Sign in to use this feature.

Years

Between: -

Subjects

remove_circle_outline
remove_circle_outline
remove_circle_outline
remove_circle_outline
remove_circle_outline
remove_circle_outline
remove_circle_outline
remove_circle_outline
remove_circle_outline

Journals

remove_circle_outline
remove_circle_outline
remove_circle_outline
remove_circle_outline
remove_circle_outline
remove_circle_outline
remove_circle_outline
remove_circle_outline
remove_circle_outline
remove_circle_outline
remove_circle_outline

Article Types

Countries / Regions

remove_circle_outline
remove_circle_outline
remove_circle_outline
remove_circle_outline
remove_circle_outline
remove_circle_outline
remove_circle_outline

Search Results (3,185)

Search Parameters:
Keywords = soil carbon–nitrogen

Order results
Result details
Results per page
Select all
Export citation of selected articles as:
20 pages, 2981 KB  
Article
Changes in Forest Hydrology and Biogeochemistry Following a Simulated Tree Mortality Event of Southern Pine Beetle: A Case Study
by Courtney M. Siegert, Heidi J. Renninger, Nicole J. Hornslein, Padmanava Dash, John J. Riggins and Natalie A. Clay
Forests 2026, 17(2), 211; https://doi.org/10.3390/f17020211 - 4 Feb 2026
Abstract
Southern pine beetle infestations impact ecosystems throughout the southeastern US. Our understanding of hydrologic and biogeochemical impacts on ecosystem structure and function is largely guided by severe outbreaks occurring in the western US. A simulated mortality experiment was conducted on loblolly pine trees [...] Read more.
Southern pine beetle infestations impact ecosystems throughout the southeastern US. Our understanding of hydrologic and biogeochemical impacts on ecosystem structure and function is largely guided by severe outbreaks occurring in the western US. A simulated mortality experiment was conducted on loblolly pine trees via girdling with and without blue-stain fungi inoculation to mimic a small-scale infestation. We measured whole-tree water use, canopy-derived hydrologic and biogeochemical fluxes, soil moisture, and soil respiration for two years following treatments to quantify the impacts of tree mortality on water, carbon, and nitrogen cycles. In the second year of our study, a significant drought occurred, subjecting study trees to a secondary stressor. We found that compared to control trees, girdled trees exhibited reduced water uptake within 6 months and succumbed to mortality within 18 months. We found that by the time trees reached the gray phase of attack, stemflow was 1.7-times lower in girdled trees compared to control trees. Stemflow from girdled trees had up to 7.2-times higher concentrations of ammonium and 2.8-times higher concentrations of total nitrogen. Although stemflow carbon concentrations were indistinguishable between treatments, total carbon flux in stemflow was 2.0-times greater in non-girdled trees (p = 0.030). Finally, even though soil moisture and respiration were not different between treatments, it was not possible to isolate the response of these to mortality versus drought. Our results present the connection between bark beetle outbreaks and the initial impacts on forest biogeochemistry. Changes in the distribution of canopy-derived water inputs, coupled with altered carbon and nitrogen fluxes, serve as hot spots around bark beetle-killed trees. Further research is necessary to understand whether these isolated hot spots may prime the system, alter microbial and invertebrate communities, and lead to changes in decomposition processes at larger scales. Full article
(This article belongs to the Special Issue Effects of Disturbance on Forest Hydrology)
Show Figures

Figure 1

16 pages, 3868 KB  
Article
Protected Area Soils as Natural Laboratories: Topographic Controls on Soil Carbon Storage and Nutrient Stoichiometry for Sustainable Ecosystem Management
by Ahu Alev Abacı Bayar
Sustainability 2026, 18(3), 1560; https://doi.org/10.3390/su18031560 - 3 Feb 2026
Abstract
There are 266 nature parks in Türkiye, including Aşıkpaşa Nature Park, covering a total area of approximately 109,023 ha; however, information regarding soil organic carbon stocks (SOCS), soil nitrogen stocks (NS), and nutrient stoichiometry in these protected forests remains limited. This study evaluates [...] Read more.
There are 266 nature parks in Türkiye, including Aşıkpaşa Nature Park, covering a total area of approximately 109,023 ha; however, information regarding soil organic carbon stocks (SOCS), soil nitrogen stocks (NS), and nutrient stoichiometry in these protected forests remains limited. This study evaluates the influence of tree species, altitude, aspect, and soil depth on nutrient stocks and stoichiometry using a 3 × 2 × 3 × 3 factorial experimental design. The findings indicate that mixed stands (Black Pine + Cedar) significantly optimize nutrient storage, reaching peak N (3.531 ± 0.115 t ha−1) and P (0.948 ± 0.016 t ha−1) stocks. SOC and N stocks reached 66.34 ± 1.86 t ha−1 and 4.032 ± 0.123 t ha−1, respectively, along the altitudinal gradient. Soil pH exhibited a steady rise with altitude (from 7.86 to 8.15), contrary to typical leaching patterns, while bulk density varied depending on Altitude × Aspect × Depth interactions. Stoichiometric analyses revealed that Cedar stands maintain higher C:K ratios (3.457 ± 0.258), reflecting superior nutrient use efficiency. Furthermore, sunny aspects prioritized nitrogen mineralization (N:P ratio: 4.540), whereas shaded aspects facilitated phosphorus retention. These results prove that soil fertility and carbon sequestration are modulated by complex topographic–biotic interactions, suggesting that preserving mixed forest structures is of vital importance for ecological sustainability and forest resilience. Full article
Show Figures

Figure 1

17 pages, 3213 KB  
Article
Dynamic Shifts of Heavy Metals During Mixed Leaf Litter Decomposition in a Subtropical Mangrove
by Xinlei Xu, Yuxuan Wan, Zhiqiang Lu, Danyang Li and Li Ma
Plants 2026, 15(3), 478; https://doi.org/10.3390/plants15030478 - 3 Feb 2026
Abstract
Mangrove ecosystems play a critical role in sequestering heavy metals pollutants, yet the dynamics of heavy metals accumulation during mixed litter decomposition remain poorly understood. This study investigated the seasonal and species-specific variations in heavy metals accumulation during the decomposition of Kandelia obovata [...] Read more.
Mangrove ecosystems play a critical role in sequestering heavy metals pollutants, yet the dynamics of heavy metals accumulation during mixed litter decomposition remain poorly understood. This study investigated the seasonal and species-specific variations in heavy metals accumulation during the decomposition of Kandelia obovata (KO) and Avicennia marina (AM) leaf litter mixtures in a subtropical mangrove forest in the Jiulong River Estuary, Fujian, China. Using the litterbag technique, we monitored eight heavy metals (V, Cr, Ni, Cu, Zn, As, Se, Cd) across three mixing ratios (KO:AM = 1:2, 1:1, 2:1) in summer and winter. Results revealed that V concentrations were influenced by both season and litter ratio, with higher KO proportions enhancing V accumulation in summer but reducing it in winter. In contrast, Cr, Ni, Cu, As, Se, and Cd were primarily regulated by litter ratios: KO-dominated mixtures promoted Cr and Ni accumulation, while AM-dominated mixtures favored Cu, As, Se, and Cd. Zn exhibited the highest variability and was unaffected by season or ratio. Total organic carbon (TOC) and carbon/metal (C/M) ratios significantly correlated with reduced bioavailability of most heavy metals, whereas total nitrogen (TN) and C/N ratios showed no consistent relationship. The heavy metals accumulation index (MAI) indicated higher accumulation in summer than in winter, with the highest MAI observed in the KO:AM = 2:1 treatment group during summer (MAI = 1.36), whereas winter decomposition slowed accumulation rates. These findings highlight the dual regulatory roles of species composition and environmental factors in mangrove heavy metals cycling, offering critical insights for ecological risk assessment and contaminated soil remediation strategies in coastal ecosystems. Full article
(This article belongs to the Section Plant Ecology)
Show Figures

Figure 1

13 pages, 2422 KB  
Article
Soil Enzymes and Stable Isotopes as Suitable Soil–Plant Indicators of Ecosystem Functionality in Mediterranean Forests
by Serena Doni, Francesca Vannucchi, Cristina Macci, Andrea Scartazza, Roberto Pini, Manuele Scatena, Nicola Arriga, Alessandro Dell’Acqua, Grazia Masciandaro and Eleonora Peruzzi
Agronomy 2026, 16(3), 374; https://doi.org/10.3390/agronomy16030374 - 3 Feb 2026
Abstract
Monitoring the soil–plant system in forest ecosystems is crucial for preserving their ecological functions and services. This study assessed carbon and nitrogen stable isotopes and ecoenzymatic stoichiometry as suitable indicators for characterizing the soil–plant system as a functional unit of ecological processes. To [...] Read more.
Monitoring the soil–plant system in forest ecosystems is crucial for preserving their ecological functions and services. This study assessed carbon and nitrogen stable isotopes and ecoenzymatic stoichiometry as suitable indicators for characterizing the soil–plant system as a functional unit of ecological processes. To this end, in June 2021 six plots (1 m2 each) were selected in two typical Mediterranean forest ecotypes: a coastal stone pine forest (Pinus pinea L., PF) and a meso-hygrophilous broadleaf forest (RV). Soil samples (0–15 and 15–30 cm depth) and litter samples (40 × 40 cm) were collected and characterized in terms of physical, chemical and biochemical properties. t-tests revealed significant differences between RV and PF, indicating distinct microbial nutrient acquisition strategies. The higher C:N ratio in PF suggested lower litter quality and greater recalcitrance to microbial decomposition. Consistently, RV showed a more pronounced 13C and 15N enrichment from litter to SOM down to a 30 cm depth, confirming faster organic matter decomposition and mineralization. Enzyme activity patterns supported these findings. The higher β-glucosidase and butyrate esterase activities in RV reflected its greater microbial potential to activate biogeochemical cycles. Both forests exhibited a higher microbial demand for C and P than for N to maintain ecological stoichiometric balance, with stronger C limitation at the surface and P limitation in the subsoil, particularly in RV soil. This integrated monitoring approach provides insights into nutrient cycling and ecosystem resilience and offers tools to evaluate ecosystem functionality under changing environmental conditions, supporting sustainable forest management. Full article
(This article belongs to the Section Soil and Plant Nutrition)
Show Figures

Figure 1

23 pages, 6630 KB  
Review
Review of the Cumulative Ecological Effects of Utility-Scale Photovoltaic Power Generation
by Bo Yuan, Yuan Li, Jiachao Li, Mengjing Guo, Miaojie Li and Shuguang Xie
Solar 2026, 6(1), 9; https://doi.org/10.3390/solar6010009 - 3 Feb 2026
Abstract
CPVG (Utility-scale photovoltaic generation) is expanding rapidly worldwide, yet its cumulative ecological effects remain insufficiently quantified. This review synthesizes current evidence to clarify how CPVG influences ecosystems through linked mechanisms of energy redistribution, biogeochemical cycling disturbance, and ecological responses. CPVG alters surface radiation [...] Read more.
CPVG (Utility-scale photovoltaic generation) is expanding rapidly worldwide, yet its cumulative ecological effects remain insufficiently quantified. This review synthesizes current evidence to clarify how CPVG influences ecosystems through linked mechanisms of energy redistribution, biogeochemical cycling disturbance, and ecological responses. CPVG alters surface radiation balance, modifies microclimate, and disrupts carbon–nitrogen–water fluxes, thereby driving vegetation shifts, soil degradation, and biodiversity decline. These impacts accumulate across temporal scales—from short-term construction disturbances to long-term operational feedbacks—and propagate spatially from local to regional and watershed levels. Ecological outcomes differ substantially among deserts, grasslands, and agroecosystems due to contrasting resilience and limiting factors. Based on these mechanisms, we propose a multi-scale cumulative impact assessment framework integrating indicator development, multi-source monitoring, coupled modelling, and ecological risk tiering. A full-chain mitigation pathway is further outlined, emphasizing optimized siting, disturbance reduction, adaptive management, and targeted restoration. This study provides a systematic foundation for evaluating and regulating CPVG’s cumulative ecological impacts, supporting more sustainable solar deployment. Full article
(This article belongs to the Topic Advances in Solar Technologies, 2nd Edition)
Show Figures

Figure 1

19 pages, 5694 KB  
Article
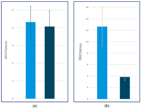
Cultural Methods for the Control of the Invasive Japanese Stiltgrass (Microstegium vimineum) in Stream Restoration
by Robert A. Sullivan and Douglas A. DeBerry
Plants 2026, 15(3), 477; https://doi.org/10.3390/plants15030477 - 3 Feb 2026
Abstract
Microstegium vimineum (Japanese stiltgrass) is one of the most invasive plant species in the eastern United States, posing a consistent problem to practitioners working in stream restoration and often necessitating treatment using non-selective herbicides to reduce invasion. Herbicide use frequently results in collateral [...] Read more.
Microstegium vimineum (Japanese stiltgrass) is one of the most invasive plant species in the eastern United States, posing a consistent problem to practitioners working in stream restoration and often necessitating treatment using non-selective herbicides to reduce invasion. Herbicide use frequently results in collateral damage to desirable native species and can lead to reinvasion after treatment. This study evaluated alternatives to herbicide referred to collectively as cultural controls, the use of which draws conceptually from the interaction of stress and disturbance in plant communities that predicts reduced invasion and increased competitive success of native species with higher levels of environmental stress. We tested several preventative cultural approaches, including (intended stressor in parentheses): (1) canopy shade (light limitation), (2) sawdust soil amendments (short-term nitrogen limitation), (3) wood mulch soil amendments (longer-term nitrogen limitation), and (4) double seeding rates (native species competition), as well as a combination of these treatments. Over a two-year field study within a restored stream corridor, we found that high carbon: nitrogen ratio soil amendments such as sawdust were the most effective at attenuating M. vimineum invasion and that shade promoted native species competition with this invader. Our results suggest a set of best practices that stream restoration practitioners could consider during the design and construction phases of a stream restoration project, particularly on sites with increased risk of M. vimineum incursion. Full article
(This article belongs to the Special Issue Plant Invasions and Their Interactions with the Environment)
Show Figures

Figure 1

19 pages, 3487 KB  
Article
The Heterogeneous Effects of Epichloë and Rhizophagus irregularis on the Physiological and Rhizosphere Microbial Community of Festuca rubra
by Yanying Zhou, Zhengming Luo, Xuerong Wang and Tong Jia
Plants 2026, 15(3), 467; https://doi.org/10.3390/plants15030467 - 2 Feb 2026
Abstract
In nature, a significant number of plant species form symbiotic associations with microorganisms, with arbuscular mycorrhizal fungi (AMF) and endophytic fungi being two prevalent groups of these partners. However, the ability to establish such symbioses with AMF and endophytic fungi is limited to [...] Read more.
In nature, a significant number of plant species form symbiotic associations with microorganisms, with arbuscular mycorrhizal fungi (AMF) and endophytic fungi being two prevalent groups of these partners. However, the ability to establish such symbioses with AMF and endophytic fungi is limited to a small fraction of native grass species. Nitrogen is a crucial nutrient for plant growth, yet it is often a limiting factor, underscoring the importance of understanding how plants acquire it. AMF enhance plant growth by improving nitrogen uptake efficiency, but the combined effects of endophytic fungi and AMF on plant physiology and ecology remain underexplored. To address this knowledge gap, in the present study, we conducted an indoor randomized block experiment to investigate the influence of endophytic fungi and AMF infection on the physiological and ecological attributes of Festuca rubra under various nitrogen regimes. The findings indicated that AMF inoculation significantly affected the total carbon content of F. rubra and the total sulfur concentration in its underground tissues across different nitrogen conditions. Additionally, dual colonization by AMF and endophytic fungi had a significant impact on the underground total nitrogen content of the plants. Furthermore, the complex interactions among AMF, endophytic fungi, and nitrogen availability emerged as critical determinants influencing underground total carbon content, transpiration rates, intercellular carbon dioxide concentrations, and the activity of soil extracellular enzymes in F. rubra. The activity of soil extracellular enzymes and pH significantly affected the structure and diversity of rhizosphere bacterial, fungal, and archaeal communities. AMF enhanced the richness of rhizosphere bacterial communities under low-nitrogen conditions, whereas endophytic fungi infection increased bacterial diversity. Soil extracellular enzyme activity and pH were closely related to the community structures and diversities of rhizosphere bacteria, fungi, and archaea. This study clarifies the effects of AMF and endophytic fungi infection on the physiological and ecological characteristics of F. rubra, significantly contributing to our understanding of the synergistic mechanisms governing the interactions among AMF, endophytic fungi, and their host plants. Full article
(This article belongs to the Section Plant–Soil Interactions)
20 pages, 3735 KB  
Article
Phenophase Transitions and Fertiliser-Mediated Regimes as Determinants of C-N Partitioning and Pedogenic Pathways in Tropical Agriculture
by Odhiambo O. Nicholas, Xunzhun Li, Qilin Zhu, Raymond Gervas Ntakihale, Liu Chaoqi, Hua Zhao, Xiangdong Zhang, Qiqian Lu, Xiaoqian Dan, Jinbo Zhang, Ahmed S. Elrys and Lei Meng
Agronomy 2026, 16(3), 366; https://doi.org/10.3390/agronomy16030366 - 2 Feb 2026
Abstract
Complex interactions in soil carbon and nitrogen (C-N) synchronisation in tropical perennial orchards are highly responsive to fertiliser chemistry. However, the intensity and stage-specific dynamics of these interactions are not well quantified. Six nitrogen regimes, namely, urea (URT), ammonium (AMT), nitrate (NT), slow-release [...] Read more.
Complex interactions in soil carbon and nitrogen (C-N) synchronisation in tropical perennial orchards are highly responsive to fertiliser chemistry. However, the intensity and stage-specific dynamics of these interactions are not well quantified. Six nitrogen regimes, namely, urea (URT), ammonium (AMT), nitrate (NT), slow-release fertiliser (SRT), bio-organic fertiliser (BFT), and an unfertilised control, were assessed at the vegetative, flowering, fruit-set, and maturity stages of durian cultivated on highly weathered tropical soils. A two-way ANOVA indicated high to very high treatment × phenology interactions for almost all soil properties (p < 0.001), indicating that nutrient responses were highly stage-dependent. The highest soil organic carbon (SOC) and cation exchange capacity (CEC) values were consistently obtained with the BFT, which was often associated with significant differences compared with synthetic treatments. In contrast, the SRT showed the most consistent nutrient release behaviour, especially in flowering. On the other hand, soil pH did not differ significantly among the treatments during the vegetative and maturity stages. A significant decrease in pH was observed for the URT and NT treatments during the flowering stage, indicating temporary acidification at this stage and steep increases in nitrate nitrogen (NO3N), indicating strong nitrification and attenuated carbon (C) stabilisation. Leaf nutrient responses were increased in phosphorus (P), potassium (K), calcium (Ca), and magnesium (Mg) by 23% in response to the SRT and BFT. The NT and URT tended to enhance leaf nitrogen (N) primarily, and PCA (59–69% variance explained) clearly displayed clustering of the fertiliser effects, with the maximum difference at flowering, the peak period of nutrient demand in the crop. In general, fertiliser chemistry and phenophase jointly controlled the C-N partitioning, soil chemical paths, and nutrient yield correlations. The BFT and SRT showed the greatest significant gains in soil fertility and nutrient retention, making them the best high-performance alternatives in sustainable durian production in tropical systems. Full article
(This article belongs to the Section Farming Sustainability)
13 pages, 2726 KB  
Article
Differential Selection Effects of Continuous AITC Fumigation on Soil Microbial Communities and Functions and Identification of Tolerant Strains
by Mengyuan Wang, Wenfeng Tian, Zhoubin Liu, Dongdong Yan, Yuan Li, Aocheng Cao, Qiuxia Wang and Wensheng Fang
Microorganisms 2026, 14(2), 345; https://doi.org/10.3390/microorganisms14020345 - 2 Feb 2026
Viewed by 17
Abstract
Allyl isothiocyanate (AITC) is effective as a bio-based fumigant in controlling soil-borne diseases; however, the selective pressure it exerts on soil microecology and evolutionary dynamics remains inadequately characterized. This study systematically investigated the remodeling effects of continuous AITC fumigation on soil microbial communities, [...] Read more.
Allyl isothiocyanate (AITC) is effective as a bio-based fumigant in controlling soil-borne diseases; however, the selective pressure it exerts on soil microecology and evolutionary dynamics remains inadequately characterized. This study systematically investigated the remodeling effects of continuous AITC fumigation on soil microbial communities, functional genes, and functional strains by integrating metagenomic analysis and pure culture techniques. Results demonstrate that AITC drives directional selection from “sensitive” to “tolerant” microorganisms. Fungal communities exhibit greater cumulative damage than bacterial communities, with the proportion of significantly suppressed fungi increasing linearly from 9.3% at baseline to 35.7%. At the genus level, sensitive groups were predominantly enriched in pathogen-associated genera, e.g., Pseudomonas and Xanthomonas, whereas tolerant groups, represented by Bacillus and Streptomyces, maintained ecological dominance under continuous stress. Functionally, AITC induced differential evolution of functional gene repertoires. Nitrogen cycle genes (e.g., amoC) exhibited high negative sensitivity, with significant downregulation by 20%, whereas the TCA core module in the carbon cycle exhibited strong robustness. Virulence assays confirmed EC50 values for tolerant beneficial bacteria (Bacillus spp.) (>40 mg·L−1) were significantly higher than those for pathogens (1.3–7.9 mg/L). This study established a microbial “sensitive-tolerant” response framework under AITC stress, revealing the core potential of endogenous tolerant strains for the precise ecological restoration of fumigated soils. Full article
(This article belongs to the Section Environmental Microbiology)
Show Figures

Figure 1

14 pages, 339 KB  
Article
Abundance of Indigenous Soybean-Nodulating Rhizobia in Relation to Soil Properties and Cropping Patterns in a Midland Agro-Ecology of Southern Ethiopia
by Haimanot Beruk and Tewodros Ayalew
Nitrogen 2026, 7(1), 19; https://doi.org/10.3390/nitrogen7010019 - 2 Feb 2026
Viewed by 56
Abstract
Estimating indigenous rhizobial populations is crucial for understanding soil rhizobia abundance, determining the potential need for inoculation, and evaluating the performance of introduced inoculant strains. However, in southern Ethiopia, information on the population abundance of soybean-nodulating rhizobia is limited. To address this gap, [...] Read more.
Estimating indigenous rhizobial populations is crucial for understanding soil rhizobia abundance, determining the potential need for inoculation, and evaluating the performance of introduced inoculant strains. However, in southern Ethiopia, information on the population abundance of soybean-nodulating rhizobia is limited. To address this gap, the present study was conducted to evaluate the population abundance of indigenous soybean-nodulating rhizobia and to assess the influence of cropping history and soil properties on rhizobial abundance. The study was conducted across five sites suitable for soybean cultivation in southern Ethiopia: Arsi-Negelle, Boricha, Dore, Hawassa, and Wondo Genet. The study sites represented a range of cropping systems, including sole maize, sole tobacco, sole haricot bean, maize–potato intercropping, and crop rotation. Composite soil samples were collected from a depth of 0–20 cm, and rhizobial abundance was determined using the most probable number (MPN) technique. Indigenous rhizobial populations ranged from 0 to 1.7 × 101 cells g−1 of dry soil. Overall, the population levels were low, suggesting that inoculation with effective rhizobial strains would likely improve nodulation and biological nitrogen fixation. Relatively higher rhizobial population densities were observed at Arsi-Negelle under haricot bean cropping history. Statistically significant positive correlations were found between rhizobial abundance and cation exchange capacity, organic carbon, and organic matter. In general, native rhizobial populations across all study locations were below levels considered sufficient to support effective soybean nodulation and nitrogen fixation, indicating the need for inoculation to enhance soybean productivity in the study areas. Full article
Show Figures

Figure 1

14 pages, 4058 KB  
Article
Microbial Necromass and Plant Residue Drive Soil Organic Carbon Restructuring During Reductive Soil Disinfestation
by Jiangtao Yan, Xianwei Wang, Zhonghui Li, Pengtao She, Yajie Yang, Tengqi Xu and Yanlong Chen
Agronomy 2026, 16(3), 351; https://doi.org/10.3390/agronomy16030351 - 31 Jan 2026
Viewed by 171
Abstract
Reductive soil disinfestation (RSD) is a promising strategy for mitigating soil degradation and enhancing soil health. While soil organic carbon (SOC) is crucial for soil fertility and climate regulation, the mechanisms underlying its stabilization via plant lignin and microbial humus in the RSD [...] Read more.
Reductive soil disinfestation (RSD) is a promising strategy for mitigating soil degradation and enhancing soil health. While soil organic carbon (SOC) is crucial for soil fertility and climate regulation, the mechanisms underlying its stabilization via plant lignin and microbial humus in the RSD process remain elusive. Using a microcosm experiment, we investigated SOC dynamics by quantifying plant-derived (lignin phenols) and microbial-derived (amino sugars) C during RSD at key stages: initial (2 h), anaerobic (14 and 28 days), and aerobic (35 days). Concurrently, soil properties, microbial PLFA, and enzymatic activity were analyzed to elucidate underlying mechanisms. Over the initial 14 days, plant-derived C increased sharply by 61% before declining, yet still showed a 22% increase by the end of the RSD (35 days), a trend mirrored by bacterial-derived C. In contrast, fungal-derived C initially accumulated rapidly with a significant increase of 43%, then stabilized, and its proportion (21.63%) surpassed that of bacterial-derived C (5.56%). Over time, plant- (25.01% to 19.76%) and bacterial-derived C (7.81% to 5.56%) contributions to decreases in SOC, while fungal-derived C (about 21%) remained stable after day 14. This pattern is likely attributable to the initial anaerobic conditions, which caused a massive die-off of fungi and aerobic bacteria that utilize lignin and necromass, resulting in significant accumulation of both plant- and microbial-derived C. Subsequently, the proliferation of anaerobic bacteria consumed these plant- and bacterial-derived C sources in the soil, leading to their eventual decline. Key drivers of plant-derived C included soil pH, living fungi/bacteria, and β-1,4-glucosidase activity, whereas microbial-derived C depended on total nitrogen and living fungi. Our findings demonstrate that early SOC accumulation under RSD is driven by combined plant lignin and microbial necromass inputs, while fungal necromass becomes pivotal for long-term SOC stabilization, shaped by both abiotic and biotic factors. Full article
(This article belongs to the Section Farming Sustainability)
Show Figures

Figure 1

23 pages, 2798 KB  
Article
Plant Functional Traits and Soil Properties Shape Soil Microbial Communities in Larix principis-rupprechtii Mixed Plantations
by Zhaoxuan Ge, Bo Peng, Xiaotong Chen, Junfei Zhang, Ziyi Wang, Yue Pang and Zhidong Zhang
Biology 2026, 15(3), 259; https://doi.org/10.3390/biology15030259 - 30 Jan 2026
Viewed by 119
Abstract
The mixing of tree species influences soil microbial communities and ecosystem functioning, yet the underlying mechanisms remain inadequately understood. This study aimed to elucidate how different tree species mixtures regulate soil microbial community structure and ecological functions and to disentangle the relative roles [...] Read more.
The mixing of tree species influences soil microbial communities and ecosystem functioning, yet the underlying mechanisms remain inadequately understood. This study aimed to elucidate how different tree species mixtures regulate soil microbial community structure and ecological functions and to disentangle the relative roles of leaf functional traits, soil nutrients, and tree species identity in shaping bacterial and fungal assemblages. Leaf and soil samples were collected from 15 plots (20 m × 30 m) established in pure Larix principis-rupprechtii plantations (PL) and mixed Larix-Betula platyphylla (MLB) and Larix-Picea asperata (MLP) stands in the Saihanba Mechanical Forest Farm, China. Principal coordinate analysis, co-occurrence network analysis, and partial least squares path modeling were employed to assess changes in microbial community structure, network organization, and functional potential. Our results showed that the MLB stand mainly improved leaf nitrogen content (LNC), specific leaf area (SLA), and the concentrations of total nitrogen (STN) and phosphorus (STP) in the soil. The MLP stand preferentially promoted carbon and phosphorus accumulation in both leaves and soil. The MLB stand exhibited higher bacterial Chao1 richness, whereas the MLP stand showed reduced fungal diversity. The MLB supported a more complex bacterial network enriched with keystone taxa involved in nitrification and nitrate reduction, while MLP displayed a less complex bacterial network and a higher relative abundance of ectomycorrhizal fungi. Path analyses revealed that tree species mixtures shaped bacterial community structure largely via changes in leaf functional traits and soil conditions. Bacterial functional potential was primarily driven by improvements in soil nutrient availability. In contrast, fungal assemblage organization and functional expression were directly governed by the identity of the mixed tree species. These insights provide a foundation for improving soil fertility and nutrient cycling in managed forests via strategic species diversification. Full article
(This article belongs to the Section Microbiology)
18 pages, 3461 KB  
Article
Microbial Responses to an Urban–Suburban–Exurban Gradient in Forest Soils: Shifts in Community Structure and Membrane Lipid Composition
by Jinhong He, Jiaohua Tang, Guocai Chen, Yu Qiao, Yanlin Chen, Yongjun Pan and Zhiqi Li
Land 2026, 15(2), 242; https://doi.org/10.3390/land15020242 - 30 Jan 2026
Viewed by 173
Abstract
Rapid urbanization threatens soil biodiversity and ecosystem functions, but the structural and physiological adaptations of soil microorganisms to urbanization remain unclear. We examined variations in soil microbial biomass, community structure and membrane lipid composition along an urban–suburban–exurban gradient in Guangzhou, China, using phospholipid [...] Read more.
Rapid urbanization threatens soil biodiversity and ecosystem functions, but the structural and physiological adaptations of soil microorganisms to urbanization remain unclear. We examined variations in soil microbial biomass, community structure and membrane lipid composition along an urban–suburban–exurban gradient in Guangzhou, China, using phospholipid fatty acid analysis. Samples were collected from four to five quadrats per site at three depths during dry and wet seasons. PERMANOVA revealed that both the urbanization gradient and the soil depth significantly shaped microbial communities. Depth was the strongest driver, explaining 45.5% of the variance in total microbial biomass, while site explained 27.2%. Microbial biomass decreased from exurban to urban sites and from surface to deep soils. Concurrently, the ratios of fungi/bacteria and Gram-positive/Gram-negative bacteria increased in urban areas and deeper soils. Physiologically, the membrane lipids shifted toward more saturated fatty acids in urban and surface soils, while unsaturated fatty acids predominated in exurban and deeper layers. These shifts in microbial community structure and membrane lipid composition were strongly correlated with key soil properties, including soil organic carbon, total nitrogen, and bulk density. The findings demonstrate urbanization diminishes microbial biomass and triggers adaptive microbial responses, providing a scientific basis for the sustainable management of urban forests. Full article
Show Figures

Figure 1

18 pages, 2352 KB  
Article
Divergent Responses of Soil CO2 and N2O Fluxes to Simulated Rainfall in a Restored Arid Ecosystem
by Chunming Xin, Jing Zhou, Zhanwu Zhu, Huijun Qin, Rui Hu and Mingzhu He
Sustainability 2026, 18(3), 1383; https://doi.org/10.3390/su18031383 - 30 Jan 2026
Viewed by 104
Abstract
Precipitation pulses refer to discrete and intermittent precipitation events that significantly influence ecosystem carbon and nitrogen cycling processes. However, the mechanisms by which different vegetation types modulate the sensitivity of carbon dioxide (CO2) and nitrous oxide (N2O) fluxes to [...] Read more.
Precipitation pulses refer to discrete and intermittent precipitation events that significantly influence ecosystem carbon and nitrogen cycling processes. However, the mechanisms by which different vegetation types modulate the sensitivity of carbon dioxide (CO2) and nitrous oxide (N2O) fluxes to short-term rainfall pulses remain poorly elucidated. To address this knowledge gap, we conducted a controlled rainfall simulation experiment across four representative surface types (moss-dominated biological soil crusts, Artemisia-ordosica-dominated soil, Caragana-korshinskii-dominated soil, and bare sandy soil), applying two precipitation pulses (5 mm and 10 mm) to quantify soil CO2 and N2O flux responses. The results showed that: (1) CO2 emissions increased significantly with precipitation intensity, with the 10 mm treatment producing higher mean fluxes than the 5 mm treatment. Emission peaks (1200–1600 mg m−2 h−1) occurred within 24 h after rainfall and returned to baseline levels within three days; (2) Surface cover exerted a strong regulatory effect on CO2 emissions, with moss crust soils (~400 mg m−2 h−1) and A. ordosica soils (~350 mg m−2 h−1) exhibiting CO2 fluxes 2.5–3 times higher than those of bare sandy soils (~120 mg m−2 h−1); (3) Structural equation modeling indicated that precipitation indirectly enhanced CO2 emissions by increasing soil carbon availability, with total organic carbon emerging as the strongest direct driver. Together, these findings clarify the primary controls on precipitation-induced CO2 emissions in restored desert systems and highlight the decoupled and weak short-term response of N2O, providing critical insights for managing carbon–nitrogen processes under increasing precipitation variability. Full article
Show Figures

Figure 1

15 pages, 2075 KB  
Article
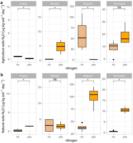
Effects of Nitrogen Addition on Gas Fluxes and Nitrification in Cerrado Soil Under a Controlled Incubation Assay by Land Use
by Helio Danilo Quevedo, Ricardo Hideo Taniwaki and Janaina Braga do Carmo
Methane 2026, 5(1), 6; https://doi.org/10.3390/methane5010006 - 30 Jan 2026
Viewed by 83
Abstract
This study evaluated the effects of ammonium sulfate [(NH4)2SO4] addition and land-use history on greenhouse gas emissions (CH4, CO2, N2O) and inorganic nitrogen dynamics (NH4+ and NO3 [...] Read more.
This study evaluated the effects of ammonium sulfate [(NH4)2SO4] addition and land-use history on greenhouse gas emissions (CH4, CO2, N2O) and inorganic nitrogen dynamics (NH4+ and NO3) in Brazilian Cerrado soils. The objective was to determine how fertilization interacts with native and agricultural soils to regulate key biogeochemical processes. Soil samples from native and agricultural areas were collected in four regions (Araras, Sorocaba, Itirapina, and Brasília), representing contrasting pedoclimatic conditions and soil textures under different cropping systems. Samples were incubated under controlled conditions, with greenhouse gas fluxes analyzed by gas chromatography and inorganic nitrogen concentrations determined by colorimetric methods. Nitrogen fertilization inhibited CH4 consumption in native and agricultural soils and reversed fluxes to emissions in sandy soils. CO2 emissions increased in native soils but decreased in agricultural soils, suggesting effects of soil fertility and carbon stocks. N2O emissions increased mainly in native soils, reflecting intensified nitrification and denitrification, whereas agricultural soils responded heterogeneously. Nitrogen addition altered NH4+ and NO3 consumption, indicating enhanced oxidation and microbial assimilation. These results demonstrate that land-use history influences soil biogeochemical responses to nitrogen, underscoring the importance of site-specific fertilization in mitigating emissions and promoting sustainability in the Cerrado. Full article
Show Figures

Graphical abstract

Back to TopTop