflot, T.; Roche, C.; Lamoureux, F.; Guerrot, D.; Bellien, J. Design and discovery of soluble epoxide hydrolase inhibitors for the treatment of cardiovascular diseases. Expert Opin. Drug Discov. 2014, 9, 229–243. [Google Scholar] [CrossRef]
- Kim, J.; Imig, J.D.; Yang, J.; Hammock, B.D.; Padanilam, B.J.; Wang, Q.; Liang, Y.; Qiao, Y.; Zhao, X.; Yang, Y.; et al. Inhibition of soluble epoxide hydrolase prevents renal interstitial fibrosis and inflammation. Am. J. Physiol. Physiol. 2014, 307, F971–F980. [Google Scholar] [CrossRef]
- Chen, G.; Xu, R.; Wang, Y.; Wang, P.; Zhao, G.; Xu, X.; Gruzdev, A.; Zeldin, D.C.; Wang, D.W. Genetic disruption of soluble epoxide hydrolase is protective against streptozotocin-induced diabetic nephropathy. Am. J. Physiol. Metab. 2012, 303, E563–E575. [Google Scholar] [CrossRef]
- Iyer, M.R.; Kundu, B.; Wood, C.M. Soluble epoxide hydrolase inhibitors: An overview and patent review from the last decade. Expert Opin. Ther. Patents 2022, 32, 629–647. [Google Scholar] [CrossRef]
- Duflot, T.; Laurent, C.; Soudey, A.; Fonrose, X.; Hamzaoui, M.; Iacob, M.; Bertrand, D.; Favre, J.; Etienne, I.; Roche, C.; et al. Preservation of epoxyeicosatrienoic acid bioavailability prevents renal allograft dysfunction and cardiovascular alterations in kidney transplant recipients. Sci. Rep. 2021, 11, 3739. [Google Scholar] [CrossRef]
- Elmarakby, A.A. Reno-protective mechanisms of epoxyeicosatrienoic acids in cardiovascular disease. Am. J. Physiol. Integr. Comp. Physiol. 2012, 302, R321–R330. [Google Scholar] [CrossRef]
- Falck, J.R.; Koduru, S.R.; Mohapatra, S.; Manne, R.; Atcha, R.; Manthati, V.L.; Capdevila, J.H.; Christian, S.; Imig, J.D.; Campbell, W.B. 14,15-Epoxyeicosa-5,8,11-trienoic Acid (14,15-EET) Surrogates: Carboxylate Modifications. J. Med. Chem. 2014, 57, 6965–6972. [Google Scholar] [CrossRef]
- Pozzi, A.; Macias-Perez, I.; Abair, T.; Wei, S.; Su, Y.; Zent, R.; Falck, J.R.; Capdevila, J.H. Characterization of 5,6- and 8,9-epoxyeicosatrienoic acids (5,6- and 8,9-EET) as potent in vivo angiogenic lipids. J. Biol. Chem. 2005, 280, 27138–27146. [Google Scholar] [CrossRef]
- Rand, A.A.; Barnych, B.; Morisseau, C.; Cajka, T.; Lee, K.S.S.; Panigrahy, D.; Hammock, B.D. Cyclooxygenase-derived proangiogenic metabolites of epoxyeicosatrienoic acids. Proc. Natl. Acad. Sci. USA 2017, 114, 4370–4375. [Google Scholar] [CrossRef]
- Morisseau, C.; Hammock, B.D. Gerry Brooks and epoxide hydrolases: Four decades to a pharmaceutical. Pest Manag. Sci. Former. Pestic. Sci. 2008, 64, 594–609. [Google Scholar] [CrossRef]
- Yang, W.; Tuniki, V.R.; Anjaiah, S.; Falck, J.R.; Hillard, C.J.; Campbell, W.B. Characterization of epoxyeicosatrienoic acid binding site in U937 membranes using a novel radiolabeled agonist, 20-125i-14,15-epoxyeicosa-8(Z)-enoic acid. J. Pharmacol. Exp. Ther. 2008, 324, 1019–1027. [Google Scholar] [CrossRef]
- Imig, J.D.; Khan, M.A.H.; Burkhan, A.; Chen, G.; Adebesin, A.M.; Falck, J.R. Kidney-targeted epoxyeicosatrienoic acid analog, EET-F01, reduces inflammation, oxidative stress, and cisplatin-induced nephrotoxicity. Int. J. Mol. Sci. 2021, 22, 2793. [Google Scholar] [CrossRef]
- Khan, M.A.H.; Falck, J.R.; Manthati, V.L.; Campbell, W.B.; Imig, J.D. Epoxyeicosatrienoic acid analog attenuates angiotensin II hypertension and kidney injury. Front. Pharmacol. 2014, 5, 216. [Google Scholar] [CrossRef]
- Khan, M.A.H.; Pavlov, T.S.; Christain, S.V.; Neckář, J.; Staruschenko, A.; Gauthier, K.M.; Capdevila, J.H.; Falck, J.R.; Campbell, W.B.; Imig, J.D. Epoxyeicosatrienoic acid analogue lowers blood pressure through vasodilation and sodium channel inhibition. Clin. Sci. 2014, 127, 463–474. [Google Scholar] [CrossRef]
- Imig, J.D. Prospective for cytochrome P450 epoxygenase cardiovascular and renal therapeutics. Pharmacol. Ther. 2018, 192, 1–19. [Google Scholar] [CrossRef]
- Kranrod, J.; Konkel, A.; Valencia, R.; Darwesh, A.M.; Fischer, R.; Schunck, W.-H.; Seubert, J.M. Cardioprotective properties of OMT-28, a synthetic analog of omega-3 epoxyeicosanoids. J. Biol. Chem. 2024, 300, 107372. [Google Scholar] [CrossRef]
- Berlin, S.; Goette, A.; Summo, L.; Lossie, J.; Gebauer, A.; Al-Saady, N.; Calo, L.; Naccarelli, G.; Schunck, W.-H.; Fischer, R.; et al. Assessment of OMT-28, a synthetic analog of omega-3 epoxyeicosanoids, in patients with persistent atrial fibrillation: Rationale and design of the PROMISE-AF phase II study. IJC Heart Vasc. 2020, 29, 100573. [Google Scholar] [CrossRef]
- Rosenberg, L.; Yoon, C.H.; Sharma, G.; Bertagnolli, M.M.; Cho, N.L. Sorafenib inhibits proliferation and invasion in desmoid-derived cells by targeting Ras/MEK/ERK and PI3K/Akt/mTOR pathways. Carcinogenesis 2018, 39, 681–688. [Google Scholar] [CrossRef]
- Santos, M.L.C.; de Brito, B.B.; da Silva, F.A.F.; Botelho, A.C.D.S.; de Melo, F.F. Nephrotoxicity in cancer treatment: An overview. World J. Clin. Oncol. 2020, 11, 190. [Google Scholar] [CrossRef]
- Vermassen, T.; Geboes, K.; Lumen, N.; Van Praet, C.; Rottey, S.; Delanghe, J. Comparison of different estimated glomerular filtration rates for monitoring of kidney function in oncology patients. Clin. Kidney J. 2024, 17, sfae006. [Google Scholar]
- Perazella, M.A. Onco-nephrology: Renal toxicities of chemotherapeutic agents. Clin. J. Am. Soc. Nephrol. 2012, 7, 1713–1721. [Google Scholar]
- Harris, R.C.; Jacobson, H.R.; Capdevila, J.; Homma, T. Epoxyeicosatrienoic acids activate Na+/H+ exchange and are mitogenic in cultured rat glomerular mesangial cells. J. Cell. Physiol. 1990, 144, 429–437. [Google Scholar]
- Adebesin, A.M.; Wesser, T.; Vijaykumar, J.; Konkel, A.; Paudyal, M.P.; Lossie, J.; Zhu, C.; Westphal, C.; Puli, N.R. Fischer and others. Development of robust 17 (R), 18 (S)-epoxyeicosatetraenoic acid (17, 18-EEQ) analogues as potential clinical antiarrhythmic agents. J. Med. Chem. 2019, 62, 10124–10143. [Google Scholar]
- Falck, J.R.; Wallukat, G.; Puli, N.; Goli, M.; Arnold, C.; Konkel, A.; Rothe, M.; Fischer, R.; Müller, D.N.; Schunck, W.-H. 17 (R), 18 (S)-epoxyeicosatetraenoic acid, a potent eicosapentaenoic acid (EPA) derived regulator of cardiomyocyte contraction: Structure–activity relationships and stable analogues. J. Med. Chem. 2011, 54, 4109–4118. [Google Scholar] [CrossRef]
- Khan, M.A.H.; Liu, J.; Kumar, G.; Skapek, S.X.; Falck, J.R.; Imig, J.D. Novel orally active epoxyeicosatrienoic acid (EET) analogs attenuate cisplatin nephrotoxicity. FASEB J. 2013, 27, 2946–2956. [Google Scholar] [CrossRef]
- Falck, J.R.; Krishna, U.M.; Reddy, Y.K.; Kumar, P.S.; Reddy, K.M.; Hittner, S.B.; Deeter, C.; Sharma, K.K.; Gauthier, K.M.; Campbell, W.B. Comparison of vasodilatory properties of 14, 15-EET analogs: Structural requirements for dilation. Am. J. Physiol.-Heart Circ. Physiol. 2003, 284, H337–H349. [Google Scholar] [CrossRef]
- Sharma, M.; McCarthy, E.T.; Reddy, D.S.; Patel, P.K.; Savin, V.J.; Medhora, M.; Falck, J.R. 8,9-Epoxyeicosatrienoic acid protects the glomerular filtration barrier. Prostaglandins Other Lipid Mediat. 2009, 89, 43–51. [Google Scholar] [CrossRef]
- Oliw, E.H. 17R (18S) epoxyeicosatetraenoic acid, a cytochrome P-450 metabolite of 20: 5n-3 in monkey seminal vesicles, is metabolized to novel prostaglandins. Biochem. Biophys. Res. Commun. 1991, 178, 1444–1450. [Google Scholar] [CrossRef]
- Falck, J.R.; Kodela, R.; Manne, R.; Atcha, K.R.; Puli, N.; Dubasi, N.; Manthati, V.L.; Capdevila, J.H.; Yi, X.-Y.; Goldman, D.H.; et al. 14,15-Epoxyeicosa-5,8,11-trienoic Acid (14,15-EET) Surrogates Containing Epoxide Bioisosteres: Influence upon Vascular Relaxation and Soluble Epoxide Hydrolase Inhibition. J. Med. Chem. 2009, 52, 5069–5075. [Google Scholar] [CrossRef]
- Kranrod, J.W.B.; Darwesh, A.M.; Bassiouni, W.M.; Huang, A.; Fang, L.B.; Korodimas, J.V.; Adebesin, A.M.; Munnuri, S.; Falck, J.R.; Seubert, J.M. Cardioprotective action of a novel synthetic 19,20-EDP analog is Sirt dependent. J. Cardiovasc. Pharmacol. 2024, 83, 105–115. [Google Scholar] [CrossRef]
- Thomson, D.W.; Commeureuc, A.G.J.; Berlin, S.; Murphy, J.A. Efficient route to the pineal hormone melatonin by radical-based indole synthesis. Synth. Commun. 2003, 33, 3631–3641. [Google Scholar] [CrossRef]
- Shore, E.R.; Awais, M.; Kershaw, N.M.; Gibson, R.R.; Pandalaneni, S.; Latawiec, D.; Wen, L.; Javed, M.A.; Criddle, D.N.; Berry, N.; et al. Small molecule inhibitors of cyclophilin D to protect mitochondrial function as a potential treatment for acute pancreatitis. J. Med. Chem. 2016, 59, 2596–2611. [Google Scholar] [CrossRef] [PubMed]
- Alig, L.; Edenhofer, A.; Hadvary, P.; Huerzeler, M.; Knopp, D.; Mueller, M.; Steiner, B.; Trzeciak, A.; Weller, T. Low molecular weight, non-peptide fibrinogen receptor antagonists. J. Med. Chem. 1992, 35, 4393–4407. [Google Scholar] [CrossRef] [PubMed]
- Wang, A.; Tomczuk, B.E.; Lu, T.; Soll, R.M.; Spurlino, J.C.; Bone, R.F. Cyclic Oxyguanidine Pyrazinones as Protease Inhibitors. Google Patents WO2002006248A2, 4 April 2002. [Google Scholar]
- Ho, J.Z.; Braun, M.P.; Subramanian, R.; Gao, Y.-D.; Dean, D.C.; Melillo, D.G. Synthesis of 13C-Labeled Pyrazinone Thrombin Inhibitors and Elucidation of Metabolic Activation Pathways. Helvetica Chim. Acta 2004, 87, 674–681. [Google Scholar] [CrossRef]
- Sheehan, J.C.; Preston, J.; Cruickshank, P.A. A rapid synthesis of oligopeptide derivatives without isolation of intermediates. J. Am. Chem. Soc. 1965, 87, 2492–2493. [Google Scholar] [PubMed]
- Kim, I.-H.; Nishi, K.; Tsai, H.-J.; Bradford, T.; Koda, Y.; Watanabe, T.; Morisseau, C.; Blanchfield, J.; Toth, I.; Hammock, B.D. Design of bioavailable derivatives of 12-(3-adamantan-1-yl-ureido) dodecanoic acid, a potent inhibitor of the soluble epoxide hydrolase. Bioorganic Med. Chem. 2007, 15, 312–323. [Google Scholar]
- Hammock, B.D.; McReynolds, C.B.; Wagner, K.; Buckpitt, A.; Cortes-Puch, I.; Croston, G.; Lee, K.S.S.; Yang, J.; Schmidt, W.K.; Hwang, S.H. Movement to the clinic of soluble epoxide hydrolase inhibitor EC5026 as an analgesic for neuropathic pain and for use as a nonaddictive opioid alternative. J. Med. Chem. 2021, 64, 1856–1872. [Google Scholar]
- Liu, J.-Y.; Park, S.-H.; Morisseau, C.; Hwang, S.H.; Hammock, B.D.; Weiss, R.H. Sorafenib has soluble epoxide hydrolase inhibitory activity, which contributes to its effect profile in vivo. Mol. Cancer Ther. 2009, 8, 2193–2203. [Google Scholar]
- Allan, R.D.; Johnston, A.R.; Kazlauskas, R. Synthesis of analogues of GABA. XIII. An alternative route to (Z)-4-aminocrotonic acid. Aust. J. Chem. 1985, 38, 1647–1650. [Google Scholar] [CrossRef]
- Nohara, F.; Yokomori, S.; Hayashi, M.; Hatayama, K. Preparation of Aminobutenol. Patent JP03209349, 15 September 1998. [Google Scholar]
- Veale, E.B.; O’Brien, J.E.; McCabe, T.; Gunnlaugsson, T. The synthesis, N-alkylation and epimerisation study of a phthaloyl derived thiazolidine. Tetrahedron 2008, 64, 6794–6800. [Google Scholar]
- Tolstoy, P.; Engman, M.; Paptchikhine, A.; Bergquist, J.; Church, T.L.; Leung, A.W.-M.; Andersson, P.G. Iridium-catalyzed asymmetric hydrogenation yielding chiral diarylmethines with weakly coordinating or noncoordinating substituents. J. Am. Chem. Soc. 2009, 131, 8855–8860. [Google Scholar]
- Jones, P.D.; Wolf, N.M.; Morisseau, C.; Whetstone, P.; Hock, B.; Hammock, B.D. Fluorescent substrates for soluble epoxide hydrolase and application to inhibition studies. Anal. Biochem. 2005, 343, 66–75. [Google Scholar]
- Morisseau, C.; Bernay, M.; Escaich, A.; Sanborn, J.R.; Lango, J.; Hammock, B.D. Development of fluorescent substrates for microsomal epoxide hydrolase and application to inhibition studies. Anal. Biochem. 2011, 414, 154–162. [Google Scholar]
- Lu, Z.-L.; Song, C.-K.; Zou, S.-S.; Pan, S.-Z.; Lai, K.; Li, N.; Geng, Q. Hydroxycitric Acid Alleviated Lung Ischemia-Reperfusion Injury by Inhibiting Oxidative Stress and Ferroptosis through the Hif-1α Pathway. Curr. Issues Mol. Biol. 2023, 45, 9868–9886. [Google Scholar] [CrossRef]
Disclaimer/Publisher’s Note: The statements, opinions and data contained in all publications are solely those of the individual author(s) and contributor(s) and not of MDPI and/or the editor(s). MDPI and/or the editor(s) disclaim responsibility for any injury to people or property resulting from any ideas, methods, instructions or products referred to in the content. |
© 2025 by the authors. Licensee MDPI, Basel, Switzerland. This article is an open access article distributed under the terms and conditions of the Creative Commons Attribution (CC BY) license (https://creativecommons.org/licenses/by/4.0/).
























