Sign in to use this feature.

Years

Between: -

Subjects

remove_circle_outline
remove_circle_outline
remove_circle_outline
remove_circle_outline
remove_circle_outline
remove_circle_outline

Journals

Article Types

Countries / Regions

Search Results (17)

Search Parameters:
Keywords = soil loosening element

Order results
Result details
Results per page
Select all
Export citation of selected articles as:
25 pages, 5269 KB  
Article
An Earthworm-Inspired Subsurface Robot for Low-Disturbance Mitigation of Grassland Soil Compaction
by Yimeng Cai and Sha Liu
Appl. Sci. 2026, 16(1), 115; https://doi.org/10.3390/app16010115 - 22 Dec 2025
Viewed by 257
Abstract
Soil compaction in grassland and agricultural soils reduces water infiltration, root growth and ecosystem services. Conventional deep tillage and coring can alleviate compaction but are energy intensive and strongly disturb the turf. This study proposes an earthworm-inspired subsurface robot as a low-disturbance loosening [...] Read more.
Soil compaction in grassland and agricultural soils reduces water infiltration, root growth and ecosystem services. Conventional deep tillage and coring can alleviate compaction but are energy intensive and strongly disturb the turf. This study proposes an earthworm-inspired subsurface robot as a low-disturbance loosening tool for compacted grassland soils. Design principles are abstracted from earthworm body segmentation, anchoring–propulsion peristaltic locomotion and corrugated body surface, and mapped onto a robotic body with anterior and posterior telescopic units, a flexible mid-body segment, a corrugated outer shell and a brace-wire steering mechanism. Kinematic simulations evaluate the peristaltic actuation mechanism and predict a forward displacement of approximately 15 mm/cycle. Using the finite element method and a Modified Cam–Clay soil model, different linkage layouts and outer-shell geometries are compared in terms of radial soil displacement and drag force in cohesive loam. The optimised corrugated outer shell combining circumferential and longitudinal waves lowers drag by up to 20.1% compared with a smooth cylinder. A 3D-printed prototype demonstrates peristaltic locomotion and steering in bench-top tests. The results indicate the potential of earthworm-inspired subsurface robots to provide low-disturbance loosening in conservation agriculture and grassland management, and highlight the need for field experiments to validate performance in real soils. Full article
(This article belongs to the Section Agricultural Science and Technology)
Show Figures

Figure 1

22 pages, 6039 KB  
Article
Study on the Interaction Mechanism Between Sandy Soils and Soil Loosening Device in Xinjiang Cotton Fields Based on the Discrete Element Method
by Jinming Li, Jiaxi Zhang, Yichao Wang, Hu Zhang, Shilong Shen, Wenhao Dong and Shalamu Abudu
Agriculture 2025, 15(24), 2587; https://doi.org/10.3390/agriculture15242587 - 15 Dec 2025
Viewed by 300
Abstract
Asoil loosening device is designed to overcome the poor soil disturbance performance observed during residual film recovery, thereby effectively improving residual film recovery rates. Based on soil properties measured in cotton fields, a discrete element method was developed to simulate the interaction between [...] Read more.
Asoil loosening device is designed to overcome the poor soil disturbance performance observed during residual film recovery, thereby effectively improving residual film recovery rates. Based on soil properties measured in cotton fields, a discrete element method was developed to simulate the interaction between the soil and the soil loosening device. A comparative analysis of the soil angle of repose and soil firmness was conducted to validate the accuracy of the soil discrete element model. Simulation experiments were conducted to analyze the effects of forward speed on soil particle velocity, soil particle forces, and forces on the soil loosening device. A theoretical analysis was performed to examine how forward speed and soil penetration depth affect the soil disturbance coefficient. Using this coefficient as the evaluation metric, a Central Composite Design experiment was carried out. Using the soil disturbance coefficient as the evaluation criterion, a central composite design experiment was carried out to identify the optimal parameter set: a forward speed of 6 km/h and a tillage implement penetration depth of 108 mm. Under these optimized conditions, the standard deviation of the soil disturbance coefficient was measured at 1.92%, which satisfies the operational requirements. The results offer useful insights for the design improvement of tillage implements. Full article
(This article belongs to the Section Agricultural Technology)
Show Figures

Figure 1

21 pages, 2409 KB  
Article
Optimization of Liquid Manure Injector Designs for Cover Crop Systems Using Discrete Element Modeling and Soil Bin Evaluation
by Adewale Sedara, Zhiwei Zeng, Matthew Digman and Aaron Timm
AgriEngineering 2025, 7(12), 404; https://doi.org/10.3390/agriengineering7120404 - 2 Dec 2025
Cited by 1 | Viewed by 424
Abstract
This study integrates Discrete Element Method (DEM) simulations, soil bin experiments, and multi-objective optimization to develop an energy-efficient manure injector shank. Eighteen geometries were first screened using DEM, reducing the set to six designs (S_1–S_6) based on draft force–rupture area performance. The selected [...] Read more.
This study integrates Discrete Element Method (DEM) simulations, soil bin experiments, and multi-objective optimization to develop an energy-efficient manure injector shank. Eighteen geometries were first screened using DEM, reducing the set to six designs (S_1–S_6) based on draft force–rupture area performance. The selected designs, varying in rake angle (30°, 45°, 60°), thickness (25 and 30 mm), and width (102, 110, and 118 mm), were tested in a soil bin to measure draft, trench width, spoil cross-sectional area, and soil rupture. Statistical analysis revealed significant differences among designs (p < 0.05), confirming that rake angle, width, and thickness have a strong influence on the soil–tool interaction. A multi-objective optimization framework was then used to minimize draft, trench width, and spoil area while maximizing rupture, with performance quantified through overall desirability values (0–1). Shank S_3 (45° rake, 25 mm thickness, 110 mm width) achieved the highest desirability (0.6676), representing the best trade-off between energy efficiency, minimal surface disturbance, and effective subsurface loosening. This integrated DEM–experimental–optimization approach demonstrates a reliable, data-driven workflow for implement design, reducing reliance on extensive field trials. However, future studies should validate the performance of S_3 and other candidate designs under diverse soil types, moisture levels, and operating conditions to confirm their agronomic and environmental benefits. Full article
(This article belongs to the Section Agricultural Mechanization and Machinery)
Show Figures

Figure 1

23 pages, 7435 KB  
Article
Composite Biomimetic Multi-Subsoiler for Drag Reduction and Wear Resistance Simulation and Experimental Validation
by Xiaoyang Wang, Jinguang Li, Junyan Liu, Le Yang, Fancheng Dai, Chanjuan Long and Lijun Zhao
Biomimetics 2025, 10(12), 793; https://doi.org/10.3390/biomimetics10120793 - 21 Nov 2025
Viewed by 562
Abstract
In the process of operating subsoiling implements on sloping red soil in Southwest China, the subsoiler tip faces significant challenges due to strong soil adhesion and severe compaction. By employing engineering bionics, integrating bionic geometric structures and surfaces, this study focuses on the [...] Read more.
In the process of operating subsoiling implements on sloping red soil in Southwest China, the subsoiler tip faces significant challenges due to strong soil adhesion and severe compaction. By employing engineering bionics, integrating bionic geometric structures and surfaces, this study focuses on the subsoiler tip and designs four types of bionic geometric surface structures: bionic convex hull, bionic micro-spike convex hull, bionic scales, and bionic micro-spike scales. Finite element force analysis and discrete element simulation experiments reveal that bionic surfaces and geometric structures exhibit significant advantages in terms of total deformation, equivalent elastic strain, and stress. These structures are less prone to deformation and fracture under loads, demonstrating a stronger bearing capacity. A discrete element simulation analysis indicates interference phenomena among the subsoilers during multi-subsoiler operations. Based on bionic multi-subsoiler implements, optimized designs were developed through discrete element simulations and soil bin tests. The optimized bionic multi-subsoiler implement features a micro-spike convex hull surface, with micro-spike scale surfaces arranged equidistantly along the edge corners of the shovel face: six on each side wing and three in the middle. The optimal operating parameters were a subsoiling speed of 1.25 m/s, an entry angle of 23.917°, and an entry depth of 280.167 mm. The relative errors between the simulated and experimental values for the soil looseness and soil disturbance coefficients were 19.7% and 18.1%, respectively. The soil bin test results showed soil looseness and soil disturbance coefficients of 19.5% and 17.6%, respectively. At this point, the resistance reduction and wear resistance performance were optimal. This study proposes a bionic design approach for reducing resistance and enhancing wear resistance during the subsoiling process in the viscous red soil of Southwest China, providing a reference for the design and development of new equipment for working in this soil environment. This study is the first to implement a composite biomimetic surface—combining crayfish-like micro-spike convex hulls and sandfish-like micro-scale scales—on multi-shank subsoiler tips, and to validate it using FEA, DEM, and soil tank testing. Under an optimized configuration and operating conditions, the mean particle disturbance velocity increased from 1.52 m/s to 2.399 m/s (+57.8%), and the simulation/experiment relative errors for the soil loosening and disturbance coefficients were approximately 1.03% and 2.84%, respectively. These results demonstrate an engineering-acceptable trade-off between disturbance efficiency and wear resistance and indicate a clear potential for industrial application. Full article
(This article belongs to the Section Biomimetic Design, Constructions and Devices)
Show Figures

Figure 1

28 pages, 9120 KB  
Article
Optimization and Experiment of a Subsoiling Mechanism for Hilly and Mountainous Farmland Based on the Discrete Element Method
by Lei Zhang, Haolong Chen, Yibin Zhai and Jianneng Chen
AgriEngineering 2025, 7(10), 349; https://doi.org/10.3390/agriengineering7100349 - 16 Oct 2025
Cited by 1 | Viewed by 718
Abstract
In response to the poor soil loosening effect of the previous bionic four-bar deep loosening mechanism, this study optimized the bionic motion trajectory according to agronomic requirements, established a trajectory synthesis optimization model of the Stephenson III six-bar mechanism, and solved it using [...] Read more.
In response to the poor soil loosening effect of the previous bionic four-bar deep loosening mechanism, this study optimized the bionic motion trajectory according to agronomic requirements, established a trajectory synthesis optimization model of the Stephenson III six-bar mechanism, and solved it using an improved differential evolution algorithm to design a six-bar deep loosening mechanism achieving the optimized trajectory. Based on the Box–Behnken experiment, a regression model of the mechanism’s process parameters and performance indicators was established, and multiple indicators were integrated into a single objective via a satisfaction function. The optimal process parameters obtained were: entry angle 99.61°, shovel distance 185 mm, forward speed 0.29 m/s, and input speed 5π rad/s. A comparative simulation using the Discrete Element Method (DEM) showed that, compared to the bionic four-bar mechanism, the six-bar mechanism reduces resistance by 9.91%, increases soil-breaking capacity by 4.23%, reduces shallow disturbance by 14.43%, increases deep disturbance by 29.54%, and improves overall disturbance effect by 42.71%, verifying the effectiveness of agronomic-driven bionic trajectory optimization. Indoor soil tank experiments measured an average resistance of 258.83 N, with a relative error of 8.67% compared to the simulation result (281.32 N). The experiments and simulations were consistent in soil-breaking layer range, soil layer disturbance range, and soil discharge state, validating the model and the six-bar deep loosening mechanism. Full article
Show Figures

Figure 1

25 pages, 18914 KB  
Article
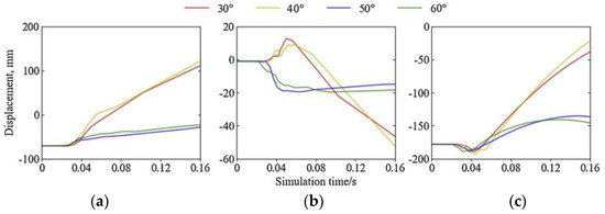
Optimization and Experimental Study of a Soil Loosening and Root Lifting Device for Shanghai Green (Brassica rapa subsp. chinensis) Harvesting Based on an EDEM-RecurDyn Simulation
by Qingqing Dai, Zhiyu Zuo, Qinghui Zheng, Yongqiang Fu, Shenghe Zhang and Hanping Mao
Agriculture 2025, 15(17), 1865; https://doi.org/10.3390/agriculture15171865 - 31 Aug 2025
Cited by 2 | Viewed by 944
Abstract
To mitigate the high stubble rates (root residue rates) and plant damage associated with the current mechanized harvesting of Shanghai Green (Brassica rapa subsp. chinensis), this study developed and optimized a novel soil loosening and root lifting device. A theoretical dynamic [...] Read more.
To mitigate the high stubble rates (root residue rates) and plant damage associated with the current mechanized harvesting of Shanghai Green (Brassica rapa subsp. chinensis), this study developed and optimized a novel soil loosening and root lifting device. A theoretical dynamic model was first established to analyze the device’s operational principles. Subsequently, a coupled multi-body dynamics and discrete element method (RecurDyn-EDEM) model was established to simulate the complex interactions between the device, soil, and plant roots. Response surface methodology was employed to optimize key operational parameters: walking speed, loosening depth, and vibration frequency. The simulation-based optimization was validated by field tests. The optimal parameters were identified as a walking speed of 0.137 m/s, a loosening depth of 34.5 mm, and a vibration frequency of 1.34 Hz, under which the Shanghai Green pulling force was 35.41 N, yielding optimal extraction performance. Field tests conducted under these optimal conditions demonstrated excellent performance, achieving a qualified plant posture rate of 87.5% and a low damage rate of 7.5%. This research provides a robust design and validated operational parameters, offering significant technical support for the development of low-loss harvesting equipment for leafy vegetables. Full article
Show Figures

Figure 1

21 pages, 1868 KB  
Article
Empirical Models for Estimating Draught and Vertical Reaction Forces of a Duckfoot Tool in Compacted Soil: Effects of Moisture Content, Depth, Width, and Speed
by Aleksander Lisowski, Daniel Lauryn, Tomasz Nowakowski, Jacek Klonowski, Adam Świętochowski, Michał Sypuła, Jarosław Chlebowski, Jan Kamiński, Krzysztof Kostyra, Magdalena Dąbrowska, Adam Strużyk, Leszek Mieszkalski and Mateusz Stasiak
Appl. Sci. 2025, 15(7), 3573; https://doi.org/10.3390/app15073573 - 25 Mar 2025
Cited by 2 | Viewed by 1058
Abstract
This paper presents the development of empirical mathematical models of draught force, Fx, and vertical force, Fy, acting on duckfoots attached to the tines with different stiffness and working in various soil conditions. The models consider technical variables such [...] Read more.
This paper presents the development of empirical mathematical models of draught force, Fx, and vertical force, Fy, acting on duckfoots attached to the tines with different stiffness and working in various soil conditions. The models consider technical variables such as stiffness, k, tool depth-to-width ratio, d/w, tool movement speed, v, and soil moisture content, MC, which have not been thoroughly analysed in the literature. The correlation coefficients for predicting Fx and Fy values were 0.4996 and 0.6227, respectively. Statistical analysis confirmed the significant effect of these parameters on the forces acting on the tools, with the variables d/w and v having the most critical impact on Fx and Fy. The SLSQP (sequential least squares programming) optimisation method was used to determine the optimal values of technical variables. The maximum value of Fx was 438.55 N, and the minimum was 98.98 N, with variable values at the edges of the studied ranges. Similarly, Fy values of 135.25 N and −84.55 N, respectively, were obtained. The optimisation results showed good fitness with experimental results, and the negative relative errors (from −1.72% do −4.81%), indicating overestimating, confirmed the accuracy of the model’s predictions. The justification of the research results allowed us to conclude that there is no basis for rejecting the explanatory hypotheses. The developed models have a generalisable value in the analysed ranges, and further research should focus on creating more universal, theoretical models of soil–tool interactions. Full article
Show Figures

Figure 1

19 pages, 7741 KB  
Article
Determination of Biomechanical Parameters and Development of an Improved FEM Model for Perennial Alfalfa (Medicago sativa L.) Roots
by Shuo Wang, Xuanting Liu, Hongyan Qi, Zihe Xu and Yunhai Ma
Agronomy 2024, 14(12), 3033; https://doi.org/10.3390/agronomy14123033 - 19 Dec 2024
Cited by 2 | Viewed by 1095
Abstract
Grassland degradation and reduced yields are often linked to the root soil composite of perennial alfalfa roots. This study introduces a novel modeling approach to accurately characterize root biomechanical properties, assist in the design of soil-loosening and root-cutting tools. Our model conceptualizes the [...] Read more.
Grassland degradation and reduced yields are often linked to the root soil composite of perennial alfalfa roots. This study introduces a novel modeling approach to accurately characterize root biomechanical properties, assist in the design of soil-loosening and root-cutting tools. Our model conceptualizes the root as a composite structure of cortex and stele, applying transversely isotropic properties to the stele and isotropic properties to the cortex. Material parameters were derived from longitudinal tension, longitudinal compression, transverse compression, and shear tests. The constitutive model of stele was Hashin failure criteria, accounting for differences in tensile and compressive strengths. Results reveal that root tensile strength mainly depends on the stele, with its tensile properties exceeding compressive and transverse strengths by 4–10 times. In non-longitudinal tensile stress scenarios, like shear and transverse compression tests, the new model demonstrated superior accuracy over conventional models. Results of shear tests were further validated using non-parametric statistical analysis. This study provides a finite element method (FEM) modeling approach that, by integrating root anatomical features and biomechanical properties, significantly enhances simulation accuracy. This provides a tool for designing low-energy consumption components in grassland degradation restoration and conservation tillage. Full article
(This article belongs to the Section Precision and Digital Agriculture)
Show Figures

Figure 1

21 pages, 21852 KB  
Article
A Case Study for Analysis of Stability and Treatment Measures of a Landslide Under Rainfall with the Changes in Pore Water Pressure
by Liangzhi Tang, Yun Yan, Faming Zhang, Xiaokai Li, Yuhong Liang, Yuru Yan, Huaqing Zhang and Xiaolong Zhang
Water 2024, 16(21), 3113; https://doi.org/10.3390/w16213113 - 30 Oct 2024
Cited by 10 | Viewed by 3676
Abstract
Mining causes damage to the soil and rock mass, while rainfall has a pivotal impact on the mining slope stability, even leading to geological hazards such as landslides. Therefore, the study evaluated the mine landslide stability and determined the effectiveness of the treatment [...] Read more.
Mining causes damage to the soil and rock mass, while rainfall has a pivotal impact on the mining slope stability, even leading to geological hazards such as landslides. Therefore, the study evaluated the mine landslide stability and determined the effectiveness of the treatment measures under the impact of pore water pressure changes caused by rainfall, taking the Kong Mountain landslide in Nanjing, Jiangsu Province, China, as the research object. The geological conditions and deformation characteristics were clarified, and the failure mechanism and influencing factors were analyzed. Also, the landslide stability was comprehensively evaluated and calculated utilizing the finite element-improved limit equilibrium method and FLAC 3D 6.0, which simulated the distribution of pore water pressure, displacement, etc., to analyze the influence of rainfall conditions and reinforcement effects. The results indicated the following: (1) Rainfall is the key influencing factor of the landslide stability, which caused the pore water pressure changes and the loosening of the soil due to the strong permeability; (2) The distribution of the pore water pressure and plastic zone showed that, during the rainfall process, a large area of transient saturation zone appeared at the leading edge, affecting the stability of the whole landslide and led to the further deformation; (3) After the application of treatment measures (anti-sliding piles and anchor cables), the landslide stability increased under both natural and rainfall conditions (from 1.02 and 0.94 to 1.38 and 1.31, respectively), along with a reduction in displacement, plastic zones, etc. The Kong Mountain landslide, with the implemented treatment measures, is in good stability, which is in line with the evaluation and calculation results. The study provides certain contributions to the stability evaluation and treatment selection of similar engineering under rainfall infiltration. Full article
Show Figures

Figure 1

19 pages, 6318 KB  
Article
Improved Design and Simulation of an Integrated Ridge-Breaking Earth Cultivator for Ratoon Sugarcane Fields
by Biao Zhang, Jing Chen and Yingying Zhu
Agriculture 2024, 14(7), 1013; https://doi.org/10.3390/agriculture14071013 - 26 Jun 2024
Cited by 5 | Viewed by 2457
Abstract
Ridge-breaking earth cultivation is a new agronomic technology that simplifies and efficiently cultivates ratoon sugarcane. However, traditional cultivators cannot adapt to the distribution of residual stumps, inter-row specifications, and hardened clay soil. This results in substandard soil fragmentation, poor ridge quality, and reduced [...] Read more.
Ridge-breaking earth cultivation is a new agronomic technology that simplifies and efficiently cultivates ratoon sugarcane. However, traditional cultivators cannot adapt to the distribution of residual stumps, inter-row specifications, and hardened clay soil. This results in substandard soil fragmentation, poor ridge quality, and reduced operational reliability. To address these issues, this article proposes an integrated earth cultivator structure capable of breaking ridges, loosening soil, and raising ridges simultaneously. It is designed to enhance the breaking of tillage layers and the filling of ridges through the coordinated action of multiple soil-engaging components. The effects of pre-loosening by the ridge-breaking plow, high-energy crushing, and throwing by the spirally arranged dense rotary blade group, and soil gathering by the deflector are comprehensively utilized. Additionally, lateral pushing by the ridging plough is employed. Discrete element and finite element simulation results show that densely toothed blades can improve soil supply capacity and structural reliability. This is achieved by increasing the amount of soil throwback and reducing concentrated stress levels. Soil fragmentation rate (SFR) and ridge height (RH) were further used as indicators. Field experiments were conducted to study the effects of operating parameters on breaking and ridging performance. The optimal parameter solution was determined as a forward speed of 0.85 m·s−1 and rotary speed of 289.7 r·min−1. With this adaptive configuration, SFR and RH were improved by 12.4% and 38.5%, respectively, compared with conventional earth cultivators. Additionally, the RSM value of rotary tillage power (Pr) was reduced by 39.6%. Improvements in crushing hardened fields, constructing ridges, and reducing cutting energy consumption have proven effective. This study can provide a reference for the development of earth cultivators based on new agronomy and specific field characteristics. Full article
(This article belongs to the Section Agricultural Technology)
Show Figures

Figure 1

22 pages, 5366 KB  
Article
Bionic Optimization Design and Discrete Element Experimental Design of Carrot Combine Harvester Ripping Shovel
by Wenqi Zhou, Xue Ni, Kai Song, Nuan Wen, Jinwu Wang, Qiang Fu, Mingjun Na, Han Tang and Qi Wang
Processes 2023, 11(5), 1526; https://doi.org/10.3390/pr11051526 - 17 May 2023
Cited by 12 | Viewed by 2707
Abstract
Aiming at the common problems of the high working resistance, low soil disturbance, and high rates of missed extraction in the operation of carrot combine harvesters, a high-efficiency drag-reducing bionic soil-loosening shovel was designed in this study. The physical parameters of the soil [...] Read more.
Aiming at the common problems of the high working resistance, low soil disturbance, and high rates of missed extraction in the operation of carrot combine harvesters, a high-efficiency drag-reducing bionic soil-loosening shovel was designed in this study. The physical parameters of the soil and carrots were measured, and the bionic drag-reducing shovel was designed using the badger claw toe as a bionic prototype. The shovel wing structures were designed. Based on the EDEM discrete element simulation technology, a multi-element simulation model of the shovel–soil–carrot contact was established to determine the effects of the operating speed and sliding angle of the shovel handle on the resistance. The effects of the blade inclination angle and blade opening angle on the resistance, carrot extraction force, and soil disturbance rate were also studied. The results show that the resistance increases with an increase in operating speed. With a blade angle (α) and blade inclination angle (β) of 120.27° and 47.37°, respectively, the performance of the high-efficiency drag-reducing soil-loosening shovel is the best, with the resistance and carrot extraction force being 1908.76 N and 55.37 N, respectively. The virtual simulation experiment shows that this efficient drag-reducing shovel can effectively solve the problems of the low soil disturbance, high resistance, and high missing carrot rates of carrot combine harvester shovels, while also improving the harvesting quality and efficiency of carrot combine harvesters and meeting the agronomic requirements of carrot harvesting. Full article
(This article belongs to the Section Manufacturing Processes and Systems)
Show Figures

Figure 1

14 pages, 9213 KB  
Article
Study on Pulling Dynamic Characteristics of White Radish and the Optimal Design of a Harvesting Device
by Kehong Yan, Shuai Yao, Yicheng Huang and Zhan Zhao
Agriculture 2023, 13(5), 942; https://doi.org/10.3390/agriculture13050942 - 25 Apr 2023
Cited by 11 | Viewed by 2764
Abstract
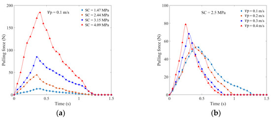
The loss rate is an important index to evaluate the harvesting performance of white radish. To reduce the loss rate, it is necessary to analyze the pulling dynamic characteristics of white radish and then optimize the structure and operating parameters of the harvesting [...] Read more.
The loss rate is an important index to evaluate the harvesting performance of white radish. To reduce the loss rate, it is necessary to analyze the pulling dynamic characteristics of white radish and then optimize the structure and operating parameters of the harvesting device. In this paper, according to the growth characteristics of white radish in the field, the discrete element method (DEM) was used to simulate the pulling process. The pulling force was calculated using the Edinburgh elasto-plastic adhesion model (EEPA), and the effects of soil bed compactness, pulling speed and angle on the pulling force were analyzed. The tests on pulling mechanics were carried out in the laboratory to verify the accuracy of DEM simulation results. The results showed that in the soft soil bed with compactness less than 2.8 MPa, the pulling force of radish is generally smaller than the leaf breaking force, and it is feasible to pull the radish out directly. While in a soil bed with high compactness, it is necessary to install a loosening shovel to reduce the pulling force thus reducing the loss rate due to leaf breakage. The structure and operating parameters of the harvesting device were designed according to the pulling dynamic characteristics, and the white radish harvesting tests were carried out in different fields. Statistical results show that when the soil compaction was increased from 1.47 MPa to 2.21 MPa, the average loss rate increased from 0.68% to 1.75%, and the average damage rate increased from 2.41% to 2.70%. Similarly, when the forward speed was increased from 0.18 to 0.47 m/s, the average loss rate increased from 1.08% to 1.30%, and the average damage rate increased from 2.34% to 2.74%. Overall, the maximum loss rate and the maximum damage rate could be controlled below 2.0% and 3.0%, respectively. In the hard soil bed, the loss rate can be effectively reduced from 15% to 2.5% by installing a loosening shovel. Full article
(This article belongs to the Section Agricultural Technology)
Show Figures

Figure 1

29 pages, 5961 KB  
Review
Review of Discrete Element Method Simulations of Soil Tillage and Furrow Opening
by Kojo Atta Aikins, Mustafa Ucgul, James B. Barr, Emmanuel Awuah, Diogenes L. Antille, Troy A. Jensen and Jacky M. A. Desbiolles
Agriculture 2023, 13(3), 541; https://doi.org/10.3390/agriculture13030541 - 23 Feb 2023
Cited by 62 | Viewed by 8745
Abstract
In agricultural machinery design and optimization, the discrete element method (DEM) has played a major role due to its ability to speed up the design and manufacturing process by reducing multiple prototyping, testing, and evaluation under experimental conditions. In the field of soil [...] Read more.
In agricultural machinery design and optimization, the discrete element method (DEM) has played a major role due to its ability to speed up the design and manufacturing process by reducing multiple prototyping, testing, and evaluation under experimental conditions. In the field of soil dynamics, DEM has been mainly applied in the design and optimization of soil-engaging tools, especially tillage tools and furrow openers. This numerical method is able to capture the dynamic and bulk behaviour of soils and soil–tool interactions. This review focused on the various aspects of the application of DEM in the simulation of tillage and furrow opening for tool design optimization. Different contact models, particle sizes and shapes, and calibration techniques for determining input parameters for tillage and furrow opening research have been reviewed. Discrete element method predictions of furrow profiles, disturbed soil surface profiles, soil failure, loosening, disturbance parameters, reaction forces, and the various types of soils modelled with DEM have also been highlighted. This pool of information consolidates existing working approaches used in prior studies and helps to identify knowledge gaps which, if addressed, will advance the current soil dynamics modelling capability. Full article
(This article belongs to the Special Issue Design and Application of Agricultural Equipment in Tillage System)
Show Figures

Figure 1

22 pages, 9050 KB  
Review
Review of the Research on Soil Disturbance by Tools
by Xinzhong Wang, Weiquan Fang, Dianlei Han and Xuegeng Chen
Appl. Sci. 2023, 13(1), 338; https://doi.org/10.3390/app13010338 - 27 Dec 2022
Cited by 11 | Viewed by 3979
Abstract
The discrete element method can be used to analyze the interaction between tools and soil. It can be used to guide the optimal design of tools, but the appropriate simulation and test method selected is important to achieve the goal. This paper mainly [...] Read more.
The discrete element method can be used to analyze the interaction between tools and soil. It can be used to guide the optimal design of tools, but the appropriate simulation and test method selected is important to achieve the goal. This paper mainly introduces the disturbance of soil by tillage tools. The disturbance of the soil by tools include soil loosening, soil movement, and soil mixing. The disturbance contour is used to visually display the disturbance results, and the cross-sectional area, lateral soil throwing amount, ditch ridge height, ditch width, and ditch backfill are used to characterize the cross-sectional shape. Tracers are usually used to track soil particles to visually display the particle movement path during disturbance; this can be used to study the soil disturbance trend by the tools. When parameters and models are appropriate, the movement and contact of microscopic soil particles can be accurately simulated. By comparing the particle behavior of simulation and experiment, the contact model and contact parameters can be verified. The method introduced provides a reference for the optimal design of the tools and the research of disturbance by the tools. Full article
Show Figures

Figure 1

14 pages, 6940 KB  
Article
Effect of Mounting Angle on Bending Subsoiling Tool–Soil Interactions Using DEM Simulations
by Xuezhen Wang, Hao Zhou and Jiangtao Ji
Agriculture 2022, 12(11), 1830; https://doi.org/10.3390/agriculture12111830 - 1 Nov 2022
Cited by 12 | Viewed by 2437
Abstract
Mechanical subsoiling is an effective practice to promote better water infiltration and crop root development. The bending subsoiling tool (BST) is a primary subsoiling tool and is used to remove soil compaction and restore soil productivity. In this study, a discrete element model [...] Read more.
Mechanical subsoiling is an effective practice to promote better water infiltration and crop root development. The bending subsoiling tool (BST) is a primary subsoiling tool and is used to remove soil compaction and restore soil productivity. In this study, a discrete element model was developed and validated using laboratory soil bin tests to investigate the effects of the mounting angle of the BST (5°–33°) on soil disturbance behaviors and draft forces. The results show that the upheaval, failure and fragmentation of soil was achieved by successive shearing, uplifting, extrusion, tension and turning actions from the cutting share and cambered shank of the BST. Increasing soil depths gave smaller soil disturbance ranges in lateral, forward and upward directions. With an increase in mounting angle, both the draft force and soil rupture distance ratio initially decreased and then increased, whereas the soil loosening efficiency initially increased and then decreased. Overall, increasing the mounting angle of the BST from 5° to 33° gave a greater soil surface flatness that increased rapidly when the mounting angle increased from 26° to 33°. Appropriately increasing mounting angle of the BST from 5° to 26° could lift more moist soil from the deep seed and middle layers (5.0–15.5% increase) into the shallow seed layer (depth of <50 mm) without seriously affecting the mixing of the deep layer and other layers. Considering both the soil disturbance characteristics and draft forces, a mounting angle of 26° appeared to outperform the other angles. Full article
(This article belongs to the Section Agricultural Technology)
Show Figures

Figure 1

Back to TopTop